Abstract
Natural rubber (NR) powder wastes contribute to the pollution of the environment and pose a risk to human health. Therefore, Escherichia coli AY1 and Aspergillus oryzae were used to degrade NR in the present investigation. The biodegradation was further confirmed using E. coli AY1 and A. oryzae’s ability to create biofilm, which grew on the surface of the NR. Additionally, the biodegraded NR was examined by scanning electron microscopy (SEM), attenuated total reflection–Fourier transform infrared (ATR–FTIR) spectroscopy, and gas chromatography–mass spectrometry (GC–MS). The highest weight loss (69%) of NR was detected (p < 0.05) after 210 d of incubation with the mixed microbial culture (E. coli AY1 + A. oryzae). In the SEM, the surface of the control treatment appeared uniform and normal, whereas the surface of the microbial treatment displayed an irregular shape, with apparent particle deformation and surface erosion. After biodegradation by E. coli AY1 and A. oryzae, the particle size range of the untreated NR dropped from (5.367–9.623 µm) to (2.55–6.549 µm). After treating NR with E. coli AY1 and A. oryzae, new bands appeared in the ATR–FTIR technique; others shifted down in the range of 3910–450 cm−1, suggesting the existence of active groups belonging to alcohol, secondary amine, aromatic amine, conjugated anhydride, aldehyde, alkene, and halo compounds. On the other hand, the GC–MS profile reports a significant decline (p < 0.05) in the amount of hydrocarbons while simultaneously reporting a significant increase (p < 0.05) in the proportion of oxygenated, sulfurous, and nitrogenous compounds. These active groups are attributed to the antioxidant and antibacterial properties of biodegraded NR by a mixture of E. coli AY1 and A. oryzae, which rose 9-fold (p < 0.05) compared to untreated NR. Through the use of this research, we will be able to transform NR waste into a valuable product that possesses both antioxidant and antibacterial properties.
1. Introduction
Rubber, both natural and synthetic, belongs to the class of materials known as elastomers. Natural rubber (NR) is a polymer produced by over 2000 plant species, most of which are members of the family Euphorbiaceae (the spurge family) and the family Composite (Compositaceae, the aster family) []. The milky secretion of rubber-producing plants is the main constituent of NR. It is a chain of polymers with elastic properties and a molecular weight of about 106 Da [,]. Less than 10% of the dry weight of NR comprises non-rubber components such as proteins, carbohydrates, and lipids, whereas more than 90% comprises cis-1 and 4-polyisoprene [].
Since it is used in approximately 40,000 different goods, NR is an essential component of modern society []. It is a raw material for toys, pacifiers, apparel, aviation components, vehicle tires, medical equipment, and surgical gloves []. It has several applications, including mining, power generation, agriculture, transportation, the paper industry, and surgical equipment []. It was determined that 390.7 million tons of plastic were produced in 2021 [].
Along with an increase in consumption and an accompanying growth in demand for rubber goods, a tremendous amount of waste rubber has been produced, primarily in the form of scrap tires []. Rubber, which is naturally non-biodegradable and has a high degree of resiliency, can remain in landfills for hundreds of years before it decomposes, polluting the environment and creating threats to human health, the environment, and aesthetics [,]. Because of the formation of polyethylene cross-linking during vulcanization, which prevents the rubber from being melted and molded into the product again, recycling has become a worldwide concern [].
The primary methods currently available for getting rid of rubber waste include landfill disposal, incineration, and reprocessing into fine powder for subsequent applications []. The rubber waste related to municipal solid garbage may be cheaply disposed of in landfills. Rubber waste accumulates because it does not degrade easily in the environment, resulting in the occupation of a wide area and the release of dangerous substances into the environment []. If waste rubber is burned, the amount of waste rubber produced may be reduced, and the heat energy might be recovered. However, the secondary pollutants that are produced, such as sulfur and nitrogen oxides, need to be managed, which results in an increased financial burden for the operation [].
The thermo-mechanical technique, commonly used for recovering plastic waste, is unsuitable for recycling rubber trash since NR material cannot be melted and reformed by pyrolysis []. At present, rubber scraps can only be recycled by being ground into powder and used as fillers in the manufacturing of composite products []. Rubber waste powders require a modification process prior to use because of their low interface compatibility with other materials []. In addition, chemical methods were developed in order to accomplish the goal of decreasing the molecular weight of rubber []. Natural or chemical NR isoprenoid fragmentation into oligomers or monomers can occur. NR oligomers have low molecular weights, and their physical properties are heavily dependent on chain length [].
However, current processes for alteration are considered unsustainable since they are reliant on some reaction circumstances. These variables include high temperature, pressure, and harsh environments []. As a result, research into more long-term and eco-friendly rubber waste disposal options is crucial []. The most successful method is biodegradation, as it has no associated costs and does not result in the emission of dangerous pollutants into the atmosphere []. Bacteria and fungi have the potential to degrade rubber. Isoprene may be recycled in nature since it serves as a carbon and energy source for a wide variety of bacteria and fungi [].
Numerous bacteria and fungi have been demonstrated to degrade rubber by lowering its molecular weight []. Singh et al. [] demonstrated that the fungi Aspergillus niger and Phlebia radiate could degrade NR; A. niger reduces the NR weight by 27.27%. Bosco et al. [] found that Alternaria alternata and Rhodotorula mucilaginosa isolated from an NR surface effectively promoted NR biodegradation. Rubber can be degraded by a wide variety of microorganisms, including Gordonia, Nocardia, Rhodococcus, Bacillus sp., Xanthomonas sp., Trametes versicolor, and Pleurotus ostreatus [].
Thiobacillus spp., the sulfur-oxidizing bacteria, or Pyrococcus furiosus, the sulfur-reducing bacteria, can break the bonds between S–S and C–S in rubber while leaving the polymeric backbones intact []. Enzymes such as oxygenase, which can be secreted by Streptomyces, play a similar role in mediating the 4S pathway []. Bacteria that degrade NR fall into two categories; group B (Streptomyces and Micromonospora) produces halo chemicals when growing on NR, indicating exerting enzymes. Halo compounds were not produced by Group A (Corynebacterium, Nocardia, and Mycobacterium), suggesting that NR was used as the sole carbon source for growth [].
The disposal of rubber waste through the employment of specialized bacteria and fungi that are capable of degrading rubber has attracted a significant amount of interest due to the numerous benefits associated with this method []. Some of these benefits include gentle reaction conditions, minimum chemical and energy consumption, and low discharge of secondary pollutants [,].
We hypothesize that some microorganisms isolated from landfills and factory drainage can play a role in the degradation of rubber and could serve as a source for the isolation of specific microorganisms with the ability to degrade sulfide links and polyisoprene backbones within NR consistently.
As a result, the purpose of the current study was to investigate the biological degradation of NR powder waste following treatment with bacteria and fungi isolated from various sources, including landfill drainages and factory drainages. Scanning electron microscopy (SEM), attenuated total reflection–Fourier transform infrared (ATR–FTIR) spectroscopy, and gas chromatography–mass spectrometry (GC–MS) were used to validate the biodegradation, and subsequently, the antioxidant and antibacterial properties of the biodegraded NR were tested.
2. Materials and Methods
2.1. Materials Used and Isolation of Bacterial and Fungal Isolates from NR Powder Waste
NR wastes, such as used automobile tires, medical equipment, and surgical gloves, were ground to powder and used in the biodegradation experiment as the substrate for this study.
For the isolation of NR-biodegrading microorganisms, diverse waste samples were collected from diverse places in Sharqia governorate, Egypt. These included landfills, industrial wastewater from a paper factory’s drainage, activated sludge, and sediment wastewater samples from agricultural fields. The samples were brought into the laboratory in an ice box that contained sterile containers.
Briefly, 10 g of solid wastes or 10 mL of liquid wastes were combined with 100 mL synthetic medium composed of NH4NO3 1.0 g, MgSO4.7H2O 0.2 g, K2HPO4 1.0 g, CaCl2.2H2O 0.1 g, KCl 0.15 g, yeast extract 0.1 g (Sigma-Aldrich Chemie GmbH, Taufkirchen, Germany) (g L−1) and micronutrients of 1.0 mg L−1 of each of the following: ZnSO4.7H2O, MnSO4, and FeSO4.6H2O. As the sole source of carbon, sterilized ground NR waste powder was added to the medium as a substrate during the cultivation process.
To isolate bacteria, the flasks were shaken at 250 rpm on an orbital shaker incubator at 30 °C for 7 d. Bacteria were purified and isolated using the spread plate method on nutrient agar (NA) (Lab M Limited, Lancashire, UK) []. For subsequent studies, single, pure bacterial cultures were kept on NA slants at 4 °C.
To isolate fungi, the flasks were shaken at 250 rpm on an orbital shaker incubator for 14 d. Similarly, fungi were isolated and purified using the spread plate technique on potato dextrose agar (PDA) (Lab M). During the study, the pure fungal cultures were kept on PDA slants at 4 °C.
The bacterial cultures in the current study were adjusted to be in the log phase at 3.8 × 108 colony-forming units (CFU) mL−1, while the fungal cultures were adjusted to be in the log phase at 1 × 105 spores mL−1 [].
2.2. Screening of Bacterial and Fungal Isolates for Their Abilites to Biodegarde NR Powder Waste
2.2.1. Primary Screening
The bacterial and fungal isolates were preliminary screened based on their ability to biodegrade NR powder waste as the sole carbon source. Bacterial and fungal isolates were grown on basal medium [], which included 1.0 g (NH4)2SO4, 1.33 g KH2PO4, 0.5 g NaCl, 2.34 g K2HPO4,0.2 g MgSO4.7H2O, 20 g agar, and 1 mL of trace element solution (21.6 mg L−1 NiCl2.6H2O, 24.6 mg L−1 CuSO4.5H2O, 21.8 mg L−1 CoCl2.6H2O, 1.62 g L−1 FeCl3.6H2O, 0.78 g L−1 CaCl2, and 14.7 mg L−1 MnCl2.4H2O) per liter of distilled water, supplemented with 1% (w/v) sterilized NR powder waste. The plates were aerobically incubated at 30 °C for 7 d for bacteria [] and 15 d for fungi [].
2.2.2. Secondary Screening
The bacterial and fungal isolates were plated using a minimal salt medium [] supplemented with NR powder waste as a carbon source. This medium contained (NH4)2SO4 (1.0 g), K2HPO4 (7.0 g), MgSO4.7H2O (0.1 g), potassium phosphate (2.0 g), bacteriological agar (20.0 g), and NR powder waste (1.0 g) per liter of distilled water.
The microbial isolates that degrade NR powder waste were screened against a blue background after staining the plates with coomassie brilliant blue as described by Howard et al. []. Control plates were without NR powder waste. The plates were incubated at 30 °C for 7 d or 14 d for bacteria and fungi, respectively [,]. At the end of the incubation period, the plates were flooded with a 0.1% (w/v) coomassie brilliant blue R-250 solution (Sigma) in 40% (v/v) methanol and 10% (v/v) acetic acid for 20 min. The coomassie brilliant blue solution was then poured off, and the plates were flooded with 40% (v/v) methanol and 10% (v/v) acetic acid for 20 min.
2.3. Identification of Bacterial and Fungal Isolates
The bacterial isolates were identified by sequencing the polymerase chain reaction (PCR) product of genomic DNA. A QIAamp DNA microkit (Qiagen Digital Insights, Hilden, Germany) was used to isolate the chromosomal DNA of the selected bacterial isolates. The primer sets were: 27F (5-AGAGTTTGATCMTGGCTCAG-3) and 1492 R (5-TACGGYTACCTTGTTACGACTT-3), used to amplify the 16S rRNA. PCR reactions were carried out in a 25 mL volume using a reaction buffer (2 μL), dNTPs (1 mM) of each primer, 1.5 U of Taq polymerase, and 1 μg of DNA. The reaction conditions were: 1 cycle (94 °C for 5 min) for primary denaturation, 35 cycles (94 °C for 30 s, 56 °C for 1 min, and 72 °C for 1 min) for denaturation, annealing, and extension, and one cycle (72 °C for 10 min) for confirmation of the extension of the DNA. The PCR result was examined and purified using an agarose Gel DNA kit. The Jukes–Cantor distance estimation technique was employed using bootstrap analyses for 1000 repetitions, and a phylogenetic tree was created using MEGA, version 7.0, and a neighbor-joining strategy [,].
Using the cultural and physiological features of the isolated fungi, the fungal isolates were identified at the Moubasher Mycological Center (AUMMC) at Assiut University in Assiut, Egypt. This was carried out in order to confirm the identity of the fungal isolates. The fungi were stained with lactophenol and examined for their microscopic properties. The identification of fungi to species level was accomplished using Raptor and Fennel’s keys [].
2.4. Determination of NR Powder Waste Weight Loss
Briefly, 10 mL of the log-phase microbial cultures was inoculated into Erlenmeyer flasks containing 100 mL of minimal salt medium [] and 100 mg of sterilized NR powder waste. The control, a minimal salt medium containing only NR powder waste without microbial cultures, was incubated under the same conditions. The weight loss and optical density were measured at 30, 60, 90, 120, 150, 180, and 210 d. The bacterial and fungal films were washed off with 2% (w/v) sodium dodecyl sulfate (Sigma) for 4 h at 50 °C at the end of the incubation period (210 d). The NR was cleaned with distilled water before being immersed in 70% ethanol (Sigma) to ensure all microbial biomass was removed [25]. The initial weight and the final weight of washed and dried NR were recorded at 60 °C. The following equation was used to calculate the weight loss percentage of the NR.
where W0 is the initial weight of the NR (g) and W is the weight of the residue (g).
Weight loss% = (W0 − W)/W0 × 100
2.5. Biofilm Formation on the NR Powder Waste Surface
The bacterial and fungal isolates were cultured on nutrient broth (Lab M) and potato dextrose broth (Lab M) until the log phase. According to Stepanovic et al. [], each well of the 96-well plates received 100 μL of minimal salt medium [] containing NR at different concentrations (1, 2, 3, 4, and 5%), then 50 μL aliquots of each isolate were added.
Minimal salt medium wells were employed as a negative control, while bacterial or fungal-inoculated minimal salt medium served as a positive control. The plates were incubated at 30 °C for 2 d for bacterial isolates and 7 d for fungal isolates. The wells were rinsed three times with 250 μL of sterile physiological saline to remove any remaining material. The adhering bacteria or fungi were fixed into each well for 15 min at room temperature using methanol (200 μL). The plates were stained using a 200 μL aqueous solution of crystal violet 0.5% (Sigma) for 15 min at room temperature. The water was rinsed to remove the excess pigments in the wells. Aliquots (200 μL) of 95% ethanol were added to dissolve the stained cells.
After washing and air-drying the microplates, adhering biofilm was dissolved with 33% glacial acetic acid. According to Stepanovic et al. [], the microbial growth and biofilm formation on the NR surface were measured at 600 and 630 nm optical density for bacteria and fungi, respectively using an ELISA reader (Thermo Fisher Scientific Inc., Waltham, MA, USA).
2.6. Characterization and Confirmation of Degraded NR Powder Waste
2.6.1. SEM of Non-Degraded NR and Degraded NR Powder Wastes
SEM was used to evaluate the surface changes on the NR powder waste after 210 d of microbial degradation. The NR samples were washed three times, 15 min each, in 0.1 M sodium phosphate buffer pH 7.4, incubated overnight in 70% acetone (Sigma), 1% phosphotungstic acid (Sigma), and 0.5% uranyl acetate (Sigma) at 4° C [].
Samples were then washed twice with 80% ethanol for 15 min, followed by 90% ethanol for another 15 min. Finally, samplers were rinsed three times in 96% ethanol for 20 min. After rinsing with sterile distilled water, the samples were fixed in 2% paraformaldehyde (Sigma) and 2.5% glutaraldehyde (Sigma) in 0.1 M sodium phosphate buffer, pH 7.4, for 2 h. After being fixed, the samples were vacuum-dried [], gold-coated [], and scanned using a Joel SEM (JSM-6510 LV, Otemachi, Chiyoda-ku, Tokyo, Japan), which was set to 30 KV at El-Mansoura University’s electron microscopy Unit, Mansoura, Egypt.
2.6.2. Analysis of the Non-Degraded NR and Degraded NR Powder Wastes Using ATR–FTIR Spectroscopy
ATR–FTIR spectroscopy (VERTEX 80V, Bruker, Germany) was used in the 400–4000 cm−1, 4 cm−1 frequency range with a refractive index of 2.4. It was used to monitor changes in the surface structure, namely, the modifications of functional groups in the NR powder waste throughout the degradation process [,].
2.6.3. GC–MS Profile of Organic Compounds in the Non-Degraded NR and Degraded NR Powder Wastes
Briefly, 10 g of small pieces of NR powder waste was placed in test tubes along with 10 mL of the bacterial or fungal supernatant. All samples were sealed with a septum and baked in a hot-air oven at 60 °C for 2 h. The organic components were collected using the Head-space method. The collected volatile compounds were injected into an Agilent GC (Agilent Technologies, Santa Clara, CA, USA) with a separation column (60 × 0.25 mm, 0.25 μm). The column was heated to 250 °C for 3 min to desorb the volatile compounds.
The temperature was initiated at 40 °C for 3 min, then increased with an increment of 5 °C min−1 to 235 °C for 10 min. The mobile phase helium gas flowed at 1.3 mL min−1. The detector was adjusted at 240 °C and 70 eV. Organic compounds’ mass spectra were identified in the 40–180 amu range compared to the NIST database, and % area was calculated [].
2.7. Evaluation of Laccase and Manganese Peroxidase
The reaction mixture contained 3 mL of 10 mM acetate buffer (pH 5), 1 mL of guaiacol (Sigma), 1 mL of bacterial or fungal supernatant, and an enzyme blank containing 1 mL of distilled water instead of the bacterial or fungal supernatant. The mixture was incubated at 30 °C for 15 min, and absorbance was read at 450 nm using a UV spectrophotometer (UV-2101/3101 PC; Shimadzu Corporation, Analytical Instruments Division, Kyoto, Japan) []. Manganese peroxidase enzyme activity was calculated following the laccase determination, but 1 mL of H2O2 (Sigma) instead of guaiacol was added and incubated for the reaction mixture [].
2.8. Biological Activity of Biodegraded NR Powder Wastes
2.8.1. Antibacterial Activity
Various pathogenic bacterial strains were tested against the supernatants of the bacterial or fungal isolates selected: UNR, BNR, FNR, and BFNR. These pathogenic bacteria included Staphylococcus aureus, Listeria monocytosis, E. coli, and Klebsiella pneumonia. The bacterial strains were shaken at 250 rpm on an orbital shaker incubator overnight at 37 °C. The Muller–Hinton broth (MHB) was used, and the cells were adjusted to 108 cfu mL−1.
The disc diffusion technique was employed to assess antibacterial activity []. The Petri plates were inoculated with 100 µL of active bacterial strains using the spread plate method. Soaked paper discs (6 mm) with treated and untreated NR were inserted on the surface of the plates. The plates were incubated at 37 °C for 24 h. A ruler was used to calculate the inhibition zones (mm) [].
2.8.2. Antioxidant Activity
The supernatants of the bacterial or fungal isolates, untreated NR (UNR), bacteria-treated NR (BNR), fungi-treated NR (FNR), and bacteria- and fungi-treated NR (BFNR), were tested for their free radical-scavenging activity. Aliquots (300 µL) of 2,2-diphenyl-1-picrylhydrazyl (DPPH) (Sigma) were added to 100 µL of each supernatant and then loaded into the wells of the microtiter plate. After 30 min, the plate was read at 517 nm using a microtiter plate reader (US Biotek Laboratories, Shoreline, WA, USA), and the optical density was used in the following equation:
2.9. Statistical Analysis
The statistical data analyses were carried out using the CoStat statistical tool (6.311) (Informer Technologies, Inc., Garden Grove, CA, USA). To compare various treatments, a one-way analysis of variance (ANOVA) was performed. The mean values of treatments were compared using Tukey’s multiple range test at p ≤ 0.05 levels.
3. Results and Discussion
3.1. Isolation, Screening, and Identification of Microbial Isolates for NR Degradation
A total of 51 and 69 bacterial and fungal isolates were isolated from different environmental samples, respectively. The 51 bacterial isolates were obtained from wastewater sediment (5 samples), industrial wastewater (14 samples), and activated sludge water (32 samples). However, the 69 fungal isolates were obtained from landfill soil (44 samples), industrial sewage (11 samples), activated sludge water (9 samples), and wastewater sediment (5 samples). All isolates were obtained using serial dilution, plating, and purification methods.
In the primary screening, 33 bacterial and 29 fungal isolates were selected based on their heavy growth on the basal medium supplemented with NR powder waste as the sole carbon source. During the secondary screening, 16 bacterial isolates, namely (ITB1, ITB2, ITB5, ITB6, ITB7, ITB9, ITB15, ITB17, IBB3, IBB6, IDB2, and IDB5) and (ASB2, ASB4, ASB5, and ASB7), were obtained from industrial wastewater and activated sludge water, respectively. In the same secondary screening, 16 fungal isolates, namely (SF10, SF11, SF14, SF211, and SF217), (ITF1, IBF2, IBF3, IBF4, and IDF1), (ASF1, ASF2, ASF3, and ASF8), and (SWF3 and SWF4), were obtained from landfill soil, industrial wastewater, activated sludge water, and wastewater sediment, respectively. Based on Tukey’s multiple range test at p ≤ 0.05, the strongest (p < 0.05) NR-degrading bacterial isolate (isolate ITB1) and fungal isolate (isolate ASF2), which produced the largest clear zones, were selected for further experiments.
Isolate ITB1 was identified as Escherichia coli AY1 with GenBank accession number ON754231 using a 16S rRNA sequence as a probable NR degrader based on its growth rate on minimal salt medium with the largest clear zone after 24 h of incubation at 30 °C. The phylogenetic tree was constructed based on the sequences of the 16S rRNA gene and was produced using the neighbor-joining method [,]. E. coli AY1 was most related to the E. coli strain (GenBank accession: KF684037). Numerous bacterial strains can use rubber as their sole carbon and energy source []. Xanthomonas sp. strain 35Y was the first Gram-negative bacterium known to break down rubber, reclassified recently as Steroidobacter cummioxidans (35Y) [,].
The best NR-degrading fungus in the current study was named ASF2, which showed (p < 0.05) the best growth and the largest clearance zone among the 16 chosen fungal isolates. Isolate ASF2 was identified as Aspergillus oryzae (AUMC No. 15561). Similarly, Joseph et al. [] showed that A. oryzae and different Penicillium species were confirmed as rubber degraders.
3.2. Confirmation of NR Degradation by E. coli AY1, and A. oryzae
3.2.1. Determination of Microbial Effect on NR Weight Loss
The weight loss of NR after inoculation with E. coli AY1, A. oryzae, or their combination assisted in quantifying the microbial activity-related changes in the material. The weight loss in NR was 44% after seven months of incubation with E. coli AY1. A consequential maximum weight loss of 69% (p < 0.05) was obtained when the microbial mixture (E. coli AY1 and A. oryzae) was used compared to the control, which showed only 5% weight loss (Table 1). Based on Tukey’s test, the use of the microbial mixture (E. coli AY1 and A. oryzae) gives the best performance in degrading the NR.

Table 1.
Natural rubber weight loss (g) after treatment with Escherichia coli AY1, Aspergillus oryzae, either singly or combined for seven months.
Our findings were consistent with Mollea and Bosco’s [], who found that Alternaria alternata degraded rubber by 6.8%, demonstrating the highest biodegradation capacity and NR decay after 41 d. In addition, Penicillium variabile can damage the NR, causing a 13% weight loss after 56 d []. Furthermore, Borel et al. [] found that the degradation ability of Fusarium solani on rubber was more efficient than that of other fungi used in their experiment, including Paecilomyces lilacinus, Phoma eupyrena, and Cladosporium cladosporioides. Nayanashree and Thippeswamy [] isolated Aspergillus niger and Penicillium sp. from rubber. After two months, A. niger degraded rubber by 28.3%, while Penicillium sp. degraded rubber by 25.9%. A. niger and Phlebia radiate could degrade natural rubber; however, A. niger showed a much higher degradation capacity, responsible for 27.27% of the weight loss [].
A loss of 15.6% of the dry weight of the NR demonstrated that the naturally selected microbial biomass could utilize NR as the sole carbon source and efficiently degrade NR. Aerobic biomass, particularly filamentous fungi, was revealed to be the main biodegrader []. Nguyen et al. [] examined the biodegradation of NR and deproteinized NR (DPNR) by bacterial consortia. The results revealed degradation in NR and DPNR; DPNR was degraded easier than NR [].
The highest weight loss of 48.37% was obtained in the fourth enrichment consortium with DPNR, while 35.39% was obtained in the fifth enrichment consortium with NR after 14 d of incubation. It was also found that poly-cis-isoprene was degraded by Nocardia sp. after six weeks by 55.3% [].
3.2.2. NR Degradation by the Formation of Bacterial and Fungal Biofilm Accompanied by Growth
Ten bacterial isolates, namely ITB1, ITB2, ITB7, ITB9, ITB15, ITB17, IDB5, IBB5, ASB7, and ASB5, and ten fungal isolates, namely FA, IBF2, ASF1, IBF4, IBF3, IDF1, FA2, ASF3, ASF2, and ASF8, were selected based on the most significant microbiological growth in minimal salt medium and the most extensive clear zones. Using an ELISA reader kit and measuring the optical density at 600 nm for bacterial isolates and 630 nm for fungal isolates, the biofilm-forming isolates (Table 2 and Table 3) and the microbial growth pattern expressed in optical density values (Table 4 and Table 5) were determined.

Table 2.
Biofilm formation by bacterial isolates on natural rubber (NR) surface (optical density at 600 nm).

Table 3.
Biofilm formation by fungal isolates on natural rubber (NR) surface (optical density at 630 nm).

Table 4.
The bacterial isolates growth during the biodegradation assay (optical density at 600 nm).

Table 5.
The fungal isolates growth during the biodegradation assay (optical density at 630 nm).
At NR 1% concentration, ITB1 developed the largest biofilm (0.592) with a 4-fold increase compared to the control (Table 2) and produced the highest bacterial growth (1.666) with a 9-fold increase compared to PC (Table 4). ITB2 recorded the lowest biofilm (0.173) (Table 2), and minor bacterial growth (1.409) was produced by IDB5 (Table 4). Based on the statistics, isolate ITB1 had the highest (p < 0.05) bacterial growth (2.706) (Table 4) and maximum (p < 0.05) biofilm development (0.694) on NR 5% (Table 2). On the other hand, ITB2 had the lowest biofilm formation (Table 2), and ITB9 had the lowest bacterial growth (Table 4) on NR 5%.
Regarding the biodegradable ability of fungal isolates at optical density 630 nm, The ASF2 showed (p < 0.05) the highest biofilm (0.932) on NR 1% (Table 3), with a 4-fold increase compared to control, and produced the highest (p < 0.05) fungal growth (1.643) (Table 5). The fungal isolate ASF2 developed the largest biofilm (4.757) (Table 3) and the highest fungal growth (2.251) (Table 5) on NR 5%. On the other hand, the fungal isolate IBF3 on NR 5% produced the least biofilm (1.963) (Table 3), and the fungal isolate IBF4 recorded the lowest fungal growth (1.574) (Table 5). In the current study, the bacteria and fungi tested utilized NR as the sole carbon source, and this was confirmed by increased biofilm formation and microbial growth by increasing NR concentrations from 1–5% (Table 2, Table 3, Table 4 and Table 5).
Several microorganisms isolated from soil and NR surfaces can break down NR and cis-1,4-polyisoprene, and three of the identified microorganisms, Rhodotorula mucilaginosa, Pseudomonas sp., and A. alternate, showed a reduction in the molecular weight of the rubber samples after developing biofilm on the NR surface after 60–120 d of incubation [].
Furthermore, Auta et al. [] reported that Rhodococcus sp. strain 36 grew at the rate of UV-pretreated polypropylene microplastics, ranging from 0.90 to 1.01 at an optical density of 600 in 20 d. When cultivated on rubber, A. fumigatus showed a positive growth rate, significantly increasing (p < 0.05) from 0.531 to 2.456 at 630 optical density in the seventh month [].
In our study, the microbial mixture (E. coli AY1 and A. oryzae) showed the (p < 0.05) highest growth rate, from 0.659 to 3.103 at 600 and 630 nm, respectively, over seven months. A recent study [] showed a significant increase in planktonic bacteria and mycoplanktonic cells after 20 d of incubation on polyethylene. After 20 d of incubation, the selected strains were stable in a minimal slat medium. Biofilm formation showed a similar pattern of growth curves obtained from liquid cultures of planktonic cells in both mediums. The growth curves of planktonic cells in both media demonstrated a similar pattern of biofilm formation []. The bacterium Pseudomonas aeruginosa AL98 successfully colonized the rubber surface during incubation, formed a biofilm, and degraded the rubber after three weeks of incubation []. Similarly, Gordonia paraffinivorans isolated by Braga et al. [] developed biofilm on the NR surface after 50 d of incubation in a compost chamber.
3.2.3. SEM Imaging of Degraded NR
Surface morphology changes in the biologically treated NR were examined after 210 d of incubation using SEM at two magnification powers, 3000× (Figure 1) and 7500× (Figure 2). The selected microorganisms colonized the NR surfaces (Figure 1I–IV) compared to the control (Figure 1I). At a magnification power of 3000×, the particle size of the untreated NR samples showed rough surfaces with cracked pits or pores, and particle sizes ranged from 5.367 to 9.623 μm (Figure 1I).

Figure 1.
Scanning electron micrographs at a magnification power of 3000× showing the varied particle sizes of natural rubber NR (I) control, (II) NR treated with Escherichia coli AY1, (III) NR treated with Aspergillus oryzae, and (IV) NR treated with E. coli AY1 and A. oryzae. I-A and I-B: rubber; II-A and II-B: rubber particle deformation; III-A: rubber; III-B and III-C: fungus mycelium; IV-A: fungus mycelium; IV-B: rubber; IV-C: bacterium cell; IV-D: bacterium cell on rubber surface; IV-E: damaged rubber surface.

Figure 2.
Scanning electron micrographs at a magnification power of 7500× showing morphological properties of natural rubber NR (I) control, (II) NR treated with Escherichia coli AY1, (III) NR treated with Aspergillus oryzae, and (IV) NR treated with E. coli AY1 and A. oryzae. I-A: rough surface; I-B: cracked pits; I-C: pores.; II-A, II-B, and II-B: irregular shape; II-D: bacterium cell.; III-A: fungus mycelium; III-B and III-C: damaged rubber surface; III-D and III-E: rough rubber surface; IV-A: fungus mycelium; IV-B: rubber; IV-C: bacterium cell; IV-D: bacterium cell on rubber surface; IV-E: damaged rubber surface.
The particle size of NR ranged from 3.614 to 5.566 μm when treated with E. coli AY1 (Figure 1II). Further reduction of NR with A. oryazae showed fungal colonization, and the particle size ranged from 2.204 to 5.135 μm, and surface degradation can be noticed (Figure 1III). The particle size of NR treated with E. coli AY1 and A. oryzae ranged from 2.55 μm to 6.549 μm (Figure 1IV). It was stated that fungi could bind and hydrolyze materials with rough or damaged surfaces more efficiently than flat surfaces. Rough and irregular surfaces are more likely to concentrate nutrients and water molecules, providing a favorable micro-environment for fungi. After establishing itself, it can consume nutrients from the material’s components or debris and penetrate deeper layers through tiny cracks or layer damage [].
At a magnification power of 7500×, the SEM image showed that the non-treated control had uniform and regular, but different, particle shapes (Figure 2I). The E. coli AY1 treatment (Figure 2II) showed a non-uniform and irregular shape, with obvious particle deformation in all images, while the application of A. oryzae showed deformation and size reduction in the NR particles (Figure 2III). NR treated with E. coli AY1 and A. oryzae showed more deformation and degradation than the previous treatments (Figure 2IV). Most of the regular NR particle shapes disappeared, and fungal and even bacterial cells became obvious (Figure 2IV).
Our findings were in agreement with Nawong et al. [], where the rubber degradation rate was higher in the case of combined treatments than in individual applications. Our results also agreed with the study of Maheswaran et al. [], who used SEM to measure the variations in carbonyl index on polyethylene pterephthalate surface by bacterial consortium. In addition, Sarkar et al. [] revealed adhesive growth of Nocardia sp. BSTN01 on the surface of natural and synthetic rubber using SEM. A primary cause of surface erosion in the present study was the release of extracellular metabolites and enzymes by bacteria and fungi in response to carbon starvation.
3.2.4. ATR–FTIR Analysis of Degraded NR
As detected in the ATR–FTIR spectra, the microbial activity on the NR surface caused some functional groups’ formation, disappearance, or modification (Figure 3), indicating that the chemical groups in the polymer degradation products had been changed, such as unsaturation, branching, co-monomer presence, and additives (antioxidants). Some changes in band positions are noticed, e.g., either shifting upwards or downwards, which can be attributed to the action of biodegrading bacteria and fungi. In addition, it was noticed that the intensity of absorption bands either increases or decreases, which can be attributed to the efficiency of E. coli AY1 and A. oryzae. Many strains of bacteria can use rubber-associated carbon as their sole energy source []. Consequently, the rubber chains are degraded into smaller chains that preserve the rubber function groups (Figure 3).

Figure 3.
(A) Attenuated total reflection–Fourier transform infrared (ATR–FTIR) spectra of the untreated natural rubber (UNR), bacteria-treated NR (BNR, treated with Escherichia coli AY1), fungi-treated NR (FNR, treated with Aspergillus oryzae), and bacteria- and fungi-treated NR (BFNR, treated with a mixture of E. coli AY1 and A. oryzae) after 210 days. (B) ATR–FTIR spectra of E. coli AY1 and A. oryzae.
We noticed in the current study that the peaks shifted upwards and downwards when comparing the ATR–FTIR spectra of untreated natural rubber (UNR), bacteria-treated NR (BNR, treated with E. coli AY1), fungi-treated NR (FNR, treated with A. oryzae), and bacteria- and fungi-treated NR (BFNR, treated with a mixture of E. coli AY1 and A. oryzae) (Figure 3A). This can be attributed to the fragmentation of the NR chains by E. coli AY1, A. oryzae, or the mixture of E. coli AY1 and A. oryzae.
The ATR–FTIR spectrum in the present study revealed the breakdown of NR. The ATR–FTIR spectra of UNR showed six bands ranging from 3370–450 cm−1, corresponding to OH, C=C, C=O, CH3, NH, and CH (Figure 3A) corresponding to alcohol, nitro compounds, cyclopentanone, and alkene (Table 6). On the other hand, E. coli AY1 treatment for NR produced new compounds, such as carboxylic acid, conjugated anhydride, primary amide, secondary alcohol, alkyne, aromatic compound, and halo compound, within the FTIR spectra range (3350–450 cm−1) of 9 bands.

Table 6.
Potentially detected compounds in untreated natural rubber (UNR), bacteria-treated NR (BNR, treated with Escherichia coli AY1), fungi-treated NR (FNR, treated with Aspergillus oryzae), and bacteria- and fungi-treated NR (BFNR, treated with a mixture of E. coli AY1 and A. oryzae) based on the detected active groups by ATR–FTIR.
After treating NR with A. oryzae, new bands were produced, and others were shifted in the range of 3910–450 cm−1 for a total of 10 bands. Alcohol, secondary amine, aromatic amine, conjugated anhydride, aldehyde, alkene, and halo compounds (Table 6) correspond to OH, NH C≡C, C=C, CH, C=O, CN, and CBr, besides other compounds in control (Table 6). The combination of E. coli AY1 and A. oryzae efficiently degraded NR more than single treatments. That was clear from the 12 bands in the ATR–FTIR spectrum of NR treated with E. coli AY1 and A. oryzae mixture in the 3960–450 cm−1 corresponding to alcohol, carboxylic acid, primary aliphatic amine, azide, nitro compounds, aldehyde, aliphatic ether, sulfoxide, alkene, and fluoro compounds. Concerning the biodegradation agents, A. oryzae and E. coli AY1, the ATR–FTIR spectra revealed 9 and 10 bands corresponding to OH, NH2, CO, and CH (Figure 3B).
The apparent peak shifts and the formation of oxidation groups, e.g., carbonyls, esters, hydroxyls, alcohols, and aromatics, shown in microbially treated rubber, indicated chemical structure changes. These changes are due to the enzymatic activity of microorganisms, which modified the rubber molecules via oxidation processes. Such modified groups are metabolized in microorganisms via the tricarboxylic acid cycle and biological oxidation, thus improving biodegradation [,,].
The biodegradation of rubber was studied using microbial consortia and simulating naturally occurring microorganisms. The biodegradation of rubber, the initial stage in breaking natural rubber, involves extracellular and intracellular enzymes such as latex clearing protein (Lcp) and oxygenase A and B rather than abiotic oxidation by free oxygen []. Bacteria efficiently use propionyl-CoA and acetyl-CoA for their metabolic processes through glycolysis, the tricarboxylic acid cycle, and the β-oxidation pathway (Figure 4). As a result, the final destruction of rubber’s glycolysis product by these enzymes [,]. Biodegradation of rubber wastes using fungi and bacteria can save the ecosystem and human health worldwide [,,,,].

Figure 4.
Biodegradation diagram of natural rubber by bacteria and fungi.
3.2.5. GC–MS Profile of Lower Molecule Organic Compounds in Treated and Untreated NR
Table 7 shows the organic compound profiles of UNR and degraded NR with E. coli AY1 and A. oryzae. A broad spectrum of organic compounds appeared in the 1.34–22.55 min retention time range. The GC–MS profile contains hydrocarbons, oxygenated nitrogen, and sulfur-containing compounds. The main organic compounds in UNR were hydrocarbons, hepta-1,5-diene, buta-1,3-diene, and styrene, with contents of 33.9, 21.6, and 10.6%, followed by medium contents of toluene, limonene, and 4-phenyl cyclohexane with 5.9, 6.8, and 5.1%, and the other hydrocarbons with lower contents (Table 7).

Table 7.
Organic compounds profile of untreated natural rubber (UNR), and biodegraded NR by Escherichia coli AY1 and Aspergillus oryzae during seven months.
Minor amounts of oxygenated nitrogen and sulfur-containing compounds were detected in the UNR compared to treated NR. In the current study, NR was successfully biodegraded with E. coli AY1 and A. oryzae under controlled conditions, and this was clear in the GC profile, where hydrocarbons were (p < 0.05) decreased and oxygenated nitrogen and sulfur-containing compounds were (p < 0.05) increased after the treatment, which confirmed the ability of the isolates in NR degradation (Table 7). The biodegraded NR profile shows the occurrence of O, N, and S compounds, while hydrocarbons (p < 0.05) decreased or vanished with relative reduction (109–650% for bacterial treatment) and (127–750% for fungal treatment) compared to UNR (p < 0.05) (Table 7). On the other hand, oxygen compounds were increased by 90–100% and 120–263% for E. coli AY1 and A. oryzae, respectively.
Similarly, the N-compounds increased by 82–100 and 110–225% and the S-compounds by 61–100, and 103–200% for E. coli AY1 and A. oryzae, respectively. After bacterial and fungal treatments, the main O, N, and S compounds were ethenol, aniline, and benzothiazole. Based on the results and Tukey test, A. oryzae had (p < 0.05) more biodegradable efficiency and yield than E. coli AY1 for NR.
Additionally, the biodegradation process contained oxidation of the NR, where O, N, and S compounds can be generated by microbial fermentation and degradation. The oxidation procedure involves disulfide bond dissolution, linear poly(cis-isoprene) chain cleavage, and fragmentation. Laccase or peroxidase first catalyzed the oxidation of C=C bonds in the poly(cis-isoprene) chains with extended C=C bonds. Next, the long-oxidized poly(cis-isoprene) chains are broken by dehydrogenation, resulting in a decrease in molecular weight and the formation of cis-1,4-isoprene oligomers containing terminal keto and aldehyde groups. This oxidative cleavage process may be repeated several times, forming smaller oligomers with low enough molecular weight to be carried through the cell membrane and into the cells of E. coli and A. oryzae strains (Figure 4). Therefore, after degradation, the hydrocarbon polymer of 4.2 kDa vanished by 93% in BFNR, and sulfur-containing, oxygenated, and nitrogen compounds (SON) of 4.6 kDa appeared and increased by 36-fold over UNR.
The combination of E. coli and A. oryzae in degrading NR was significantly (p < 0.05) better than the single treatment of E. coli or A. oryzae; nearly all hydrocarbons vanished. Our results agreed with Cheng et al. [], who found that Acinetobacter sp. BIT-H3 was able to degrade poly(cis-1,4-isoprene) into low molecular organic compounds detected by GC–MS, i.e., benzaldehyde, 9,12,15-octadecatrienoicacid, 2,3-di-hydroxypropyl ester, 2,6,10,15,19,23-hexamethyl, 3,7,11,15,19-pentamethyl-2,6,10,14,18-icosapentaenoic acid [].
On the other hand, Roy et al. [] explored NR microbial degradation using solid-state fermentation, confirming our findings. They found variations in the organic C content and average molecular weight of treated rubber samples, demonstrating microorganisms’ usage and degradation of rubber hydrocarbons. Additionally, Berekaa et al. [] evaluated the biodegradability of several bacteria, i.e., Gordonia, Pseudomonas, Mycobacterium, and Micromonospora, for NR and latex gloves that may serve as the only carbon source for these strains. In addition, Tsuchii and Tokiwa [] reported that the rubber-degrading bacterium Nocardia sp. mineralized 47% of a tire tread strip containing 100 parts per hundred NR.
3.3. Enzymatic Activity of E. coli AY1 and A. oryzae
Figure 5A,B shows that E. coli AY1 and A. oryzae can degrade NR by exerting laccase and peroxidase enzymes during the experimental period of seven months. The present results and Tukey test indicated that enzymatic content significantly (p < 0.05) increased in time dependence, and the amount of peroxidase was (p < 0.05) more than laccase in both E. coli AY1 and A. oryzae; however, A. oryzae excels (p < 0.05) in E. coli, confirming the previous results of FTIR and GC-MS (Figure 5 A,B). Both laccase and peroxidase enzyme activity were at their maximum (p < 0.05) in the 7th month, with 0.0189 and 0.0199 IU for E. coli AY1 and A. oryzae, respectively, while peroxidase activity was 0.021 and 0.023 IU for E. coli AY1 and A. oryzae, respectively.

Figure 5.
Laccase and peroxidase enzyme activity of Escherichia coli AY1 (A) and Aspergillus oryzae strains (B) during biodegradation of natural rubber waste. Data are presented as means of three replicates ± SD. Bars represent standard deviation. Values with the different lowercase letters (a–f) above columns are significantly (p < 0.05) different between laccase and peroxidase activity of E. coli AY1 and A. oryzae according to Tukey’s multiple range test.
The initial stage of NR degradation involves the breakage of disulfide bonds and the production of linear poly(cis-isoprene) chains. The lengthy poly(cis-isoprene) chains are cut into minute fragments during the subsequent depolymerization phase. Laccase or peroxidase first catalyzes the oxidation of C=C bonds in the lengthy poly(cis-isoprene) chains. Next, the lengthy oxidized poly(cis-isoprene) chains are broken by dehydrogenation, lowering molecular weight and generating cis-1,4-isoprene oligomers with terminal keto and aldehyde groups. This oxidative cleavage process may occur several times, producing small oligomers with a sufficiently low molecular weight to be carried through the cell membrane and into the cells of E. coli AY1 and A. oryzae strains (Figure 4).
During the integration stage, aldehyde dehydrogenase might convert the aldehyde groups of tiny oligomers formed by depolymerization into carboxylic acids. Simultaneously, the keto groups of small oligomers produced by depolymerization might be oxidized into ester groups, which could then be hydrolyzed into carboxylic acids and alcohols. Alcohol and aldehyde dehydrogenases further oxidize the alcohols into carboxylic acids. According to earlier reports [,], small oligomers with terminal carboxyl groups can be destroyed by oxidation to produce acetyl-CoA and propionyl-CoA, which can ultimately enter the tricarboxylic acid cycle and serve as an energy and carbon source for the development of E. coli AY1 and A. oryzae strains.
3.4. Biological Application of Biodegraded NR
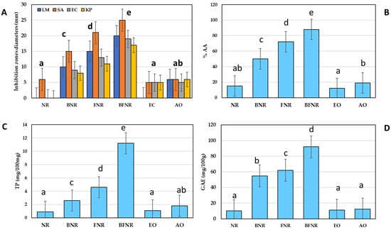
Figure 6A shows the antibacterial potential of biodegraded NR compared to UNR against four pathogenic bacteria: S. aureus, L. monocytogenes, E. coli, and K. pneumonia. UNR (p < 0.05) showed low inhibition zone diameters (IZDs) against S. aureus (9 mm). The IZDs were significantly (p < 0.05) increased by E. coli AY1 and A. oryzae degradation. The BNR showed IDZs ranging from 8–15 mm, which (p < 0.05) increased in the FDR to 11–21 mm and increased to 17–25 mm in the BFNR. S. aureus was (p < 0.05) the most vulnerable bacteria to all treatments, and K. pneumonia was the most resistant (Figure 6A).

Figure 6.
(A) Antibacterial activity of treated and untreated natural rubber (UNR) against pathogenic bacteria; (B) antioxidant activity of treated and UNR against 2,2-diphenyl-1-picrylhydrazyl (DPPH); (C) total phenolic content; and (D) total protein in treated and UNR. Bacteria-treated NR (BNR, treated with Escherichia coli AY1), fungi-treated NR (FNR, treated with Aspergillus oryzae), and bacteria- and fungi-treated NR (BFNR), treated with a mixture of E. coli AY1 and A. oryzae. Data are presented as means of three replicates ± SD. Bars represent standard deviation. Values with the different lowercase letters (a–e) above columns are significantly (p < 0.05) different between UNR and different treatments with bacteria and fungi according to Tukey’s multiple range test. NR, natural rubber. Escherichia coli (EO); Aspergillus oryzae (AO); Listeria monocytosis (LM); Staphylococcus aureus (SA); EC; and Klebsiella pneumonia (KP).
Figure 6B shows the antioxidant activity of biodegraded NR. The BFNR treatment (p < 0.05) showed the highest antioxidant activity with a relative increase of 22, 52, and 101% over FNR, BNR, and NR. Compared with E. coli AY1 and A. oryzae supernatants, we found that UNR achieved IZD in the 0–6 mm range, indicating that the activity came from degraded NR (Figure 6A–D).
These activities may be attributable to phenolic compounds and protein content in Figure 6C,D, besides the detected compounds in the GC–MS profile (Table 7), high total phenolic compounds content in BFNR (p < 0.05) with an 8-fold increase over NR, and increased protein content in BFNR with a 9-fold increase over UNR (p < 0.05). No available studies shed light on degraded rubber’s antioxidant and antibacterial activity. Still, Sarkar et al. [] found an increase in the total protein inside Nocardia BSTN01 cells up to 623.6 µg mL−1 following NR degradation.
4. Conclusions
Environmental pollution significantly threatens human health, ecosystems, and global biodiversity. NR powder waste is one of the essential polymers in modern society because of its vast and versatile applications. Its waste poses a substantial environmental risk due to its extreme resilience and persistence in the environment. Biodegradation by E. coli AY1 and A. oryzae isolated from industrial wastewater and activated sludge water in the current study is an excellent choice to degrade NR. A significant weight loss was observed in E. coli AY1 and A. oryzae treated with NR, which confirmed NR utilization as a sole carbon source. After 210 d of incubation, the bacterial and fungal colonization on the NR surface was confirmed by SEM, which could lead to NR particle deformation, damage the NR surface, and reduce its particle size. ATR–FTIR showed the new groups in biodegraded NR, and GC–MS detected the organic compounds in UNR and treated NR. Biodegradation of NR powder waste is a promising environmentally beneficial method for managing discarded NR materials with the fewest possible adverse effects. Biodegradable NR has antioxidant and antibacterial activity, and therefore, biodegradable NR may be included in many applications, such as animal feed and pharmaceuticals.
Author Contributions
Conceptualization, N.A.E.-W., K.A.E.-T., A.M.I.F., H.M.A.-B., S.A.A. and M.I.H.; formal analysis, K.A.E.-T.; investigation, H.M.A.-B., K.A.E.-T., M.I.H. and M.F.A.; data curation, D.A.A.-Q., K.A.E.-T., M.N.I., A.A.Y. and F.S.A.; writing—original draft preparation, N.A.E.-W., A.M.I.F., S.A.A., K.A.E.-T., H.M.A.-B. and M.I.H.; writing—review and editing, M.I.H., K.A.E.-T., S.T.A.-G., M.F.A. and D.A.A.-Q.; visualization, N.A.E.-W., A.M.I.F., H.M.A.-B., K.A.E.-T., M.I.H., F.S.A., M.F.A., K.A.E.-T., D.A.A.-Q. and M.N.I. All authors have read and agreed to the published version of the manuscript.
Funding
This project was also funded by the Abu Dhabi Award for Research Excellence, Department of Education and Knowledge (Grant #: 21S105) to K. A. El-Tarabily.
Data Availability Statement
Not applicable.
Conflicts of Interest
The authors declare no conflict of interest.
References
- Bode, H.B.; Kerkhoff, K.; Jendrossek, D. Bacterial degradation of natural and synthetic rubber. Biomacromolecules 2001, 2, 295–303. [Google Scholar] [CrossRef]
- Rose, K.; Steinbuchel, A. Biodegradation of natural rubber and related compounds: Recent insights into a hardly understood catabolic capability of microorganisms. Appl. Environ. Microbiol. 2005, 71, 2803–2812. [Google Scholar] [CrossRef]
- Che, J.; Burger, C.; Toki, S.; Rong, L.; Hsiao, B.S.; Amnuaypornsri, S.; Sakdapipanich, J. Crystal and crystallites structure of natural rubber and synthetic cis-1, 4-polyisoprene by a new two dimensional wide angle X-ray diffraction simulation method. I. Strain-induced crystallization. Macromolecules 2013, 46, 4520–4528. [Google Scholar]
- Joseph, A.; Gupta, P.; De, G.; Lal, M.; Meena, M.K.; Singh, L.P.; Rattan, J. Biodegradation of natural rubber by fungi and bacteria. Nat. Environ. Pollut. Technol. 2022, 21, 1039–1048. [Google Scholar] [CrossRef]
- Europe, P. Plastics—The Facts 2022. An Analysis of European Plastics Production, Demand and Waste Data. 2022. Available online: https://plasticseurope.org/knowledge-hub/plastics-the-facts-2022/ (accessed on 15 October 2022).
- Yehia, A.A. Recycling of rubber waste. Polym. Plast. Technol. Eng. 2004, 43, 1735–1754. [Google Scholar] [CrossRef]
- Singh, E.; Kumar, A.; Mishra, R.; Kumar, S. Solid waste management during COVID-19 pandemic: Recovery techniques and responses. Chemosphere 2022, 288, 132451. [Google Scholar] [CrossRef]
- Chittella, H.; Yoon, L.W.; Ramarad, S.; Lai, Z.-W. Rubber waste management: A review on methods, mechanism, and prospects. Polym. Degrad. Stab. 2021, 194, 109761. [Google Scholar] [CrossRef]
- Jones, R.G. Compendium of Polymer Terminology and Nomenclature: IUPAC Recommendations 2008; RSC: London, UK, 2009; Volume 43. [Google Scholar]
- Yikmis, M.; Steinbüchel, A. Historical and recent achievements in the field of microbial degradation of natural and synthetic rubber. Appl. Environ. Microbiol. 2012, 78, 4543–4551. [Google Scholar] [CrossRef]
- Singh, S.; Farooq, D.; Thakur, R. Screening of natural rubber degradation by fungi Aspergillus and Phlebia sp. and bacteria Pseudomonas and Streptomyces sp. Res. J. Pharm. Technol. 2017, 10, 3939–3944. [Google Scholar] [CrossRef]
- Bosco, F.; Antonioli, D.; Casale, A.; Gianotti, V.; Mollea, C.; Laus, M.; Malucelli, G. Biodegradation of unvulcanized natural rubber by microorganisms isolated from soil and rubber surface: A preliminary study. Bioremediat. J. 2018, 22, 43–52. [Google Scholar] [CrossRef]
- Andler, R. Bacterial and enzymatic degradation of poly(cis-1, 4-isoprene) rubber: Novel biotechnological applications. Biotechnol. Adv. 2020, 44, 107606. [Google Scholar] [CrossRef]
- Kumar, V.; Thakur, I.S.; Shah, M.P. Bioremediation approaches for treatment of pulp and paper industry wastewater: Recent advances and challenges. Microb. Bioremediation Biodegrad. 2020, 1–48. [Google Scholar] [CrossRef]
- Khan, S.; Nadir, S.; Shah, Z.U.; Shah, A.A.; Karunarathna, S.C.; Xu, J.; Khan, A.; Munir, S.; Hasan, F. Biodegradation of polyester polyurethane by Aspergillus tubingensis. Environ. Pollut. 2017, 225, 469–480. [Google Scholar] [CrossRef] [PubMed]
- Park, S.Y.; Kim, C.G. Biodegradation of micro-polyethylene particles by bacterial colonization of a mixed microbial consortium isolated from a landfill site. Chemosphere 2019, 222, 527–533. [Google Scholar] [CrossRef]
- Nayanashree, G.; Thippeswamy, B. Natural rubber degradation by Aspergillus niger and Penicillium sp. Int. J. Recent Sci. Res. 2013, 4, 1337–1341. [Google Scholar]
- Geldreich, E.E.; Nash, H.D.; Reasoner, D.J.; Taylor, R.H. The necessity of controlling bacterial populations in potable waters: Community water supply. Am. Water Works Assoc. 1972, 64, 596–602. [Google Scholar] [CrossRef]
- Howard, G.; Hilliard, N. Use of Coomassie blue-polyurethane interaction inscreening of polyurethanase proteins andpolyurethanolytic bacteria. Int. Biodeterior. Biodegrad. 1999, 43, 23–30. [Google Scholar] [CrossRef]
- Skariyachan, S.; Patil, A.A.; Shankar, A.; Manjunath, M.; Bachappanavar, N.; Kiran, S. Enhanced polymer degradation of polyethylene and polypropylene by novel thermophilic consortia of Brevibacillus sps. and Aneurinibacillus sp. screened from waste management landfills and sewage treatment plants. Polym. Degrad. Stab. 2018, 149, 52–68. [Google Scholar] [CrossRef]
- Aditee, P.; Bharti, D.; Meenaxi, P. Mycoremediation of coomassie brilliant blue by Aspergillus spp. Biotechnology 2014, 10, 15567–15571. [Google Scholar] [CrossRef]
- Lagacé, L.; Pitre, M.; Jacques, M.; Roy, D. Identification of the bacterial community of maple sap by using amplified ribosomal DNA (rDNA) restriction analysis and rDNA sequencing. Appl. Environ. Microbiol. 2004, 70, 2052–2060. [Google Scholar] [CrossRef]
- Sambrook, J. Molecular colning. In A Laboratory Manual; Cold Spring Harbor Laboratory Press: Cold Spring Harbor, NY, USA, 1989; Volume 1, pp. 81–82, 89. [Google Scholar]
- Fennell, D.I.; Raper, K.B. New species and varieties of Aspergillus. Mycologia 1955, 47, 68–89. [Google Scholar] [CrossRef]
- Sivan, A.; Szanto, M.; Pavlov, V. Biofilm development of the polyethylene-degrading bacterium Rhodococcus ruber. Appl. Microbiol. Biotechnol. 2006, 72, 346–352. [Google Scholar] [CrossRef] [PubMed]
- Stepanovic, D.; Nikolic, B. A 2.8 GS/s 44.6 mW time-interleaved ADC achieving 50.9 dB SNDR and 3 dB effective resolution bandwidth of 1.5 GHz in 65 nm CMOS. IEEE J. Solid-State Circuits 2013, 48, 971–982. [Google Scholar] [CrossRef]
- Stepanović, S.; Vuković, D.; Hola, V.; Bonaventura, G.D.; Djukić, S.; Ćirković, I.; Ruzicka, F. Quantification of biofilm in microtiter plates: Overview of testing conditions and practical recommendations for assessment of biofilm production by staphylococci. APMIS 2007, 115, 891–899. [Google Scholar] [CrossRef] [PubMed]
- Albertsson, A.-C.; Karlsson, S. The influence of biotic and abiotic environments on the degradation of polyethylene. Prog. Polym. Sci. 1990, 15, 177–192. [Google Scholar] [CrossRef]
- Zerbi, G.; Gallino, G.; Del Fanti, N.; Baini, L. Structural depth profiling in polyethylene films by multiple internal reflection infra-red spectroscopy. Polymer 1989, 30, 2324–2327. [Google Scholar] [CrossRef]
- Pino, J.A.; Barzola-Miranda, S.E. Characterization of odor-active compounds in pechiche (Vitex cymosa Berteo ex Speng) fruit. J. Raw Mater. Process. Foods 2020, 1, 33–39. [Google Scholar]
- Papinutti, L.; Martínez, M.J. Production and characterization of laccase and manganese peroxidase from the ligninolytic fungus Fomes sclerodermeus. J. Chem. Technol. Biotechnol. 2006, 81, 1064–1070. [Google Scholar] [CrossRef]
- Ashour, E.A.; El-Hack, M.E.A.; Shafi, M.E.; Alghamdi, W.Y.; Taha, A.E.; Swelum, A.A.; Tufarelli, V.; Mulla, Z.S.; El-Ghareeb, W.R.; El-Saadony, M.T. Impacts of green coffee powder supplementation on growth performance, carcass characteristics, blood indices, meat quality and gut microbial load in broilers. Agriculture 2020, 10, 457. [Google Scholar] [CrossRef]
- Saad, A.M.; Mohamed, A.S.; El-Saadony, M.T.; Sitohy, M.Z. Palatable functional cucumber juices supplemented with polyphenols-rich herbal extracts. LWT 2021, 148, 111668. [Google Scholar] [CrossRef]
- Shah, A.A.; Hasan, F.; Hameed, A.; Ahmed, S. Biological degradation of plastics: A comprehensive review. Biotechnol. Adv. 2008, 26, 246–265. [Google Scholar]
- Sharma, V.; Siedenburg, G.; Birke, J.; Mobeen, F.; Jendrossek, D.; Prakash, T. Metabolic and taxonomic insights into the Gram-negative natural rubber degrading bacterium Steroidobacter cummioxidans sp. nov., strain 35Y. PLoS ONE 2018, 13, e0197448. [Google Scholar]
- Tsuchii, A.; Takeda, K. Rubber-degrading enzyme from a bacterial culture. Appl. Environ Microbiol. 1990, 56, 269–274. [Google Scholar] [CrossRef]
- Mollea, C.; Bosco, F. Natural rubber biodegradation by Alternaria alternata and Penicillium chrysogenum isolates. Bioremediat. J. 2020, 24, 112–128. [Google Scholar] [CrossRef]
- Williams, G. The breakdown of rubber polymers by microorganisms. Int. Biodeterior. Bull. 1982, 18, 31–36. [Google Scholar]
- Borel, M.; Kergomard, A.; Renard, M. Degradation of natural rubber by fungi imperfecti. Agric. Biol. Chem. 1982, 46, 877–881. [Google Scholar] [CrossRef]
- Bosco, F.; Mollea, C. Biodegradation of natural rubber: Microcosm study. Water Air Soil Pollut. 2021, 232, 227. [Google Scholar] [CrossRef]
- Nguyen, L.H.; Nguyen, H.D.; Tran, P.T.; Nghiem, T.T.; Nguyen, T.T.; Dao, V.L.; Phan, T.N.; To, A.K.; Hatamoto, M.; Yamaguchi, T.; et al. Biodegradation of natural rubber and deproteinized natural rubber by enrichment bacterial consortia. Biodegradation 2020, 31, 303–317. [Google Scholar] [CrossRef]
- Sarkar, B.; Gupta, A.M.; Shah, M.P.; Mandal, S. Poly-cis-isoprene degradation by Nocardia sp. BSTN01 isolated from industrial waste. Appl. Biochem. Biotechnol. 2022, 194, 3333–3350. [Google Scholar] [CrossRef]
- Auta, H.S.; Emenike, C.U.; Jayanthi, B.; Fauziah, S.H. Growth kinetics and biodeterioration of polypropylene microplastics by Bacillus sp. and Rhodococcus sp. isolated from mangrove sediment. Mar. Pollut. Bull. 2018, 127, 15–21. [Google Scholar] [CrossRef]
- Miyazawa, K.; Umeyama, T.; Hoshino, Y.; Abe, K.; Miyazaki, Y. Quantitative monitoring of mycelial growth of Aspergillus fumigatus in liquid culture by optical density. Microbiol. Spectr. 2022, 10, e00063-21. [Google Scholar] [CrossRef] [PubMed]
- Maheswaran, B.; Al-Ansari, M.; Al-Humaid, L.; Sebastin Raj, J.; Kim, W.; Karmegam, N.; Mohamed Rafi, K. In vivo degradation of polyethylene terephthalate using microbial isolates from plastic polluted environment. Chemosphere 2023, 310, 136757. [Google Scholar] [CrossRef] [PubMed]
- Linos, A.; Reichelt, R.; Keller, U.; Steinbüchel, A. A gram-negative bacterium, identified as Pseudomonas aeruginosa AL98, is a potent degrader of natural rubber and synthetic cis-1, 4-polyisoprene. FEMS Microbiol. Lett. 2000, 182, 155–161. [Google Scholar] [CrossRef]
- Braga, S.P.; Dos Santos, A.P.; Paganini, T.; Barbosa, D.; Epamino, G.W.C.; Morais, C.; Martins, L.F.; Silva, A.M.; Setubal, J.C.; Vallim, M.A. First report of cis-1, 4-polyisoprene degradation by Gordonia paraffinivorans. Braz. J. Microbiol. 2019, 50, 1051–1062. [Google Scholar] [CrossRef] [PubMed]
- Verran, J.; Rowe, D.L.; Cole, D.; Boyd, R.D. The use of the atomic force microscope to visualise and measure wear of food contact surfaces. Int. Biodeterior. 2000, 46, 99–105. [Google Scholar] [CrossRef]
- Nawong, C.; Umsakul, K.; Sermwittayawong, N. Rubber gloves biodegradation by a consortium, mixed culture and pure culture isolated from soil samples. Braz. J. Microbiol. 2018, 49, 481–488. [Google Scholar] [CrossRef] [PubMed]
- Das, M.P.; Kumar, S. An approach to low-density polyethylene biodegradation by Bacillus amyloliquefaciens. 3 Biotech 2015, 5, 81–86. [Google Scholar] [CrossRef]
- Giacomucci, L.; Raddadi, N.; Soccio, M.; Lotti, N.; Fava, F. Polyvinyl chloride biodegradation by Pseudomonas citronellolis and Bacillus flexus. New Biotechnol. 2019, 52, 35–41. [Google Scholar] [CrossRef]
- Khandare, S.D.; Chaudhary, D.R.; Jha, B. Bioremediation of polyvinyl chloride (PVC) films by marine bacteria. Mar. Pollut. Bull. 2021, 169, 112566. [Google Scholar] [CrossRef]
- Cheng, X.; Xia, M.; Yang, Y. Biodegradation of vulcanized rubber by a gut bacterium from plastic-eating mealworms. J. Hazard. Mater. 2023, 448, 130940. [Google Scholar] [CrossRef]
- Roy, R.V.; Das, M.; Banerjee, R.; Bhowmick, A.K. Comparative studies on rubber biodegradation through solid-state and submerged fermentation. Process. Biochem. 2006, 41, 181–186. [Google Scholar] [CrossRef]
- Berekaa, M.M.; Linos, A.; Reichelt, R.; Keller, U.; Steinbüchel, A. Effect of pretreatment of rubber material on its biodegradability by various rubber degrading bacteria. FEMS Microbiol. Lett. 2000, 184, 199–206. [Google Scholar] [CrossRef] [PubMed]
- Tsuchii, A.; Tokiwa, Y. Colonization and disintegration of tire rubber by a colonial mutant of Nocardia. J. Biosci. Bioeng. 1999, 87, 542–544. [Google Scholar] [CrossRef]
- Basik, A.A.; Sanglier, J.-J.; Yeo, C.T.; Sudesh, K. Microbial Degradation of Rubber: Actinobacteria. Polymers 2021, 13, 1989. [Google Scholar] [CrossRef] [PubMed]
- Hu, M.; Zhao, S.; Li, C.; Wang, B.; Fu, Y.; Wang, Y. Biodesulfurization of vulcanized rubber by enzymes induced from Gordonia amicalisa. Polym. Degrad. Stab. 2016, 128, 8–14. [Google Scholar] [CrossRef]
Disclaimer/Publisher’s Note: The statements, opinions and data contained in all publications are solely those of the individual author(s) and contributor(s) and not of MDPI and/or the editor(s). MDPI and/or the editor(s) disclaim responsibility for any injury to people or property resulting from any ideas, methods, instructions or products referred to in the content. |
© 2023 by the authors. Licensee MDPI, Basel, Switzerland. This article is an open access article distributed under the terms and conditions of the Creative Commons Attribution (CC BY) license (https://creativecommons.org/licenses/by/4.0/).