DPPH Radical Scavenging Assay
Abstract
1. Introduction
1.1. Reactive Species (RS) and Oxidative Stress (OS)
1.2. Antioxidants
2. Antioxidant Methods
3. Radical Scavenging Methods
4. What Are DPPH Radicals?
5. The Synthesis of DPPH Radicals
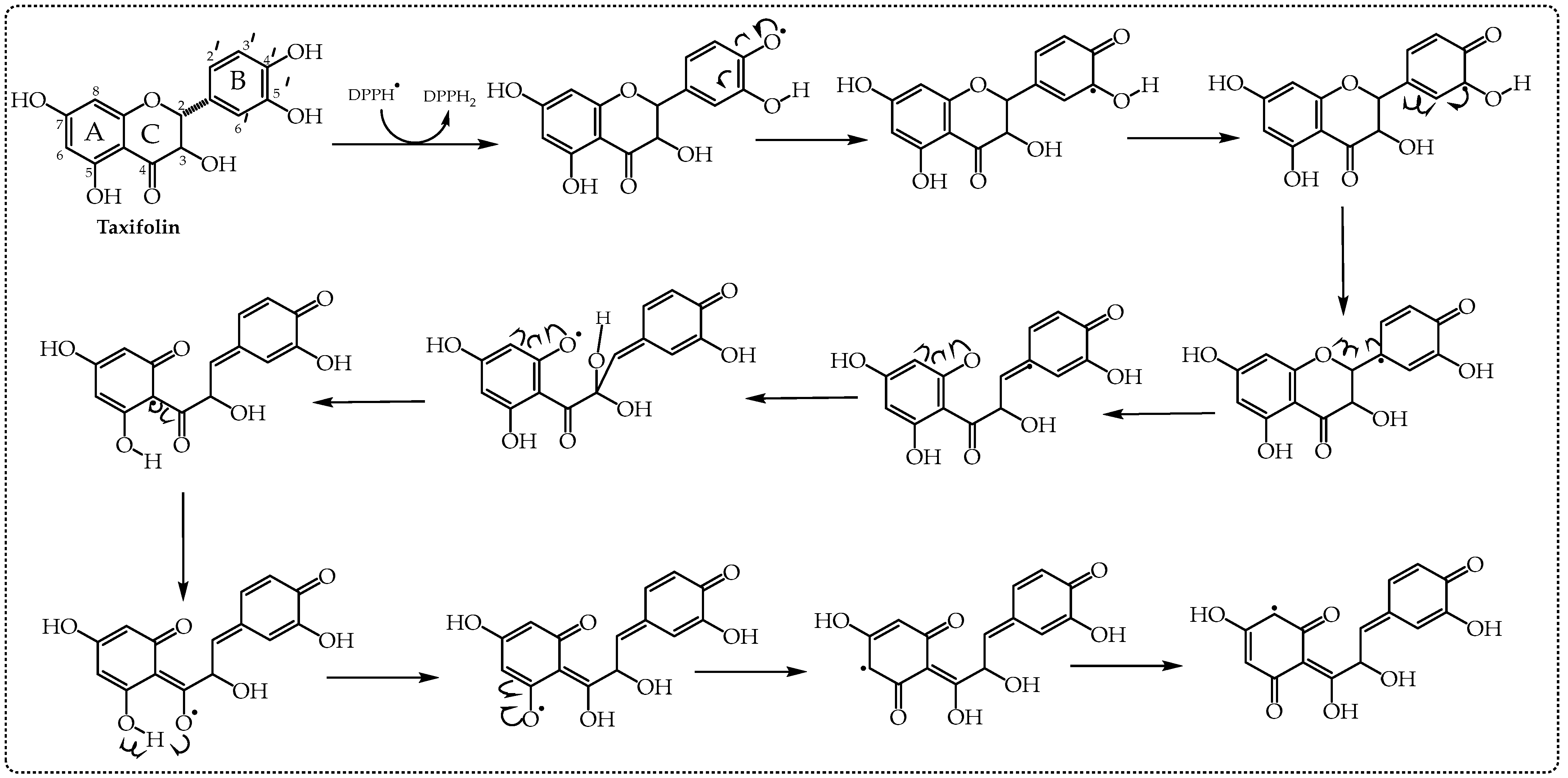
6. Interactions of DPPH· with Phenols as H-Atom Donors
7. DPPH Radical Scavenging Assays
7.1. Evaluation of DPPH Radical Scavenging
7.2. Evaluation of DPPH Radical Scavenging as TEAC
7.3. The Importance of the IC50 Value in DPPH Radical Scavenging Activity
7.4. Scope of DPPH Radical Scavenging Applications
8. Limitations of the DPPH Assay
9. Conclusions
Author Contributions
Funding
Data Availability Statement
Acknowledgments
Conflicts of Interest
References
- Gulcin, I. Antioxidants and antioxidant methods-An updated overview. Arch. Toxicol. 2020, 94, 651–715. [Google Scholar] [PubMed]
- Buyukokuroglu, M.E.; Gulcin, I.; Oktay, M.; Küfrevioglu, O.I. In vitro antioxidant properties of dantrolene sodium. Pharmacol. Res. 2001, 44, 491–494. [Google Scholar] [CrossRef] [PubMed]
- Ionita, P. The chemistry of DPPH· free radical and congeners. Int. J. Mol. Sci. 2021, 22, 1545. [Google Scholar] [CrossRef] [PubMed]
- Gulcin, I.; Mshvildadze, V.; Gepdiremen, A.; Elias, R. Screening of antioxidant and antiradical activity of monodesmosides and crude extract from Leontice smirnowii Tuber. Phytomedicine 2006, 13, 343–351. [Google Scholar] [CrossRef]
- Altay, A.; Tohma, H.; Durmaz, L.; Taslimi, P.; Korkmaz, M.; Gulcin, I.; Koksal, E. Preliminary phytochemical analysis and evaluation of in vitro antioxidant, antiproliferative, antidiabetic and anticholinergics effects of endemic Gypsophila taxa from Turkey. J. Food Biochem. 2019, 43, e12908. [Google Scholar] [CrossRef]
- Munteanu, I.G.; Apetrei, C. Analytical methods used in determining antioxidant activity: A review. Int. J. Mol. Sci. 2021, 22, 3380. [Google Scholar] [CrossRef]
- Balaydın, H.T.; Gulcin, I.; Menzek, A.; Goksu, S.; Sahin, E. Synthesis and antioxidant properties of diphenylmethane derivative bromophenols including a natural product. J. Enzym. Inhib. Med. Chem. 2010, 25, 685–695. [Google Scholar] [CrossRef]
- Kedare, S.B.; Sing, R.P. Genesis and development of DPPH method of antioxidant assay. J. Food Sci. Technol. 2011, 48, 412–422. [Google Scholar] [CrossRef]
- Cetinkaya, Y.; Gocer, H.; Menzek, A.; Gulcin, I. Synthesis and antioxidant properties of (3,4-dihydroxyphenyl) (2,3,4-trihydroxyphenyl)methanone and its derivatives. Arch. Pharm. 2012, 345, 323–334. [Google Scholar] [CrossRef]
- Koksal, E.; Bursal, E.; Dikici, E.; Tozoglu, F.; Gulcin, I. Antioxidant activity of Melissa officinalis leaves. J. Med. Plants Res. 2011, 5, 217–222. [Google Scholar]
- Tohma, H.; Altay, A.; Koksal, E.; Gören, A.C.; Gulcin, I. Measurement of anticancer, antidiabetic and anticholinergic properties of sumac (Rhus coriaria)-Analysis of its phenolic compounds by LC-MS/MS. J. Food Meas. Charac. 2019, 13, 1607–1619. [Google Scholar] [CrossRef]
- Rodrigo, R. Oxidative Stress and Antioxidants: Their Role in Human Diseases; Nova: New York, NY, USA, 2009; pp. 9–10. [Google Scholar]
- Christodoulou, M.C.; Orellana Palacios, J.C.; Hesami, G.; Jafarzadeh, S.; Lorenzo, J.M.; Domínguez, R.; Moreno, A.; Hadidi, M. Spectrophotometric methods for measurement of antioxidant activity in food and pharmaceuticals. Antioxidants 2022, 11, 2213. [Google Scholar] [CrossRef] [PubMed]
- Gulcin, I. Antioxidant activity of food constituents: An overview. Arch. Toxicol. 2012, 86, 345–391. [Google Scholar] [CrossRef] [PubMed]
- Sehitoglu, M.H.; Han, H.; Kalin, P.; Gucin, I.; Ozkan, A.; Aboul-Enein, H.Y. Pistachio (Pistacia vera L.) gum: A potent inhibitor of reactive oxygen species. J. Enzyme Inhib. Med. Chem. 2015, 30, 264–269. [Google Scholar] [CrossRef] [PubMed]
- Gulcin, I.; Bursal, E.; Sehitoglu, H.M.; Bilsel, M.; Goren, A.C. Polyphenol contents and antioxidant activity of lyophilized aqueous extract of propolis from Erzurum, Turkey. Food Chem. Toxicol. 2010, 48, 2227–2238. [Google Scholar] [CrossRef]
- Karagecili, H.; Yılmaz, M.A.; Erturk, A.; Kızıltas, H.; Güven, L.; Alwasel, S.H.; Gulcin, I. Comprehensive metabolite profiling of Berdav propolis using LC-MS/MS: Determination of antioxidant, anticholinergic, antiglaucoma, and antidiabetic effects. Molecules 2023, 28, 1739. [Google Scholar] [CrossRef]
- Gulcin, I. Comparison of in vitro antioxidant and antiradical activities of L-Tyrosine and L-Dopa. Amino Acids 2007, 32, 431–843. [Google Scholar] [CrossRef]
- Aytac, S.; Gundogdu, O.; Bingol, Z.; Gulcin, I. Synthesis of Schiff bases containing phenol ring and investigation of their antioxidant capacity, anticholinesterase, butyrylcholinesterase and carbonic anhydrase inhibition properties. Pharmaceutics 2023, 15, 779. [Google Scholar]
- Elmastas, M.; Turkekul, I.; Ozturk, L.; Gulcin, I.; Isıldak, O.; Aboul-Enein, H.Y. The antioxidant activity of two wild edible mushrooms (Morchella vulgaris and Morchella esculanta). Comb. Chem. High Throughput Screen. 2006, 9, 443–448. [Google Scholar] [CrossRef]
- Bae, J.H.; Park, Y.J.; Namiesnik, J.; Gulcin, I.; Kim, T.C.; Kim, H.C.; Heo, B.G.; Gorinstein, S.; Ku, Y.G. Effects of artificial lighting on bioactivity of sweet red pepper (Capsicum annuum L.). Int. J. Food Sci. Technol. 2016, 51, 1378–1385. [Google Scholar] [CrossRef]
- Rezai, M.; Bayrak, C.; Taslimi, P.; Gulcin, I.; Menzek, A. The first synthesis, antioxidant and anticholinergic activities of 1-(4,5-dihydroxybenzyl)pyrrolidin-2-one derivative bromophenols including natural products. Turk. J. Chem. 2018, 42, 808–825. [Google Scholar]
- Talaz, O.; Gulcin, I.; Goksu, S.; Saracoglu, N. Antioxidant activity of 5,10-dihydroindeno[1,2-b]indoles containing substituents on dihydroindeno part. Bioorg. Med. Chem. 2009, 17, 6583–6589. [Google Scholar] [CrossRef]
- Gulcin, I.; Dastan, A. Synthesis of dimeric phenol derivatives and determination of in vitro antioxidant and radical scavenging activities. J. Enzym. Inhib. Med. Chem. 2007, 22, 685–695. [Google Scholar] [CrossRef]
- Oztaskin, N.; Kaya, R.; Maras, A.; Sahin, E.; Gulcin, I.; Goksu, S. Synthesis and characterization of novel bromophenols: Determination of their anticholinergic, antidiabetic and antioxidant activities. Bioorg. Chem. 2019, 87, 91–102. [Google Scholar] [CrossRef] [PubMed]
- Gulcin, I.; Alici, H.A.; Cesur, M. Determination of in vitro antioxidant and radical scavenging activities of propofol. Chem. Pharm. Bull. 2005, 53, 281–285. [Google Scholar] [CrossRef] [PubMed]
- Gulcin, I.; Buyukokuroglu, M.E.; Oktay, M.; Kufrevioglu, O.I. On the in vitro antioxidant properties of melatonin. J. Pineal Res. 2002, 33, 167–171. [Google Scholar] [CrossRef]
- Lourenco, S.C.; Moldao-Martins, M.; Alves, V.D. Antioxidants of natural plant origins: From sources to food industry applications. Molecules 2019, 24, 4132. [Google Scholar] [CrossRef]
- Gulcin, I.; Sat, I.G.; Beydemir, S.; Kufrevioglu, O.I. Evaluation of the in vitro antioxidant properties of extracts of broccoli (Brassica oleracea L.). Ital. J. Food Sci. 2004, 16, 17–30. [Google Scholar]
- Hamad, H.O.; Alma, M.H.; Gulcin, I.; Yılmaz, M.A.; Karaogul, E. Evaluation of phenolic contents and bioactivity of root and nutgall extracts from Iraqian Quercus infectoria Olivier. Rec. Nat. Prod. 2017, 11, 205–210. [Google Scholar]
- Gulcin, I. Measurement of antioxidant ability of melatonin and serotonin by the DMPD and CUPRAC methods as trolox equivalent. J. Enzym. Inhib. Med. Chem. 2008, 23, 871–876. [Google Scholar] [CrossRef]
- Topal, M.; Gocer, H.; Topal, F.; Kalin, P.; Polat Kose, P.; Gulcin, I.; Cakmak, K.C.; Kucuk, M.; Durmaz, L.; Goren, A.C.; et al. Antioxidant, antiradical and anticholinergic properties of cynarin purified from the illyrian thistle (Onopordum illyricum L.). J. Enzym. Inhib. Med. Chem. 2016, 31, 266–275. [Google Scholar] [CrossRef]
- Cakmakcı, S.; Topdas, E.F.; Kalın, P.; Han, H.; Sekerci, P.; Polat Kose, L.; Gulcin, I. Antioxidant capacity and functionality of oleaster (Elaeagnus angustifolia L.) flour and crust in a new kind of fruity ice cream. Int. J. Food Sci. Technol. 2015, 50, 472–481. [Google Scholar] [CrossRef]
- Fenton, H.J.H. Oxidation of tartaric acid in the presence of iron. J. Chem. Soc. Trans. 1984, 65, 899–910. [Google Scholar]
- Haber, F.; Weiss, J. The catalytic decomposition of hydrogen peroxide by iron salts. Proc. Roy. Soc. Lond. Ser. A 1934, 147, 332–351. [Google Scholar]
- Gulcin, I.; Elias, R.; Gepdiremen, A.; Boyer, L.; Koksal, E. A comparative study on the antioxidant activity of fringe tree (Chionanthus virginicus L.) extracts. Afr. J. Biotechnol. 2007, 6, 410–418. [Google Scholar]
- Gulcin, I.; Berashvili, D.; Gepdiremen, A. Antiradical and antioxidant activity of total anthocyanins from Perilla pankinensis decne. J. Ethnopharmacol. 2005, 101, 287–293. [Google Scholar] [CrossRef] [PubMed]
- Gulcin, I.; Buyukokuroglu, M.E.; Kufrevioglu, O.I. Metal chelating and hydrogen peroxide scavenging effects of melatonin. J. Pineal Res. 2003, 34, 278–281. [Google Scholar] [CrossRef]
- Aksu, K.; Ozgeriş, B.; Taslimi, P.; Naderi, A.; Gulcin, I.; Goksu, S. Antioxidant activity, acetylcholinesterase and carbonic anhydrase inhibitory properties of novel ureas derived from phenethylamines. Arch. Pharm. 2016, 349, 944–954. [Google Scholar]
- Gulcin, I.; Oktay, M.; Küfrevioglu, O.I.; Aslan, A. Determinations of antioxidant activity of lichen Cetraria islandica (L.) Ach. J. Ethnopharmacol. 2002, 79, 325–329. [Google Scholar] [PubMed]
- Buyukokuroglu, M.E.; Gulcin, I. In vitro antioxidant and antiradical properties of Hippophae rhamnoides L. Pharmacog. Mag. 2009, 4, 189–195. [Google Scholar]
- Gulcin, I.; Beydemir, S.; Hisar, O.; Koksal, E.; Reiter, R.J. Melatonin administration increases antioxidant enzymes activities and reduce lipid peroxidation in the rainbow trout (Oncorhynchus mykiss, Walbaum) erythrocytes. Turk. J. Vet. Anim. Sci. 2009, 33, 241–245. [Google Scholar]
- Gulcin, I.; Elias, R.; Gepdiremen, A.; Chea, A.; Topal, F. Antioxidant activity of bisbenzylisoquinoline alkaloids from Stephania rotunda: Cepharanthine and fangchinoline. J. Enzym. Inhib. Med. Chem. 2010, 25, 44–53. [Google Scholar] [CrossRef] [PubMed]
- Gulcin, I.; Topal, F.; Ozturk Sarikaya, S.B.; Bursal, E.; Gören, A.C.; Bilsel, M. Polyphenol contents and antioxidant properties of medlar (Mespilus germanica L.). Rec. Nat. Prod. 2011, 5, 158–175. [Google Scholar]
- Gulcin, I.; Topal, F.; Cakmakcı, R.; Goren, A.C.; Bilsel, M.; Erdogan, U. Pomological features, nutritional quality, polyphenol content analysis and antioxidant properties of domesticated and three wild ecotype forms of raspberries (Rubus idaeus L.). J. Food Sci. 2011, 76, C585–C593. [Google Scholar] [CrossRef]
- Shantabi, L.; Jagetia, G.C.; Ali, M.A.; Singh, T.T.; Devi, S.V. Antioxidant potential of Croton caudatus leaf extract in vitro. Transl. Med. Biotechnol. 2014, 2, 1–15. [Google Scholar]
- Gocer, H.; Gulcin, I. Caffeic acid phenethyl ester (CAPE): Correlation of structure and antioxidant properties. Int. J. Food Sci. Nutr. 2011, 62, 821–825. [Google Scholar] [CrossRef]
- Gülçin, İ.; Beydemir, S.; Topal, F.; Gagua, N.; Bakuridze, A.; Bayram, R.; Gepdiremen, A. Apoptotic, antioxidant and antiradical effects of majdine and isomajdine from Vinca herbacea Waldst. and kit. J. Enzym. Inhib. Med. Chem. 2012, 27, 587–594. [Google Scholar] [CrossRef]
- Gulcin, I.; Elmastas, M.; Aboul-Enein, H.Y. Antioxidant activity of clove oil-A powerful antioxidant source. Arab. J. Chem. 2012, 5, 489–499. [Google Scholar] [CrossRef]
- Gulcin, I.; Beydemir, S. Phenolic compounds as antioxidants: Carbonic anhydrase isoenzymes inhibitors. Mini Rev. Med. Chem. 2013, 13, 408–430. [Google Scholar] [PubMed]
- Shahidi, F.; Zhong, Y. Revisiting the polar paradox theory: A critical overview. J. Agric. Food Chem. 2011, 59, 3499–3504. [Google Scholar] [CrossRef]
- Gocer, H.; Akıncıoglu, A.; Oztaskin, N.; Goksu, S.; Gulcin, I. Synthesis, antioxidant and antiacetylcholinesterase activities of sulfonamide derivatives of dopamine related compounds. Arch. Pharm. 2013, 346, 783–792. [Google Scholar] [CrossRef]
- Aksu, K.; Topal, F.; Gulcin, I.; Tumer, F.; Goksu, S. Acetylcholinesterase inhibitory and antioxidant activities of novel symmetric sulfamides derived from phenethylamines. Arch. Pharm. 2015, 348, 446–455. [Google Scholar] [CrossRef] [PubMed]
- Halliwell, B. Oxidative stress, nutrition and health. Experimental strategies for optimization of nutritional antioxidant intake in humans. Free Radic. Res. 1996, 25, 57–74. [Google Scholar] [CrossRef] [PubMed]
- Isık, M.; Korkmaz, M.; Bursal, E.; Gulcin, I.; Koksal, E.; Tohma, H. Determination of antioxidant properties of Gypsophila bitlisensis. Int. J. Pharmacol. 2015, 11, 366–371. [Google Scholar] [CrossRef]
- Boztas, M.; Taslimi, P.; Yavari, M.A.; Gulcin, I.; Sahin, E.; Menzek, A. Synthesis and biological evaluation of bromophenol derivatives with cyclopropyl moiety: Ring opening of cyclopropane with monoester. Bioorg. Chem. 2019, 89, 103017. [Google Scholar] [CrossRef]
- Garibov, E.; Taslimi, P.; Sujayev, A.; Bingol, Z.; Cetinkaya, S.; Gulcin, İ.; Beydemir, S.; Farzaliyev, V.; Alwasel, S.H.; Supuran, C.T. Synthesis of 4,5-disubstituted-2-thioxo-1,2,3,4-tetrahydropyrimidines and investigation of their acetylcholinesterase, butyrylcholinesterase, carbonic anhydrase I/II inhibitory and antioxidant activities. J. Enzym. Inhib. Med. Chem. 2016, 31, 1–9. [Google Scholar] [CrossRef]
- Ekinci Akdemir, F.N.; Gulcin, I.; Alwasel, S. A comparative study on the antioxidant effects of hesperidin and ellagic acid against skeletal muscle ischemia/reperfusion injury. J. Enzym. Inhib. Med. Chem. 2016, 31, 114–118. [Google Scholar] [CrossRef] [PubMed]
- Koksal, E.; Bursal, E.; Gulcin, I.; Korkmaz, M.; Caglayan, C.; Goren, A.C.; Alwasel, S.H. Antioxidant activity and polyphenol content of Turkish thyme (Thymus vulgaris) monitored by LC-MS/MS. Int. J. Food Prop. 2017, 20, 514–525. [Google Scholar] [CrossRef]
- Koksal, E.; Tohma, S.H.; Kılıc, O.; Alan, Y.; Aras, A.; Gulcin, I.; Bursal, E. Assessment of antimicrobial and antioxidant activities of Nepeta trachonitica-Analysis of its phenolic compounds using HPLC-MS/MS. Sci. Pharmaceut. 2017, 15, 85. [Google Scholar] [CrossRef]
- Shahidi, F.; Zhong, Y. Measurement of antioxidant activity. J. Funct. Foods 2015, 18, 757–781. [Google Scholar] [CrossRef]
- Oztaskın, N.; Taslimi, P.; Maras, A.; Goksu, S.; Gulcin, I. Novel antioxidant bromophenols with acetylcholinesterase, butyrylcholinesterase and carbonic anhydrase inhibitory actions. Bioorg. Chem. 2017, 74, 104–114. [Google Scholar] [CrossRef] [PubMed]
- Huyut, Z.; Beydemir, S.; Gulcin, I. Antioxidant and antiradical properties of some flavonoids and phenolic compounds. Biochem. Res. Int. 2017, 2017, 7616791. [Google Scholar] [CrossRef] [PubMed]
- Bulut, N.; Koçyiğit, U.M.; Gecibesler, I.H.; Dastan, T.; Karci, H.; Taslimi, P.; Durna Dastan, S.; Gulcin, I.; Cetin, A. Synthesis of some novel pyridine compounds containing bis-1,2,4-triazole moiety and investigation of their antioxidant properties, carbonic anhydrase and acetylcholinesterase enzymes inhibition profiles. J. Biochem. Mol. Toxicol. 2018, 32, e22006. [Google Scholar]
- Taslimi, P.; Sujayev, E.; Turkan, F.; Garibov, E.; Huyut, Z.; Farzaliyev, F.; Mamedova, S.; Gulcin, I. Synthesis and investigation of the conversion reactions of pyrimidine-thiones with nucleophilic reagent and evaluation of their acetylcholinesterase, carbonic anhydrase inhibition and antioxidant activities. J. Biochem. Mol. Toxicol. 2018, 32, e22019. [Google Scholar]
- Elmastas, M.; Celik, S.M.; Genc, N.; Aksit, H.; Erenler, R.; Gulcin, I. Antioxidant activity of an Anatolian herbal tea-Origanum minutiflorum: Isolation and characterization of its secondary metabolites. Int. J. Food Prop. 2018, 21, 374–384. [Google Scholar] [CrossRef]
- Gulcin, I.; Taslimi, P.; Aygun, A.; Sadeghian, N.; Bastem, E.; Kufrevioglu, O.I.; Turkan, F.; Sen, F. Antidiabetic and antiparasitic potentials: Inhibition effects of some natural antioxidant compounds on α-glycosidase, α-amylase and human glutathione S-transferase enzymes. Int. J. Biol. Macromol. 2018, 119, 741–746. [Google Scholar] [CrossRef]
- Askın, H.; Yılmaz, B.; Gulcin, I.; Taslimi, P.; Bakırcı, S.; Yıldız, M.; Kandemir, N. Antioxidant activities of aqueous extract from Iris taochia and identification of its natural chemical compounds pharmacognosy and phytochemistry. Ind. J. Pharm. Sci. 2018, 80, 802–812. [Google Scholar] [CrossRef]
- Maharramova, G.; Taslimi, P.; Sujayev, A.; Farzaliyev, F.; Durmaz, L.; Gulcin, I. Synthesis, characterization, antioxidant, antidiabetic, anticholinergic, and antiepileptic properties of novel N-substituted tetrahydropyrimidines based on phenylthiourea. J. Biochem. Mol. Toxicol. 2018, 32, e22221. [Google Scholar] [CrossRef]
- Eruygur, N.; Atas, M.; Tekin, M.; Taslimi, P.; Koçyigit, U.M.; Gulcin, I. In vitro antioxidant, antimicrobial, anticholinesterase and antidiabetic activities of Turkish endemic Achillea cucullata (Asteraceae) from ethanol extract. S. Afr. J. Bot. 2019, 120, 141–145. [Google Scholar] [CrossRef]
- Floegel, A.; Kim, D.O.; Chung, S.J.; Koo, S.I.; Chun, O.K. Comparison of ABTS/DPPH assays to measure antioxidant capacity in popular antioxidant-rich US foods. J. Food Comp. Anal. 2011, 24, 1043–1048. [Google Scholar]
- Shahidi, F.; Wanasundara, P.D. Phenolic antioxidants. Crit. Rev. Food Sci. Nutr. 1992, 32, 67–103. [Google Scholar] [CrossRef]
- Çakmakcı, S.; Oz, E.; Cakıroglu, K.; Polat, A.; Gulcin, I.; Ilgaz, S.; Cheraghi, K.S.; Ozhamamcı, I. Probiotic shelf life, antioxidant, sensory, physical and chemical properties of yogurts produced with Lactobacillus acidophilus and green tea powder. Kafkas Univ. Vet. Fak. Der. 2019, 25, 673–682. [Google Scholar]
- Buldurun, K.; Turan, N.; Bursal, E.; Mantarcı, A.; Turkan, F.; Taslimi, P.; Gulcin, I. ; Synthesis, spectroscopic properties, crystal structures, antioxidant activities and enzyme inhibition determination of Co(II) and Fe(II) complexes of Schiff base. Res. Chem. Intermed. 2020, 46, 283–297. [Google Scholar] [CrossRef]
- Turkan, F.; Atalar, M.N.; Aras, A.; Gulcin, I.; Bursal, E. ICP-MS and HPLC analyses, enzyme inhibition and antioxidant potential of Achillea schischkinii Sosn. Bioorg. Chem. 2020, 94, 103333. [Google Scholar] [CrossRef] [PubMed]
- Taslimi, P.; Koksal, E.; Goren, A.C.; Bursal, E.; Aras, A.; Kılıc, O.; Alwasel, S.; Gulcin, I. Anti-Alzheimer, antidiabetic and antioxidant potential of Satureja cuneifolia and analysis of its phenolic contents by LC-MS/MS. Arab. J. Chem. 2020, 13, 4528–4537. [Google Scholar] [CrossRef]
- Artunc, T.; Menzek, A.; Taslimi, P.; Gulcin, I.; Kazaz, C.; Sahin, E. Synthesis and antioxidant activities of phenol derivatives from 1,6-bis(dimethoxyphenyl)hexane-1,6-dione. Bioorg. Chem. 2020, 100, 103884. [Google Scholar] [CrossRef]
- Goldschmidt, S.; Renn, K. Zweiwertiger sticlstoff: Über das α,α-diphenyl-β-trinitrophenyl hydrazyl. Ber. Dtsch. Chem. Ges. B 2022, B55, 628–643. [Google Scholar]
- Blois, M.S. Antioxidant determinations by the use of a stable free radical. Nature 1958, 181, 1199–1200. [Google Scholar] [CrossRef]
- Bondet, V.; Brand-Williams, W.; Berset, C. Kinetics and mechanism of antioxidant activity using the DPPH free radical method. Lebensm. Wiss. Technol. 1997, 30, 609–615. [Google Scholar] [CrossRef]
- Foti, M.C. Use and abuse of the DPPH· radical. J. Agric. Food Chem. 2015, 63, 8765–8776. [Google Scholar] [CrossRef]
- Kawai, A.; Shibuya, K. Energy separation between quartet and doublet spin states of radical-triplet encounter pairs; unusual ferromagnetic interaction in a 1,1-diphenyl-2-picrylhydrazyl and triplet coronene pair. J. Phys. Chem. A 2002, 106, 12305–12314. [Google Scholar] [CrossRef]
- Chen, O.; Zhuang, J.; Guzzetta, F.; Lynch, J.; Angerhofer, A.; Cao, Y.C. Synthesis of water-soluble 2,2′-diphenyl-1-picrylhydrazyl nanoparticles: A new standard for electron paramagnetic resonance spectroscopy. J. Am. Chem. Soc. 2009, 131, 12542–12543. [Google Scholar] [CrossRef]
- Yapıcı, I.; Altay, A.; Ozturk Sarikaya, S.B.; Korkmaz, M.; Atila, A.; Gulcin, I.; Koksal, E. In vitro antioxidant and cytotoxic activities of extracts of endemic Tanacetum erzincanense together with phenolic content by LC-ESI-QTOF-MS. Chem. Biodivers. 2021, 18, e2000812. [Google Scholar] [CrossRef]
- Xie, J.; Schaich, K.M. Re-evaluation of the 2,2-diphenyl-1-picrylhydrazyl free radical (DPPH) assay for antioxidant activity. J. Agric. Food Chem. 2014, 62, 4251–4260. [Google Scholar] [CrossRef] [PubMed]
- Erdogan, M.; Polat Kose, L.; Essiz, S.; Gulcin, I. Synthesis and biological evaluation of some L-naphthol derivatives as antioxidants, acetylcholinesterase, carbonic anhydrase inhibitors. Arch. Pharm. 2021, 354, e2100113. [Google Scholar] [CrossRef]
- Ozcelik, B.; Lee, J.H.; Min, D.B. Effects of light, oxygen, and pH on the absorbance of 2,2-diphenyl-1-picrylhydrazyl. J. Food Sci. 2003, 68, 487–490. [Google Scholar] [CrossRef]
- Ingold, K.U.; Pratt, D.A. Advances in radical-trapping antioxidant chemistry in the 21st century: A kinetics and mechanisms perspective. Chem. Rev. 2014, 114, 9022–9046. [Google Scholar]
- Foti, M.C. Antioxidant properties of phenols. J. Pharm. Pharmacol. 2007, 59, 1673–1685. [Google Scholar] [CrossRef] [PubMed]
- Alfassi, Z. Peroxyl Radicals; Wiley: Chichester, UK, 1997. [Google Scholar]
- Foti, M.C.; Daquino, C.; Geraci, C. Electron-transfer reaction of cinnamic acids and their methyl esters with the DPPH radical in alcoholic solutions. J. Org. Chem. 2004, 69, 2309–2314. [Google Scholar] [CrossRef] [PubMed]
- Conquer, J.A.; Maiani, G.; Azzini, E.; Raguzzini, A.; Holub, B.J. Supplementation with quercetin markedly increases plasma quercetin concentration without effect on selected risk factors for heart disease in healthy subjects. J. Nutr. 1998, 128, 593–597. [Google Scholar] [CrossRef]
- Foti, M.C.; Daquino, C.; DiLabio, G.A.; Ingold, K.U. Kinetics of the oxidation of quercetin by 2,2-diphenyl-1-picrylhydrazyl (DPPH·). Org. Lett. 2011, 13, 4826–4829. [Google Scholar] [CrossRef] [PubMed]
- Apak, R.; Calokerinos, A.; Gorinstein, S.; Segundo, M.A.; Hibbert, D.B.; Gulcin, I.; Demirci Cekic, S.; Guclu, K.; Ozyurek, M.; Esin Celik, S.; et al. Methods to evaluate the scavenging activity of antioxidants toward reactive oxygen and nitrogen species. Pure Appl. Chem. 2022, 94, 87–144. [Google Scholar] [CrossRef]
- Shahidi, F.; Ambigaipalan, P. Phenolics and polyphenolics in foods, beverages and spices: Antioxidant activity and health effects-A review. J. Funct. Foods 2015, 18, 820–897. [Google Scholar]
- Litwinienko, G.; Ingold, K.U. Abnormal solvent effects on hydrogen atom abstraction. 3. Novel kinetics in sequential proton loss electron transfer chemistry. J. Org. Chem. 2005, 70, 8982–8990. [Google Scholar] [CrossRef] [PubMed]
- Musialik, M.; Kuzmicz, R.; Pawlowski, T.S.; Litwinienko, G. Acidity of hydroxyl groups: An overlooked influence on antiradical properties of flavonoids. J. Org. Chem. 2009, 74, 2699–2709. [Google Scholar] [CrossRef] [PubMed]
- Diplock, A.T.; Charleux, J.L.; Crozier-Willi, G.; Kok, F.J.; Rice-Evans, C.; Roberfroid, M.; Stahl, W.; Vina-Ribes, J. Functional food science and defence against reactive oxidative species. Br. J. Nutr. 1998, 80, S77–S112. [Google Scholar] [CrossRef]
- Cetin Cakmak, K.; Gulcin, I. Anticholinergic and antioxidant activities of usnic acid-An activity-structure insight. Toxicol. Rep. 2019, 6, 1273–1280. [Google Scholar] [CrossRef]
- Soares, J.R.; Dinis, T.C.; Cunha, A.P.; Almeida, L.M. Antioxidant activities of some extracts of Thymus zygis. Free Radic. Res. 1997, 26, 469–478. [Google Scholar] [CrossRef]
- Brand-Williams, W.; Cuvelier, M.E.; Berset, C. Use of a free radical method to evaluate antioxidant activity. Lebensm. Wissen. Technol. 1995, 28, 25–30. [Google Scholar] [CrossRef]
- Ozaslan, M.S.; Saglamtas, R.; Demir, Y.; Genc, Y.; Saracoglu, I.; Gulcin, I. Isolation of some phenolic compounds from Plantago subulata L. and determination of its antidiabetic, anticholinesterase, antiepileptic and antioxidant activity. Chem. Biodivers. 2022, 19, e202200280. [Google Scholar] [CrossRef]
- Koca, M.; Gulcin, I.; Uç, E.M.; Bilginer, S.; Aydın, A.S. Evaluation of antioxidant potentials and acetylcholinesterase inhibitory efects of some new salicylic acid-salicylamide hybrids. J. Iran. Chem. Soc. 2023, 20, 1535–1543. [Google Scholar] [CrossRef]
- Gulcin, I.; Alwasel, S.H. Metal ions, metal chelators and metal chelating assay as antioxidant method. Processes 2022, 10, 132. [Google Scholar] [CrossRef]
- Ak, T.; Gulcin, I. Antioxidant and radical scavenging properties of curcumin. Chem. Biol. Interact. 2008, 174, 27–37. [Google Scholar] [CrossRef] [PubMed]
- Gulcin, I. Antioxidant properties of resveratrol: A structure-activity insight. Innov. Food Sci. Emerg. 2010, 11, 210–218. [Google Scholar] [CrossRef]
- Gulcin, I. Antioxidant activity of eugenol-a structure and activity relationship study. J. Med. Food 2011, 14, 975–985. [Google Scholar] [CrossRef] [PubMed]
- Durmaz, L.; Erturk, A.; Akyuz, M.; Polat Kose, L.; Uc, E.M.; Bingol, Z.; Sağlamtas, R.; Alwasel, S.; Gulcin, I. Screening of carbonic anhydrase, acetylcholinesterase, butyrylcholinesterase and α-glycosidase enzymes inhibition effects and antioxidant activity of coumestrol. Molecules 2022, 27, 3091. [Google Scholar] [CrossRef] [PubMed]
- Durmaz, L.; Kiziltas, H.; Guven, L.; Karagecili, H.; Alwasel, S.; Gulcin, I. Antioxidant, antidiabetic, anticholinergic, and antiglaucoma effects of magnofluorine. Molecules 2022, 27, 5902. [Google Scholar] [CrossRef] [PubMed]
- Gulcin, I.; Mshvildadze, V.; Gepdiremen, A.; Elias, R. Antioxidant activity of saponins isolated from ivy: (-Hederin, hederasaponin-C, hederacolchiside-E and hederacolchiside F. Planta Med. 2004, 70, 561–563. [Google Scholar] [CrossRef]
- Gulcin, I.; Mshvildadze, V.; Gepdiremen, A.; Elias, R. Antioxidant activity of a triterpenoid glycoside isolated from the berries of Hedera colchica: 3-O-(β-D-glucopyranosyl)-hederagenin. Phytother. Res. 2004, 20, 130–134. [Google Scholar] [CrossRef] [PubMed]
- Gulcin, I.; Beydemir, S.; Alici, H.A.; Elmastas, M.; Büyükokuroglu, M.E. In vitro antioxidant properties of morphine. Pharmacol. Res. 2004, 49, 59–66. [Google Scholar] [CrossRef]
- Gulcin, I.; Oktay, M.; Koksal, E.; Serbetci, H.; Beydemir, S.; Kufrevioglu, O.I. Antioxidant and radical scavenging activities of uric acid. Asian J. Chem. 2008, 20, 2079–2090. [Google Scholar]
- Gulcin, I. Antioxidant activity of caffeic acid (3,4-dihydroxycinnamic acid). Toxicology 2006, 217, 213–220. [Google Scholar] [CrossRef] [PubMed]
- Gulcin, I.; Huyut, Z.; Elmastas, M.; Aboul-Enein, H.Y. Radical scavenging and antioxidant activity of tannic acid. Arab. J. Chem. 2010, 3, 43–53. [Google Scholar] [CrossRef]
- Topal, M.; Gulcin, I. Evaluation of the in vitro antioxidant, antidiabetic and anticholinergic properties of rosmarinic acid from rosemary (Rosmarinus officinalis L.). Biocat. Agric. Biotechnol. 2022, 43, 102417. [Google Scholar] [CrossRef]
- Gulcin, I. Antioxidant and antiradical activities of L-carnitine. Life Sci. 2006, 78, 803–811. [Google Scholar] [CrossRef] [PubMed]
- Gulcin, I. Antioxidant activity of L-Adrenaline: An activity-structure insight. Chem. Biol. Interact. 2009, 179, 71–80. [Google Scholar] [CrossRef]
- Koksal, E.; Gulcin, I.; Ozturk Sarikaya, S.B.; Bursal, E. On the in vitro antioxidant activity of silymarin. J. Enzym. Inhib. Med. Chem. 2009, 24, 395–405. [Google Scholar] [CrossRef]
- Topal, F.; Topal, M.; Gocer, H.; Kalın, P.; Kocyigit, U.M.; Gulcin, I.; Alwasel, S.H. Antioxidant activity of taxifolin: An activity-structure relationship. J. Enzym. Inhib. Med. Chem. 2016, 31, 674–683. [Google Scholar] [CrossRef]
- Taslimi, P.; Gulcin, I. Antioxidant and anticholinergic properties of olivetol. J. Food Biochem. 2018, 42, e12516. [Google Scholar] [CrossRef]
- Polat Kose, L.; Gulcin, I. Evaluation of the antioxidant and antiradical properties of some phyto and mammalian lignans. Molecules 2021, 26, 7099. [Google Scholar] [CrossRef]
- Gulcin, I.; Elias, R.; Gepdiremen, A.; Taoubi, K.; Koksal, E. Antioxidant secoiridoids from fringe tree (Chionanthus virginicus L.). Wood Sci. Technol. 2009, 43, 195–212. [Google Scholar] [CrossRef]
- Gulcin, I.; Oktay, M.; Kirecci, E.; Kufrevioglu, O.I. Screening of antioxidant and antimicrobial activities of anise (Pimpinella anisum L.) seed extracts. Food Chem. 2003, 83, 371–382. [Google Scholar] [CrossRef]
- Oktay, M.; Gulcin, I.; Kufrevioglu, O.I. Determination of in vitro antioxidant activity of fennel (Foeniculum vulgare) seed extracts. Lebens. Wissen. Technol. 2003, 36, 263–271. [Google Scholar] [CrossRef]
- Gulcin, I.; Tel, A.Z.; Goren, A.C.; Taslimi, P.; Alwasel, S. Sage (Salvia pilifera): Determination its polyphenol contents, anticholinergic, antidiabetic and antioxidant activities. J. Food Meas. Charac. 2019, 13, 2062–2074. [Google Scholar] [CrossRef]
- Kiziltas, H.; Bingol, Z.; Goren, A.C.; Alwasel, S.H.; Gulcin, I. Anticholinergic, antidiabetic and antioxidant activities of Ferula orientalis L.-Analysis of its polyphenol contents by LC-HRMS. Rec. Nat. Prod. 2021, 15, 513–528. [Google Scholar] [CrossRef]
- Gulcin, I.; Sat, I.G.; Beydemir, S.; Elmastas, M.; Kufrevioglu, O.I. Comparison of antioxidant activity of clove (Eugenia caryophylata Thunb) buds and lavender (Lavandula stoechas L.). Food Chem. 2004, 87, 393–400. [Google Scholar] [CrossRef]
- Gulcin, I. The antioxidant and radical scavenging activities of black pepper (Piper nigrum) seeds. Int. J. Food Sci. Nutr. 2005, 56, 491–499. [Google Scholar] [CrossRef]
- Elmastas, M.; Gulcin, I.; Beydemir, Ş.; Kufrevioglu, O.I.; Aboul-Enein, H.Y. A study on the in vitro antioxidant activity of juniper (Juniperus communis L.) seeds extracts. Anal. Lett. 2006, 39, 47–65. [Google Scholar] [CrossRef]
- Elmastas, M.; Gulcin, I.; Isıldak, O.; Kufrevioglu, O.I.; Ibaoglu, K.; Aboul-Enein, H.Y. Antioxidant capacity of bay (Laurus nobilis L.) leaves extracts. J. Iran. Chem. Soc. 2006, 3, 258–266. [Google Scholar] [CrossRef]
- Gulcin, I.; Elmastas, M.; Aboul-Enein, H.Y. Determination of antioxidant and radical scavenging activity of basil (Ocimum basilicum) assayed by different methodologies. Phytother. Res. 2007, 21, 354–361. [Google Scholar] [CrossRef]
- Koksal, E.; Gulcin, I. Purification and characterization of peroxidase from cauliflower (Brassica oleracea L.) buds. Protein Peptide Lett. 2008, 15, 320–326. [Google Scholar] [CrossRef]
- Serbetci Tohma, H.; Gulcin, I. Antioxidant and radical scavenging activity of aerial parts and roots of Turkish liquorice (Glycyrrhiza glabra L.). Int. J. Food Prop. 2010, 13, 657–671. [Google Scholar] [CrossRef]
- Bursal, E.; Koksal, E.; Gulcin, I.; Bilsel, G.; Goren, A.C. Antioxidant activity and polyphenol content of cherry stem (Cerasus avium L.) determined by LC-MS/MS. Food Res. Int. 2013, 51, 66–74. [Google Scholar] [CrossRef]
- Polat Kose, L.; Gulcin, I.; Goren, A.C.; Namiesnik, J.; Martinez-Ayala, A.L.; Gorinstein, S. LC-MS/MS analysis, antioxidant and anticholinergic properties of galanga (Alpinia officinarum Hance) rhizomes. Ind. Crops Prod. 2015, 74, 712–721. [Google Scholar] [CrossRef]
- Tohma, H.; Gulcin, I.; Bursal, E.; Goren, A.C.; Alwasel, S.H.; Koksal, E. Antioxidant activity and phenolic compounds of ginger (Zingiber officinale Rosc.) determined by HPLC-MS/MS. J. Food Meas. Charac. 2017, 11, 556–566. [Google Scholar] [CrossRef]
- Han, H.; Yılmaz, H.; Gulcin, I. Antioxidant activity of flaxseed (Linum usitatissimum L.) and analysis of its polyphenol contents by LC-MS/MS. Rec. Nat. Prod. 2018, 12, 397–402. [Google Scholar] [CrossRef]
- Gulcin, I.; Kaya, R.; Goren, A.C.; Akıncıoglu, H.; Topal, M.; Bingol, Z.; Cetin Cakmak, K.; Ozturk Sarikaya, S.B.; Durmaz, L.; Alwasel, S. Anticholinergic, antidiabetic and antioxidant activities of cinnamon (Cinnamomum verum) bark extracts: Polyphenol contents analysis by LC-MS/MS. Int. J. Food Prop. 2019, 22, 1511–1526. [Google Scholar] [CrossRef]
- Gulcin, I.; Goren, A.C.; Taslimi, P.; Akyuz, B.; Tuzun, B. Anticholinergic, antidiabetic and antioxidant activities of Anatolian pennyroyal (Mentha pulegium)-Analysis of its polyphenol contents by LC-MS/MS. Biocat. Agric. Biotechnol. 2020, 23, 101441. [Google Scholar] [CrossRef]
- Polat Kose, L.; Bingol, Z.; Kaya, R.; Goren, A.C.; Akincioglu, H.; Durmaz, L.; Koksal, E.; Alwasel, S.; Gulcin, I. Anticholinergic and antioxidant activities of avocado (Folium perseae) leaves—Phytochemical content by LC-MS/MS analysis. Int. J. Food Prop. 2020, 23, 878–893. [Google Scholar] [CrossRef]
- Kızıltas, H.; Bingol, Z.; Goren, A.C.; Polat Kose, L.; Durmaz, L.; Topal, F.; Alwasel, S.H.; Gulcin, I. LC-HRMS profiling, antidiabetic, anticholinergic and antioxidant activities of aerial parts of kınkor (Ferulago stelleta). Molecules 2021, 26, 2469. [Google Scholar] [CrossRef]
- Bingol, Z.; Kızıltas, H.; Goren, A.C.; Polat Kose, L.; Topal, M.; Durmaz, L.; Alwasel, S.H.; Gulcin, I. Antidiabetic, anticholinergic and antioxidant activities of aerial parts of shaggy bindweed (Convulvulus betonicifolia Miller subsp.)-profiling of phenolic compounds by LC-HRMS. Heliyon 2021, 7, e06986. [Google Scholar] [CrossRef]
- Gulcin, I.; Bingol, Z.; Taslimi, P.; Goren, A.C.; Alwasel, S.H.; Tel, A.Z. Polyphenol contents, potential antioxidant, anticholinergic and antidiabetic properties of mountain mint (Cyclotrichium leucotrichum). Chem. Biodivers. 2022, 19, e202100775. [Google Scholar] [CrossRef]
- Karagecili, H.; Izol, E.; Kireçci, E.; Gulcin, I. Determination of antioxidant, anti-Alzheimer, antidiabetic, antiglaucoma and antimicrobial effects of zivzik pomegranate (Punica granatum)-A chemical profiling by LC-MS/MS. Life 2023, 13, 735. [Google Scholar] [CrossRef] [PubMed]
- Yılmaz, M.A.; Taslimi, P.; Kilic, O.; Gulcin, I.; Dey, A.; Bursal, E. Unravelling the phenolic compound reserves, antioxidant and enzyme inhibitory activities of an endemic plant species, Achillea pseudoaleppica. J. Biomol. Struct. Dyn. 2023, 41, 445–456. [Google Scholar] [CrossRef] [PubMed]
- Kiziltas, H.; Goren, A.C.; Alwasel, S.; Gulcin, I. Comprehensive metabolic profiling of Acantholimon caryophyllaceum using LC-HRMS and evaluation of antioxidant activities, enzyme inhibition properties and molecular docking studies. S. Afr. J. Bot. 2022, 151, 743–751. [Google Scholar] [CrossRef]
- Bursal, E.; Aras, A.; Kilic, O.; Taslimi, P.; Goren, A.C.; Gulcin, I. Phytochemical content, antioxidant activity and enzyme inhibition effect of Salvia eriophora Boiss. & Kotschy against acetylcholinesterase, α-amylase, butyrylcholinesterase and α-glycosidase enzymes. J. Food Biochem. 2019, 43, e12776. [Google Scholar]
- Aras, A.; Bursal, E.; Turkan, F.; Tohma, H.; Kılıc, O.; Gulcin, I.; Koksal, E. Phytochemical content, antidiabetic, anticholinergic, and antioxidant activities of endemic Lecokia cretica extracts. Chem. Biodivers. 2019, 16, e1900341. [Google Scholar] [CrossRef]
- Bursal, E.; Taslimi, P.; Goren, A.; Gulcin, I. Assessments of anticholinergic, antidiabetic, antioxidant activities and phenolic content of Stachys annua. Biocat. Agric. Biotechnol. 2020, 28, 101711. [Google Scholar] [CrossRef]
- Guven, L.; Erturk, A.; Demirkaya Miloglu, F.; Alwasel, S.; Gulcin, I. Screening of antiglaucoma, antidiabetic, anti-Alzheimer, and antioxidant activities of Astragalus alopecurus Pall-Analysis of phenolics profiles by LC-MS/MS. Pharmaceuticals 2023, 16, 659. [Google Scholar] [CrossRef]
- Kızıltas, H.; Bingol, Z.; Goren, A.C.; Alwasel, S.H.; Gulcin, I. Verbascum speciousum Schrad: Analysis of phenolic compounds by LC-HRMS and determination of antioxidant and enzyme inhibitory properties. Rec. Nat. Prod. 2023, 17, 485–500. [Google Scholar]
- Gulcin, I.; Tel, A.Z.; Kirecci, E. Antioxidant, antimicrobial, antifungal and antiradical activities of Cyclotrichium niveum (Boiss.) Manden and Scheng. Int. J. Food Prop. 2008, 11, 450–471. [Google Scholar] [CrossRef]
- Gulcin, I.; Kufrevioglu, O.I.; Oktay, M.; Buyukokuroglu, M.E. Antioxidant, antimicrobial, antiulcer and analgesic activities of nettle (Urtica dioica L.). J. Ethnopharmacol. 2004, 90, 205–215. [Google Scholar] [CrossRef] [PubMed]
- Gulcin, I.; Beydemir, S.; Sat, I.G.; Kufrevioglu, O.I. Evaluation of antioxidant activity of cornelian cherry (Cornus mas L.). Acta Aliment. Hung. 2005, 34, 193–202. [Google Scholar] [CrossRef]
- Bursal, E.; Gulcin, I. Polyphenol contents and in vitro antioxidant activities of lyophilized aqueous extract of kiwifruit (Actinidia deliciosa). Food Res. Int. 2011, 44, 1482–1489. [Google Scholar] [CrossRef]
- Kalin, P.; Gulcin, I.; Goren, A.C. Antioxidant activity and polyphenol content of cranberries (Vaccinium macrocarpon). Rec. Nat. Prod. 2015, 9, 496–502. [Google Scholar]
- Elmastas, M.; Gulcin, I.; Ozturk, L.; Gokce, I. Investigation of antioxidant properties of spearmint (Mentha spicata L.). Asian J. Chem. 2005, 17, 137–148. [Google Scholar]
- Kiziltas, H.; Goren, A.C.; Alwasel, S.; Gulcin, I. Sahlep (Dactylorhiza osmanica): Phytochemical analyses by LC-HRMS, molecular docking, antioxidant activity and enzyme inhibition profiles. Molecules 2022, 27, 6907. [Google Scholar] [CrossRef]
- Lebeau, J.; Furman, C.; Bernier, J.L.; Duriez, P.; Teissier, E.; Cotelle, N. Antioxidant properties of di-tert-butylhydroxylated flavonoids. Free Radic. Biol. Med. 2020, 29, 900–912. [Google Scholar] [CrossRef]
- Salamone, M.; DiLabio, G.A.; Bietti, M. Hydrogen atom abstraction reactions from tertiary amines by benzyloxyl and cumyloxyl radicals: Influence of structure on the rate determining formation of a hydrogen-bonded prereaction complex. J. Org. Chem. 2011, 76, 6264–6270. [Google Scholar] [CrossRef]
- Salamone, M.; Martella, R.; Bietti, M. Hydrogen abstraction from cyclic amines by the cumyloxyl and benzyloxyl radicals. The role of stereoelectronic effects and of substrate/radical hydrogen bonding. J. Org. Chem. 2012, 77, 8556–8561. [Google Scholar] [CrossRef]
- Barclay, L.R.C.; Edwards, C.E.; Vinqvist, M.R. Media effects on antioxidant activities of phenols and catechols. J. Am. Chem. Soc. 1999, 121, 6226–6231. [Google Scholar] [CrossRef]
- Hogg, J.S.; Lohmann, D.H.; Russell, K.S. The kinetics of reaction of 2,2-diphenyl-1-picrylhydrazyl with phenols. Canad. J. Chem. 1961, 39, 1588–1594. [Google Scholar] [CrossRef]
- Oztaskin, N.; Cetinkaya, Y.; Taslimi, P.; Goksu, S.; Gulcin, I. Antioxidant and acetylcholinesterase inhibition properties of novel bromophenol derivatives. Bioorg. Chem. 2015, 60, 49–57. [Google Scholar] [CrossRef]
- Tohma, H.; Koksal, E.; Kılıc, O.; Alan, Y.; Yılmaz, M.A.; Gulcin, I.; Bursal, E.; Alwasel, S.H. RP-HPLC/MS/MS analysis of the phenolic compounds, antioxidant and antimicrobial activities of Salvia L. species. Antioxidants 2016, 5, 38. [Google Scholar] [CrossRef] [PubMed]
- Schaich, K.M.; Tian, X.; Xie, J. Hurdles and pitfalls in measuring antioxidant efficacy: A critical evaluation of ABTS, DPPH, and ORAC assays. J. Func. Foods 2015, 14, 111–125. [Google Scholar] [CrossRef]









| Antioxidants | DPPH• Scavenging (IC50, μg/mL) | References |
|---|---|---|
| Curcumin | 34.86 | [105] |
| Resveratrol | 17.80 | [106] |
| Eugenol | 16.06 | [107] |
| Coumestrol | 25.95 | [108] |
| Magnofluorine | 10.58 | [109] |
| Hederin | 69.40 | [110] |
| Hederasaponin | 82.40 | [110] |
| Hederacolchiside | 73.50 | [110] |
| Hederagenin | 28.50 | [111] |
| Morphine | 56.82 | [112] |
| Uric acid | 17.80 | [113] |
| Caffeic acid | 10.64 | [114] |
| Usnic acid | 49.50 | [109] |
| Tannic acid | 23.65 | [115] |
| Rosmarinic acid | 3.07 | [116] |
| L-Carnitine | 58.90 | [117] |
| L-Dopa | 12.41 | [18] |
| L-Tyrosine | 43.86 | [18] |
| L-Adrenaline | 30.60 | [118] |
| Propofol | 16.23 | [26] |
| Dipropofol | 31.29 | [24] |
| Silymarin | 20.80 | [119] |
| Cepharanthine | 22.20 | [43] |
| Fangchinoline | 6.40 | [43] |
| CAPE | 3.30 | [47] |
| Taxifoline | 77.00 | [120] |
| Cynarine | 3.98 | [32] |
| Olivetol | 17.77 | [121] |
| Nordihydroguaiaretic acid | 6.60 | [122] |
| (-)-Secoisolariciresinol | 14.14 | [122] |
| Secoisolariciresinol diglycoside | 16.97 | [122] |
| α-(-)-Conidendrin | 23.29 | [122] |
| Phillyrin | 11.75 | [111] |
| Pinoresinol-β-D-glycoside | 19.60 | [111] |
| Pinoresinol di-β-D-glycoside | 26.52 | [111] |
| Ligustroside | 12.00 | [123] |
| Oleuropein | 57.50 | [123] |
| Pelargonin | 67.73 | [63] |
| Silychristin | 86.16 | [63] |
| Callistephin | 20.64 | [63] |
| Oenin | 16.72 | [63] |
| Malvin | 21.36 | [63] |
| Arachidonoyl dopamine | 84.10 | [63] |
| Antioxidant Plants | DPPH• Scavenging (IC50, μg/mL) | ||
|---|---|---|---|
| Water Extract | Ethanol Extract | References | |
| Anise (Pimpinella anisum) | 11.74 | 18.12 | [124] |
| Fennel (Foeniculum vulgare) | 263.21 | 343.41 | [125] |
| Sage (Salvia pilifera) | 30.95 | 28.92 | [126] |
| Giant fennel (Ferula orientalis) | 88.60 | 346.50 | [127] |
| Thyme (Thymus vulgaris) | 13.40 | 12.10 | [59] |
| Clove (Eugenia caryophylata) | 48.39 | 40.54 | [128] |
| Lavender (Lavandula stoechas) | 66.67 | 60.00 | [128] |
| Black pepper (Piper nigrum) | 68.18 | 78.13 | [129] |
| Juniper (Juniperus communis) | 22.27 | 23.81 | [130] |
| Bay (Laurus nobilis) | 38.46 | 32.60 | [131] |
| Basil (Ocimum basilicum) | 44.64 | 38.46 | [132] |
| Lemon balm (Melissa officinalis) | 31.40 | 202.70 | [10] |
| Cauliflower (Brassica oleracea) | 29.30 | 23.21 | [133] |
| Liquorice (Glycyrrhiza glabra) | 52.2 | 54.4 | [134] |
| Cherry stem (Cerasus avium) | 23.38 | 17.36 | [135] |
| Galanga (Alpinia officinarum) | 14.75 | 31.51 | [136] |
| Ginger (Zingiber offcinale) | 16.20 | 43.80 | [137] |
| Flaxseed (Linum usitatissimum) | 53.30 | 49.50 | [138] |
| Cinnamon (Cinnamomum verum) | 21.25 | 15.71 | [139] |
| Pennyroyal (Mentha pulegium) | 18.52 | 16.92 | [140] |
| Avocado (Folium perseae) | 601.00 | 240.40 | [141] |
| Kınkor (Ferulago stellata) | 57.80 | 34.70 | [142] |
| Bindweed (Convulvulus betonicifolia) | 346.50 | 77.00 | [143] |
| Mint (Cyclotrichium leucotrichum) | 28.85 | 23.74 | [144] |
| Pomegranate (Punica granatum) | 31.50 | 16.100 | [145] |
| Achillea pseudoaleppica | 25.57 | 23.24 | [146] |
| Acantholimon caryophyllaceum | 69.30 | 19.80 | [147] |
| Salvia eriophora | 9.94 | 9.21 | [148] |
| Lecokia cretica | 78.13 | 77.32 | [149] |
| Stachys annua | 8.90 | 7.80 | [150] |
| Astragalus alopecurus | 115.53 | 99.02 | [151] |
| Verbascum speciousum | 173.25 | 24.75 | [152] |
| Cyclotrichium niveum | 9.17 | 14.45 | [153] |
| Nettle (Urtica dioica) | 81.08 | - | [154] |
| Cornelian cherry (Cornus mas) | 91.77 | - | [155] |
| Kiwifruit (Actinidia deliciosa) | 83.40 | - | [156] |
| Cranberries (Vaccinium macrocarpon) | 86.63 | - | [157] |
| Spearmint (Mentha spicata) | - | 97.82 | [158] |
| Yarrow (Achillea cucullata) | 132.55 | [70] | |
| Sahlep (Dactylorhiza osmanica) | - | 86.63 | [159] |
Disclaimer/Publisher’s Note: The statements, opinions and data contained in all publications are solely those of the individual author(s) and contributor(s) and not of MDPI and/or the editor(s). MDPI and/or the editor(s) disclaim responsibility for any injury to people or property resulting from any ideas, methods, instructions or products referred to in the content. |
© 2023 by the authors. Licensee MDPI, Basel, Switzerland. This article is an open access article distributed under the terms and conditions of the Creative Commons Attribution (CC BY) license (https://creativecommons.org/licenses/by/4.0/).
Share and Cite
Gulcin, İ.; Alwasel, S.H. DPPH Radical Scavenging Assay. Processes 2023, 11, 2248. https://doi.org/10.3390/pr11082248
Gulcin İ, Alwasel SH. DPPH Radical Scavenging Assay. Processes. 2023; 11(8):2248. https://doi.org/10.3390/pr11082248
Chicago/Turabian StyleGulcin, İlhami, and Saleh H. Alwasel. 2023. "DPPH Radical Scavenging Assay" Processes 11, no. 8: 2248. https://doi.org/10.3390/pr11082248
APA StyleGulcin, İ., & Alwasel, S. H. (2023). DPPH Radical Scavenging Assay. Processes, 11(8), 2248. https://doi.org/10.3390/pr11082248

