Fast Assisted History Matching of Fractured Vertical Well in Coalbed Methane Reservoirs Using the Bayesian Adaptive Direct Searching Algorithm
Abstract
1. Introduction
2. Methods
2.1. Basics of the AHM
2.2. BADS Algorithm
2.3. Setup of Reservoir Model
2.3.1. Construction of the Grid Model
2.3.2. Parameters to Be Tuned
2.4. Workflow of the AHM
3. Case Study
4. Results and Discussion
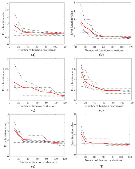
4.1. Performance of BADS
4.2. Comparison with Existing Algorithms
5. Conclusions
Funding
Data Availability Statement
Acknowledgments
Conflicts of Interest
References
- Díaz, M.B.; González, N.C. Control and prevention of gas out-bursts in coal mines, Riosa-Olloniego-coalfifield, Spain. Int. J. Coal Geol. 2007, 69, 235–266. [Google Scholar]
- Zhang, J.; Xu, K.; Reniers, G.; You, G. Statistical analysis the characteristics of extraordinarily severe coal mine accidents (ESCMAs) in China from 1950 to 2018. Process Saf. Environ. 2020, 133, 332–340. [Google Scholar] [CrossRef]
- Karacan, C.O.; Ruiz, F.A.; Cote, M.; Phipps, S. Coal mine methane: A review of capture and utilization practices with benefits to mining safety and to green-house gas reduction. Int. J. Coal Geol. 2011, 86, 121–156. [Google Scholar] [CrossRef]
- Karimpouli, S.; Tahmasebi, P.; Ramandi, H.L. A review of experimental and numerical modeling of digital coalbed methane: Imaging, segmentation, fracture modeling and permeability prediction. Int. J. Coal Geol. 2020, 228, 103–552. [Google Scholar] [CrossRef]
- Cong, H.R.; Wang, K.; Wang, G.D.; Yang, X.; Du, F. Underground coal seam gas displacement by injecting nitrogen: Field test and effect prediction. Fuel 2021, 306, 121–646. [Google Scholar]
- Karacan, C.Ö. Single-well production history matching and geostatistical modeling as proxy to multi-well reservoir simulation for evaluating dynamic reservoir properties of coal seams. Int. J. Coal Geol. 2021, 241, 103–766. [Google Scholar] [CrossRef]
- Xu, H.J.; Pan, Z.J.; Hu, B.L.; Liu, H.H.; Sun, G. A new approach to estimating coal gas content for deep core sample. Fuel 2020, 277, 118–246. [Google Scholar] [CrossRef]
- Mavor, M.J.; Close, J.C.; McBane, R.A. Formation Evaluation of Exploration Coalbed Methane Wells. In Proceedings of the SPE/CIM International Technical Meeting, Calgary, AB, Canada, 10–13 June 1990. [Google Scholar]
- Feng, Q.; Zhang, J.; Zhang, X.; Hu, A. Optimizing well placement in a coalbed methane reservoir using the particle swarm optimization algorithm. Int. J. Coal Geol. 2012, 104, 34–45. [Google Scholar] [CrossRef]
- Zhou, F. History matching and production prediction of a horizontal coalbed methane well. J. Petrol. Sci. Eng. 2012, 96–97, 22–36. [Google Scholar] [CrossRef]
- Zhang, J.; Feng, Q.; Zhang, X.; Hu, Q.; Wen, S.; Chen, D.; Zhai, Y.; Yan, X. Multi-fractured horizontal well for improved coalbed methane production in eastern Ordos basin, China: Field observations and numerical simulations. J. Petrol. Sci. Eng. 2020, 194, 107488. [Google Scholar] [CrossRef]
- Akhondzadeh, H.; Keshavarz, A.; Sayyafzadeh, M.; Kalantariasl, A. Investigating the relative impact of key reservoir parameters on performance of coalbed methane reservoirs by an efficient statistical approach. J. Nat. Gas. Sci. Eng. 2018, 53, 416–428. [Google Scholar] [CrossRef]
- Zuber, M.D.; Olszewski, A.J. The impact of errors in measurement of coalbed methane reservoir properties on well production forecasts. In Proceedings of the 62nd SPE Annual Technical Conference and Exhibition, Dallas, TX, USA, 27–30 September 1987. [Google Scholar]
- Young, G.B.C.; Paul, G.W.; McElhiney, J.E. A parametric analysis of Fruitland Coalbed methane producibility. In Proceedings of the 67th SPE Annual Technical Conference and Exhibition, Washington, DC, USA, 4–7 October 1992. [Google Scholar]
- Duan, L.J.; Zhou, F.D.; Xia, Z.H.; Qu, L.C.; Yi, J. New Integrated History Matching Approach for Vertical Coal Seam Gas Wells in the KN Field, Surat Basin, Australia. Energy Fuels 2020, 34, 15829–15842. [Google Scholar] [CrossRef]
- Li, B.; Bhark, E.W.; Gross, S.J.; Billiter, T.C.; Dehghani, K. Best Practices of Assisted History Matching Using Design of Experiments. SPE J. 2019, 24, 1435–1451. [Google Scholar] [CrossRef]
- Tripoppoom, S.; Xie, J.; Yong, R.; Wu, J.; Yu, W.; Sepehrnoori, K.; Miao, J.; Chang, C.; Li, N. Investigation of different production performances in shale gas wells using assisted history matching: Hydraulic fractures and reservoir characterization from production data. Fuel 2020, 267, 117–1097. [Google Scholar] [CrossRef]
- Wu, H.Y.; Cheng, L.S.; Killough, J.; Huang, S.J.; Fang, S.D.; Jia, P.; Cao, R.; Xue, Y.C. Integrated characterization of the fracture network in fractured shale gas Reservoirs—Stochastic fracture modeling, simulation and assisted history matching. J. Petrol. Sci. Eng. 2021, 205, 108–886. [Google Scholar] [CrossRef]
- Nejadi, S.; Leung, J.Y.; Trivedi, J.J.; Claudio, V. Integrated Characterization of Hydraulically Fractured Shale-Gas Reservoirs—Production History Matching. SPE Res. Eval. Eng. 2015, 18, 481–494. [Google Scholar] [CrossRef]
- Shams, M.; El-Banbi, A.; Sayyouh, H. Harmony search optimization applied to reservoir engineering assisted history matching. Petrol. Explor. Dev. 2020, 47, 154–160. [Google Scholar] [CrossRef]
- Zhang, Y.; Song, C.; Yang, D. A damped iterative EnKF method to estimate relative permeability and capillary pressure for tight formations from displacement experiments. Fuel 2016, 167, 306–315. [Google Scholar] [CrossRef]
- Zhang, Y.; Fan, Z.Q.; Yang, D.Y.; Li, H.; Shirish, P. Simultaneous Estimation of Relative Permeability and Capillary Pressure for PUNQ-S3 Model With a Damped Iterative-Ensemble-Kalman-Filter Technique. SPE J. 2000, 22, 971–984. [Google Scholar] [CrossRef]
- Acerbi, L.; Ma, W.J. Practical Bayesian Optimization for Model Fitting with Bayesian Adaptive Direct Search. Adv. Neural Inform. Process. Syst. 2017, 30, 1834–1844. [Google Scholar]
- Computer Modelling Group. User Guide: Compositional & Unconventional Reservoir Simulator; Computer Modelling Group: Calgary, AB, Canada, 2015. [Google Scholar]
- Ziarani, A.S.; Aguilera, R.; Clarkson, C.R. Investigating the effect of sorption time on coalbed methane recovery through numerical simulation. Fuel 2011, 90, 2428–2444. [Google Scholar] [CrossRef]
- Karacan, C.O.; Olea, R.A. Stochastic reservoir simulation for the modeling of uncertainty in coal seam degasification. Fuel 2015, 148, 87–97. [Google Scholar] [CrossRef]
- Zhang, J.; Feng, Q.; Zhang, X.; Bai, J.; Karacan, C.Ö.; Wang, Y.; Elsworth, D. A two-stage step-wise framework for fast optimization of well placement in coalbed methane reservoirs. Int. J. Coal Geol. 2020, 225, 103479. [Google Scholar] [CrossRef]
- Mohammadpoor, M.; Firouz, A.Q.; Torabi, F. Implementing Simulation and Artificial Intelligence Tools to Optimize the Performance of the CO2 Sequestration in Coalbed Methane Reservoirs. In Proceedings of the Carbon Management Technology Conference, Orlando, FL, USA, 7–9 February 2012. [Google Scholar]
- Zhang, J.; Zhang, B.; Xu, S.; Feng, Q.; Zhang, X.; Elsworth, D. Interpretation of Gas/Water Relative Permeability of Coal Using the Hybrid Bayesian-Assisted History Matching: New Insights. Energies 2021, 14, 626. [Google Scholar] [CrossRef]
- Snoek, J.; Larochelle, H.; Adams, R.P. Practical Bayesian optimization of machine learning algorithms. In Proceedings of the Advances in Neural Information Processing Systems, Lake Tahoe, NV, USA, 3–6 December 2012; pp. 2951–2959. [Google Scholar]
- Audet, C.; Dennis, J.E. Mesh adaptive direct search algorithms for constrained optimization. SIAM J. Optimiz. 2006, 17, 188–217. [Google Scholar] [CrossRef]
- Zuber, M.D.; Kuuskraa, V.A.; Walter, K.S. Optimizing Well Spacing and Hydraulic-Fracture Design for Economic Recovery of Coalbed Methane. SPE Form Eval. 1990, 5, 98–102. [Google Scholar] [CrossRef]
- Maricic, N.; Mohaghegh, S.D.; Artun, E. A Parametric Study on the Benefits of Drilling Horizontal and Multilateral Wells in Coalbed Methane Reservoirs. SPE Res. Eval. Eng. 2008, 11, 976–983. [Google Scholar] [CrossRef]
- Meng, Z.; Zhang, K.; Yang, J.; Lei, J.; Wang, Y. Analysis of coal reservoir characteristics in the Qin-nan-East block and its spacing optimization of CBM development well networks. J. China Coal Soc. 2018, 43, 2525–2533, (In Chinese with English abstract). [Google Scholar]
- Ian, P.; Mansoori, J. How Permeability Depends on Stress and Pore Pressure in Coalbeds: A New Model. SPE Res. Eval. Eng. 1998, 1, 539–544. [Google Scholar]
- Chen, D.; Pan, Z.; Liu, J.; Connell, L.D. An improved relative permeability model for coal reservoirs. Int. J. Coal Geol. 2013, 109, 45–57. [Google Scholar] [CrossRef]
- King, G.R.; Ertekin, T. Comparative evaluation of vertical and horizontal drainage wells for the degasification of coal seams. SPE Reserv. Eng. 1988, 3, 720–734. [Google Scholar] [CrossRef]
- Kumar, H.; Elsworth, D.; Liu, J.; Pone, D.; Mathews, J.P. Permeability evolution of propped artificial fractures in coal on injection of CO2. J. Petrol. Sci. Eng. 2015, 133, 695–704. [Google Scholar] [CrossRef]
- Chen, D.; Shi, J.Q.; Durucan, S.; Korre, A. Gas and water relative permeability in different coals: Model match and new insights. Int. J. Coal Geol. 2014, 122, 37–49. [Google Scholar] [CrossRef]
- Kennedy, J. Particle swarm optimization. In Proceedings of the 1995 IEEE International Conference on Neural Networks, Perth, WA, Australia, 27 November–1 December 1995; Volume 4, pp. 1942–1948. [Google Scholar]
- Hansen, N.; Ros, R.; Mauny, N.; Schoenauer, M.; Auger, A. Impacts of invariance in search: When CMA-ES and PSO face ill-conditioned and non-separable problems. APPL Soft. Comput. 2011, 11, 5755–5769. [Google Scholar] [CrossRef]
- Xiang, W.; Haynes, R.D.; Feng, Q. A multilevel coordinate search algorithm for well placement, control and joint optimization. Comput. Chem. Eng. 2016, 95, 75–96. [Google Scholar]
- Mohamed, L.; Christie, M.; Vasily, D. Comparison of Stochastic Sampling Algorithms for Uncertainty Quantification. SPE J. 2010, 15, 31–38. [Google Scholar] [CrossRef]







| Variable | Lower Boundary | Upper Boundary |
|---|---|---|
| Porosity | 0.001 | 0.05 |
| In situ permeability, mD | 0.01 | 1.0 |
| In situ Compressibility, MPa−1 | 0.001 | 0.1 |
| Sorption strain | 0.001 | 0.03 |
| Langmuir volume, m3/t | 25 | 40 |
| Langmuir pressure, MPa | 1.0 | 6.0 |
| Swc | 0 | 0.9 |
| krw0 | 0.1 | 1 |
| λ | 0.1 | 10 |
| β | 0 | 5 |
| η | 1 | 10 |
| Length of SA, m | 50 | 120 |
| Width of SA, m | 10 | 50 |
| Permeability of SA, mD | 1 | 50 |
| Compressibility of SA, MPa−1 | 0.01 | 0.1 |
| Well ID | Algorithm | Minimized Objective Function Value | |||||||
|---|---|---|---|---|---|---|---|---|---|
| Run 1 | Run 2 | Run 3 | Run 4 | Run 5 | Max. | Min. | Avg. | ||
| Well #1 | BADS | 0.729 | 0.626 | 0.644 | 0.661 | 0.624 | 0.729 | 0.624 | 0.657 |
| PSO | 0.759 | 0.621 | 0.634 | 0.731 | 0.856 | 0.856 | 0.621 | 0.720 | |
| CMA-ES | 0.887 | 0.724 | 0.845 | 0.841 | 0.891 | 0.891 | 0.724 | 0.838 | |
| Well #2 | BADS | 1.081 | 1.132 | 1.038 | 1.140 | 1.022 | 1.140 | 1.022 | 1.083 |
| PSO | 1.161 | 1.099 | 1.367 | 1.025 | 1.256 | 1.367 | 1.025 | 1.182 | |
| CMA-ES | 1.859 | 1.497 | 1.888 | 1.423 | 1.516 | 1.888 | 1.423 | 1.636 | |
| Well #3 | BADS | 1.102 | 1.041 | 1.128 | 1.396 | 1.265 | 1.396 | 1.041 | 1.186 |
| PSO | 1.468 | 1.267 | 1.264 | 1.553 | 1.844 | 1.844 | 1.264 | 1.479 | |
| CMA-ES | 2.173 | 2.101 | 3.182 | 2.920 | 2.210 | 3.182 | 2.101 | 2.517 | |
Disclaimer/Publisher’s Note: The statements, opinions and data contained in all publications are solely those of the individual author(s) and contributor(s) and not of MDPI and/or the editor(s). MDPI and/or the editor(s) disclaim responsibility for any injury to people or property resulting from any ideas, methods, instructions or products referred to in the content. |
© 2023 by the author. Licensee MDPI, Basel, Switzerland. This article is an open access article distributed under the terms and conditions of the Creative Commons Attribution (CC BY) license (https://creativecommons.org/licenses/by/4.0/).
Share and Cite
Li, Z. Fast Assisted History Matching of Fractured Vertical Well in Coalbed Methane Reservoirs Using the Bayesian Adaptive Direct Searching Algorithm. Processes 2023, 11, 2239. https://doi.org/10.3390/pr11082239
Li Z. Fast Assisted History Matching of Fractured Vertical Well in Coalbed Methane Reservoirs Using the Bayesian Adaptive Direct Searching Algorithm. Processes. 2023; 11(8):2239. https://doi.org/10.3390/pr11082239
Chicago/Turabian StyleLi, Zhijun. 2023. "Fast Assisted History Matching of Fractured Vertical Well in Coalbed Methane Reservoirs Using the Bayesian Adaptive Direct Searching Algorithm" Processes 11, no. 8: 2239. https://doi.org/10.3390/pr11082239
APA StyleLi, Z. (2023). Fast Assisted History Matching of Fractured Vertical Well in Coalbed Methane Reservoirs Using the Bayesian Adaptive Direct Searching Algorithm. Processes, 11(8), 2239. https://doi.org/10.3390/pr11082239
