Numerical Simulation of Electrical Properties of Carbonate Reservoirs Using Digital Rocks
Abstract
1. Introduction
2. Data and Methods
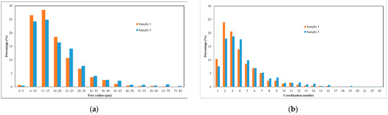
2.1. μ-CT Based 3D Digital Rock
2.2. Establishment of Different Porosity and Oil Saturation Models Based on Mathematical Morphology
2.3. Finite Element Method
2.4. Archie’s Law
3. Numerical Simulation Results and Discussion on the Conductivity of Carbonate Reservoirs
3.1. Effect of Porosity on Reservoir Conductivity
3.2. Effects of Formation Water Salinity on Reservoir Resistivity under Different Porosity Conditions
- There was a logarithmic relationship between the resistivity of pure carbonate matrix reservoirs and the conductivity of formation water;
- Under the same formation water conductivity conditions, the reservoir resistivity decreased as porosity increased;
- In pure carbonate matrix reservoirs, the curves under various porosity conditions were all parallel to each other, indicating that the rate of resistivity reduction had little relationship with the size of the pores if the porosity was high.
3.3. The Effect of Saturation on Reservoir Conductivity
- A non-Archie characteristic was observed because there was a turning point when Sw was about 60%. When the water saturation levels in Figure 10 were above and below 60% (orange dashed line), two different curve trends appeared;
- When the water saturation level was less than 60%, the saturation index (n) values in the x-, y-, and z-directions were found to be 3.48, 3.28, and 3.6, respectively. These values of n were much higher than those of normal sandstone, indicating a deviation from typical behavior. This could be attributed to the water-wet wettability, where as the water saturation increased, water filled the smaller pores and pore surfaces first, creating a conductive path and causing a rapid drop in resistivity;
- When the water saturation level was greater than 60%, the saturation index (n) values in the x-, y-, and z-directions were calculated to be 2.25, 1.54, and 1.97, respectively. These values were relatively close to 2, which aligned more with the Archie parameter values for sandstone. This was because at high water saturation levels, the conductive path within the core became more stable, resembling that of homogeneous sandstone.
3.4. The Effect of Wettability on Reservoir Conductivity
- Under the same water saturation condition, the resistivity of oil-wet rock was significantly larger than that of water-wet rock. This difference was particularly pronounced at lower water saturation levels;
- The saturation index of oil-wet rocks was significantly larger than that of water-wet rocks. The values of the saturation exponent for oil-wet rocks in the x-, y-, and z-directions were 3, 4.15, and 3, respectively, whereas for water-wet rocks, they were 2.44, 1.8, and 2.2, respectively.
3.5. Limitations of the Results and Future Study Suggestion
4. Conclusions
- Based on CT scan images, models of different degrees of dissolution can be obtained using mathematical morphology-based dilation and erosion operations. Additionally, models of different fluid saturation levels can be obtained using the opening operation;
- The formation factor and porosity of the reservoir are primarily influenced by the shape and structure of the pores;
- There is a non-Archie phenomenon because there is a turning point when the water saturation level is approximately 60%;
- The wettability of rock can alter the distribution of fluids in the reservoir space under varying water saturation conditions. In water-wet rocks, the water phase predominantly occupies small pores, while the oil phase occupies larger pores. As a result, water-wet rocks have more conductive channels and higher conductivity than oil-wet rocks. Therefore, determining the wettability of the rock is crucial when calculating water saturation using the Archie equation. The saturation index value for water-wet rocks is typically around 2, whereas for oil-wet rocks, it ranges from 3 to 4;
- In this study, the obtained values are provided for reference purposes only and do not necessarily reflect the behavior of carbonate rocks in practical scenarios. When applying these findings, it is important to conduct field calibrations to ensure accurate results. In future studies, more accurate models should be used and other factors affecting rock conductivity should be comprehensively studied.
Author Contributions
Funding
Data Availability Statement
Acknowledgments
Conflicts of Interest
References
- Chilingar, G.V. Carbonate Reservoir Characterization: A Geologic-Engineering Analysis; Mazzullo, S.J., Rieke, H.H., Eds.; Elsevier: Amsterdam, The Netherlands; New York, NY, USA, 1992. [Google Scholar]
- Burchette, T.P. Carbonate Rocks and Petroleum Reservoirs: A Geological Perspective from the Industry. Geol. Soc. Lond. Spec. Publ. 2012, 370, 17–37. [Google Scholar] [CrossRef]
- Tariq, Z.; Mahmoud, M.; Al-Youssef, H.; Rasheed Khan, M. Carbonate Rocks Resistivity Determination Using Dual and Triple Porosity Conductivity Models. Petroleum 2020, 6, 35–42. [Google Scholar] [CrossRef]
- Qajar, J.; Arns, C.H. Characterization of Reactive Flow-Induced Evolution of Carbonate Rocks Using Digital Core Analysis- Part 1: Assessment of Pore-Scale Mineral Dissolution and Deposition. J. Contam. Hydrol. 2016, 192, 60–86. [Google Scholar] [CrossRef] [PubMed]
- Clerke, E.A. Permeability and Microscopic Displacement Efficiency of M_1 Bimodal Pore Systems in Arab-D Limestone; OnePetro: Richardson, TX, USA, 2007; Volume 2. [Google Scholar]
- Sagbana, P.I.; Sarkodie, K.; Nkrumah, W.A. A Critical Review of Carbonate Reservoir Wettability Modification during Low Salinity Waterflooding. Petroleum 2022. [Google Scholar] [CrossRef]
- Zhu, L.; Zhang, C.; Zhang, Z.; Zhou, X. High-Precision Calculation of Gas Saturation in Organic Shale Pores Using an Intelligent Fusion Algorithm and a Multi-Mineral Model. Adv. Geo-Energy Res. 2020, 4, 135–151. [Google Scholar] [CrossRef]
- Cai, J.; Wei, W.; Hu, X.; Wood, D.A. Electrical Conductivity Models in Saturated Porous Media: A Review. Earth Sci. Rev. 2017, 171, 419–433. [Google Scholar] [CrossRef]
- Sok, R.M.; Arns, C.H.; Knackstedt, M.A.; Senden, T.J.; Sheppard, A.P.; Averdunk, H.; Pinczewski, W.V.; Okabe, H. Estimation of Petrophysical Parameters from 3D Images of Carbonate Core. In SPWLA Middle East Regional Symposium 2007, MERS 2007; OnePetro: Richardson, TX, USA, 2007. [Google Scholar]
- Archie, G.E. The Electrical Resistivity Log as an Aid in Determining Some Reservoir Characteristics. Trans. AIME 1942, 146, 54–62. [Google Scholar] [CrossRef]
- Donaldson, E.C.; Siddiqui, T.K. Relationship Between the Archie Saturation Exponent and Wettability. SPE Form. Eval. 1989, 4, 359–362. [Google Scholar] [CrossRef]
- Tan, M.; Su, M.; Liu, W.; Song, X.; Wang, S. Digital Core Construction of Fractured Carbonate Rocks and Pore-Scale Analysis of Acoustic Properties. J. Pet. Sci. Eng. 2021, 196, 107771. [Google Scholar] [CrossRef]
- Zeng, W.; Liu, X. Interpretation of Non-Archie Phenomenon for Carbonate Reservoirs. Well Logging Technol. 2013, 37, 341–351. [Google Scholar] [CrossRef]
- Zhu, L.; Zhang, C.; Zhang, C.; Zhou, X.; Zhang, Z.; Nie, X.; Liu, W.; Zhu, B. Challenges and Prospects of Digital Core-Reconstruction Research. Geofluids 2019, 2019, 7814180. [Google Scholar] [CrossRef]
- Li, X.; Li, B.; Liu, F.; Li, T.; Nie, X. Advances in Advances in the Application of Deep Learning Methods to Digital Rock Technology. Adv. Geo-Energy Res. 2023, 8, 5–18. [Google Scholar] [CrossRef]
- Andhumoudine, A.B.; Nie, X.; Zhou, Q.; Yu, J.; Kane, O.I.; Jin, L.; Djaroun, R.R. Investigation of Coal Elastic Properties Based on Digital Core Technology and Finite Element Method. Adv. Geo-Energy Res. 2021, 5, 53–63. [Google Scholar] [CrossRef]
- Xue, W.; Wang, Y.; Chen, Z.; Liu, H. An Integrated Model with Stable Numerical Methods for Fractured Underground Gas Storage. J. Clean. Prod. 2023, 393, 136268. [Google Scholar] [CrossRef]
- Alan, C.; Cinar, M. Interpretation of Temperature Transient Data from Coupled Reservoir and Wellbore Model for Single Phase Fluids. J. Pet. Sci. Eng. 2022, 209, 109913. [Google Scholar] [CrossRef]
- Wang, Y.; Sun, S.; Gong, L.; Yu, B. A Globally Mass-Conservative Method for Dual-Continuum Gas Reservoir Simulation. J. Nat. Gas Sci. Eng. 2018, 53, 301–316. [Google Scholar] [CrossRef]
- Liu, Y.; Jin, S.D.; Cao, Q.; Zhou, W. Tertiary Hydrothermal Activity and Its Effect on Reservoir Properties in the Xihu Depression, East China Sea. Pet. Sci. 2019, 16, 14–31. [Google Scholar] [CrossRef]
- Blunt, M.J.; Bijeljic, B.; Dong, H.; Gharbi, O.; Iglauer, S.; Mostaghimi, P.; Paluszny, A.; Pentland, C. Pore-Scale Imaging and Modelling. Adv. Water Resour. 2013, 51, 197–216. [Google Scholar] [CrossRef]
- Arif, M.; Mahmoud, M.; Zhang, Y.; Iglauer, S. X-ray Tomography Imaging of Shale Microstructures: A Review in the Context of Multiscale Correlative Imaging. Int. J. Coal Geol. 2021, 233, 103641. [Google Scholar] [CrossRef]
- Liu, X. Numerical Simulation of Elastic and Electrical Properties of Rock Based on Digital Cores; China University of Petroleum, East China: Beijing, China, 2010. [Google Scholar]
- Nie, X.; Zhang, C.; Wang, C.; Nie, S.; Zhang, J.; Zhang, C. Variable Secondary Porosity Modeling of Carbonate Rocks Based on μ-CT Images. Open Geosci. 2019, 11, 617–626. [Google Scholar] [CrossRef]
- Garboczi, E. Finite Element and Finite Difference Programs for Computing the Linear Electric and Elastic Properties of Digital Images of Random Materials; NIST: Gaithersburg, MD, USA, 1998. [Google Scholar]
- Garboczi, E.J.; Berryman, J.G. Elastic Moduli of a Material Containing Composite Inclusions: Effective Medium Theory and Finite Element Computations. Mech. Mater. 2001, 33, 455–470. [Google Scholar] [CrossRef]
- Jiang, L.; Sun, J.; Liu, X.; Wang, H. Study of Different Factors Affecting the Electrical Properties of Natural Gas Reservoir Rocks Based on Digital Cores. J. Geophys. Eng. 2011, 8, 366–371. [Google Scholar] [CrossRef]
- Zhao, J.; Sun, J.; Jiang, L.; Chen, H.; Yan, G. Effects of Cementation on Elastic Property and Permeability of Reservoir Rocks. Diqiu Kexue—Zhongguo Dizhi Daxue Xuebao/Earth Sci.—J. China Univ. Geosci. 2014, 39, 769–774. [Google Scholar] [CrossRef]
- Liu, X.; Yan, J.; Zhang, X.; Zhang, L.; Ni, H.; Zhou, W.; Wei, B.; Li, C.; Fu, L.Y. Numerical Upscaling of Multi-Mineral Digital Rocks: Electrical Conductivities of Tight Sandstones. J. Pet. Sci. Eng. 2021, 201, 108530. [Google Scholar] [CrossRef]
- Wang, C.C.; Yao, J.; Yang, Y.F.; Zhang, L.; Pang, P.; Yan, Y.P. Percolation Properties Analysis of Carbonate Digital Core Based on Lattice Boltzmann Method. Zhongguo Shiyou Daxue Xuebao (Ziran Kexue Ban)/J. China Univ. Pet. (Ed. Nat. Sci.) 2012, 36, 94–98. [Google Scholar] [CrossRef]
- Martys, N.; Garboczi, E.J. Length Scales Relating the Fluid Permeability and Electrical Conductivity in Random Two-Dimensional Model Porous Media. Phys. Rev. B 1992, 46, 6080–6090. [Google Scholar] [CrossRef]
- Zhou, C.; Li, C.; Wang, C.; Hu, F. Logging Petrophysical Evaluation and Process of Complex Clastic Rock; Petroleum Industry Press: Beijing, China, 2013. [Google Scholar]
- Yue, W.Z.; Tao, G. A New Non-Archie Model for Pore Structure: Numerical Experiments Using Digital Rock Models. Geophys. J. Int. 2013, 195, 282–291. [Google Scholar] [CrossRef]
- Arns, C.H. The Influence of Morphology on Physical Properties of Reservoir Rocks; The University of New South Wales: Sydney, Australia, 2002. [Google Scholar]
- Liming, J. Numerical Simulation of Acoustic and Electrical Properties of Natural Gas Reservoir Rocks Based on Digital Cores. Doctoral Dissertation, China University of Petroleum (East China), Dongying, China, 2012. [Google Scholar]
- Nie, X.; Zou, C.; Li, Z.; Meng, X.; Qi, X. Numerical Simulation of the Electrical Properties of Shale Gas Reservoir Rock Based on Digital Core. J. Geophys. Eng. 2016, 13, 481–490. [Google Scholar] [CrossRef]
- Zhao, Y.; Li, X.; Fang, Z.; Zhang, Y.; Zhang, M.; Dai, X. Numerical Simulation of Resistivity of 3D Digital Core of Fractured Shale Oil Reservoir. Xi’an Shiyou Daxue Xuebao (Ziran Kexue Ban)/J. Xi’an Shiyou Univ. Nat. Sci. Ed. 2022, 37, 51–57. [Google Scholar] [CrossRef]
- Nie, X.; Li, B.; Zhang, J.; Zhang, C.; Zhang, Z. Numerical Simulation of Electrical Properties of Fractured Carbonate Reservoirs Based on Digital Cores. J. Yangtze Univ. (Nat. Sci. Ed.) 2022, 19, 20–29. [Google Scholar]
- Sun, J.; Chi, P.; Cheng, Z.; Yang, L.; Yan, W.; Cui, L. A Novel Saturation Calculation Model of Fractured-Vuggy Carbonate Reservoir via Multiscale Pore Networks: A Case Study from Sichuan Basin, China. J. Geophys. Eng. 2021, 18, 85–97. [Google Scholar] [CrossRef]
- Dong, H.; Blunt, M.J. Micro-CT Imaging and Pore Network Extraction; Department of Earth Science and Engineering, Imperial College London: London, UK, 2007. [Google Scholar]
- Haralick, R.M.; Sternberg, S.R.; Zhuang, X. Image Analysis Using Mathematical Morphology. IEEE Trans. Pattern Anal. Mach. Intell. 1987, 4, 532–550. [Google Scholar] [CrossRef] [PubMed]
- Liu, X.; Sun, J.; Wang, H. Numerical Simulation of Rock Electrical Properties Based on Digital Cores. Appl. Geophys. 2009, 6, 1–7. [Google Scholar] [CrossRef]
- Morgan, W.B.; Pirson, S.J. The Effect of Fractional Wettability on the Archie Saturation Exponent. In Proceedings of the SPWLA Annual Logging Symposium, Midland, TX, USA, 13 May 1964. SPWLA-1964-B. [Google Scholar]











| Sample | 1 | 2 | 3 | 4 | 5 | 6 | 7 | 8 | Entire |
|---|---|---|---|---|---|---|---|---|---|
| Porosity (%) | 17.63 | 19.44 | 25.72 | 21.19 | 19.34 | 21.83 | 26.49 | 34.45 | 23.26 |
Disclaimer/Publisher’s Note: The statements, opinions and data contained in all publications are solely those of the individual author(s) and contributor(s) and not of MDPI and/or the editor(s). MDPI and/or the editor(s) disclaim responsibility for any injury to people or property resulting from any ideas, methods, instructions or products referred to in the content. |
© 2023 by the authors. Licensee MDPI, Basel, Switzerland. This article is an open access article distributed under the terms and conditions of the Creative Commons Attribution (CC BY) license (https://creativecommons.org/licenses/by/4.0/).
Share and Cite
Hou, Y.; Liu, D.; Zhao, T.; Zhou, J.; Tian, L.; Kou, X.; Zhu, B.; Nie, X. Numerical Simulation of Electrical Properties of Carbonate Reservoirs Using Digital Rocks. Processes 2023, 11, 2214. https://doi.org/10.3390/pr11072214
Hou Y, Liu D, Zhao T, Zhou J, Tian L, Kou X, Zhu B, Nie X. Numerical Simulation of Electrical Properties of Carbonate Reservoirs Using Digital Rocks. Processes. 2023; 11(7):2214. https://doi.org/10.3390/pr11072214
Chicago/Turabian StyleHou, Yuting, Die Liu, Taiping Zhao, Jinyu Zhou, Lili Tian, Xiaopan Kou, Baoding Zhu, and Xin Nie. 2023. "Numerical Simulation of Electrical Properties of Carbonate Reservoirs Using Digital Rocks" Processes 11, no. 7: 2214. https://doi.org/10.3390/pr11072214
APA StyleHou, Y., Liu, D., Zhao, T., Zhou, J., Tian, L., Kou, X., Zhu, B., & Nie, X. (2023). Numerical Simulation of Electrical Properties of Carbonate Reservoirs Using Digital Rocks. Processes, 11(7), 2214. https://doi.org/10.3390/pr11072214

