Adsorption of Amido Black 10B by Zinc Ferrite and Titanium Dioxide
Abstract
1. Introduction
2. Methods
2.1. Preparation of Zinc Ferrite and Titanium Dioxide
2.1.1. Preparation of Purified Zinc Ferrite
2.1.2. Preparation of Synthetic Zinc Ferrite
2.1.3. Preparation of Titanium Dioxide
2.2. Adsorption Experiments
3. Results and Discussion
3.1. The Influencing Factors of Adsorption of AB10B by Zinc Ferrite and Titanium Dioxide
3.1.1. Effect of Physical Mixture of Purified Zinc Ferrite and Titanium Dioxide at Different Calcination Temperatures
3.1.2. Effect of Different Mixing Ratios of Zinc Ferrite and Titanium Dioxide
3.1.3. Effect of Initial pH of AB10B Solution
3.1.4. Effect of Dosage of Zinc Ferrite and Titanium Dioxide
3.1.5. Effect of Adsorption Time
3.1.6. Effect of Initial Concentration of AB10B Solution
3.1.7. Effect of Reaction Temperature
3.1.8. Adsorption of AB10B by Different Crystalline Titanium Dioxide Mixed with Purified Zinc Ferrite
3.2. Model Building and Analysis
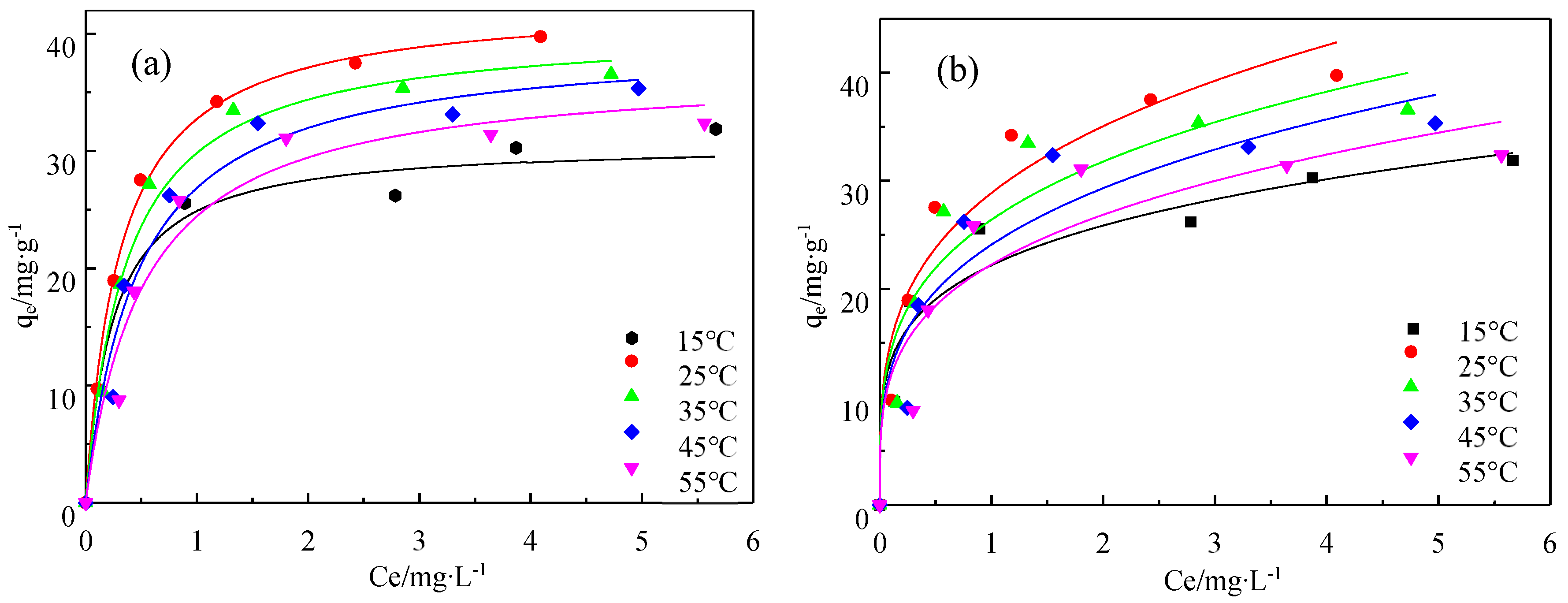
3.2.1. Adsorption Model of AB10B Mixed with Purified Zinc Ferrite and Titanium Dioxide
3.2.2. Adsorption Kinetics of AB10B Mixed with Purified Zinc Ferrite and Titanium Dioxide
3.2.3. Adsorption Thermodynamics of AB10B Mixed with Purified Zinc Ferrite and Titanium Dioxide
4. Conclusions
- (1)
- When the calcination temperature was 300 °C~550 °C, the titanium dioxide prepared was anatase type, and the removal rate of AB10B synergized with purified zinc ferrite was more than 90%. With the increase in calcination temperature, the removal rate of AB10B decreased, especially when the rutile phase appeared in anatase-type titanium dioxide. The removal rate of AB10B will drop sharply, which indicates that titanium dioxide crystal has a significant effect on the removal rate of AB10B. When the ratio of purified zinc ferrite to titanium dioxide mixture was 7:3~1:9, the removal rate of AB10B was above 80%, and the adsorption effect was the best when the ratio of zinc ferrite to titanium dioxide was 4:6. The initial pH of the solution, the initial concentration of the solution and the reaction temperature had significant effects on the adsorption capacity of AB10B, but the adsorption time had little effect.
- (2)
- The individual adsorption of AB10B by single purified zinc ferrite, single synthetic zinc ferrite, single titanium dioxide, and synthetic zinc ferrite/titanium dioxide exhibited lower removal rates compared to purified zinc ferrite/titanium dioxide. This indicates that the synergistic effect of purified zinc ferrite and titanium dioxide leads to enhanced adsorption performance. The adsorption capacity of AB10B using purchased anatase titanium dioxide and self-made anatase titanium dioxide, when mixed with purified zinc ferrite, showed similar results. However, the combination of titanium dioxide with the mixed crystal structure of anatase and rutile (P25) with purified zinc ferrite did not demonstrate a synergistic adsorption effect.
- (3)
- The adsorption behavior of purified zinc ferrite/titanium dioxide on AB10B followed the Langmuir isotherm model. The kinetics of the adsorption process indicated a better fit to the quasi-second-order kinetic model, and the adsorption rate decreased with increasing initial concentration of the solution. Thermodynamic analysis revealed that the adsorption process of purified zinc ferrite/titanium dioxide on AB10B was spontaneous, exothermic, and led to a decrease in system entropy. Furthermore, the adsorption process was found to be unfavorable with increasing temperature.
Author Contributions
Funding
Data Availability Statement
Conflicts of Interest
References
- Kong, F.; Wang, A.; Ren, H.Y. Improved azo dye decolorization in an advanced integrated system of bioelectrochemical module with surrounding electrode deployment and anaerobic sludge reactor. Bioresour. Technol. 2015, 175, 624–628. [Google Scholar] [CrossRef] [PubMed]
- Fatima, M.; Farooq, R.; Lindström, R.W.; Saeed, M. A review on biocatalytic decomposition of azo dyes and electrons recovery. J. Mol. Liquids 2017, 246, 275–281. [Google Scholar] [CrossRef]
- Chang, J.S.; Chen, B.Y.; Lin, Y.S. Stimulation of bacterial decolorization of an azo dye by extracellular metabolites from Escherichia coli strain NO3. Bioresour. Technol. 2004, 91, 243–248. [Google Scholar] [CrossRef] [PubMed]
- Ozyurt, M.; Ataçag, H. Biodegradation of azo dyes: A review. Fresenius Environ. Bull. 2003, 12, 1294–1302. [Google Scholar]
- Ju, X.M.; Luo, L.T.; Zhang, H.T.; Huang, S.B.; Li, J.; Xiang, Y. Current situation and development trend of harmless treatment technology for dye wastewater in the fine chemical industry. Sci. Technol. Rev. 2021, 39, 45–54. [Google Scholar]
- Cai, X.M.; Zheng, Y. Progress research on treatment technology of printing and dyeing wastewater. Text. Auxilia. 2018, 35, 5–8. [Google Scholar]
- Holkar, C.R.; Jadhav, A.J.; Pinjari, D.V.; Mahamuni, N.M.; Pandit, A.B. A critical review on textile wastewater treatments: Possible approaches. J. Environ. Manag. 2016, 182, 351–366. [Google Scholar]
- Wang, Z.; Xue, M.; Huang, K.; Liu, Z. Textile dyeing wastewater treatment. Adv. Treat. Text. Effl. 2011, 5, 91–116. [Google Scholar]
- Yu, H.X.; Li, R.Y.; Liu, B.; Chen, X.; Yu, H.L. Printing and dyeing wastewater processing method. Univ. Shanghai Sci. Technol. 2017, 39, 320–322+333. [Google Scholar]
- Greluk, M.; Hubicki, Z. Evaluation of polystyrene anion exchange resin for removal of reactive dyes from aqueous solutions. Chem. Eng. Res. Des. 2013, 91, 1343–1351. [Google Scholar] [CrossRef]
- Mo, J.H.; Lee, Y.H.; Kim, J.; Jeong, J.Y.; Jegal, J. Treatment of dye aqueous solutions using nanofiltration polyamide composite membranes for the dye wastewater reuse. Dye. Pigment. 2008, 76, 429–434. [Google Scholar] [CrossRef]
- Shi, Y.L.; Liang, Z.; Xiao, Y. Treatment of azo dye wastewater by the present research situation and progress. Guangdong Chem. Industr. 2012, 39, 140–141. [Google Scholar]
- Ahmed, M.N.Z.; Chandrasekhar, K.B.; Jahagirdar, A.A.; Nagabhushana, H.; Nagabhushana, B.M. Photocatalytic activity of nanocrystalline ZnO, α-Fe2O3, and ZnFe2O4/ZnO. Appl. Nanosci. 2015, 5, 961–968. [Google Scholar] [CrossRef]
- Li, L.G. Study on degradation of azo dyeing wastewater by photocatalysis oxidation of TiO2. J. Chem. Ind. Eng. 2008, 29, 11–14. [Google Scholar]
- Miao, Z.; Tao, J.; Li, S.; Wu, J.; Ding, Z.; Chen, X.; Ma, W.; Fan, H.J. Popcorn-like ZnFe2O4/CdS nanospheres for high-efficient photocatalyst degradation of rhodamine B. Colloids Surf. A Physicochem. Eng. Asp. 2022, 654, 130127. [Google Scholar]
- Zhang, W.; Liu, F.; Wang, D.; Jin, Y. Impact of reactor configuration on treatment performance and microbial diversity in treating high-strength dyeing wastewater: Anaerobic flat-sheet ceramic membrane bioreactor versus up-flow anaerobic sludge blanket reactor. Bioresour. Technol. 2018, 269, 269–275. [Google Scholar] [CrossRef]
- Amadan, R.; Ismail, A.M. Tunning the physical properties of PVDF/PVC/Zinc ferrite nanocomposites films for more efficient adsorption of Cd (II). J. Inorg. Organomet. Polym. Mater. 2022, 32, 984–998. [Google Scholar] [CrossRef]
- Amin, A.M.; Rayan, D.A.; Ahmed, Y.M.; El-Shall, M.S.; Abdelbasir, S.M. Zinc ferrite nanoparticles from industrial waste for Se (IV) elimination from wastewater. J. Environ. Manag. 2022, 312, 114956. [Google Scholar] [CrossRef]
- Cao, Y.; Li, X.; Bian, Z.; Fuhr, A.; Zhang, D.; Zhu, J. Highly photocatalytic activity of brookite/rutile TiO2 nanocrystals with semi-embedded structure. Appl. Catal. B Environ. 2016, 180, 551–558. [Google Scholar] [CrossRef]
- Liang, Y.; Huang, G.; Xin, X.; Yao, Y.; Li, Y.; Yin, J.; Li, X.; Wu, Y.; Gao, S. Black titanium dioxide nanomaterials for photocatalytic removal of pollutants: A review. J. Mater. Sci. Technol. 2022, 112, 239–262. [Google Scholar] [CrossRef]
- Mahamud, M.; Taddesse, A.M.; Bogale, Y.; Bezu, Z. Zeolite supported CdS/TiO2/CeO2 composite: Synthesis, characterization and photocatalytic activity for methylene blue dye degradation. Mater. Res. Bull. 2023, 161, 112176. [Google Scholar] [CrossRef]
- Ali, F.; Moin-Ud-Din, G.; Iqbal, M.; Nazir, A.; Altaf, I.; Alwadai, N.; Siddiqua, U.H.; Younas, U.; Ali, A.; Kausar, A.; et al. Ag and Zn doped TiO2 nano-catalyst synthesis via a facile green route and their catalytic activity for the remediation of dyes. J. Mater. Res. Technol. 2023, 23, 3626–3637. [Google Scholar] [CrossRef]
- Wu, X.; Yin, S.; Dong, Q.; Guo, C.; Kimura, T.; Matsushita, J.I.; Sato, T. properties of Nd and C codoped TiO2 with the whole range of visible light absorption. J. Phys. Chem. C 2013, 117, 8345–8352. [Google Scholar] [CrossRef]
- Masoudpanah, S.M.; Hasheminisari, M.; Ghasemi, A. Magnetic properties and photocatalytic activity of ZnFe2-XLaXO4 nanoparticles synthesized by sol–gel a method. J. Sol-Gel Sci. Technol. 2016, 80, 487–494. [Google Scholar] [CrossRef]
- Ozcan, S.; Kaynar, B.; Can, M.M.; Fırat, T. Synthesis of ZnFe2O4 from metallic zinc and iron by wet-milling process. Mater. Sci. Eng. B 2005, 121, 278–281. [Google Scholar] [CrossRef]
- Botta, P.; Bercoff, P.; Aglietti, E.; Bertorello, H.; López, J.P. Synthesis and magnetic properties of zinc ferrite from mechanochemical and thermal treatments of Zn–Fe3O4 mixtures. Mater. Sci. Eng. A. 2003, 360, 146–152. [Google Scholar] [CrossRef]
- Yang, J.; Huo, X.; Li, Z.; Ma, S. Study on preparation and properties of zinc ferrite and titanium dioxide. E3S Web Conferen. EDP Sci. 2023, 385, 4018. [Google Scholar] [CrossRef]














| Temperature/°C | Langmuir Model | Freundlich Model | ||||
|---|---|---|---|---|---|---|
| Q (mg/g) | KL | R2 | KF | 1/n | R2 | |
| 15 | 31.538 | 4.341 | 0.932 | 22.187 | 0.221 | 0.935 |
| 25 | 42.864 | 3.231 | 0.995 | 28.873 | 0.280 | 0.936 |
| 35 | 40.579 | 2.775 | 0.963 | 26.401 | 0.267 | 0.899 |
| 45 | 39.489 | 2.125 | 0.917 | 24.093 | 0.283 | 0.889 |
| 55 | 37.054 | 1.935 | 0.882 | 22.256 | 0.271 | 0.864 |
| Initial Concentration/mg/L | Quasi-First-Order Dynamic Model | Quasi-Second-Order Dynamic Model | ||||
|---|---|---|---|---|---|---|
| qe (mg/g) | K1 | R2 | qe (mg/g) | K2 | R2 | |
| 40 | 18.61 | 0.207 | 0.9932 | 18.90 | 0.060 | 0.9995 |
| 80 | 31.06 | 0.199 | 0.9940 | 32.12 | 0.018 | 0.9997 |
| 120 | 35.91 | 0.182 | 0.9886 | 37.49 | 0.012 | 0.9997 |
| Temperature/K | ΔG0 (kJ·mol−1) | ΔH0 (kJ·mol−1) | ΔS0 (J·mol−1·K−1) |
|---|---|---|---|
| 288 | −3.5154 | ||
| 298 | −1.2620 | −16.04 | −43.76 |
| 308 | −1.1349 | ||
| 318 | −0.8653 | ||
| 328 | −0.7818 |
Disclaimer/Publisher’s Note: The statements, opinions and data contained in all publications are solely those of the individual author(s) and contributor(s) and not of MDPI and/or the editor(s). MDPI and/or the editor(s) disclaim responsibility for any injury to people or property resulting from any ideas, methods, instructions or products referred to in the content. |
© 2023 by the authors. Licensee MDPI, Basel, Switzerland. This article is an open access article distributed under the terms and conditions of the Creative Commons Attribution (CC BY) license (https://creativecommons.org/licenses/by/4.0/).
Share and Cite
Yang, J.; Huo, X.; Xiao, H.; Li, Z.; Li, H.; Ma, S. Adsorption of Amido Black 10B by Zinc Ferrite and Titanium Dioxide. Processes 2023, 11, 2173. https://doi.org/10.3390/pr11072173
Yang J, Huo X, Xiao H, Li Z, Li H, Ma S. Adsorption of Amido Black 10B by Zinc Ferrite and Titanium Dioxide. Processes. 2023; 11(7):2173. https://doi.org/10.3390/pr11072173
Chicago/Turabian StyleYang, Jinlin, Xingnan Huo, Hanxin Xiao, Zongyu Li, Hengjun Li, and Shaojian Ma. 2023. "Adsorption of Amido Black 10B by Zinc Ferrite and Titanium Dioxide" Processes 11, no. 7: 2173. https://doi.org/10.3390/pr11072173
APA StyleYang, J., Huo, X., Xiao, H., Li, Z., Li, H., & Ma, S. (2023). Adsorption of Amido Black 10B by Zinc Ferrite and Titanium Dioxide. Processes, 11(7), 2173. https://doi.org/10.3390/pr11072173
