Analysis and Description of Key Technologies of Intelligent Energy System Integrated with Source-Grid-Load-Storage in the Oil Field
Abstract
1. Introduction
2. Design of Oilfield Intelligent Energy System
3. Key Technologies for Energy Systems
3.1. Intelligent Energy Cloud Management Center
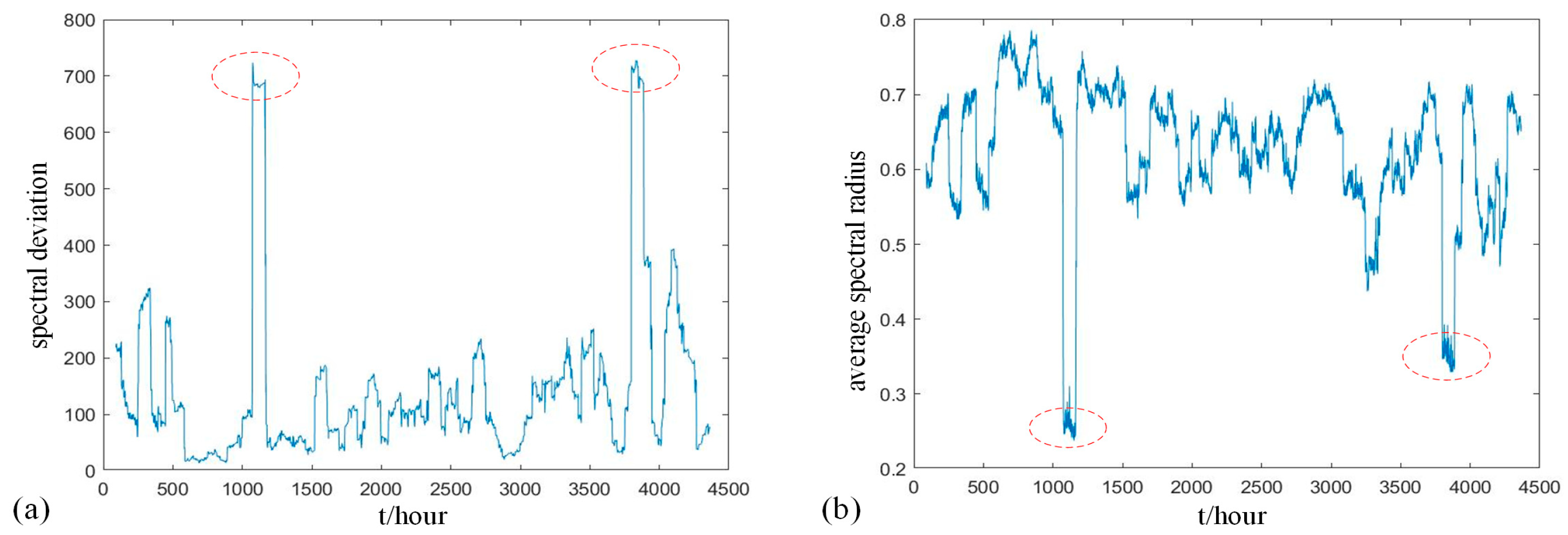
3.1.1. Real-Time Identification of Oilfield Abnormal Data
3.1.2. Oilfield Abnormal Data Repair and Missing Data Completion
- (1)
- Fixed generator parameters, training update discriminator:Set γ—learning rate of neural networks, m—a batch of training data samples, φ—correction amount of network parameters, ndiscri, ngener—iterations of discriminator and generator networks, θd, θg—two network weights, initialized at the beginning of training. The specific process is as follows:
- (1)
- m batch data samples are obtained from the real data distribution Pdata;
- (2)
- m batch data samples are obtained from the random distribution Pz;
- (3)
- Enter into the generator to obtain , which is ;
- (4)
- Updating discriminator network by gradient descent methodAfter ndiscri iterations, θd is continuously updated to train the discriminator that is closest to the objective function.
- (2)
- Fixed discriminator parameters, training update generator:
- (1)
- m batch data samples {z1,z2⋯zm } are obtained from the random distribution Pz;
- (2)
- Update generator network by gradient descent method
3.2. Intelligent Dispatching System of Power Grid
3.2.1. Prediction and Control of Photovoltaic Power Generation
3.2.2. Prediction and Control of Flexible Production
4. Conclusions
Author Contributions
Funding
Data Availability Statement
Acknowledgments
Conflicts of Interest
References
- Frangopoulos, C.A. Recent developments and trends in optimization of energy systems. Energy 2018, 164, 1011–1020. [Google Scholar] [CrossRef]
- Gao, Y.; Ai, Q.; Yousif, M.; Wang, X. Source-load-storage consistency collaborative optimization control of flexible DC distribution network considering multi-energy complementarity. Int. J. Elec. Power 2019, 107, 273–281. [Google Scholar] [CrossRef]
- Liu, T. Energy management of cooperative microgrids: A distributed optimization approach. Int. J. Electr. Power. Energy. Syst 2018, 96, 335–346. [Google Scholar] [CrossRef]
- Hu, X.; Zhang, H.; Chen, D.; Li, Y.; Wang, L.; Zhang, F.; Cheng, H. Multi-objective planning for integrated energy systems considering both exergy efficiency and economy. Energy 2020, 197, 117155. [Google Scholar] [CrossRef]
- Li, R.; Wang, W.; Wu, X.; Tang, F.; Chen, Z. Cooperative planning model of renewable energy sources and energy storage units in active distribution systems: A bi-level model and pare to analysis. Energy 2019, 168, 30–42. [Google Scholar] [CrossRef]
- Li, S.; Zhu, J.; Wu, X.; Dong, H. A novel energy sharing mechanism for smart microgrid. IEEE. Trans. Smart. Grid 2021, 12, 5475–5478. [Google Scholar] [CrossRef]
- Favre-Perrod, P. A vision of future energy networks. In Proceedings of the Power Engineering Society Inaugural Conference and Exposition in Africa, Johannesburg, South Africa, 11–15 July 2005; IEEE: Piscataway, NJ, USA, 2005; pp. 13–17. [Google Scholar]
- Huang, A.; Crow, M.; Heydt, G.; Zheng, J.; Dale, S. The future renewable electric energy delivery and management (FREEDM) system: The energy internet. Proc. IEEE 2011, 99, 133–148. [Google Scholar] [CrossRef]
- Salahuddin, M.; Alam, K. Information and communication technology, electricity consumption and economic growth in OECD countries: A panel data analysis. Electr. Power Energy Syst. 2016, 76, 185–193. [Google Scholar] [CrossRef]
- Li, Y.; Gao, W.; Ruan, Y.; Yoshiaki, U. Demand response of customers in Kitakyushu smart community project to critical peak pricing of electricity. Energy Build. 2018, 168, 251–260. [Google Scholar] [CrossRef]
- Wu, J. Drivers and state-of-the-art of integrated energy systems in Europe. Autom. Electr. Power Syst. 2016, 40, 1–7. [Google Scholar]
- Wang, S.; Wang, X.; Wu, W. Cloud computing and local chip-based dynamic economic dispatch for microgrids. IEEE. Trans. Smart. Grid 2020, 11, 3774–3784. [Google Scholar] [CrossRef]
- Liu, J.; Yao, Q.; Hu, Y. Model predictive control for load frequency of hybrid power system with wind power and thermal power. Energy 2019, 172, 555–565. [Google Scholar] [CrossRef]
- Li, S.; Zhu, J.; Chen, Z.; Luo, T. Double-layer energy management system based on energy sharing cloud for virtual residential microgrid. Appl. Energy 2021, 282, 116089. [Google Scholar] [CrossRef]
- Dahab, Y.; Abubakr, H.; Mohamed, T. Adaptive load frequency control of power systems using electro-search optimization supported by the balloon effect. IEEE Access 2020, 8, 7408–7422. [Google Scholar] [CrossRef]
- Peng, C.; Zhang, J.; Yan, H. Adaptive event-triggering H∞ load frequency control for network-based power systems. IEEE. Trans. Ind. Electro. 2018, 65, 1685–1694. [Google Scholar] [CrossRef]
- Lei, Y.; Zhou, X.; Xu, X.; Jia, F. A dirty data recognition method for machinery condition monitoring in big data era. In Proceedings of the IECON 2017-43rd Annual Conference of the IEEE Industrial Electronics Society, Beijing, China, 29 October 2017; pp. 7061–7066. [Google Scholar]
- Yang, C.; Xu, X.; Kotagiri, R.; Chen, J. A Scalable Multi-Data Sources Based Recursive Approximation Approach for Fast Error Recovery in Big Sensing Data on Cloud. IEEE. Trans. Knowl. Data Eng. 2020, 32, 841–854. [Google Scholar] [CrossRef]
- Jiang, X.; Ge, Z. Data augmentation classifier for imbalanced fault classification. IEEE. Trans. Autom. Sci. Eng. 2020, 18, 1–12. [Google Scholar] [CrossRef]
- Goodfellow, I.J.; Pouget-Abadie, J.; Mirza, B.; Xu, D.; Warde-Farley, S.; Ozair, A.; Courville, A.; Bengio, Y. Generative adversarial nets. Adv. Neural Inf. Process. Syst. 2014, 27. [Google Scholar]
- Nelega, R.; Greu, D.I.; Jecan, E.; Rednic, V.; Zamfirescu, C.; Puschita, E.; Turcu, R.V.F. Prediction of Power Generation of a Photovoltaic Power Plant Based on Neural Networks. IEEE Access 2023, 11, 20713–20724. [Google Scholar] [CrossRef]
















| PV Plant | RMSE/kW | MAPE/% |
|---|---|---|
| YH Line | 4.13 | 3.98 |
| YW line | 4.30 | 4.05 |
| EH line | 6.21 | 4.72 |
| EL line | 5.61 | 4.39 |
| Deployment Management Area | Optimize the Number of Wells | Tuning Duration (Month) | Accumulated Liquid Increase (t) | Accumulated Oil Increase (t) | Converted Annual Oil Increase of Single Well (t) |
|---|---|---|---|---|---|
| HK area IV | 92 | 9 | 12,396 | 2625 | 19 |
| HK area V | 38 | 10 | 5135 | 498 | 18 |
| HK area I | 15 | 2 | 33 | 6 | 18 |
| HX management area | 77 | 5 | 2316 | 504 | 16 |
| ZX area I | 42 | 5 | 1410 | 446 | 16 |
| GD area IV | 9 | 5 | 515 | 36 | 18 |
| DX area I | 6 | 3 | 87 | 56 | 20 |
| DX area Ⅱ | 8 | 2 | 192 | 7.8 | 19 |
| Deployment Management Area | Optimize the Number of Wells | Tuning Duration (Month) | Accumulated Cost Reduction (USD) | Converted Annual Cost Reduction of Single Well (USD) |
|---|---|---|---|---|
| HK area IV | 26 | 6 | 1792 | 321 |
| HX management area | 32 | 5 | 2692 | 345 |
| GD area IV | 41 | 5 | 4169 | 397 |
| ZX area I | 15 | 5 | 1310 | 302 |
| DX area Ⅱ | 53 | 4 | 2509 | 390 |
| Oil Production Plant | Before Flexible Control (3 Years) | After Flexible Control (3 Years) | Extended Pump Inspection Period | Extended Belt Replacement Cycle | ||||
|---|---|---|---|---|---|---|---|---|
| Pump Inspection Cycle (Day) | Belt Replacement Cycle (Day) | Pump Inspection Cycle (Day) | Belt Replacement Cycle (Day) | Day | % | Day | % | |
| HK oil production plant | 284 | 42 | 314 | 48 | 30 | 10.56 | 6 | 14.29 |
| XH oil production plant | 311 | 49 | 359 | 56 | 48 | 15.43 | 7 | 14.29 |
| GD oil production plant | 278 | 33 | 378 | 47 | 100 | 35.97 | 14 | 42.42 |
| SL oil production plant | 289 | 35 | 337 | 46 | 48 | 16.61 | 11 | 31.43 |
| Total | 290.5 | 39.75 | 347 | 49.25 | 56.5 | 19.45 | 9.5 | 23.90 |
Disclaimer/Publisher’s Note: The statements, opinions and data contained in all publications are solely those of the individual author(s) and contributor(s) and not of MDPI and/or the editor(s). MDPI and/or the editor(s) disclaim responsibility for any injury to people or property resulting from any ideas, methods, instructions or products referred to in the content. |
© 2023 by the authors. Licensee MDPI, Basel, Switzerland. This article is an open access article distributed under the terms and conditions of the Creative Commons Attribution (CC BY) license (https://creativecommons.org/licenses/by/4.0/).
Share and Cite
Shu, H.; Ni, C.; Wang, L.; Yan, C.; Sun, D.; Li, W.; Wang, F.; Xu, H.; Sheng, Q. Analysis and Description of Key Technologies of Intelligent Energy System Integrated with Source-Grid-Load-Storage in the Oil Field. Processes 2023, 11, 2169. https://doi.org/10.3390/pr11072169
Shu H, Ni C, Wang L, Yan C, Sun D, Li W, Wang F, Xu H, Sheng Q. Analysis and Description of Key Technologies of Intelligent Energy System Integrated with Source-Grid-Load-Storage in the Oil Field. Processes. 2023; 11(7):2169. https://doi.org/10.3390/pr11072169
Chicago/Turabian StyleShu, Huawen, Chengbo Ni, Lina Wang, Chuan Yan, Dong Sun, Wei Li, Fugang Wang, Hongguang Xu, and Qingbo Sheng. 2023. "Analysis and Description of Key Technologies of Intelligent Energy System Integrated with Source-Grid-Load-Storage in the Oil Field" Processes 11, no. 7: 2169. https://doi.org/10.3390/pr11072169
APA StyleShu, H., Ni, C., Wang, L., Yan, C., Sun, D., Li, W., Wang, F., Xu, H., & Sheng, Q. (2023). Analysis and Description of Key Technologies of Intelligent Energy System Integrated with Source-Grid-Load-Storage in the Oil Field. Processes, 11(7), 2169. https://doi.org/10.3390/pr11072169

