Optimization Design of an Intermediate Fluid Thermoelectric Generator for Exhaust Waste Heat Recovery
Abstract
1. Introduction
2. Intermediate Fluid Thermoelectric Generator
3. Mathematical Model
4. Results and Discussion
4.1. Effect of Exhaust Gas Parameters
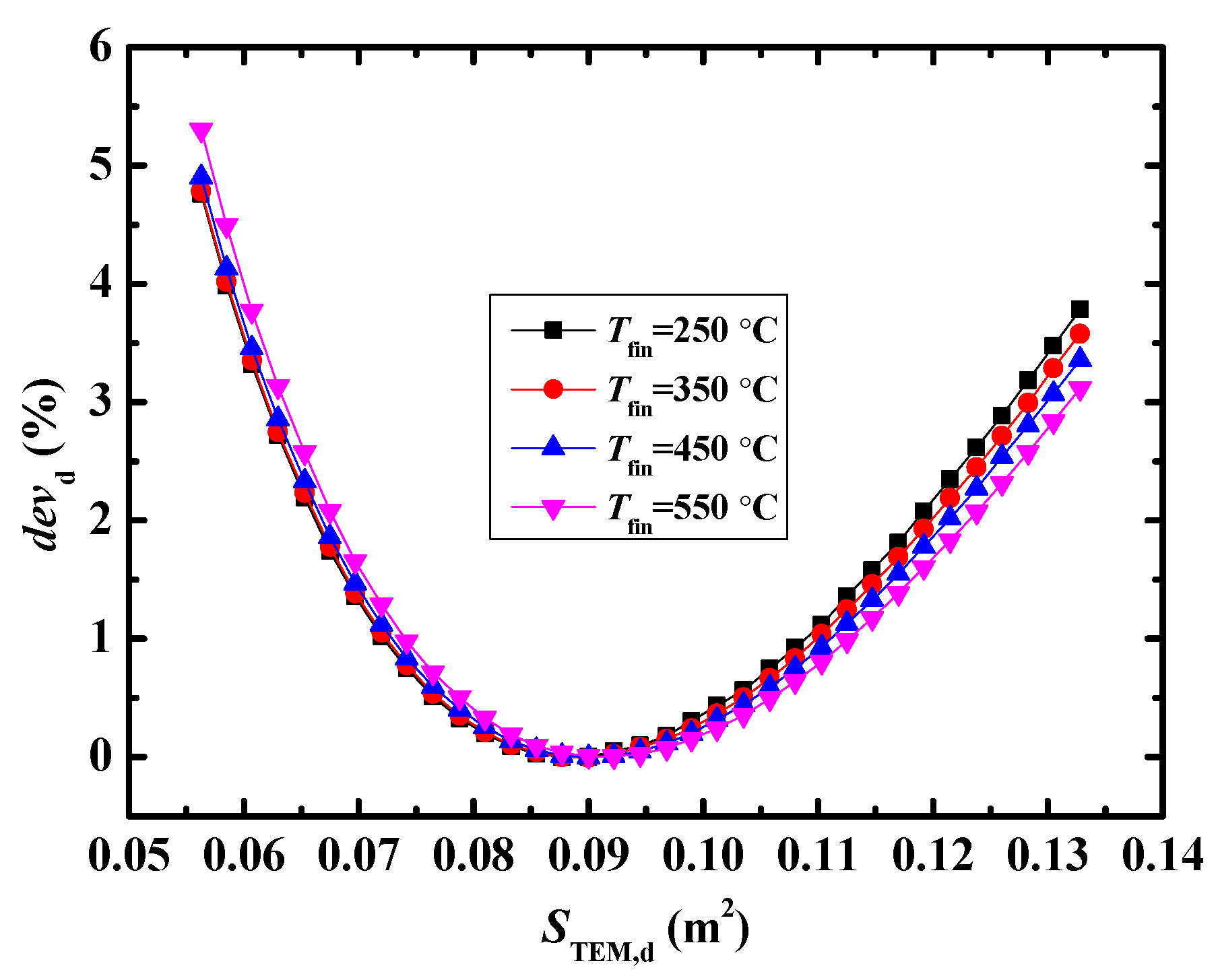
4.2. Optimal Design
5. Conclusions
- (1)
- Within the IFTEG system, an optimal thermoelectric module (TEM) area exists that maximizes output power. Both the maximum output power and the optimal TEM area progressively increase with the enlargement of the exhaust heat exchanger (EHE) area.
- (2)
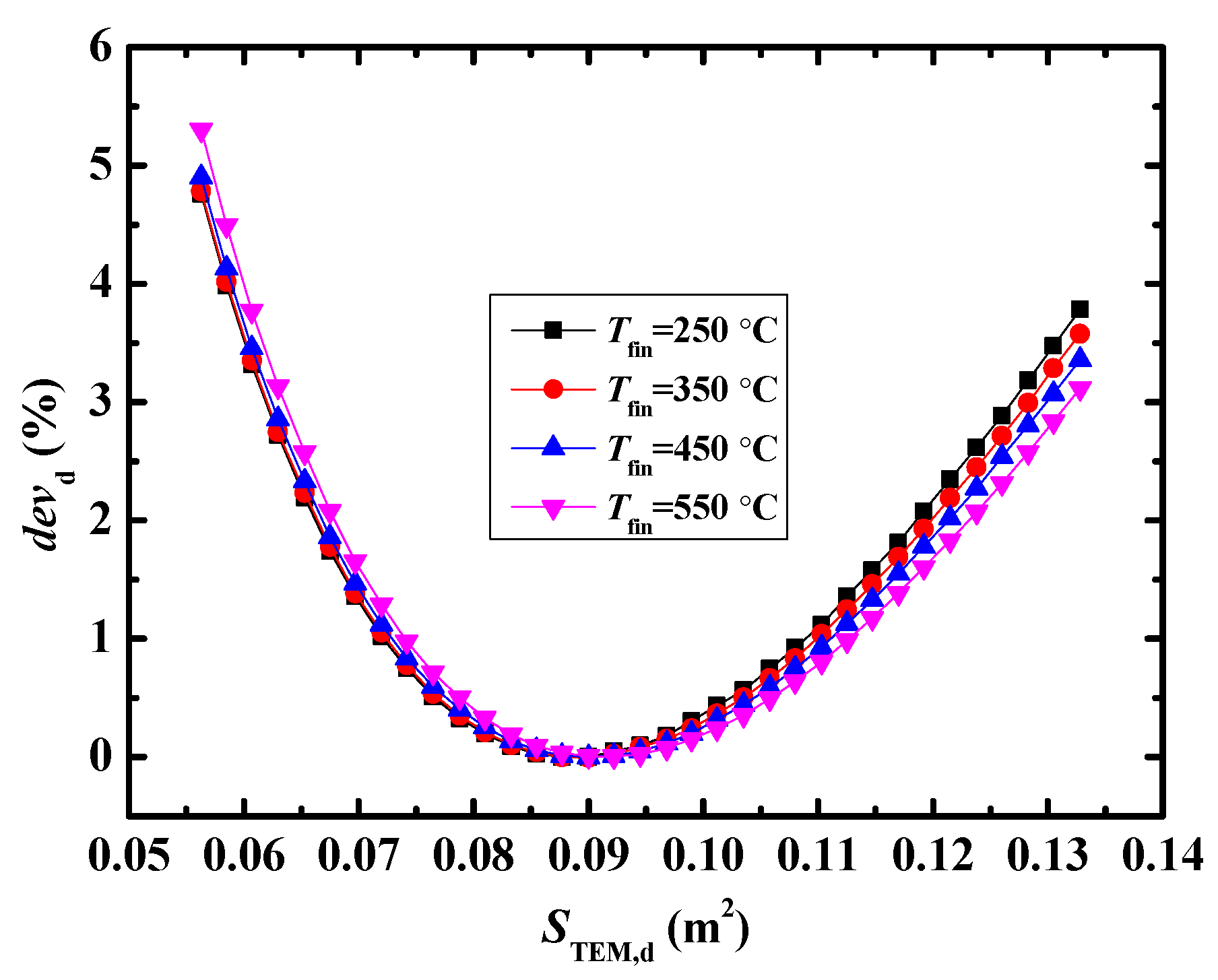
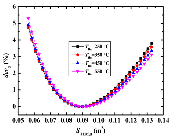
- As the exhaust temperature ascends, the maximum output power exhibits a corresponding rise, whereas the optimal TEM area remains relatively stable. Conversely, an increase in the exhaust flow rate amplifies both the maximum output power and the optimal TEM area.
- (3)
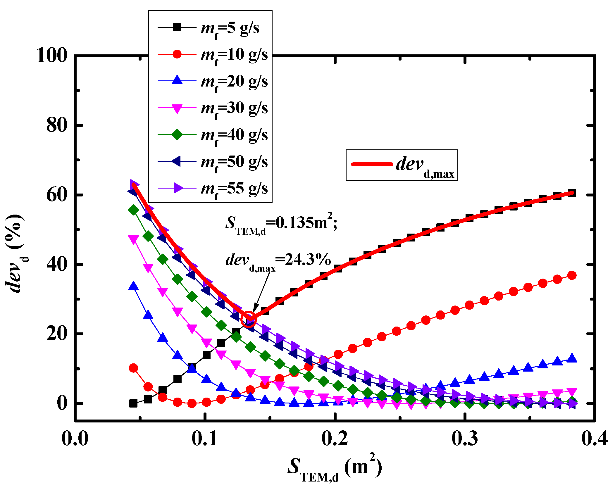
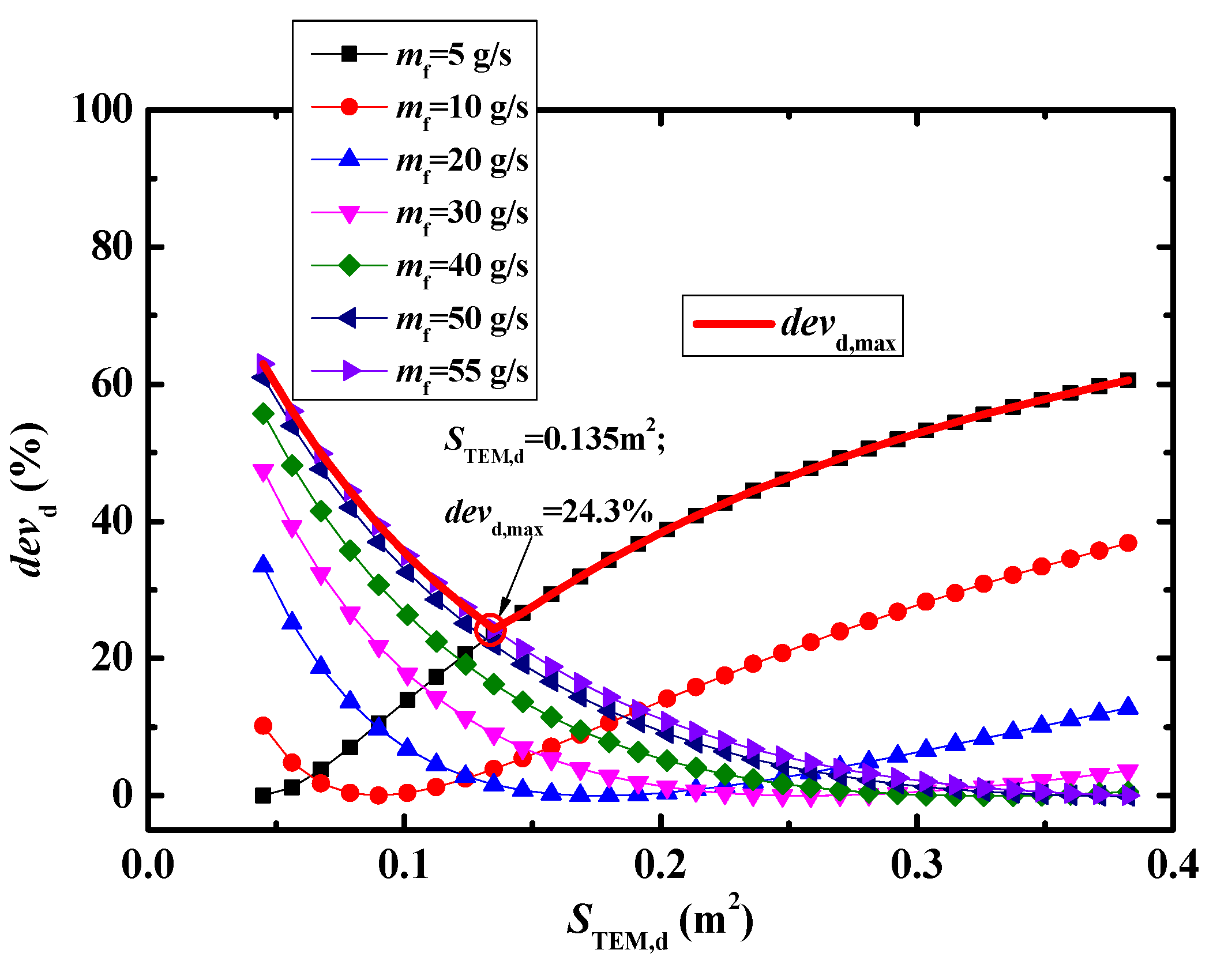
- The peak power deviation methodology is proposed to ascertain the optimal TEM area for design. A smaller peak power deviation implies that the designed TEM area is in closer alignment with the optimal TEM area.
- (4)
- As the designed TEM area expands, the peak power deviation initially reduces before experiencing an upswing. An optimally designed TEM area exists, corresponding to a minimum value, which allows the exhaust operation to approach the best working conditions within a certain range as closely as possible. A 1.6 m2 EHE area yields an optimally designed TEM area of 0.124 m2. As the EHE area grows, the optimally designed TEM area is expected to follow a similar trend.
Author Contributions
Funding
Data Availability Statement
Acknowledgments
Conflicts of Interest
References
- Oluleye, G.; Smith, R.; Jobson, M. Modelling and screening heat pump options for the exploitation of low grade waste heat in process sites. Appl. Energy 2016, 169, 267–286. [Google Scholar] [CrossRef]
- Twaha, S.; Zhu, J.; Yan, Y.; Li, B. A comprehensive review of thermoelectric technology: Materials, applications, modelling and performance improvement. Renew. Sustain. Energy Rev. 2016, 65, 698–726. [Google Scholar] [CrossRef]
- Wang, Y.; Xu, H.; He, W.; Zhao, Y.; Wang, X. Lattice Boltzmann simulation of the structural degradation of a gas diffusion layer for a proton exchange membrane fuel cell. J. Power Sources 2023, 556, 232452. [Google Scholar] [CrossRef]
- Nonthakarn, P.; Ekpanyapong, M.; Nontakaew, U.; Bohez, E. Design and Optimization of an Integrated Turbo-Generator and Thermoelectric Generator for Vehicle Exhaust Electrical Energy Recovery. Energies 2019, 12, 3134. [Google Scholar] [CrossRef]
- Zhao, Y.; Lu, M.; Li, Y.; Wang, Y.; Ge, M. Numerical investigation of an exhaust thermoelectric generator with a perforated plate. Energy 2023, 263, 125776. [Google Scholar] [CrossRef]
- Chen, W.; Wu, P.; Lin, Y. Performance optimization of thermoelectric generators designed by multi-objective genetic algorithm. Appl. Energy 2018, 209, 211–223. [Google Scholar] [CrossRef]
- Luo, D.; Yan, Y.; Chen, W.-H.; Yang, X.; Chen, H.; Cao, B.; Zhao, Y. A comprehensive hybrid transient CFD-thermal resistance model for automobile thermoelectric generators. Int. J. Heat Mass Transf. 2023, 211, 124203. [Google Scholar] [CrossRef]
- Kempf, N.; Zhang, Y. Design and optimization of automotive thermoelectric generators for maximum fuel efficiency improvement. Energy Convers. Manag. 2016, 121, 224–231. [Google Scholar] [CrossRef]
- Zhao, Y.; Lu, M.; Li, Y.; Ge, M.; Xie, L.; Liu, L. Characteristics analysis of an exhaust thermoelectric generator system with heat transfer fluid circulation. Appl. Energy 2021, 304, 117896. [Google Scholar] [CrossRef]
- Lu, X.; Yu, X.; Qu, Z.; Wang, Q.; Ma, T. Experimental investigation on thermoelectric generator with non-uniform hot-side heat exchanger for waste heat recovery. Energy Convers. Manag. 2017, 150, 403–414. [Google Scholar] [CrossRef]
- Ma, T.; Lu, X.; Pandit, J.; Ekkad, S.V.; Huxtable, S.T.; Deshpande, S.; Wang, Q. Numerical study on thermoelectric–hydraulic performance of a thermoelectric power generator with a plate-fin heat exchanger with longitudinal vortex generators. Appl. Energy 2017, 185, 1343–1354. [Google Scholar] [CrossRef]
- Chen, W.; Wang, C.; Huat, L.; Hoang, A.T.; Bandala, A.A. Performance evaluation and improvement of thermoelectric generators (TEG): Fin installation and compromise optimization. Energy Convers. Manag. 2021, 250, 114858. [Google Scholar] [CrossRef]
- Marvão, A.; Coelho, P.J.; Rodrigues, H.C. Optimization of a thermoelectric generator for heavy-duty vehicles. Energy Convers. Manag. 2019, 179, 178–191. [Google Scholar] [CrossRef]
- Luo, D.; Sun, Z.; Wang, R. Performance investigation of a thermoelectric generator system applied in automobile exhaust waste heat recovery. Energy 2022, 238, 121816. [Google Scholar] [CrossRef]
- Liu, C.; Deng, Y.; Wang, X.; Liu, X.; Wang, Y.; Su, C. Multi-objective optimization of heat exchanger in an automotive exhaust thermoelectric generator. Appl. Therm. Eng. 2016, 108, 916–926. [Google Scholar] [CrossRef]
- Fernández-Yañez, P.; Armas, O.; Capetillo, A.; Martínez-Martínez, S. Thermal analysis of a thermoelectric generator for light-duty diesel engines. Appl. Energy 2018, 226, 690–702. [Google Scholar] [CrossRef]
- Su, C.; Wang, W.; Liu, X.; Deng, Y. Simulation and experimental study on thermal optimization of the heat exchanger for automotive exhaust-based thermoelectric generators. Case Stud. Therm. Eng. 2014, 4, 85–91. [Google Scholar] [CrossRef]
- Su, C.; Huang, C.; Deng, Y.; Wang, Y.; Chu, P.; Zheng, S. Simulation and Optimization of the Heat Exchanger for Automotive Exhaust-Based Thermoelectric Generators. J. Electron. Mater. 2015, 45, 1464–1472. [Google Scholar] [CrossRef]
- Karana, D.R.; Sahoo, R.R. Performance assessment of the automotive heat exchanger with twisted tape for thermoelectric based waste heat recovery. J. Clean. Prod. 2021, 283, 124631. [Google Scholar] [CrossRef]
- Lesage, F.J.; Sempels, É.V.; Lalande-Bertrand, N. A study on heat transfer enhancement using flow channel inserts for thermoelectric power generation. Energy Convers. Manag. 2013, 75, 532–541. [Google Scholar] [CrossRef]
- Wang, Y.; Li, S.; Zhang, Y.; Yang, X.; Deng, Y.; Su, C. The influence of inner topology of exhaust heat exchanger and thermoelectric module distribution on the performance of automotive thermoelectric generator. Energy Convers. Manag. 2016, 126, 266–277. [Google Scholar] [CrossRef]
- Wang, Y.; Li, S.; Xie, X.; Deng, Y.; Liu, X.; Su, C. Performance evaluation of an automotive thermoelectric generator with inserted fins or dimpled-surface hot heat exchanger. Appl. Energy 2018, 218, 391–401. [Google Scholar] [CrossRef]
- Choi, Y.; Negash, A.; Kim, T.Y. Waste heat recovery of diesel engine using porous medium-assisted thermoelectric generator equipped with customized thermoelectric modules. Energy Convers. Manag. 2019, 197, 111902. [Google Scholar] [CrossRef]
- Negash, A.A.; Choi, Y.; Kim, T.Y. Experimental investigation of optimal location of flow straightener from the aspects of power output and pressure drop characteristics of a thermoelectric generator. Energy 2021, 219, 119565. [Google Scholar] [CrossRef]
- Li, Y.; Wang, S.; Zhao, Y.; Lu, C. Experimental study on the influence of porous foam metal filled in the core flow region on the performance of thermoelectric generators. Appl. Energy 2017, 207, 634–642. [Google Scholar] [CrossRef]
- Bai, W.; Yuan, X.; Liu, X. Numerical investigation on the performances of automotive thermoelectric generator employing metal foam. Appl. Therm. Eng. 2017, 124, 178–184. [Google Scholar] [CrossRef]
- Musial, M.; Borcuch, M.; Wojciechowski, K. The Influence of a Dispersion Cone on the Temperature Distribution in the Heat Exchanger of a Thermoelectric Generator. J. Electron. Mater. 2015, 45, 1517–1522. [Google Scholar] [CrossRef]
- Shu, G.; Ma, X.; Tian, H.; Yang, H.; Chen, T.; Li, X. Configuration optimization of the segmented modules in an exhaust-based thermoelectric generator for engine waste heat recovery. Energy 2018, 160, 612–624. [Google Scholar] [CrossRef]
- Shen, Z.; Huang, B.; Liu, X. Effect of structure parameters on the performance of an annular thermoelectric generator for automobile exhaust heat recovery. Energy Convers. Manag. 2022, 256, 115381. [Google Scholar] [CrossRef]
- Luo, D.; Liu, Z.; Yan, Y.; Li, Y.; Wang, R.; Zhang, L.; Yang, X. Recent advances in modeling and simulation of thermoelectric power generation. Energy Convers. Manag. 2022, 273, 116389. [Google Scholar] [CrossRef]
- Aranguren, P.; Araiz, M.; Astrain, D.; Martínez, A. Thermoelectric generators for waste heat harvesting: A computational and experimental approach. Energy Convers. Manag. 2017, 148, 680–691. [Google Scholar] [CrossRef]
- Garud, K.S.; Seo, J.H.; Patil, M.S.; Bang, Y.M.; Pyo, Y.D.; Cho, C.P.; Lee, M.Y. Thermal–electrical–structural performances of hot heat exchanger with different internal fins of thermoelectric generator for low power generation application. J. Therm. Anal. Calorim. 2020, 143, 387–419. [Google Scholar] [CrossRef]
- He, H.; Wu, Y.; Liu, W.; Rong, M.; Fang, Z.; Tang, X. Comprehensive modeling for geometric optimization of a thermoelectric generator module. Energy Convers. Manag. 2019, 183, 645–659. [Google Scholar] [CrossRef]
- Zhao, Y.; Wang, S.; Ge, M.; Liang, Z.; Liang, Y.; Li, Y. Performance investigation of an intermediate fluid thermoelectric generator for automobile exhaust waste heat recovery. Appl. Energy 2019, 239, 425–433. [Google Scholar] [CrossRef]
- Ge, M.; Li, Z.; Zhao, Y.; Xie, L.; Wang, S. Effect of exhaust parameters on performance of intermediate fluid thermoelectric generator. Case Stud. Therm. Eng. 2021, 28, 101480. [Google Scholar] [CrossRef]







| Unit | Values | |
|---|---|---|
| Exhaust temperature, Tfin | °C | 250–550 |
| Exhaust flow, mf | g/s | 5–55 |
| Hot-side heat transfer coefficient, hf | W/m2K | 80 |
| Cooling water temperature, Tcin | °C | 70 |
| Cooling water flow, mc | g/s | 200 |
| Cooling water heat transfer coefficient, hc | W/m2K | 1000 |
| Seebeck coefficient of P/N materials, αp/n | VK−1 | 2.037 × 10−4/−1.721 × 10−4 |
| Resistance of P/N materials, ρp/n | Ω·m | 1.314 × 10−5/1.119 × 10−5 |
| Thermal conductivity of P/N materials, λp/n | Wm−1K−1 | 1.265/1.011 |
| Structure size of P-N leg, l/w/z | mm | 5/5/5 |
| Ceramic sheet size, F | mm2 | 15 × 7.5 |
Disclaimer/Publisher’s Note: The statements, opinions and data contained in all publications are solely those of the individual author(s) and contributor(s) and not of MDPI and/or the editor(s). MDPI and/or the editor(s) disclaim responsibility for any injury to people or property resulting from any ideas, methods, instructions or products referred to in the content. |
© 2023 by the authors. Licensee MDPI, Basel, Switzerland. This article is an open access article distributed under the terms and conditions of the Creative Commons Attribution (CC BY) license (https://creativecommons.org/licenses/by/4.0/).
Share and Cite
Zhang, W.; Li, W.; Li, S.; Xie, L.; Ge, M.; Zhao, Y. Optimization Design of an Intermediate Fluid Thermoelectric Generator for Exhaust Waste Heat Recovery. Processes 2023, 11, 1853. https://doi.org/10.3390/pr11061853
Zhang W, Li W, Li S, Xie L, Ge M, Zhao Y. Optimization Design of an Intermediate Fluid Thermoelectric Generator for Exhaust Waste Heat Recovery. Processes. 2023; 11(6):1853. https://doi.org/10.3390/pr11061853
Chicago/Turabian StyleZhang, Wei, Wenjie Li, Shuqian Li, Liyao Xie, Minghui Ge, and Yulong Zhao. 2023. "Optimization Design of an Intermediate Fluid Thermoelectric Generator for Exhaust Waste Heat Recovery" Processes 11, no. 6: 1853. https://doi.org/10.3390/pr11061853
APA StyleZhang, W., Li, W., Li, S., Xie, L., Ge, M., & Zhao, Y. (2023). Optimization Design of an Intermediate Fluid Thermoelectric Generator for Exhaust Waste Heat Recovery. Processes, 11(6), 1853. https://doi.org/10.3390/pr11061853
