Control Mechanism of Microbial Degradation on the Physical Properties of a Coal Reservoir
Abstract
1. Introduction
2. Materials and Methods
2.1. Experimental Design
2.1.1. Preparation of Coal Samples
2.1.2. Enrichment Culture of Bacteria
2.1.3. Fermentation Gas Production Experiment
2.2. Test Methods
2.2.1. Low-Temperature Liquid Nitrogen Adsorption Tests
2.2.2. Isothermal Adsorption
2.2.3. Diffusion Coefficient Test
3. Experimental Results and Discussion
3.1. Output Characteristics of Biomethane
3.2. Characteristics of the Pore Structure
3.2.1. Characterization of the Coal Pore Structure
3.2.2. Variation in the Pore Structure Characteristics of Coal
3.2.3. Variation in the Pore Fractal Characteristics of Coal Reservoirs
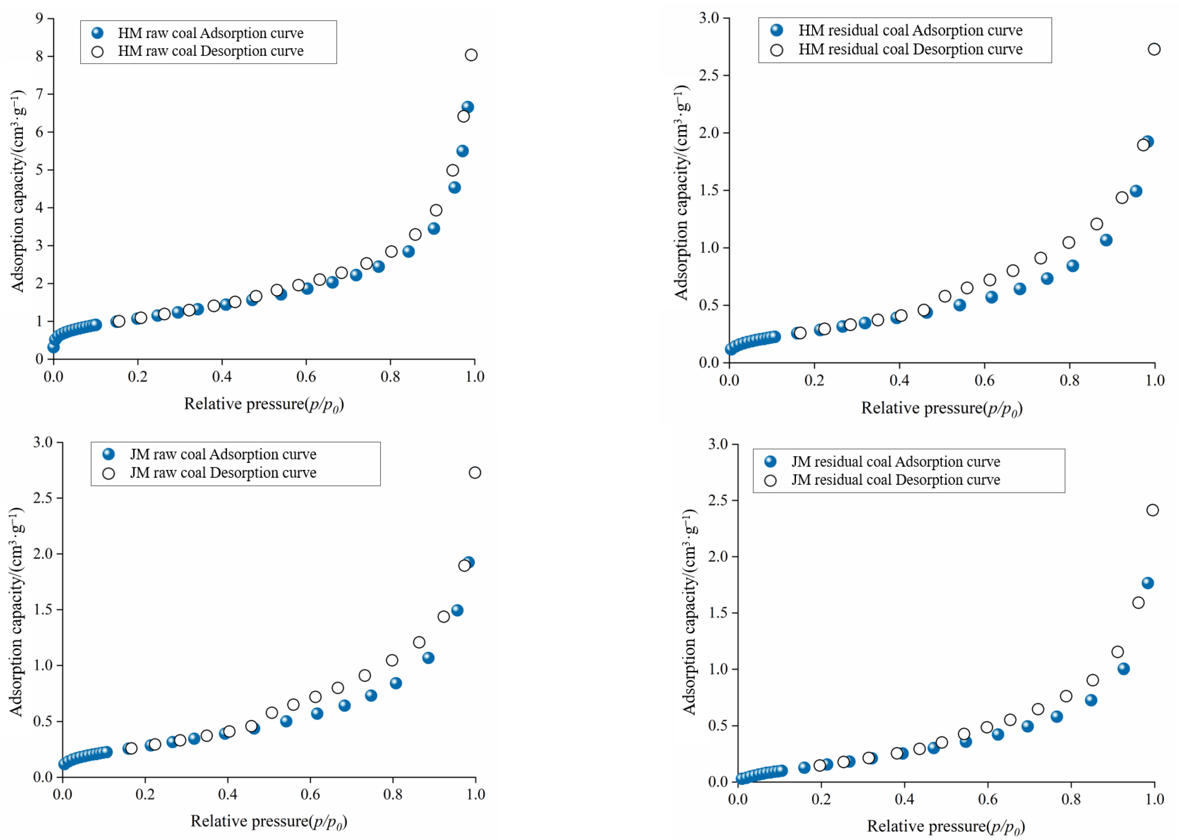
3.3. Changes in the Adsorption Characteristics of Coal Samples
3.4. Variation Characteristics of the Gas Diffusion Coefficient
3.5. Impact of Microbially Degraded Coal on the Physical Alteration of Coal Reservoirs
4. Conclusions
- (1)
- The microbial degradation of coal has an increased biogenic coalbed methane content through the secretion of extracellular enzymes by anaerobic microorganisms. The cumulative gas production of lignite (HM) and bituminous coal (JM) was 152.11 μmol/g and 80.57 μmol/g, respectively, and the pore development of the coal itself also affected gas production. Lignite has well-developed pores and a large specific surface area, which facilitate microbial attachment (the secretion of extracellular enzymes) and increase the rate of microbial degradation.
- (2)
- Microbial action can change the structural characteristics of coal pores, resulting in a decrease in the specific surface area, pore volume and fractal dimension and a tendency for the pore structure of coal to become simpler. The volume of adsorption pores (micropores and mesopores) in coal samples decreased after biodegradation, and methane gas was easily desorbed. After microbial degradation, the pore connectivity of the coal reservoir is improved, which is beneficial to the enrichment and development of coalbed methane.
- (3)
- Because the metamorphic degree of bituminous coal is higher than that of lignite, the structure of bituminous coal is more difficult to degrade than that of lignite, resulting in a longer hydrolysis stage, and the overall gas production lags behind that of lignite. After microbial degradation, the pore content of each pore diameter of lignite samples decreased, while the micropore effect of bituminous coal was obvious, and the number of mesopores increased slightly. The reason is that lignite is less metamorphic than bituminous coal, and microorganisms are easy to transform it. Compared with lignite, the diffusion coefficient of bituminous coal after microbial degradation increases less, but compared with that before degradation, the diffusion coefficient increases greatly, which can make methane gas escape in a large amount in the coal seam after microbial transformation so as to achieve the effect of increasing coalbed methane production.
- (4)
- Microbial degradation has a large impact on the physical properties of coal reservoirs, which not only increases the extractable CBM content but also increases the critical desorption pressure, improving the CBM desorption–diffusion transport capacity and realizing the CBM dual-production enhancement effect.
Author Contributions
Funding
Data Availability Statement
Acknowledgments
Conflicts of Interest
References
- Cao, M.L.; Kang, Y.S.; Qin, S.F.; Zhang, B.; Deng, Z. Single-factor physical simulation experiment study on matrix contraction effect of coal rocks with different ranks. J. China Coal Soc. 2021, 46, 364–376. [Google Scholar]
- Lu, Y.Y.; Chai, C.J.; Zhou, Z.; Ge, Z.L.; Yang, M.M. Influence of bioconversion on pore permeability of coal seams. J. Min. Saf. Eng. 2021, 38, 165–172. [Google Scholar]
- Cheng, Y.P.; Lei, Y. Causality between tectonic coal and coal and gas outbursts. J. China Coal Soc. 2021, 46, 180–198. [Google Scholar]
- Dong, X.X.; Li, W.J.; Liu, Q.; Wang, H.H. Research on convection-reaction-diffusion model of contaminants in fracturing flowback fluid in non-equidistant fractures with arbitrary inclination of shale gas development. J. Pet. Sci. Eng. 2022, 208, 109479. [Google Scholar] [CrossRef]
- Liu, X.Q.; Sun, Y.; Guo, T.K.; Rabiei, M.; Qu, Z.Q.; Hou, J. Numerical simulations of hydraulic fracturing in methane hydrate reservoirs based on the coupled thermo-hydrologic-mechanical-damage (THMD) model. Energy 2022, 238, 122054. [Google Scholar] [CrossRef]
- Duplyakov, V.M.; Morozov, A.D.; Shel, E.V.; Vainshtein, A.L.; Burnaev, E.; Osiptsov, A.A.; Paderin, G.V. Data-driven model for hydraulic fracturing design optimization. Part II: Inverse problem. J. Pet. Sci. Eng. 2022, 208, 109603. [Google Scholar] [CrossRef]
- Liu, Y.L.; Tang, D.Z.; Xu, H.; Zhao, T.T.; Hou, W. Effect of interlayer mechanical properties on initiation and propagation of hydraulic fracturing in laminated coal reservoirs. J. Pet. Sci. Eng. 2021, 3, 109381. [Google Scholar] [CrossRef]
- Tian, W. Study on the Existing State of CO2 in Geological Storage of old Oilfields. Chin. J. Undergr. Space Eng. 2021, 17, 618–625. [Google Scholar]
- Gong, H.R.; Wang, K.; Wang, G.D.; Yang, X.; Du, F. Underground coal seam gas displacement by injecting nitrogen: Field test and effect prediction. Fuel 2021, 306, 121646. [Google Scholar] [CrossRef]
- Cai, M.Y.; Su, Y.L.; Hao, Y.M.; Guo, Y.C.; Elsworth, D.; Li, L.; Li, D.S.; Li, X.Y. Monitoring oil displacement and CO2 trapping in low-permeability media using NMR: A comparison of miscible and immiscible flooding. Fuel 2021, 305, 121606. [Google Scholar] [CrossRef]
- Xiong, C.M.; Li, S.J.; Ding, B.; Geng, X.F.; Zhang, J.; Yan, Y.G. Molecular insight into the oil displacement mechanism of gas flooding in deep oil reservoir. Chem. Phys. Lett. 2021, 783, 139044. [Google Scholar] [CrossRef]
- Song, Y.; Zhao, C.; Chen, M.; Chi, Y.; Zhang, Y.; Zhao, J.F. Pore-scale visualization study on CO2 displacement of brine in micromodels with circular and square cross sections. Int. J. Greenh. Gas Control 2020, 95, 102958. [Google Scholar] [CrossRef]
- Wang, S.J.; Jiang, L.L.; Cheng, Z.C.; Liu, Y.; Zhao, J.F.; Song, Y.C. Experimental study on the CO2-decane displacement front behavior in high permeability sand evaluated by magnetic resonance imaging. Energy 2021, 217, 119433. [Google Scholar] [CrossRef]
- Wang, Q.; Yang, S.L.; Bai, J.; Zhao, W.; Li, J.J.; Chen, H. Influence of pore throat structure on changes in physical properties of reservoir rock during CO2 flooding. Acta Pet. Sin. 2021, 42, 654. [Google Scholar]
- Li, Y.; Wang, Y.; Wang, Z.S.; Pan, Z.J. Variation in permeability during CO2-CH4 displacement in coal seams: Part 1—Experimental insights. Fuel 2020, 263, 1–10. [Google Scholar] [CrossRef]
- Yu, M.H.; Song, Y.C. CO2/Water Displacement in Porous Medium Under Pressure and Temperature Conditions for Geological Storage. Energy Procedia 2014, 61, 282–285. [Google Scholar] [CrossRef]
- Zhi, S.; Elsworth, D.; Wang, J.H.; Gan, Q.; Liu, S.M. Hydraulic fracturing for improved nutrient delivery in microbially-enhanced coalbed-methane (MECBM) production. J. Nat. Gas Sci. Eng. 2018, 60, 294–311. [Google Scholar] [CrossRef]
- Scott, A. Improving Coal Gas Recovery with Microbially Enhanced Coalbed Methane. In Coalbed Methane: Scientific, Environmental and Economic Evaluation; Springer: Berlin/Heidelberg, Germany, 1999. [Google Scholar]
- Xiao, D.; Peng, S.P.; Wang, E.Y. Fermentation Enhancement of Methanogenic Archaea Consortia from an Illinois Basin Coalbed via DOL Emulsion Nutrition. Plos ONE 2015, 10, eO124389. [Google Scholar] [CrossRef]
- Hou, D.S.; Liang, W.G.; Zhang, B.N.; Li, C. Seepage law of mixed gases in CO2 displacement of coal seam CH4. J. China Coal Soc. 2019, 44, 3463–3471. [Google Scholar]
- Pandey, R.; Harpalani, S.; Feng, R.M.; Zhang, J.; Liang, Y.N. Changes in gas storage and transport properties of coal as a result of enhanced microbial methane generation. Fuel 2016, 179, 114–123. [Google Scholar] [CrossRef]
- Wang, X.; Cheng, Y.; Zhang, D.; Liu, Z.D.; Wang, Z.Y.; Jiang, Z.G. Influence of tectonic evolution on pore structure and fractal characteristics of coal by low pressure gas adsorption. J. Nat. Gas Sci. Eng. 2021, 35, 3887–3898. [Google Scholar] [CrossRef]
- Huang, H.P.; Eric, W. A laboratory investigation of the impact of solvent treatment on the permeability of bituminous coal from Western Canada with a focus on microbial in-situ processing of coals. Energy 2020, 210, 118542. [Google Scholar] [CrossRef]
- Xia, D.P.; Huang, S.; Yan, X.T. Influencing mechanism of Fe2+ on biomethane production from coal. J. Nat. Gas Sci. Eng. 2021, 91, 103959. [Google Scholar] [CrossRef]
- Chen, Y.; Ma, Z.Y.; Ma, D.M.; Li, W.B.; Li, G.F.; Yang, F.; Zheng, C.; Teng, J.X.; Ji, Y.S. Effects of wettability differences of different macroscopic composition of coal on methane adsorption and desorption. Coal Sci. Technol. 2021, 49, 47–55. [Google Scholar]
- Li, S.G.; Bai, Y.; Lin, H.F.; Yan, M.; Long, H.; Guo, D.D. Effect of N2/CO2 injection pressure on CH4 desorption in gas-bearing coal rock. Nat. Gas Ind. 2021, 41, 80–89. [Google Scholar]
- Zdravkov, B.D.; Cermak, J.J.; Martin, S. Pore classification in the characterization of porous materials: A perspective. Cent. Eur. J. Chem. 2007, 5, 385–395. [Google Scholar]
- Qin, Y.; Xu, Z.W.; Zhang, J. Natural classification of the high-rank coal pore structure and its application. J. China Coal Soc. 1995, 3, 266–271. [Google Scholar]
- Zhang, H. Genetical type of proes in coal reservoir and its research significance. J. China Coal. Soc. 2001, 1, 40–44. [Google Scholar]
- Cheng, G.; Jiang, B.; Li, M.; Zeng, F.G.; Xiang, J.H. Effects of pore-fracture structure of ductile tectonically deformed coals on their permeability: An experimental study based on raw coal cores. J. Pet. Sci. Eng. 2020, 193, 107371. [Google Scholar] [CrossRef]
- Shen, J.; Qin, Y.; Li, Y. Experimental investigation into the relative permeability of gas and water in low-rank coal. J. Pet. Sci. Eng. 2019, 175, 303–316. [Google Scholar] [CrossRef]
- Sun, Y.F.; Zhao, Y.X.; Wang, X.; Peng, L.; Sun, Q. Synchrotron radiation facility-based quantitative evaluation of pore structure heterogeneity and anisotropy in coal. J. Books 2019, 46, 1195–1205. [Google Scholar] [CrossRef]
- Liu, K.; Ostadhassan, M.; Jang, H.W.; Zakharova, N.V.; Shokouhimehr, M. Comparison of fractal dimensions from nitrogen adsorption data in shale via different models. RSC Adv. 2021, 11, 2298–2306. [Google Scholar] [CrossRef] [PubMed]
- Zhu, H.J.; Ju, Y.W.; Qi, Y.; Huang, C.; Zhang, L. Impact of tectonism on pore type and pore structure evolution in organic-rich shale: Implications for gas storage and migration pathways in naturally deformed rocks. Fuel 2018, 228, 272–289. [Google Scholar] [CrossRef]
- Urai, S.; Desbois, G.; Urai, J.L.; Schroppel, B.; Schwarz, J.O. Multi-scale characterization of porosity in Boom Clay (HADES-level, Mol, Belgium) using a combination of X-ray mu-CT, 2D BIB-SEM and FIB-SEM tomography. Microporous Mesoporous Mater. Off. J. Int. Zeolite Assoc. 2015, 208, 1–20. [Google Scholar]
- Han, W.C.; Li, A.F.; Fang, Q. Comparative analysis of isothermal adsorption models for coals with water content under supercritical conditions. J. China Coal Soc. 2020, 45, 4095–4103. [Google Scholar]
- Yang, Y.; Liu, S.M.; Liu, W.; Wang, L. Intrinsic relationship between Langmuir sorption volume and pressure for coal: Experimental and thermodynamic modeling study. Fuel 2019, 241, 105–117. [Google Scholar] [CrossRef]
- Zheng, Y.F.; Zhai, C.; Sun, Y.; Xu, J.Z.; Cong, Y.Z.; Tang, W.; Chen, A.K. Experimental study on the effect of coal particle size on the mechanics, pore structure, and permeability of coal-like materials for low-rank coalbed methane reservoir simulation. Energy Fuels 2021, 35, 17566–17579. [Google Scholar] [CrossRef]






| Coal Sample Number | Proximate Analysis (%) | Ultimate Analysis (%) | Romax (%) | |||||
|---|---|---|---|---|---|---|---|---|
| Mad | Aad | Vdaf | Cdaf | Hdaf | (O+S) daf | Ndaf | ||
| HM | 15.10 | 7.74 | 44.40 | 69.91 | 6.27 | 22.08 | 1.74 | 0.46 |
| JM | 0.44 | 11.44 | 17.08 | 87.69 | 4.95 | 5.94 | 1.42 | 1.53 |
| Sample Serial Number | P/P0 < 0.5 | P/P0 > 0.5 | ||||
|---|---|---|---|---|---|---|
| A1 | D1 = A1 + 3 | R2 | A2 | D2 = A2 + 3 | R2 | |
| HM-RAW | −0.5943 | 2.4057 | 0.9609 | −0.3646 | 2.6354 | 0.9980 |
| HM-A | −0.7215 | 2.2785 | 0.9757 | −0.3365 | 2.6635 | 0.9924 |
| JM-RAW | −0.6644 | 2.3356 | 0.9959 | −0.2863 | 2.7137 | 0.9417 |
| JM-A | −1.2734 | 1.7266 | 0.9683 | −0.3892 | 2.6108 | 0.9711 |
| Coal | Air Content (m3/t) | VL/cm3·g−1 | Rate of Change | PL/Mpa | Pcd/MPa | Goodness of Fit |
|---|---|---|---|---|---|---|
| HM raw coal | 5.51 | 13.722 | −17.43% | 1.816 | 1.22 | 0.9304 |
| HM residual coal | 11.330 | 2.184 | 2.06 | 0.9902 | ||
| JM raw coal | 11.8 | 24.390 | −11.25% | 2.265 | 2.12 | 0.8884 |
| JM residual coal | 21.645 | 3.195 | 3.83 | 0.9565 |
Disclaimer/Publisher’s Note: The statements, opinions and data contained in all publications are solely those of the individual author(s) and contributor(s) and not of MDPI and/or the editor(s). MDPI and/or the editor(s) disclaim responsibility for any injury to people or property resulting from any ideas, methods, instructions or products referred to in the content. |
© 2023 by the authors. Licensee MDPI, Basel, Switzerland. This article is an open access article distributed under the terms and conditions of the Creative Commons Attribution (CC BY) license (https://creativecommons.org/licenses/by/4.0/).
Share and Cite
Xia, D.; Gu, P.; Chen, Z.; Chen, L.; Wei, G.; Wang, Z.; Cheng, S.; Zhang, Y. Control Mechanism of Microbial Degradation on the Physical Properties of a Coal Reservoir. Processes 2023, 11, 1347. https://doi.org/10.3390/pr11051347
Xia D, Gu P, Chen Z, Chen L, Wei G, Wang Z, Cheng S, Zhang Y. Control Mechanism of Microbial Degradation on the Physical Properties of a Coal Reservoir. Processes. 2023; 11(5):1347. https://doi.org/10.3390/pr11051347
Chicago/Turabian StyleXia, Daping, Pengtao Gu, Zhenhong Chen, Linyong Chen, Guoqin Wei, Zhenzhi Wang, Song Cheng, and Yawei Zhang. 2023. "Control Mechanism of Microbial Degradation on the Physical Properties of a Coal Reservoir" Processes 11, no. 5: 1347. https://doi.org/10.3390/pr11051347
APA StyleXia, D., Gu, P., Chen, Z., Chen, L., Wei, G., Wang, Z., Cheng, S., & Zhang, Y. (2023). Control Mechanism of Microbial Degradation on the Physical Properties of a Coal Reservoir. Processes, 11(5), 1347. https://doi.org/10.3390/pr11051347
