Effect of Drying Pretreatment on Cellulolytic Enzymatic Hydrolysis of Lignin from Napier Grass
Abstract
1. Introduction
2. Materials and Methods
2.1. Materials
2.2. Pretreatments
2.3. Klason Lignin
2.4. Cellulolytic Enzymatic Hydrolysis
2.5. Moisture Analysis
2.6. Fourier Transformed Infrared (FTIR) Spectroscopy Analysis
2.7. Ultraviolet–Visible (UV–Vis) Spectrophotometry
2.8. Statistical Analysis
3. Results and Discussion
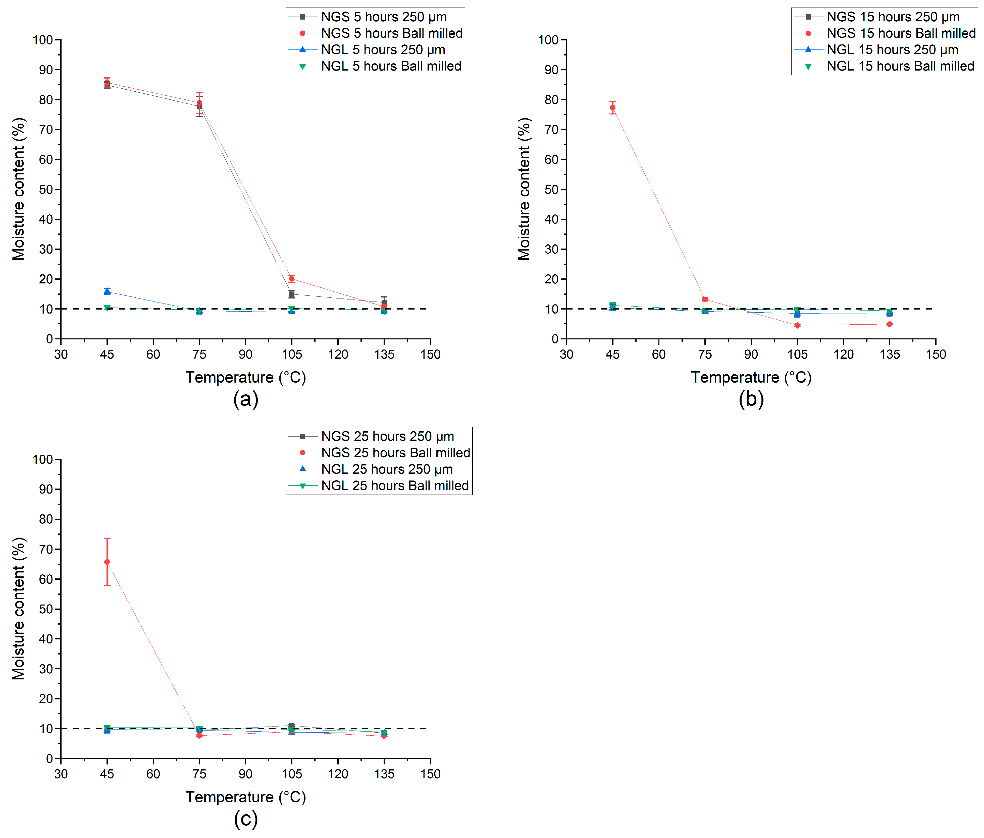
3.1. Moisture Analysis
3.2. Pretreatment FTIR Analysis
3.3. Klason Lignin from Pretreatment
3.4. Cellulolytic Enzymatic Lignin (CEL) Yield
3.5. CEL UV–Vis Analysis
3.6. CEL FTIR Analysis
3.7. Optimal Condition
4. Conclusions
Author Contributions
Funding
Data Availability Statement
Acknowledgments
Conflicts of Interest
References
- Malaysia Energy Commission. Malaysia Energy Statistics Handbook 2017; Malaysia Energy Commission: Putrajaya, Malaysia, 2017.
- Malaysia Energy Commission. Malaysia Energy Statistics Handbook 2020; Malaysia Energy Commission: Putrajaya, Malaysia, 2021.
- Popp, J.; Lakner, Z.; Harangi-Rákos, M.; Fári, M. The effect of bioenergy expansion: Food, energy, and environment. Renew. Sustain. Energy Rev. 2014, 32, 559–578. [Google Scholar] [CrossRef]
- Ambaye, T.G.; Vaccari, M.; Bonilla-Petriciolet, A.; Prasad, S.; van Hullebusch, E.D.; Rtimi, S. Emerging technologies for biofuel production: A critical review on recent progress, challenges and perspectives. J. Environ. Manag. 2021, 290, 112627. [Google Scholar] [CrossRef] [PubMed]
- Bioenergy Technologies Office. Biomass Resources. Available online: https://www.energy.gov/eere/bioenergy/biomass-resources (accessed on 23 November 2022).
- Mohammed, I.Y.; Abakr, Y.A.; Yusup, S.; Kazi, F.K. Valorization of Napier grass via intermediate pyrolysis: Optimization using response surface methodology and pyrolysis products characterization. J. Clean. Prod. 2017, 142, 1848–1866. [Google Scholar] [CrossRef]
- Ko, C.-H.; Yu, F.-C.; Chang, F.-C.; Yang, B.-Y.; Chen, W.-H.; Hwang, W.-S.; Tu, T.-C. Bioethanol production from recovered napier grass with heavy metals. J. Environ. Manag. 2017, 203, 1005–1010. [Google Scholar] [CrossRef] [PubMed]
- Yasuda, M.; Ishii, Y.; Ohta, K. Napier grass (Pennisetum purpureum Schumach) as raw material for bioethanol production: Pretreatment, saccharification, and fermentation. Biotechnol. Bioprocess Eng. 2015, 19, 943–950. [Google Scholar] [CrossRef]
- Tsai, M.-H.; Lee, W.-C.; Kuan, W.-C.; Sirisansaneeyakul, S.; Savarajara, A. Evaluation of different pretreatments of Napier grass for enzymatic saccharification and ethanol production. Energy Sci. Eng. 2018, 6, 683–692. [Google Scholar] [CrossRef]
- Janejadkarn, A.; Chavalparit, O. Biogas Production from Napier Grass (Pak Chong 1) (Pennisetum purpureum × Pennisetum americanum). Adv. Mater. Res. 2014, 856, 327–332. [Google Scholar] [CrossRef]
- Sawasdee, V.; Pisutpaisal, N. Feasibility of Biogas Production from Napier Grass. Energy Procedia 2014, 61, 1229–1233. [Google Scholar] [CrossRef]
- Schoemaker, H.E.; Piontek, K. On the interaction of lignin peroxidase with lignin. Pure Appl. Chem. 1996, 68, 2089–2096. [Google Scholar] [CrossRef]
- Buranov, A.U.; Mazza, G. Lignin in straw of herbaceous crops. Ind. Crops Prod. 2008, 28, 237–259. [Google Scholar] [CrossRef]
- Kumar, A.K.; Sharma, S. Recent updates on different methods of pretreatment of lignocellulosic feedstocks: A review. Bioresour. Bioprocess. 2017, 4, 7. [Google Scholar] [CrossRef] [PubMed]
- Baruah, J.; Nath, B.K.; Sharma, R.; Kumar, S.; Deka, R.C.; Baruah, D.C.; Kalita, E. Recent Trends in the Pretreatment of Lignocellulosic Biomass for Value-Added Products. Front. Energy Res. 2018, 6, 141. [Google Scholar] [CrossRef]
- Botella, C.; Zhang, K.; Baugh, A.; Liang, Y.; Sivakumar, S.V. Reversible acid pretreatment scale up studies for the production of cellulosic ethanol from ensiled sweet sorghum. Biochem. Eng. J. 2019, 150, 107266. [Google Scholar] [CrossRef]
- ASTM D1105-21; Standard Test Method for Preparation of Extractive-Free Wood. ASTM International: West Conshohocken, PA, USA, 2021.
- ASTM D1107-21; Standard Test Method for Ethanol-Toluene Solubility of Wood. ASTM International: West Conshohocken, PA, USA, 2021.
- ASTM D1106-2; Standard Test Method for Acid-Insoluble Lignin in Wood. ASTM International: West Conshohocken, PA, USA, 2021.
- Decker, S.; Resch, M.; Baker, J. Low Solids Enzymatic Saccharification of Lignocellulosic Biomass; National Renewable Energy Laboratory: Golden CO, USA, 2015.
- Chang, H.-m.; Cowling, E.B.; Brown, W. Comparative Studies on Cellulolytic Enzyme Lignin and Milled Wood Lignin of Sweetgum and Spruce. Holzforsch 1975, 29, 153–159. [Google Scholar] [CrossRef]
- Rencoret, J.; Prinsen, P.; Gutierrez, A.; Martinez, A.T.; Del Rio, J.C. Isolation and structural characterization of the milled wood lignin, dioxane lignin, and cellulolytic lignin preparations from brewer’s spent grain. J. Agric. Food Chem. 2015, 63, 603–613. [Google Scholar] [CrossRef] [PubMed]
- Houghton, T.P.; Stevens, D.M.; Pryfogle, P.A.; Wright, C.T.; Radtke, C.W. The effect of drying temperature on the composition of biomass. Appl. Biochem. Biotechnol. 2009, 153, 4–10. [Google Scholar] [CrossRef] [PubMed]
- Rashid, T.; Kait, C.F.; Murugesan, T. A “Fourier Transformed Infrared” Compound Study of Lignin Recovered from a Formic Acid Process. Procedia Eng. 2016, 148, 1312–1319. [Google Scholar] [CrossRef]
- Lupoi, J.S.; Singh, S.; Parthasarathi, R.; Simmons, B.A.; Henry, R.J. Recent innovations in analytical methods for the qualitative and quantitative assessment of lignin. Renew. Sustain. Energy Rev. 2015, 49, 871–906. [Google Scholar] [CrossRef]
- Tucker, M.P.; Kim, K.H.; Newman, M.M.; Nguyen, Q.A. Effects of temperature and moisture on dilute-acid steam explosion pretreatment of corn stover and cellulase enzyme digestibility. Appl. Biochem. Biotechnol. 2003, 105, 165–177. [Google Scholar] [CrossRef]
- Mardawati, E.; Herliansah, H.; Suryadi, E.; Hanidah, I.I.; Siti Setiasih, I.; Andoyo, R.; Sukarminah, E.; Djali, M.; Rialita, T.; Cahyana, Y. Optimization of Particle Size, Moisture Content and Reaction Time of Oil Palm Empty Fruit Bunch through Ozonolysis Pretreatment. J. Jpn. Inst. Energy 2019, 98, 132–138. [Google Scholar] [CrossRef]
- Brinkmann, K.; Blaschke, L.; Polle, A. Comparison of different methods for lignin determination as a basis for calibration of near-infrared reflectance spectroscopy and implications of lignoproteins. J. Chem. Ecol. 2002, 28, 2483–2501. [Google Scholar] [CrossRef] [PubMed]
- Mohammed, I.; Abakr, Y.; Kazi, F.; Yusup, S.; Alshareef, I.; Chin, S. Comprehensive Characterization of Napier Grass as a Feedstock for Thermochemical Conversion. Energies 2015, 8, 3403–3417. [Google Scholar] [CrossRef]
- Penttilä, P.A.; Várnai, A.; Pere, J.; Tammelin, T.; Salmén, L.; Siika-aho, M.; Viikari, L.; Serimaa, R. Xylan as limiting factor in enzymatic hydrolysis of nanocellulose. Bioresour. Technol. 2013, 129, 135–141. [Google Scholar] [CrossRef]
- Muhamad, N.; Sahadan, W.; Hoon, H. Effect of drying temperatures and extraction solvents on total phenolic, flavonoid contents and antioxidant properties of immature Manis Terengganu Melon (Cucumis melo). J. Agrobiotechnol. 2018, 9, 114–121. [Google Scholar]
- Michelin, M.; Gomes, D.G.; Romaní, A.; Polizeli, M.d.L.T.M.; Teixeira, J.A. Nanocellulose Production: Exploring the Enzymatic Route and Residues of Pulp and Paper Industry. Molecules 2020, 25, 3411. [Google Scholar] [CrossRef] [PubMed]
- Ting, S.S. Comparative Properties Analysis between Microcrystalline Cellulose and Cellulose Nanocrystals Extracted From Rice Straw. Malays. J. Microsc. 2019, 15, 146–154. [Google Scholar]
- Manokhoon, P.; Rangseesuriyachai, T. Effect of two-stage sodium hydroxide pretreatment on the composition and structure of Napier grass (Pakchong 1) (Pennisetum purpureum). Int. J. Green Energy 2020, 17, 864–871. [Google Scholar] [CrossRef]
- Phitsuwan, P.; Sakka, K.; Ratanakhanokchai, K. Structural changes and enzymatic response of Napier grass (Pennisetum purpureum) stem induced by alkaline pretreatment. Bioresour. Technol. 2016, 218, 247–256. [Google Scholar] [CrossRef]
- Phitsuwan, P.; Charupongrat, S.; Klednark, R.; Ratanakhanokchai, K. Structural features and enzymatic digestibility of Napier grass fibre treated with aqueous ammonia. J. Ind. Eng. Chem. 2015, 32, 360–364. [Google Scholar] [CrossRef]
- Song, W.; Peng, L.; Bakhshyar, D.; He, L.; Zhang, J. Mild O2-aided alkaline pretreatment effectively improves fractionated efficiency and enzymatic digestibility of Napier grass stem towards a sustainable biorefinery. Bioresour. Technol. 2021, 319, 124162. [Google Scholar] [CrossRef]













| Sample | Thermal Pretreatment | Physical Pretreatment |
|---|---|---|
| Type • Leaf • Stem | Drying temperature • 45 °C • 75 °C • 105 °C • 135 °C Drying time • 5 h • 15 h • 25 h | Particle size • 250 μm • Ball-milled |
| Incubation Temperature | Incubation Time |
|---|---|
| • 30 °C • 40 °C • 50 °C | • 1 day • 3 days • 5 days |
| ANOVA | Alpha | 0.05 | |||
|---|---|---|---|---|---|
| Source | DF | Sum of Squares | Mean Square | F-Value | Pr > F |
| Model | 47 | 75,479.11 | 1605.938 | 675.03 | <0.0001 |
| Error | 96 | 228.3904 | 2.37907 | ||
| Total | 143 | 75,707.5 |
| Source | DF | Type I SS | Mean Square | F Value | Pr > F |
|---|---|---|---|---|---|
| Type | 1 | 10,758.53 | 10,758.53 | 4522.16 | <0.0001 |
| Time | 2 | 8408.365 | 4204.182 | 1767.16 | <0.0001 |
| Temp | 3 | 14,117.24 | 4705.748 | 1977.98 | <0.0001 |
| Size | 1 | 958.4184 | 958.4184 | 402.85 | <0.0001 |
| Type*Time | 2 | 7571.9 | 3785.95 | 1591.36 | <0.0001 |
| Type*Temp | 3 | 11,730.29 | 3910.095 | 1643.54 | <0.0001 |
| Type*Size | 1 | 854.2955 | 854.2955 | 359.09 | <0.0001 |
| Time*Temp | 6 | 5682.803 | 947.1338 | 398.11 | <0.0001 |
| Time*Size | 2 | 438.0065 | 219.0032 | 92.05 | <0.0001 |
| Temp*Size | 3 | 2648.561 | 882.8538 | 371.09 | <0.0001 |
| Type*Time*Temp | 6 | 5616.94 | 936.1566 | 393.5 | <0.0001 |
| Type*Time*Size | 2 | 268.1544 | 134.0772 | 56.36 | <0.0001 |
| Type*Temp*Size | 3 | 3228.422 | 1076.141 | 452.34 | <0.0001 |
| Time*Temp*Size | 6 | 1875.295 | 312.5491 | 131.37 | <0.0001 |
| Type*Time*Temp*Size | 6 | 1321.887 | 220.3145 | 92.61 | <0.0001 |
| Wavenumber (cm−1) | Assignments | Band Assignment |
|---|---|---|
| 3600–3100 | O-H | Stretching vibration of alcoholic and phenolic OH groups involved in hydrogen bonds |
| 2960–2820 | C-H | -CH2, -CH3 |
| 1770–1685 1680–1650 | C=O | Conjugated p-substituent carbonyl and carboxyl |
| 1600–1500, 1430–1420 | Aromatic skeletal | Aromatic ring vibrations |
| 1515–1511 | C=C | Aromatic skeletal breathing with C-O stretching |
| 1470–1450, 1370–1360 | C-H | C–H deformations methyl and methylene |
| 1427–1423 | C-H | Aromatic skeletal vibrations combined with C–H in-plane deformation |
| 1375–1397 | O-H C-H | Phenolic OH and aliphatic C-H in methyl groups |
| 1170–1150 | C-H | Aromatic C-H in-plane deformation in the guaiacyl ring |
| 1145–1140 | C-H | Aromatic C-H in-plane deformation in the syringyl ring |
| 1035–1025 | C-O, C-H | Aromatic ring and primary alcohol |
| Source | O-H 3323 | C-H 2923 | C-H 2855 | C=O 1730 | Aromatics 1628 | Aromatics 1518 |
|---|---|---|---|---|---|---|
| Type | <0.0001 | 0.6167 | 0.1123 | 0.2045 | 0.1351 | 0.0028 |
| Size | 0.4327 | 0.5907 | 0.9691 | 0.1388 | 0.1830 | 0.0966 |
| Time | <0.0001 | 0.0014 | 0.0142 | 0.5556 | 0.001 | 0.2233 |
| Temp | 0.2076 | 0.1796 | 0.2215 | 0.3114 | 0.7933 | 0.8583 |
| Type*Size | 0.4952 | 0.1576 | 0.3258 | 0.3725 | 0.2543 | 0.816 |
| Type*Time | <0.0001 | 0.2055 | 0.9864 | 0.4693 | 0.002 | 0.2516 |
| Type*Temp | 0.0682 | 0.1164 | 0.1051 | 0.0898 | 0.1776 | 0.4277 |
| Size*Time | 0.8083 | 0.0791 | 0.0723 | 0.3141 | 0.3674 | 0.2864 |
| Size*Temp | 0.5814 | 0.3147 | 0.3846 | 0.7167 | 0.4108 | 0.3785 |
| Time*Temp | 0.1882 | 0.0378 | 0.0680 | 0.1713 | 0.3216 | 0.4365 |
| Type*Size*Time | 0.8950 | 0.3432 | 0.3269 | 0.5186 | 0.2168 | 0.2085 |
| Type*Size*Temp | 0.4862 | 0.2653 | 0.3086 | 0.3193 | 0.341 | 0.6868 |
| Type*Time*Temp | 0.1151 | 0.0268 | 0.0392 | 0.1582 | 0.2182 | 0.4483 |
| Size*Time*Temp | 0.1882 | 0.0275 | 0.0486 | 0.1402 | 0.0709 | 0.1140 |
| Source | C-H 1485 | Phenolic 1315 | G-Ring 1244 | Aromatic G-Ring 1157 | Aromatic S-Ring 1142 | C-O 1034 |
|---|---|---|---|---|---|---|
| Type | 0.0007 | 0.4052 | 0.1179 | 0.4774 | 0.2684 | 0.2514 |
| Size | 0.0866 | 0.3663 | 0.0807 | 0.8448 | 0.8170 | 0.6590 |
| Time | 0.6398 | 0.9845 | 0.9770 | 0.3051 | 0.5018 | 0.1559 |
| Temp | 0.8719 | 0.8548 | 0.4087 | 0.6521 | 0.4464 | 0.3790 |
| Type*Size | 0.2950 | 0.8364 | 0.4806 | 0.6376 | 0.3361 | 0.5732 |
| Type*Time | 0.5154 | 0.8491 | 0.8255 | 0.3666 | 0.6479 | 0.3530 |
| Type*Temp | 0.5402 | 0.1898 | 0.1133 | 0.1619 | 0.1444 | 0.0994 |
| Size*Time | 0.1268 | 0.6180 | 0.5144 | 0.5403 | 0.3775 | 0.5616 |
| Size*Temp | 0.4583 | 0.6259 | 0.7821 | 0.8479 | 0.8115 | 0.6584 |
| Time*Temp | 0.5468 | 0.7195 | 0.2461 | 0.4519 | 0.1508 | 0.4285 |
| Type*Size*Time | 0.2789 | 0.4263 | 0.5465 | 0.7546 | 0.7144 | 0.6649 |
| Type*Size*Temp | 0.5929 | 0.5914 | 0.3127 | 0.4369 | 0.3259 | 0.4431 |
| Type*Time*Temp | 0.5134 | 0.7660 | 0.3202 | 0.6511 | 0.2778 | 0.5776 |
| Size*Time*Temp | 0.1943 | 0.2606 | 0.2301 | 0.4669 | 0.3054 | 0.3291 |
| Acid-Insoluble Lignin | Acid-Soluble Lignin | |||||||||
|---|---|---|---|---|---|---|---|---|---|---|
| Source | DF | Type I SS | Mean Square | F Value | Pr > F | DF | Type I SS | Mean Square | F Value | Pr > F |
| Type | 1 | 32.847 | 32.847 | 8.760 | 0.025 | 1 | 0.351 | 0.351 | 12.550 | 0.012 |
| Time | 3 | 320.572 | 106.857 | 28.510 | 0.001 | 3 | 0.185 | 0.062 | 2.200 | 0.188 |
| Temp | 2 | 62.566 | 31.283 | 8.350 | 0.019 | 2 | 0.036 | 0.018 | 0.650 | 0.557 |
| Size | 1 | 16.253 | 16.253 | 4.340 | 0.083 | 1 | 0.000 | 0.000 | 0.000 | 0.988 |
| Type*Time | 3 | 116.797 | 38.932 | 10.390 | 0.009 | 3 | 0.331 | 0.110 | 3.930 | 0.072 |
| Type*Temp | 2 | 27.170 | 13.585 | 3.620 | 0.093 | 2 | 0.012 | 0.006 | 0.210 | 0.819 |
| Type*Size | 1 | 53.075 | 53.075 | 14.160 | 0.009 | 1 | 0.022 | 0.022 | 0.770 | 0.414 |
| Time*Temp | 6 | 82.059 | 13.677 | 3.650 | 0.070 | 6 | 0.190 | 0.032 | 1.130 | 0.442 |
| Time*Size | 3 | 18.129 | 6.043 | 1.610 | 0.283 | 3 | 0.025 | 0.008 | 0.300 | 0.825 |
| Temp*Size | 2 | 11.966 | 5.983 | 1.600 | 0.278 | 2 | 0.026 | 0.013 | 0.460 | 0.654 |
| Type*Time*Temp | 6 | 28.075 | 4.679 | 1.250 | 0.397 | 6 | 0.151 | 0.025 | 0.900 | 0.550 |
| Type*Time*Size | 3 | 9.742 | 3.247 | 0.870 | 0.508 | 3 | 0.061 | 0.020 | 0.730 | 0.572 |
| Type*Temp*Size | 2 | 21.853 | 10.927 | 2.920 | 0.131 | 2 | 0.002 | 0.001 | 0.040 | 0.958 |
| Time*Temp*Size | 6 | 33.178 | 5.530 | 1.480 | 0.324 | 6 | 0.244 | 0.041 | 1.450 | 0.331 |
| ANOVA | Alpha | 0.05 | |||
|---|---|---|---|---|---|
| Source | DF | Sum of Squares | Mean Square | F-Value | Pr > F |
| Model | 139 | 7603.004 | 54.698 | 2.58 | 0.183 |
| Error | 4 | 84.931 | 21.233 | ||
| Total | 143 | 7687.935 |
| Source | Pr > F | Source | Pr > F | Source | Pr > F |
|---|---|---|---|---|---|
| Type | 0.0026 | Type*Pretreatment Temperature*Pretreatment Time | 0.0199 | Type*Pretreatment Temperature*Pretreatment Time*Incubation Temperature | 0.3135 |
| Pretreatment Temperature | 0.0068 | Type*Pretreatment Temperature*Size | 0.0084 | Type*Pretreatment Temperature*Pretreatment Time*Incubation Day | 0.9583 |
| Pretreatment Time | 0.0039 | Type*Pretreatment Temperature*Incubation Temperature | 0.4052 | Type*Pretreatment Temperature*Size*Incubation Temperature | 0.2545 |
| Size | 0.1086 | Type*Pretreatment Temperature*Incubation Day | 0.5976 | Type*Pretreatment Temperature*Size*Incubation Day | 0.8537 |
| Incubation Temperature | 0.2495 | Type*Pretreatment Time*Size | 0.1639 | Type*Pretreatment Temperature*Incubation Temperature*Incubation Day | 0.6087 |
| Incubation Day | 0.3419 | Type*Pretreatment Time*Incubation Temperature | 0.2597 | Type*Pretreatment Time*Size*Incubation Temperature | 0.7927 |
| Type*Pretreatment Temperature | 0.0175 | Type*Pretreatment Time*Incubation Day | 0.4462 | Type*Pretreatment Time*Size*Incubation Day | 0.9339 |
| Type*Pretreatment Time | 0.0043 | Type*Size*Incubation Temperature | 0.4247 | Type*Pretreatment Time*Incubation Temperature*Incubation Day | 0.5310 |
| Type*Size | 0.014 | Type*Size*Incubation Day | 0.9383 | Type*Size*Incubation Temperature*Incubation Day | 0.8234 |
| Type*Incubation Temperature | 0.266 | Type*Incubation Temperature*Incubation Day | 0.8406 | Pretreatment Temperature*Pretreatment Time*Size*Incubation Temperature | 0.2566 |
| Type*Incubation Day | 0.552 | Pretreatment Temperature*Pretreatment Time*Size | 0.0209 | Pretreatment Temperature*Pretreatment Time*Size*Incubation Day | 0.9723 |
| Pretreatment Temperature*Pretreatment Time | 0.0147 | Pretreatment Temperature*Pretreatment Time*Incubation Temperature | 0.7661 | Pretreatment Temperature*Pretreatment Time*Incubation Temperature*Incubation Day | 0.7745 |
| Pretreatment Temperature*Size | 0.4488 | Pretreatment Temperature*Pretreatment Time*Incubation Day | 0.9394 | Pretreatment Temperature*Size*Incubation Temperature*Incubation Day | 0.9792 |
| Pretreatment Temperature*Incubation Temperature | 0.4221 | Pretreatment Temperature*Size*Incubation Temperature | 0.2330 | Pretreatment Time*Size*Incubation Temperature*Incubation Day | 0.8115 |
| Pretreatment Temperature*Incubation Day | 0.5145 | Pretreatment Temperature*Size*Incubation Day | 0.5347 | Type *Pretreatment Temperature*Pretreatment Time*Size*Incubation Temperature | 0.5699 |
| Pretreatment Time*Size | 0.0343 | Pretreatment Temperature*Incubation Temperature*Incubation Day | 0.8158 | Type*Pretreatment Temperature*Pretreatment Time*Size*Incubation Day | 0.3964 |
| Pretreatment Time*Incubation Temperature | 0.6025 | Pretreatment Time*Size*Incubation Temperature | 0.1792 | Type*Pretreatment Temperature*Pretreatment Time*Incubation Temperature*Incubation Day | 0.7400 |
| Pretreatment Time*Incubation Day | 0.5302 | Pretreatment Time*Size*Incubation Day | 0.2509 | Type*Pretreatment Temperature*Size*Incubation Temperature*Incubation Day | 0.9281 |
| Size*Incubation Temperature | 0.393 | Pretreatment Time*Incubation Temperature*Incubation Day | 0.6616 | Type*Pretreatment Time*Size*Incubation Temperature*Incubation Day | 0.5420 |
| Size*Incubation Day | 0.7657 | Size*Incubation Temperature*Incubation Day | 0.5843 | Pretreatment Temperature*Pretreatment Time*Size*Incubation Temperature*Incubation Day | 0.5709 |
| Incubation Temperature*Incubation Day | 0.6866 | Type*Pretreatment Temperature*Pretreatment Time*Size | 0.2655 |
| Factors | 205 nm | 280 nm | Factors | 205 nm | 280 nm |
|---|---|---|---|---|---|
| Type | <0.0001 | <0.0001 | Pretreatment Temperature*Pretreatment Time*Size | 0.0005 | 0.0012 |
| Pretreatment Temperature | <0.0001 | <0.0001 | Pretreatment Temperature*Pretreatment Time*Incubation Temperature | 0.0054 | 0.0119 |
| Pretreatment Time | <0.0001 | <0.0001 | Pretreatment Temperature*Pretreatment Time*Incubation Day | 0.0241 | 0.0032 |
| Size | <0.0001 | <0.0001 | Pretreatment Temperature*Size*Incubation Temperature | 0.003 | 0.004 |
| Incubation Temperature | <0.0001 | <0.0001 | Pretreatment Temperature*Size*Incubation Day | 0.2397 | 0.406 |
| Incubation Day | 0.0118 | <0.0001 | Pretreatment Temperature*Incubation Temperature*Incubation Day | 0.0077 | 0.0094 |
| Type*Pretreatment Temperature | <0.0001 | <0.0001 | Pretreatment Time*Size*Incubation Temperature | 0.0254 | 0.0184 |
| Type*Pretreatment Time | <0.0001 | 0.0001 | Pretreatment Time*Size*Incubation Day | 0.0661 | 0.0367 |
| Type*Size | 0.0059 | 0.0015 | Pretreatment Time*Incubation Temperature*Incubation Day | 0.0776 | 0.2712 |
| Type*Incubation Temperature | 0.0318 | 0.0426 | Size*Incubation Temperature*Incubation Day | 0.0235 | 0.0017 |
| Type*Incubation Day | 0.0291 | 0.0546 | Type*Pretreatment Temperature*Pretreatment Time*Size | 0.1019 | 0.0562 |
| Pretreatment Temperature*Pretreatment Time | 0.0009 | 0.0018 | Type*Pretreatment Temperature*Pretreatment Time*Incubation Temperature | 0.3378 | 0.1633 |
| Pretreatment Temperature*Size | 0.585 | 0.4558 | Type*Pretreatment Temperature*Pretreatment Time*Incubation Day | 0.0183 | 0.0057 |
| Pretreatment Temperature*Incubation Temperature | 0.008 | 0.0389 | Type*Pretreatment Temperature*Size*Incubation Temperature | 0.0457 | 0.0961 |
| Pretreatment Temperature*Incubation Day | 0.1851 | 0.0119 | Type*Pretreatment Temperature*Size*Incubation Day | 0.578 | 0.1493 |
| Pretreatment Time*Size | 0.0128 | 0.1254 | Type*Pretreatment Temperature*Incubation Temperature*Incubation Day | 0.0122 | 0.0172 |
| Pretreatment Time*Incubation Temperature | 0.0109 | 0.0234 | Type*Pretreatment Time*Size*Incubation Temperature | 0.0351 | 0.018 |
| Pretreatment Time*Incubation Day | 0.0299 | 0.013 | Type*Pretreatment Time*Size*Incubation Day | 0.0649 | 0.0233 |
| Size*Incubation Temperature | 0.003 | 0.001 | Type*Pretreatment Time*Incubation Temperature*Incubation Day | 0.0137 | 0.0223 |
| Size*Incubation Day | 0.0029 | 0.0002 | Type*Size*Incubation Temperature*Incubation Day | 0.0023 | 0.002 |
| Incubation Temperature*Incubation Day | 0.0014 | 0.0002 | Pretreatment Temperature*Pretreatment Time*Size*Incubation Temperature | 0.0505 | 0.038 |
| Type*Pretreatment Temperature*Pretreatment Time | 0.1902 | 0.1306 | Pretreatment Temperature*Pretreatment Time*Size*Incubation Day | 0.2941 | 0.0353 |
| Type*Pretreatment Temperature*Size | 0.009 | 0.0153 | Pretreatment Temperature*Pretreatment Time*Incubation Temperature*Incubation Day | 0.0752 | 0.0261 |
| Type*Pretreatment Temperature*Incubation Temperature | 0.0514 | 0.0208 | Pretreatment Temperature*Size*Incubation Temperature*Incubation Day | 0.0206 | 0.0828 |
| Type*Pretreatment Temperature*Incubation Day | 0.0311 | 0.0041 | Pretreatment Time*Size*Incubation Temperature*Incubation Day | 0.0197 | 0.0672 |
| Type*Pretreatment Time*Size | 0.0005 | 0.0023 | Type*Pretreatment Temperature*Pretreatment Time*Size*Incubation Temperature | 0.0358 | 0.0205 |
| Type*Pretreatment Time*Incubation Temperature | 0.0103 | 0.024 | Type*Pretreatment Temperature*Pretreatment Time*Size*Incubation Day | 0.016 | 0.0032 |
| Type*Pretreatment Time*Incubation Day | 0.1095 | 0.0284 | Type*Pretreatment Temperature*Pretreatment Time*Incubation Temperature*Incubation Day | 0.0349 | 0.0693 |
| Type*Size*Incubation Temperature | 0.0183 | 0.0062 | Type*Pretreatment Temperature*Size*Incubation Temperature*Incubation Day | 0.0178 | 0.0176 |
| Type*Size*Incubation Day | 0.1845 | 0.0065 | Type*Pretreatment Time*Size*Incubation Temperature*Incubation Day | 0.3709 | 0.4726 |
| Type*Incubation Temperature*Incubation Day | 0.0037 | 0.0045 | Pretreatment Temperature*Pretreatment Time*Size*Incubation Temperature*Incubation Day | 0.8026 | 0.1518 |
| Factor | 3600–3100 | 2960–2820 | 2860–2840 | 1720 | 1670 | 1510 | 1490 | 1330 | 1270 | 1140 | 1125 | 1030 |
|---|---|---|---|---|---|---|---|---|---|---|---|---|
| Type | 0.0149 | 0.0061 | 0.0068 | 0.0104 | 0.0014 | 0.0050 | 0.0060 | 0.0068 | 0.0159 | 0.0103 | 0.0073 | 0.0073 |
| Pretreatment Temperature | 0.3148 | 0.3647 | 0.3967 | 0.5300 | 0.2863 | 0.3101 | 0.4058 | 0.3328 | 0.3267 | 0.3092 | 0.3149 | 0.3149 |
| Pretreatment Time | 0.3499 | 0.9165 | 0.8464 | 0.8614 | 0.6569 | 0.9195 | 0.6818 | 0.6488 | 0.5888 | 0.3735 | 0.4603 | 0.4603 |
| Size | 0.0164 | 0.0169 | 0.0203 | 0.0081 | 0.0104 | 0.0129 | 0.0201 | 0.0130 | 0.0108 | 0.0141 | 0.0142 | 0.0142 |
| Incubation Temperature | 0.2093 | 0.2258 | 0.2370 | 0.1658 | 0.1179 | 0.1524 | 0.2162 | 0.2197 | 0.2425 | 0.2769 | 0.2672 | 0.2672 |
| Incubation Day | 0.0958 | 0.0617 | 0.0670 | 0.0576 | 0.0462 | 0.0566 | 0.0720 | 0.0666 | 0.0822 | 0.0963 | 0.0862 | 0.0862 |
| Type*Pretreatment Temperature | 0.3134 | 0.1327 | 0.1172 | 0.0752 | 0.1223 | 0.1042 | 0.0949 | 0.1770 | 0.1759 | 0.3243 | 0.2755 | 0.2755 |
| Type*Pretreatment Time | 0.0674 | 0.0594 | 0.0648 | 0.0309 | 0.0256 | 0.0385 | 0.0507 | 0.0502 | 0.0496 | 0.0634 | 0.0555 | 0.0555 |
| Type*Size | 0.2402 | 0.0801 | 0.0707 | 0.0401 | 0.0347 | 0.0560 | 0.0517 | 0.1002 | 0.1321 | 0.2239 | 0.1614 | 0.1614 |
| Type*Incubation Temperature | 0.3131 | 0.1588 | 0.1518 | 0.1455 | 0.1793 | 0.1559 | 0.1508 | 0.1745 | 0.1837 | 0.2432 | 0.2121 | 0.2121 |
| Type*Incubation Day | 0.0448 | 0.0287 | 0.0304 | 0.0248 | 0.0186 | 0.0245 | 0.0294 | 0.0293 | 0.0355 | 0.0424 | 0.0381 | 0.0381 |
| Pretreatment Temperature*Pretreatment Time | 0.3632 | 0.1509 | 0.1269 | 0.1279 | 0.1137 | 0.1139 | 0.1019 | 0.1982 | 0.2306 | 0.3140 | 0.2615 | 0.2615 |
| Pretreatment Temperature*Size | 0.7040 | 0.3898 | 0.3275 | 0.2888 | 0.3823 | 0.3006 | 0.2624 | 0.5150 | 0.5801 | 0.7830 | 0.7174 | 0.7174 |
| Pretreatment Temperature*Incubation Temperature | 0.6288 | 0.4359 | 0.4276 | 0.3925 | 0.3374 | 0.3998 | 0.4125 | 0.4399 | 0.5098 | 0.5474 | 0.5217 | 0.5217 |
| Pretreatment Temperature*Incubation Day | 0.7882 | 0.5684 | 0.5376 | 0.5795 | 0.6252 | 0.5745 | 0.5105 | 0.6161 | 0.6776 | 0.7045 | 0.6776 | 0.6776 |
| Pretreatment Time*Size | 0.0779 | 0.0975 | 0.1315 | 0.0858 | 0.0430 | 0.0739 | 0.1140 | 0.0757 | 0.0798 | 0.0680 | 0.0694 | 0.0694 |
| Pretreatment Time*Incubation Temperature | 0.4411 | 0.5064 | 0.5368 | 0.5409 | 0.4226 | 0.5380 | 0.6242 | 0.4904 | 0.4915 | 0.4569 | 0.4704 | 0.4704 |
| Pretreatment Time*Incubation Day | 0.2547 | 0.1866 | 0.2011 | 0.1305 | 0.1455 | 0.1542 | 0.1931 | 0.1741 | 0.1705 | 0.2061 | 0.1953 | 0.1953 |
| Size*Incubation Temperature | 0.1391 | 0.0956 | 0.1058 | 0.0684 | 0.0671 | 0.0776 | 0.0975 | 0.0952 | 0.1008 | 0.1449 | 0.1283 | 0.1283 |
| Size*Incubation Day | 0.3959 | 0.2001 | 0.1909 | 0.1814 | 0.1880 | 0.1766 | 0.1776 | 0.2383 | 0.2662 | 0.3353 | 0.2926 | 0.2926 |
| Incubation Temperature*Incubation Day | 0.1247 | 0.0885 | 0.0931 | 0.0755 | 0.0619 | 0.0757 | 0.0888 | 0.0853 | 0.0958 | 0.1073 | 0.0954 | 0.0954 |
| Type*Pretreatment Temperature*Pretreatment Time | 0.7798 | 0.7982 | 0.8453 | 0.9269 | 0.7199 | 0.8160 | 0.9868 | 0.6935 | 0.7314 | 0.6118 | 0.6874 | 0.6874 |
| Type*Pretreatment Temperature*Size | 0.5101 | 0.5020 | 0.5412 | 0.4435 | 0.5121 | 0.5039 | 0.5588 | 0.4885 | 0.5194 | 0.4916 | 0.5226 | 0.5226 |
| Type*Pretreatment Temperature*Incubation Temperature | 0.5891 | 0.5675 | 0.5568 | 0.4613 | 0.3656 | 0.4870 | 0.4140 | 0.5713 | 0.6367 | 0.6728 | 0.6316 | 0.6316 |
| Type*Pretreatment Temperature*Incubation Day | 0.9441 | 0.7779 | 0.7469 | 0.6570 | 0.7195 | 0.6531 | 0.7011 | 0.8108 | 0.7930 | 0.8918 | 0.8733 | 0.8733 |
| Type*Pretreatment Time*Size | 0.6590 | 0.3323 | 0.2636 | 0.2415 | 0.5562 | 0.2968 | 0.2175 | 0.3986 | 0.4043 | 0.6322 | 0.5707 | 0.5707 |
| Type*Pretreatment Time*Incubation Temperature | 0.2765 | 0.1883 | 0.1848 | 0.1526 | 0.1472 | 0.1533 | 0.1736 | 0.1944 | 0.2012 | 0.2438 | 0.2267 | 0.2267 |
| Type*Pretreatment Time*Incubation Day | 0.3320 | 0.2020 | 0.2021 | 0.1860 | 0.2090 | 0.2000 | 0.2112 | 0.2164 | 0.2228 | 0.2731 | 0.2512 | 0.2512 |
| Type*Size*Incubation Temperature | 0.7287 | 0.2545 | 0.2116 | 0.1679 | 0.2307 | 0.1846 | 0.1500 | 0.3383 | 0.4046 | 0.6613 | 0.5099 | 0.5099 |
| Type*Size*Incubation Day | 0.4087 | 0.2862 | 0.2824 | 0.2485 | 0.2371 | 0.2556 | 0.2587 | 0.3074 | 0.3297 | 0.3806 | 0.3510 | 0.3510 |
| Type*Incubation Temperature*Incubation Day | 0.4449 | 0.4082 | 0.4286 | 0.4108 | 0.2644 | 0.3524 | 0.4342 | 0.3935 | 0.4169 | 0.4464 | 0.4252 | 0.4252 |
| Pretreatment Temperature*Pretreatment Time*Size | 0.2590 | 0.1225 | 0.1155 | 0.0932 | 0.2163 | 0.1297 | 0.1076 | 0.1461 | 0.1254 | 0.2208 | 0.1819 | 0.1819 |
| Pretreatment Temperature*Pretreatment Time*Incubation Temperature | 0.1337 | 0.1393 | 0.1547 | 0.1352 | 0.1083 | 0.1418 | 0.1657 | 0.1332 | 0.1416 | 0.1372 | 0.1345 | 0.1345 |
| Pretreatment Temperature*Pretreatment Time*Incubation Day | 0.7608 | 0.6672 | 0.6672 | 0.5691 | 0.6209 | 0.5972 | 0.6062 | 0.6946 | 0.6836 | 0.7862 | 0.7457 | 0.7457 |
| Pretreatment Temperature*Size*Incubation Temperature | 0.3439 | 0.1629 | 0.1527 | 0.1358 | 0.1480 | 0.1309 | 0.1296 | 0.1904 | 0.2310 | 0.2905 | 0.2480 | 0.2480 |
| Pretreatment Temperature*Size*Incubation Day | 0.5921 | 0.5322 | 0.5805 | 0.5831 | 0.5441 | 0.5821 | 0.6229 | 0.5243 | 0.5458 | 0.5219 | 0.5224 | 0.5224 |
| Pretreatment Temperature*Incubation Temperature*Incubation Day | 0.2043 | 0.1306 | 0.1393 | 0.1037 | 0.1196 | 0.1177 | 0.1403 | 0.1346 | 0.1389 | 0.1763 | 0.1634 | 0.1634 |
| Pretreatment Time*Size*Incubation Temperature | 0.3410 | 0.2253 | 0.2083 | 0.1768 | 0.2158 | 0.1976 | 0.1895 | 0.2412 | 0.2626 | 0.3459 | 0.3008 | 0.3008 |
| Pretreatment Time*Size*Incubation Day | 0.4295 | 0.1718 | 0.1495 | 0.1283 | 0.1398 | 0.1274 | 0.1252 | 0.2106 | 0.2383 | 0.3577 | 0.2948 | 0.2948 |
| Pretreatment Time*Incubation Temperature*Incubation Day | 0.4761 | 0.3539 | 0.3611 | 0.2930 | 0.2855 | 0.3073 | 0.3505 | 0.3863 | 0.4162 | 0.5004 | 0.4688 | 0.4688 |
| Size*Incubation Temperature*Incubation Day | 0.6888 | 0.7602 | 0.7888 | 0.7867 | 0.6536 | 0.7530 | 0.7674 | 0.7628 | 0.7924 | 0.7536 | 0.7516 | 0.7516 |
| Type*Pretreatment Temperature*Pretreatment Time*Size | 0.0472 | 0.0505 | 0.0594 | 0.0414 | 0.0304 | 0.0399 | 0.0668 | 0.0507 | 0.0581 | 0.0583 | 0.0616 | 0.0616 |
| Type*Pretreatment Temperature*Pretreatment Time*Incubation Temperature | 0.7992 | 0.6296 | 0.5763 | 0.6068 | 0.6550 | 0.6235 | 0.5131 | 0.7188 | 0.7930 | 0.8737 | 0.8299 | 0.8299 |
| Type*Pretreatment Temperature*Pretreatment Time*Incubation Day | 0.8352 | 0.7252 | 0.6731 | 0.6132 | 0.7497 | 0.6397 | 0.6187 | 0.7365 | 0.7180 | 0.8291 | 0.7976 | 0.7976 |
| Type*Pretreatment Temperature*Size*Incubation Temperature | 0.4940 | 0.3678 | 0.3863 | 0.3452 | 0.3420 | 0.3473 | 0.4063 | 0.3581 | 0.3604 | 0.4311 | 0.4076 | 0.4076 |
| Type*Pretreatment Temperature*Size*Incubation Day | 0.5379 | 0.5154 | 0.5600 | 0.4484 | 0.5164 | 0.5152 | 0.6201 | 0.4991 | 0.4947 | 0.5041 | 0.5286 | 0.5286 |
| Type*Pretreatment Temperature*Incubation Temperature*Incubation Day | 0.2936 | 0.2801 | 0.2985 | 0.2269 | 0.2644 | 0.2607 | 0.3012 | 0.2749 | 0.2733 | 0.3071 | 0.3034 | 0.3034 |
| Type*Pretreatment Time*Size*Incubation Temperature | 0.7681 | 0.8461 | 0.8103 | 0.7199 | 0.7454 | 0.7357 | 0.7482 | 0.8756 | 0.9080 | 0.8715 | 0.8959 | 0.8959 |
| Type*Pretreatment Time*Size*Incubation Day | 0.2386 | 0.1419 | 0.1457 | 0.1208 | 0.1336 | 0.1263 | 0.1455 | 0.1422 | 0.1571 | 0.1835 | 0.1738 | 0.1738 |
| Type*Pretreatment Time*Incubation Temperature*Incubation Day | 0.9611 | 0.8023 | 0.7656 | 0.7042 | 0.7416 | 0.7105 | 0.6797 | 0.8285 | 0.8539 | 0.9362 | 0.8973 | 0.8973 |
| Type*Size*Incubation Temperature*Incubation Day | 0.5135 | 0.2975 | 0.3011 | 0.2390 | 0.2595 | 0.2644 | 0.2743 | 0.3185 | 0.3473 | 0.4278 | 0.3844 | 0.3844 |
| Pretreatment Temperature*Pretreatment Time*Size*Incubation Temperature | 0.6578 | 0.8091 | 0.8689 | 0.8346 | 0.8268 | 0.8946 | 0.9130 | 0.7462 | 0.6808 | 0.6363 | 0.6765 | 0.6765 |
| Pretreatment Temperature*Pretreatment Time*Size*Incubation Day | 0.9728 | 0.8484 | 0.8316 | 0.8280 | 0.8802 | 0.8666 | 0.8176 | 0.9083 | 0.9289 | 0.9528 | 0.9218 | 0.9218 |
| Pretreatment Temperature*Pretreatment Time*Incubation Temperature*Incubation Day | 0.2361 | 0.1348 | 0.1367 | 0.1047 | 0.1096 | 0.1114 | 0.1288 | 0.1292 | 0.1355 | 0.1694 | 0.1558 | 0.1558 |
| Pretreatment Temperature*Size*Incubation Temperature*Incubation Day | 0.6415 | 0.3512 | 0.3321 | 0.2964 | 0.3098 | 0.2959 | 0.2977 | 0.3928 | 0.4350 | 0.5786 | 0.5108 | 0.5108 |
| Pretreatment Time*Size*Incubation Temperature*Incubation Day | 0.6547 | 0.6076 | 0.6409 | 0.5564 | 0.5275 | 0.5725 | 0.6431 | 0.5922 | 0.6066 | 0.6390 | 0.6352 | 0.6352 |
| Type*Pretreatment Temperature*Pretreatment Time*Size*Incubation Temperature | 0.8285 | 0.8642 | 0.8943 | 0.7894 | 0.6337 | 0.7647 | 0.8315 | 0.8701 | 0.8982 | 0.8964 | 0.9016 | 0.9016 |
| Type*Pretreatment Temperature*Pretreatment Time*Size*Incubation Day | 0.6309 | 0.4455 | 0.4491 | 0.3646 | 0.4826 | 0.4089 | 0.4296 | 0.4408 | 0.4193 | 0.4989 | 0.4799 | 0.4799 |
| Type*Pretreatment Temperature*Pretreatment Time*Incubation Temperature*Incubation Day | 0.4897 | 0.4257 | 0.4426 | 0.3800 | 0.3826 | 0.3904 | 0.4677 | 0.3953 | 0.3760 | 0.4089 | 0.4138 | 0.4138 |
| Type*Pretreatment Temperature*Size*Incubation Temperature*Incubation Day | 0.6127 | 0.3346 | 0.3324 | 0.3002 | 0.3201 | 0.2974 | 0.3028 | 0.3700 | 0.4123 | 0.4989 | 0.4491 | 0.4491 |
| Type*Pretreatment Time*Size*Incubation Temperature*Incubation Day | 0.8582 | 0.7399 | 0.7522 | 0.6423 | 0.7510 | 0.7169 | 0.7383 | 0.7135 | 0.7213 | 0.7494 | 0.7523 | 0.7523 |
| Pretreatment Temperature*Pretreatment Time*Size*Incubation Temperature*Incubation Day | 0.7106 | 0.4441 | 0.4048 | 0.3571 | 0.4479 | 0.3932 | 0.3515 | 0.4392 | 0.4553 | 0.5412 | 0.4977 | 0.4977 |
| Reference | Lignin Content |
|---|---|
| Manokhoon and Rangseesuriyachai [34] | Untreated: 16.7% NaOH treated: 6.9–8.1% |
| Mohammed et al. [29] | Napier stem: 26.99 ± 1.29% Napier leaf: 30.09 ± 1.30% |
| Phitsuwan et al. [35] | Untreated: 29.8% NaOH treated: 9.1% CaOH2 treated: 20.1% NH3 treated: 12.0% aH2O2 treated: 15.4% |
| Phitsuwan et al. [36] | 29.8–12.3% |
| Song et al. [37] | 5.7–6.2% |
| This study | Klason lignin: 4.48–38.2% CEL: 52.9–86.9% |
Disclaimer/Publisher’s Note: The statements, opinions and data contained in all publications are solely those of the individual author(s) and contributor(s) and not of MDPI and/or the editor(s). MDPI and/or the editor(s) disclaim responsibility for any injury to people or property resulting from any ideas, methods, instructions or products referred to in the content. |
© 2023 by the authors. Licensee MDPI, Basel, Switzerland. This article is an open access article distributed under the terms and conditions of the Creative Commons Attribution (CC BY) license (https://creativecommons.org/licenses/by/4.0/).
Share and Cite
Saadon, S.Z.A.H.; Osman, N.B. Effect of Drying Pretreatment on Cellulolytic Enzymatic Hydrolysis of Lignin from Napier Grass. Processes 2023, 11, 1092. https://doi.org/10.3390/pr11041092
Saadon SZAH, Osman NB. Effect of Drying Pretreatment on Cellulolytic Enzymatic Hydrolysis of Lignin from Napier Grass. Processes. 2023; 11(4):1092. https://doi.org/10.3390/pr11041092
Chicago/Turabian StyleSaadon, Syazmi Zul Arif Hakimi, and Noridah Binti Osman. 2023. "Effect of Drying Pretreatment on Cellulolytic Enzymatic Hydrolysis of Lignin from Napier Grass" Processes 11, no. 4: 1092. https://doi.org/10.3390/pr11041092
APA StyleSaadon, S. Z. A. H., & Osman, N. B. (2023). Effect of Drying Pretreatment on Cellulolytic Enzymatic Hydrolysis of Lignin from Napier Grass. Processes, 11(4), 1092. https://doi.org/10.3390/pr11041092
