The Influences of Emulsification Variables on Emulsion Characteristics Prepared through the Phase Inversion Temperature Method as Engine Fuel
Abstract
1. Introduction
2. Experimental Details
2.1. Experimental Materials
2.2. Emulsions Prepared by the Phase Inversion Temperature Method
2.2.1. Emulsion Preparation
2.2.2. Measurement of Electrical Conductance
2.3. Analysis of Emulsification Characteristics
2.3.1. Emulsification Stability (ES)
2.3.2. Suspensibility Analysis
3. Results and Discussion
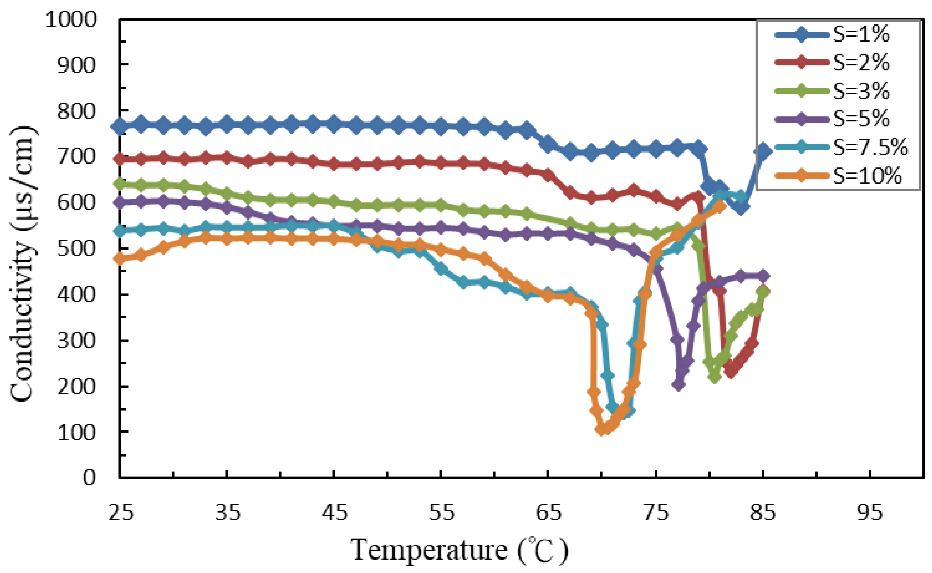
3.1. Effects of Surfactant Span 80/Tween 20 Mixtures on Electrical Conductance
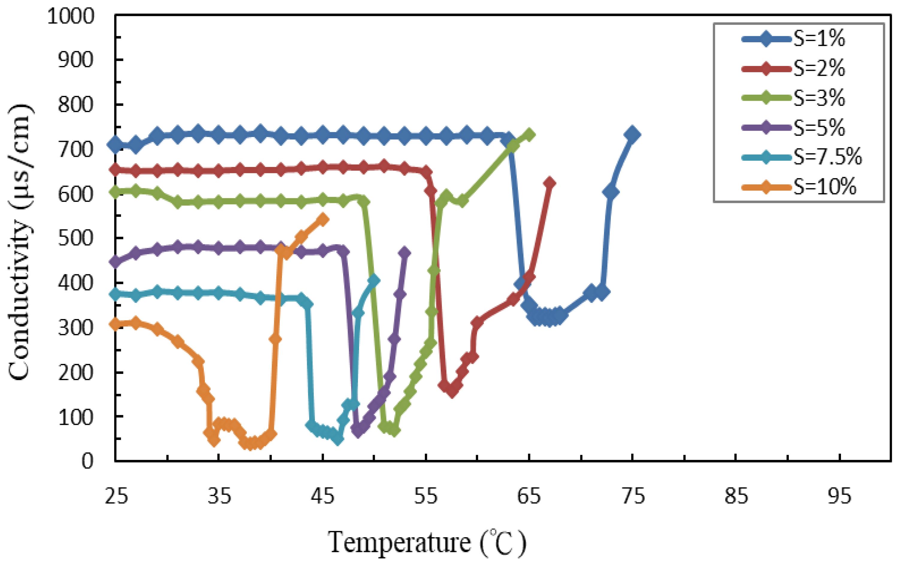
3.2. Effects of Surfactant Brij 30 on Electrical Conductance
3.3. Effects of Surfactant Characteristics on the Suspensibility of the Dispersed Phase
3.4. Effects of Surfactant Type on Emulsification Stability of the Emulsion
4. Conclusions
- (1)
- The weight proportions of the surfactants Span 80 and Tween 20 were adjusted to have their combined hydrophilic-lipophilic balance (HLB) equal to 10. The lowest phase inversion temperature (70 °C) and the most abrupt descent of electrical conductance to 100 μs/cm occurred when a 10 wt.% surfactant mixture of Span 80/Tween 20 was added to the emulsion among the additions of surfactants from 1 wt.% to 10 wt.%. In contrast, lower surfactant concentrations in the emulsions resulted in a higher phase inversion temperature and a correspondingly higher electrical conductance.
- (2)
- Compared with the emulsions prepared with the Span 80/Tween 20 surfactant, the emulsions with the surfactant Brij 30 caused much lower phase inversion temperatures, accompanied by significantly lower electrical conductance. In addition, the phase inversion temperature and electrical conductance decreased considerably with the increase in surfactant Brij 30 concentrations. Wider ranges of phase inversion temperatures for the emulsions prepared with Brij 30 surfactant than Span 80/Tween 20 surfactant were also observed.
- (3)
- The increase in either Span 80/Tween 20 or Brij 30 concentration resulted in a significant decrease in PIT values. In particular, the lowest PIT values of the emulsions prepared with 10 wt.% of either Span 80/Tween 20 or Brij 30 were down to 73 °C or 38 °C, respectively.
- (4)
- The absorbance values of the emulsions prepared with the Span 80/Tween 20 surfactant mixture were higher than those prepared with the surfactant Brij 30. The suspensibility of the emulsion increased with an increase in the surfactant concentration.
- (5)
- The emulsions prepared with Brij 30 were observed to have superior emulsification stability than those with Span 80/Tween 20. The emulsions with 10 wt.% of both Span 80/Tween 20 and Brij 30 appeared to have the highest emulsification stability among the emulsions prepared, with surfactants ranging between 1 wt.% and 10 wt.%.
Author Contributions
Funding
Institutional Review Board Statement
Informed Consent Statement
Data Availability Statement
Acknowledgments
Conflicts of Interest
References
- Gao, H.; Huang, X.; Xie, Y.; Fang, S.; Chen, W.; Zhang, K.; Liu, W. Improving the gastrointestinal activity of probiotics through encapsulation within biphasic gel water-in-oil emulsions. Food Funct. 2022, 13, 11455–11466. [Google Scholar] [CrossRef]
- Chen, X.W.; Hu, Q.H.; Li, X.X.; Ma, C.G. Systematic comparison of structural and lipid oxidation in oil-in-water and water-in-oil biphasic emulgels: Effect of emulsion type, oil-phase composition, and oil fraction. J. Sci. Food Agric. 2022, 102, 4200–4209. [Google Scholar] [CrossRef]
- Lin, C.Y.; Tsa, S.M. Comparison of engine performance between nano and microemulsions of solketal droplets dispersed in diesel assisted by microwave irradiation. Molecules 2019, 24, 3497. [Google Scholar] [CrossRef]
- Anufriev, I.S. Review of water/steam addition in liquid-fuel combustion systems for NOx reduction: Waste-to-energy trends. Renew. Sustain. Energy Rev. 2021, 138, 110665. [Google Scholar] [CrossRef]
- Wang, J.; Zhang, Q.; Wang, X.; Xu, J. Micro-explosion characteristics and mechanism of multi-component fuel droplet with high volatility differential. Fuel 2023, 333, 126370. [Google Scholar] [CrossRef]
- Nyashina, G.S.; Vershinina, K.Y.; Strizhak, P.A. Impact of micro-explosive atomization of fuel droplets on relative performance indicators of their combustion. Fuel Process. Technol. 2020, 201, 106334. [Google Scholar] [CrossRef]
- Vasistha, V.; Bharj, R.S. Hydrous Ethanol–Diesel–Al2O3 nanoemulsified fuel characterization, stability, and corrosion effect. Energy Fuels 2019, 33, 6890–6903. [Google Scholar] [CrossRef]
- Zhi, Z.; Liu, R.; Wang, W.; Dewettinck, K.; Van Bockstaele, F. Recent progress in oil-in-water-in-oil (O/W/O) double emulsions. Crit. Rev. Food Sci. Nutr. 2022, 1–12. [Google Scholar] [CrossRef]
- Lin, C.Y.; Tsai, C.T. Emulsification characteristics of three-phase emulsion of biodiesel-in nitromethane-in-diesel prepared by microwave irradiation. Fuel 2015, 158, 50–56. [Google Scholar] [CrossRef]
- Briceño-Ahumada, Z.; Soltero-Martínez, J.F.A.; Castillo, R. Aqueous foams and emulsions stabilized by mixtures of silica nanoparticles and surfactants: A state-of-the-art review. Chem. Eng. J. Adv. 2021, 7, 100116. [Google Scholar] [CrossRef]
- Pierlot, C.; Menuge, M.; Catté, M.; Devos, O.; Ontiveros, J.F. Visible light backscattering monitored in situ for transitional phase inversion of BrijL4–isopropyl myristate–water emulsions. Ind. Eng. Chem. Res. 2019, 58, 20195–20202. [Google Scholar] [CrossRef]
- Baissac, L.; Buron, C.C.; Hihn, J.Y.; Chantegrel, L. Electrolytic zinc composite coatings: Ultrasound assisted deposition for morphological and composition modification. ECS Trans. 2019, 92, 25. [Google Scholar] [CrossRef]
- Jiang, Z.; Shi, R.; Ma, L.; Munkh-Amgalan, G.; Bilawal, A.; Hou, J.; Tian, B. Microwave irradiation treatment improved the structure, emulsifying properties and cell proliferation of laccase-crosslinked α-lactalbumin. Food Hydrocoll. 2021, 121, 107036. [Google Scholar] [CrossRef]
- Dado, G.P.; Knox, P.W.; Lang, R.M.; Knock, M.M. Non-linear changes in phase inversion temperature for oil and water emulsions of nonionic surfactant mixtures. J. Surfactants Deterg. 2022, 25, 63–78. [Google Scholar] [CrossRef]
- Ismail, I.; Kazemzadeh, Y.; Sharifi, M.; Riazi, M.; Malayeri, M.R.; Cortés, F. Formation and stability of W/O emulsions in presence of asphaltene at reservoir thermodynamic conditions. J. Mol. Liq. 2020, 299, 112125. [Google Scholar] [CrossRef]
- Sun, Y.; Yang, D.; Shi, L.; Wu, H.; Cao, Y.; He, Y.; Xie, T. Properties of nanofluids and their applications in enhanced oil recovery: A comprehensive review. Energy Fuels 2020, 34, 1202–1218. [Google Scholar] [CrossRef]
- Luo, H.; Wen, J.; Jiang, R.; Shao, Q.; Wang, Z. Modeling of the phase inversion point of crude oil emulsion by characterization of crude oil physical properties. ACS Omega 2022, 7, 39136–39146. [Google Scholar] [CrossRef]
- Engls, T.; Forster, T.T.; von Rybinski, W. The influence of coemulsifier type on the stability of oil-in-water emulsions. Colloids Surf. A Physicochem. Eng. Asp. 1995, 99, 141–149. [Google Scholar] [CrossRef]
- El-Din, M.N.; Mishrif, M.R.; Gad, M.S.; Keshawy, M. Performance and exhaust emissions of a diesel engine using diesel nanoemulsions as alternative fuels. Egypt. J. Pet. 2019, 28, 197–204. [Google Scholar] [CrossRef]
- Uson, N.; Garcia, M.J.; Solans, C. Formation of water-in-oil (W/O) nano-emulsions in a water/mixed non-ionic surfactant/oil systems prepared by a low-energy emulsification method. Colloids Surf. A Physicochem. Eng. Asp. 2004, 250, 415–421. [Google Scholar] [CrossRef]
- Jin, C.; Sun, T.; Ampah, J.D.; Liu, X.; Geng, Z.; Afrane, S.; Liu, H. Comparative study on synthetic and biological surfactants’ role in phase behavior and fuel properties of marine heavy fuel oil-low carbon alcohol blends under different temperatures. Renew. Energy 2022, 195, 841–852. [Google Scholar] [CrossRef]
- Jin, C.; Sun, T.; Yin, Z.; Han, W.; Zhang, C.; Geng, Z.; Liu, H. Preparation and properties analysis of ethanol/furan-derivative/diesel alternative microemulsion fuel. Fuel Process. Technol. 2022, 235, 107383. [Google Scholar] [CrossRef]
- Wu, G.; Jin, K.; Liu, L.; Zhang, H. A rapid self-healing hydrogel based on PVA and sodium alginate with conductive and cold-resistant properties. Soft Matter 2020, 16, 3319–3324. [Google Scholar] [CrossRef]
- Aziz, T.; Fan, H.; Khan, F.U.; Haroon, M.; Cheng, L. Modified silicone oil types, mechanical properties and applications. Polym. Bull. 2019, 76, 2129–2145. [Google Scholar] [CrossRef]
- Lin, C.Y.; Tsai, S.M. Emission characteristics of a diesel engine fueled with nanoemulsions of continuous diesel dispersed with solketal droplets. J. Environ. Sci. Health A 2020, 55, 224–229. [Google Scholar] [CrossRef] [PubMed]
- Ashikhmin, A.; Piskunov, M.; Yanovsky, V.; Yan, W.M. Properties and phase behavior of water-in-diesel microemulsion fuels stabilized by nonionic surfactants in combination with aliphatic alcohol. Energy Fuels 2020, 34, 2135–2142. [Google Scholar] [CrossRef]
- Ren, G.; Sun, Z.; Wang, Z.; Zheng, X.; Xu, Z.; Sun, D. Nanoemulsion formation by the phase inversion temperature method using polyoxypropylene surfactants. J. Colloid Interface Sci. 2019, 540, 177–184. [Google Scholar] [CrossRef]
- Pu, W.; He, M.; Yang, X.; Liu, R.; Shen, C. Experimental study on the key influencing factors of phase inversion and stability of heavy oil emulsion: Asphaltene, resin and petroleum acid. Fuel 2022, 311, 122631. [Google Scholar] [CrossRef]
- Yang, X.; Dong, Y.; Liu, G.; Zhang, C.; Cao, Y.; Wang, C. Effects of nonionic surfactants on pigment excretion and cell morphology in extractive fermentation of Monascus sp. NJ1. J. Sci. Food Agric. 2019, 99, 1233–1239. [Google Scholar] [CrossRef]
- Grossi, M.; Palagano, R.; Bendini, A.; Riccò, B.; Servili, M.; García-González, D.L.; Toschi, T.G. Design and in-house validation of a portable system for the determination of free acidity in virgin olive oil. Food Control 2019, 104, 208–216. [Google Scholar] [CrossRef]
- Mahmoud, D.B.; Bakr, M.M.; Al-Karmalawy, A.A.; Moatasim, Y.; El Taweel, A.; Mostafa, A. Scrutinizing the feasibility of nonionic surfactants to form isotropic bicelles of curcumin: A potential antiviral candidate against COVID-19. AAPS PharmSciTech 2022, 23, 44. [Google Scholar] [CrossRef] [PubMed]
- Zhou, F.Z.; Yu, X.H.; Luo, D.H.; Yang, X.Q.; Yin, S.W. Pickering water in oil emulsions prepared from biocompatible gliadin/ethyl cellulose complex particles. Food Hydrocoll. 2023, 134, 108050. [Google Scholar] [CrossRef]
- Lemahieu, G.; Le Maître, J.; Mase, C.; Maillard, J.; Ontiveros, J.F.; Ligiero, L.; Molinier, V. Extraction of crude oil endogenous surfactants by an optimum three-phase microemulsion system: Relation between interfacial behavior and a molecular fingerprint obtained by ultrahigh-resolution mass spectrometry. Energy Fuels 2021, 35, 17522–17535. [Google Scholar] [CrossRef]
- Lemahieu, G.; Aguilhon, J.; Strub, H.; Molinier, V.; Ontiveros, J.F.; Aubry, J.M. Hexahydrofarnesyl as an original bio-sourced alkyl chain for the preparation of glycosides surfactants with enhanced physicochemical properties. RSC Adv. 2020, 10, 16377–16389. [Google Scholar] [CrossRef]
- Chen, S.; Hanning, S.; Falconer, J.; Locke, M.; Wen, J. Recent advances in non-ionic surfactant vesicles (niosomes): Fabrication, characterization, pharmaceutical and cosmetic applications. Eur. J. Pharm. Biopharm. 2019, 144, 18–39. [Google Scholar] [CrossRef]
- Pillai, P.; Mandal, A. Synthesis and characterization of surface-active ionic liquids for their potential application in enhanced oil recovery. J. Mol. Liq. 2022, 345, 117900. [Google Scholar] [CrossRef]
- Kharazi, M.; Saien, J.; Yarie, M.; Zolfigol, M.A. The superior effects of a long chain gemini ionic liquid on the interfacial tension, emulsification and oil displacement of crude oil-water. J. Pet. Sci. Eng. 2020, 195, 107543. [Google Scholar] [CrossRef]
- Lemahieu, G.; Ontiveros, J.F.; Molinier, V.; Aubry, J.M. SPI-slope/PIT-slope mapping as a guiding tool for the selection of technical grade surfactants for chemical enhanced oil recovery. Colloids Surf. A Physicochem. Eng. Asp. 2023, 656, 130362. [Google Scholar] [CrossRef]
- Lohmann, V.; Rolland, M.; Truong, N.P.; Anastasaki, A. Controlling size, shape, and charge of nanoparticles via low-energy miniemulsion and heterogeneous RAFT polymerization. Eur. Polym. J. 2022, 176, 111417. [Google Scholar] [CrossRef]
- Sagdeev, D.I.; Khairutdinov, V.F.; Farakhov, M.; Alyaev, V.A.; Gumerov, F.M.; Zaripov, Z.I.; Abdulagatov, I.M. Measurements of the density and viscosity of heavy oil and water-in-oil emulsions over a wide temperature range. Int. J. Thermophys. 2023, 44, 7. [Google Scholar] [CrossRef]
- Lin, C.Y.; Lin, S.A. Effects of emulsification variables on fuel properties of two-and three-phase biodiesel emulsions. Fuel 2007, 86, 210–217. [Google Scholar] [CrossRef]
- Lin, C.Y.; Wang, K.H. The fuel properties of three-phase emulsions as an alternative fuel for diesel engines. Fuel 2003, 82, 1367–1375. [Google Scholar] [CrossRef]
- Haghighi, O.M.; Zargar, G.; Khaksar Manshad, A.; Ali, M.; Takassi, M.A.; Ali, J.A.; Keshavarz, A. Effect of environ ment-friendly non-ionic surfactant on interfacial tension reduction and wettability alteration; implications for enhanced oil recovery. Energies 2020, 13, 3988. [Google Scholar] [CrossRef]







| Property | Brij 30 | Span 80 | Tween 20 |
|---|---|---|---|
| HLB value Chemical formula | 9.7 ± 1.0 C12H25(OCH2 CH2)4OH | 4.3 ± 1.0 C24H44O6 | 16.7 ± 1.0 C58H114O26 |
| Molecular weight Specific gravity | 346.46 1.002 | 428.60 1.053 | 1226 1.102 |
Disclaimer/Publisher’s Note: The statements, opinions and data contained in all publications are solely those of the individual author(s) and contributor(s) and not of MDPI and/or the editor(s). MDPI and/or the editor(s) disclaim responsibility for any injury to people or property resulting from any ideas, methods, instructions or products referred to in the content. |
© 2023 by the authors. Licensee MDPI, Basel, Switzerland. This article is an open access article distributed under the terms and conditions of the Creative Commons Attribution (CC BY) license (https://creativecommons.org/licenses/by/4.0/).
Share and Cite
Lin, C.-Y.; Lin, K.-H.; Yang, H. The Influences of Emulsification Variables on Emulsion Characteristics Prepared through the Phase Inversion Temperature Method as Engine Fuel. Processes 2023, 11, 1091. https://doi.org/10.3390/pr11041091
Lin C-Y, Lin K-H, Yang H. The Influences of Emulsification Variables on Emulsion Characteristics Prepared through the Phase Inversion Temperature Method as Engine Fuel. Processes. 2023; 11(4):1091. https://doi.org/10.3390/pr11041091
Chicago/Turabian StyleLin, Cherng-Yuan, Keng-Hung Lin, and Hsuan Yang. 2023. "The Influences of Emulsification Variables on Emulsion Characteristics Prepared through the Phase Inversion Temperature Method as Engine Fuel" Processes 11, no. 4: 1091. https://doi.org/10.3390/pr11041091
APA StyleLin, C.-Y., Lin, K.-H., & Yang, H. (2023). The Influences of Emulsification Variables on Emulsion Characteristics Prepared through the Phase Inversion Temperature Method as Engine Fuel. Processes, 11(4), 1091. https://doi.org/10.3390/pr11041091

