Efficient Decolorization of Azo Dye Orange II in a UV-Fe3+-PMS-Oxalate System
Abstract
:1. Introduction
2. Materials and Methods
2.1. Chemicals and Reagents
2.2. Experimental Procedures
2.3. Analytical Methods
3. Results and Discussion
3.1. Decolorization of Orange II in Different Peroxides Systems (PDS, PMS, and H2O2)
3.2. Effects of Carboxylates on the Decolorization of Orange II in UVA-Fe3+-PMS System
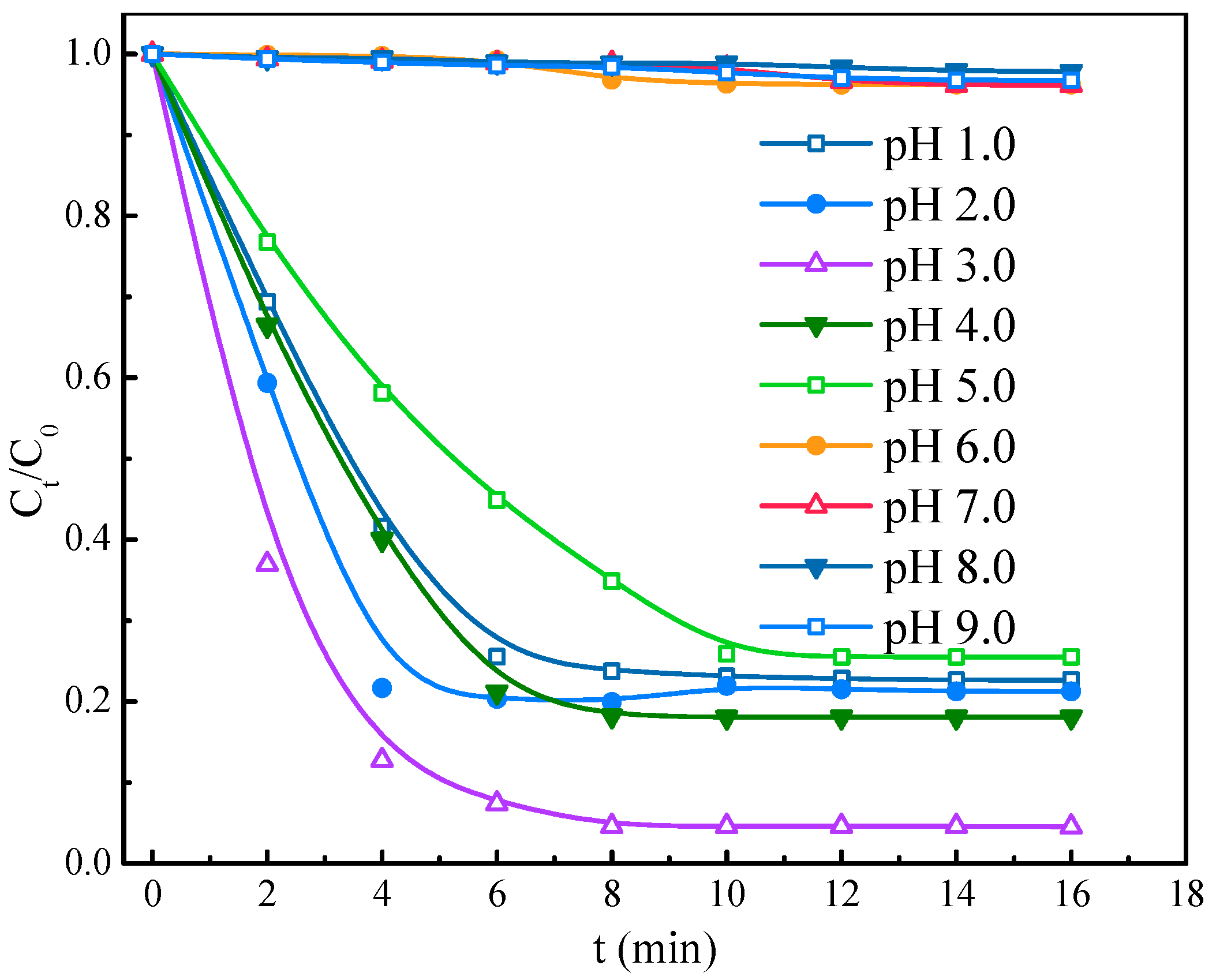
3.3. Effect of the Initial pH on the Decolorization of Orange II in UVA-Fe3+-PMS System
3.4. Effect of PMS Dosage on the Decolorization of Orange II in UVA-Fe3+-PMS System
3.5. Effects of Fe3+ and Oxalate Concentrations on the Decolorization of Orange II in UVA-Fe3+-PMS System
3.6. Effects of Coexisting Anions on the Decolorization of Orange II in the UVA-Fe3+-PMS System
3.7. Mechanisms of Decolorization of Orange II in the UVA-Fe3+-PMS-Oxalate System
3.7.1. Predominant Oxidants for Orange II Decolorization
- SO4•− and •OH
- HO2•/O2•− and 1O2
3.7.2. Possible Pathway of Decolorization
4. Conclusions
Supplementary Materials
Author Contributions
Funding
Data Availability Statement
Acknowledgments
Conflicts of Interest
References
- Yang, S.; Wang, P.; Yang, X.; Shan, L.; Zhang, W.; Shao, X.; Niu, R. Degradation efficiencies of azo dye Acid Orange 7 by the interaction of heat, UV and anions with common oxidants: Persulfate, peroxymonosulfate and hydrogen peroxide. J. Hazard. Mater. 2010, 179, 552–558. [Google Scholar] [CrossRef] [PubMed]
- Wang, Z.; Yuan, R.; Guo, Y.; Xu, L.; Liu, J. Effects of chloride ions on bleaching of azo dyes by Co2+/oxone regent: Kinetic analysis. J. Hazard. Mater. 2011, 190, 1083–1087. [Google Scholar] [CrossRef]
- Mahdi Ahmed, M.; Barbati, S.; Doumenq, P.; Chiron, S. Sulfate radical anion oxidation of diclofenac and sulfamethoxazole for water decontamination. Chem. Eng. J. 2012, 197, 440–447. [Google Scholar] [CrossRef]
- Yuan, R.; Ramjaun, S.N.; Wang, Z.; Liu, J. Effects of chloride ion on degradation of Acid Orange 7 by sulfate radical-based advanced oxidation process: Implications for formation of chlorinated aromatic compounds. J. Hazard. Mater. 2011, 196, 173–179. [Google Scholar] [CrossRef] [PubMed]
- Lou, X.Y.; Guo, Y.G.; Xiao, D.X.; Wang, Z.H.; Lu, S.Y.; Liu, J.S. Rapid dye degradation with reactive oxidants generated by chloride-induced peroxymonosulfate activation. Environ. Sci. Pollut. Res. 2013, 20, 6317–6323. [Google Scholar] [CrossRef]
- Zhang, X.; Yao, J.; Zhao, Z.; Liu, J. Degradation of haloacetonitriles with UV/peroxymonosulfate process: Degradation pathway and the role of hydroxyl radicals. Chem. Eng. J. 2019, 364, 1–10. [Google Scholar] [CrossRef]
- Mahdi-Ahmed, M.; Chiron, S. Ciprofloxacin oxidation by UV-C activated peroxymonosulfate in wastewater. J. Hazard. Mater. 2014, 265, 41–46. [Google Scholar] [CrossRef]
- Pan, T.; Wang, Y.; Yang, X.; Huang, X.F.; Qiu, R.L. Gallic acid accelerated BDE47 degradation in PMS/Fe(III) system: Oxidation intermediates autocatalyzed redox cycling of iron. Chem. Eng. J. 2020, 384, 123248. [Google Scholar] [CrossRef]
- Han, D.; Wan, J.; Ma, Y.; Wang, Y.; Li, Y.; Li, D.; Guan, Z. New insights into the role of organic chelating agents in Fe (II) activated persulfate processes. Chem. Eng. J. 2015, 269, 425–433. [Google Scholar] [CrossRef]
- Li, Y.; Wu, Y.; Dong, W. Trace catechin enhanced degradation of organic pollutants with activated peroxymonosulfate: Comprehensive identification of working oxidizing species. Chem. Eng. J. 2022, 429, 132408. [Google Scholar] [CrossRef]
- Bu, L.; Bi, C.; Shi, Z.; Zhou, S. Significant enhancement on ferrous/persulfate oxidation with epigallocatechin-3-gallate: Simultaneous chelating and reducing. Chem. Eng. J. 2017, 321, 642–650. [Google Scholar] [CrossRef]
- Wang, Z.; Qiu, W.; Pang, S.; Jiang, J. Effect of chelators on the production and nature of the reactive intermediates formed in Fe(II) activated peroxydisulfate and hydrogen peroxide processes. Water Res. 2019, 164, 114957. [Google Scholar] [CrossRef]
- Yuan, D.; Zhang, C.; Tang, S.; Li, X.; Tang, J.; Rao, Y.; Wang, Z. Enhancing CaO2 fenton-like process by Fe(II)-oxalic acid complexation for organic wastewater treatment. Water Res. 2019, 163, 114861. [Google Scholar] [CrossRef]
- Wood, P.M. The potential diagram for oxygen at pH 7. Biochem J. 1988, 253, 287–289. [Google Scholar] [CrossRef]
- Zhang, Y.; Zhou, M. A critical review of the application of chelating agents to enable Fenton and Fenton-like reactions at high pH values. J. Hazard. Mater. 2018, 362, 436–450. [Google Scholar] [CrossRef]
- Viollier, E.; Inglett, P.W.; Hunter, K.; Roychoudhury, A.N.; Van Cappellen, P. The Ferrozine method revisted. Appl. Geochem. 2000, 15, 785–790. [Google Scholar] [CrossRef]
- Qi, C.; Liu, X.; Ma, J.; Lin, C.; Li, X.; Zhang, H. Activation of peroxymonosulfate by base: Implications for the degradation of organic pollutants. Chemosphere 2016, 151, 280–288. [Google Scholar] [CrossRef]
- Aparicio, F.; Contreras, R.; Galva, M. Global and local reactivity and activation patterns of HOOX (X = H, NO2, CO2−, SO3−) peroxides with solvent effects. J. Phys. Chem. A 2003, 2, 10098–10104. [Google Scholar] [CrossRef]
- Peng, S.; Feng, Y.; Liu, Y.; Wu, D. Applicability study on the degradation of acetaminophen via an H2O2/PDS-based advanced oxidation process using pyrite. Chemosphere 2018, 212, 438–446. [Google Scholar] [CrossRef]
- Wang, J.; Wang, S. Activation of persulfate (PS) and peroxymonosulfate (PMS) and application for the degradation of emerging contaminants. Chem. Eng. J. 2018, 334, 1502–1517. [Google Scholar] [CrossRef]
- Chen, Y.; Wu, F.; Zhang, X.; Deng, N.; Bazhin, N.; Glebov, E. Fe(III)-pyruvate and Fe(III)-citrate induced photodegradation of glyphosate in aqueous solutions. J. Coord. Chem. 2007, 60, 2431–2439. [Google Scholar] [CrossRef]
- Carneiro, P.A.; Nogueira, R.F.P.; Zanoni, M.V.B. Homogeneous photodegradation of C.I. Reactive Blue 4 using a photo-Fenton process under artificial and solar irradiation. Dye. Pigment. 2007, 74, 127–132. [Google Scholar] [CrossRef]
- Zuo, Y.; Zhan, J.; Wu, T. Effects of monochromatic UV-visible light and sunlight on Fe(III)-catalyzed oxidation of dissolved sulfur dioxide. J. Atmos. Chem. 2005, 50, 195–210. [Google Scholar] [CrossRef]
- Giannakis, S.; Liu, S.; Carratalà, A.; Rtimi, S.; Talebi Amiri, M.; Bensimon, M.; Pulgarin, C. Iron oxide-mediated semiconductor photocatalysis vs. heterogeneous photo-Fenton treatment of viruses in wastewater. Impact of the oxide particle size. J. Hazard. Mater. 2017, 339, 223–231. [Google Scholar] [CrossRef] [PubMed]
- Belaidi, S.; Sehili, T.; Mammeri, L.; Djebbar, K. Photodegradation kinetics of 2,6-dimetylphenol by natural iron oxide and oxalate in aqueous solution. J. Photochem. Photobiol. Chem. 2012, 237, 31–37. [Google Scholar] [CrossRef]
- Pang, H.; Zhang, Q.; Wang, H.; Cai, D.; Ma, Y.; Li, L.; Li, K.; Lu, X.; Chen, H.; Yang, X.; et al. Photochemical aging of Guaiacol by Fe(III)-oxalate complexes in atmospheric aqueous phase. Environ. Sci. Technol. 2019, 53, 127–136. [Google Scholar] [CrossRef]
- Wang, Z.; Xiao, D.; Liu, J. Diverse redox chemistry of photo/ferrioxalate system. RSC Adv. 2014, 4, 44654–44658. [Google Scholar] [CrossRef]
- Zhang, X.; Gong, Y.; Wu, F.; Deng, N.; Pozdnyakov, I.P.; Glebov, E.M.; Plyusnin, V.F.; Bazhinb, N.M. Photochemistry of the iron (III) complex with pyruvic acid in aueous solutions. Russ. Chem. Bull. 2009, 58, 1828–1836. [Google Scholar] [CrossRef]
- Rastogi, A.; Al-Abed, S.R.; Dionysiou, D.D. Sulfate radical-based ferrous-peroxymonosulfate oxidative system for PCBs degradation in aqueous and sediment systems. Appl. Catal. B Environ. 2009, 85, 171–179. [Google Scholar] [CrossRef]
- Liu, J.; Zhao, Z.; Shao, P.; Cui, F. Activation of peroxymonosulfate with magnetic Fe3O4–MnO2 core–shell nanocomposites for 4-chlorophenol degradation. Chem. Eng. J. 2015, 262, 854–861. [Google Scholar] [CrossRef]
- Liu, J.; Zhou, J.; Ding, Z.; Zhao, Z.; Xu, X.; Fang, Z. Ultrasonics Sonochemistry Ultrasound irritation enhanced heterogeneous activation of peroxymonosulfate with Fe3O4 for degradation of azo dye. Ultrason. Sonochem. 2017, 34, 953–959. [Google Scholar] [CrossRef]
- Wu, F.; Deng, N. Photochemistry of hydrolytic iron (III) species and photoinduced degradation of organic compounds. A minireview. Chemosphere 2000, 41, 1137–1147. [Google Scholar]
- Hou, L.; Li, X.; Yang, Q.; Chen, F.; Wang, S.; Ma, Y.; Wu, Y.; Zhu, X.; Huang, X.; Wang, D. Heterogeneous activation of peroxymonosulfate using Mn-Fe layered double hydroxide: Performance and mechanism for organic pollutant degradation. Sci. Total Environ. 2019, 663, 453–464. [Google Scholar] [CrossRef]
- Chen, Z.; Jin, J.; Song, X.; Zhang, G.; Zhang, S. Redox Conversion of Arsenite and Nitrate in the UV/Quinone Systems. Environ. Sci. Technol. 2018, 52, 10011–10018. [Google Scholar] [CrossRef]
- Wang, S.; Wu, J.; Lu, X.; Xu, W.; Gong, Q.; Ding, J.; Dan, B.; Xie, P. Removal of acetaminophen in the Fe2+/persulfate system: Kinetic model and degradation pathways. Chem. Eng. J. 2019, 358, 1091–1100. [Google Scholar] [CrossRef]
- Lai, L.; Ji, H.; Zhang, H.; Liu, R.; Zhou, C.; Liu, W.; Ao, Z.; Li, N.; Liu, C.; Yao, G.; et al. Activation of peroxydisulfate by V-Fe concentrate ore for enhanced degradation of carbamazepine: Surface ≡V(III) and ≡V(IV) as electron donors promoted the regeneration of ≡Fe(II). Appl. Catal. B Environ. 2021, 282, 119559. [Google Scholar] [CrossRef]
- Hasan, N.; Kim, S.; Kim, M.S.; Nguyen, N.T.T.; Lee, C.; Kim, J. Visible light-induced activation of peroxymonosulfate in the presence of ferric ions for the degradation of organic pollutants. Sep. Purif. Technol. 2020, 240, 116620. [Google Scholar] [CrossRef]
- Xiao, S.; Cheng, M.; Zhong, H.; Liu, Z.; Liu, Y.; Yang, X.; Liang, Q. Iron-mediated activation of persulfate and peroxymonosulfate in both homogeneous and heterogeneous ways: A review. Chem. Eng. J. 2020, 384, 123265. [Google Scholar] [CrossRef]
- Wang, Y.; Xu, J.; Li, J.; Wu, F. Natural montmorillonite induced photooxidation of As (III) in aqueous suspensions: Roles and sources of hydroxyl and hydroperoxyl/superoxide radicals. J. Hazard. Mater. 2013, 260, 255–262. [Google Scholar] [CrossRef]
- Stylidi, M.; Kondarides, D.I.; Verykios, X.E. Visible light-induced photocatalytic degradation of Acid Orange 7 in aqueous TiO2 suspensions. Appl. Catal. B Environ. 2004, 47, 189–201. [Google Scholar] [CrossRef]
- Repeta, D.J.; Hartman, N.T.; John, S.; Jones, A.D.; Goericke, R. Structure elucidation and characterization of polychlorinated biphenyl carboxylic acids as major constituents of chromophoric dissolved organic matter in seawater. Environ. Sci. Technol. 2004, 38, 5373–5378. [Google Scholar] [CrossRef] [PubMed]










| Anion | kobs (min−1) (0.0 mM) | kobs (min−1) (0.01 mM) | kobs (min−1) (0.1 mM) | kobs (min−1) (1 mM) | 
|---|---|---|---|---|
| Cl− | 0.515 | 0.525 | 0.679 | 0.887 | 
| NO3− | 0.565 | 0.668 | 0.798 | |
| SO42− | 0.601 | 0.613 | 0.642 | |
| CO32− | 0.514 | 0.467 | 0.444 | 
| Disclaimer/Publisher’s Note: The statements, opinions and data contained in all publications are solely those of the individual author(s) and contributor(s) and not of MDPI and/or the editor(s). MDPI and/or the editor(s) disclaim responsibility for any injury to people or property resulting from any ideas, methods, instructions or products referred to in the content. | 
© 2023 by the authors. Licensee MDPI, Basel, Switzerland. This article is an open access article distributed under the terms and conditions of the Creative Commons Attribution (CC BY) license (https://creativecommons.org/licenses/by/4.0/).
Share and Cite
Wang, Y.; Dong, X.; Liu, C.; Cheng, P.; Mailhot, G. Efficient Decolorization of Azo Dye Orange II in a UV-Fe3+-PMS-Oxalate System. Processes 2023, 11, 903. https://doi.org/10.3390/pr11030903
Wang Y, Dong X, Liu C, Cheng P, Mailhot G. Efficient Decolorization of Azo Dye Orange II in a UV-Fe3+-PMS-Oxalate System. Processes. 2023; 11(3):903. https://doi.org/10.3390/pr11030903
Chicago/Turabian StyleWang, Yajie, Xin Dong, Chengfeng Liu, Peng Cheng, and Gilles Mailhot. 2023. "Efficient Decolorization of Azo Dye Orange II in a UV-Fe3+-PMS-Oxalate System" Processes 11, no. 3: 903. https://doi.org/10.3390/pr11030903
APA StyleWang, Y., Dong, X., Liu, C., Cheng, P., & Mailhot, G. (2023). Efficient Decolorization of Azo Dye Orange II in a UV-Fe3+-PMS-Oxalate System. Processes, 11(3), 903. https://doi.org/10.3390/pr11030903
 
        




 
       