Study on the Influencing Factors of the Response Characteristics of the Slide Valve-Type Direct-Acting Relief Valve with External Orifice
Abstract
1. Introduction
2. Working Principle of the SVTDARVWEO
3. AMESim Simulation Model of the SVTDARVWEO
- (1)
 - The operating temperature and ambient temperature do not change;
 - (2)
 - The physical and chemical properties of the working medium do not change;
 - (3)
 - The working medium is not polluted;
 - (4)
 - There is no geometric shape error between valve element and valve body;
 - (5)
 - The radial fit clearance between valve element and valve body is equal;
 - (6)
 - There is no assembly error between spring and valve element;
 - (7)
 - The foundation is stable without vibration;
 - (8)
 - The working environment is the earth, and the gravity acceleration remains unchanged, g = 9.8 m/s2;
 - (9)
 - No internal and external leakage;
 - (10)
 - The influence of gravity can be ignored;
 - (11)
 - All parts will not deform during operation.
 
4. Results and Discussion
4.1. Influence of Orifice Diameter on Response Characteristics
4.2. Influence of Viscosity Coefficient on Response Characteristics
4.3. Influence of Valve Element Mass on Response Characteristics
4.4. Influence of Spring Stiffness on Response Characteristics
4.5. Influence of Oil Sealing Length on Response Characteristics
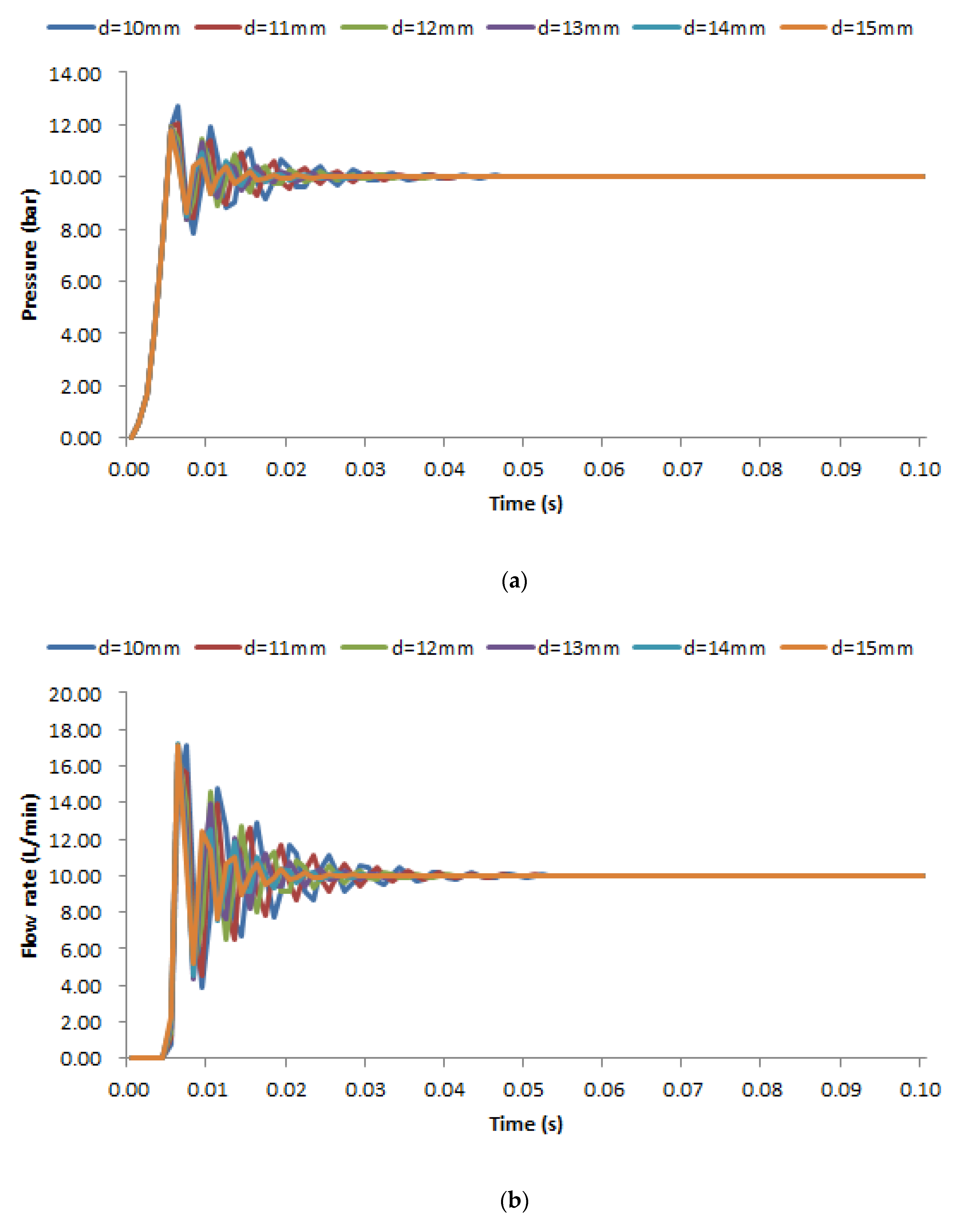
4.6. Influence of Valve Element Diameter on Response Characteristics
5. Conclusions
- (1)
 - The smaller the orifice diameter is, the smaller the oscillation frequency, amplitude and maximum overshoot of pressure, flowrate, displacement, and velocity is. When the orifice diameter is 1 mm, the oscillation frequency is the lowest, about 167 Hz. When the orifice diameter is 2 mm, the oscillation frequency is about 200 Hz. When the orifice diameter is 3 mm and 4 mm, the oscillation frequency is close to about 250 Hz. The flowrate, displacement and velocity before 0.004 s are 0, and the pressure, flowrate, displacement and velocity will oscillate to about 0.06 s to reach individual stable values.
 - (2)
 - When the viscosity coefficient is 40 N/(m/s) and 45 N/(m/s), the pressure, flowrate, displacement and velocity oscillate periodically, the amplitude of the oscillation does not decrease, and the oscillation frequency is about 333 Hz. When the viscosity coefficient is 50 N/(m/s), 55 N/(m/s) and 60 N/(m/s), the pressure, flowrate, displacement and velocity oscillate periodically, but the amplitude of the oscillation gradually decreases, and the oscillation frequency is about 250 Hz. The flowrate, displacement and velocity before 0.004 s are 0. When the viscosity coefficient is 60 N/(m/s), the pressure, flowrate, displacement and velocity will reach individual stable values earlier.
 - (3)
 - When the valve element mass is 0.025 kg and 0.03 kg, the pressure, flowrate, displacement and velocity oscillate periodically and the amplitude of oscillation does not decrease. When the valve element mass is 0.01 kg, 0.015 kg and 0.02 kg, the pressure, flowrate, displacement and velocity oscillate periodically, but the amplitude of oscillation decreases gradually. The oscillation frequency is about 200 Hz. As the valve element mass increases, the displacement oscillation frequency will decrease, but to a small extent. The flowrate, displacement and velocity before 0.004 s are 0. When the valve element mass is 0.01 kg, the pressure, flowrate, displacement and velocity will reach individual stable values earlier.
 - (4)
 - When the spring stiffness is 1 N/mm~50 N/mm, the pressure, flowrate, displacement and velocity corresponding to different spring stiffness values oscillate and the oscillation frequency is about 250 Hz. After the oscillation, the pressure, flowrate, displacement and velocity will eventually reach individual stable values. The greater the spring stiffness is, the smaller the maximum overshoot of pressure, flowrate, displacement and velocity is. The flowrate, displacement and velocity before 0.004 s are 0. When the spring stiffness is 1 N/mm, the pressure, flowrate, displacement and velocity return to individual stable values with the largest number of oscillations and the longest time required. When the spring stiffness is 50 N/mm, the number of oscillations of pressure, flowrate, displacement and velocity to reach individual stable values is the lowest and the time required is the shortest.
 - (5)
 - The pressure, flowrate, displacement and velocity corresponding to different oil seal lengths will oscillate, and the oscillation frequency is about 200 Hz. After certain oscillations, the pressure, flowrate, displacement and velocity finally reach individual stable values. With the increase in oil sealing length, the time to reach the maximum overshoot of pressure, the maximum overshoot of pressure, the time to generate flow at the overflow port, and the time to reach the maximum overshoot of flow all increase correspondingly. At the same time, the displacement stability value and the time to reach the displacement stability value increase correspondingly, with the time to reach the velocity stability value and the maximum overshoot of velocity increasing correspondingly.
 - (6)
 - When the valve element diameter is 10 mm~15 mm, the pressure corresponding to different valve element diameters oscillate, and the pressure, flowrate, displacement and velocity will finally reach individual stable values after certain oscillations. The flowrate, displacement and velocity before 0.004 s are 0. With the increase in valve element diameter, the stable value of pressure decreases, the oscillation frequency of pressure, flowrate, displacement and velocity increases, the oscillation amplitude decreases, and the time for displacement and velocity to reach individual stable values also decreases.
 
Author Contributions
Funding
Data Availability Statement
Acknowledgments
Conflicts of Interest
References
- Song, X.; Cui, L.; Cao, M.; Cao, W.; Park, Y.; Dempster, W.M. A CFD analysis of the dynamics of a direct-operated safety relief valve mounted on a pressure vessel. Energy Convers. Manag. 2014, 81, 407–419. [Google Scholar] [CrossRef]
 - Burhani, M.G.; Hős, C. An Experimental and Numerical Analysis on the Dynamical Behavior of a Safety Valve in the Case of Two-phase Non-flashing Flow. Period. Polytech.-Chem. Eng. 2021, 65, 251–260. [Google Scholar] [CrossRef]
 - Zong, C.Y.; Zheng, F.; Chen, D.; Dempster, W.; Song, X. Computational Fluid Dynamics Analysis of the Flow Force Exerted on the Disk of a Direct-Operated Pressure Safety Valve in Energy System. J. Press. Vessel. Technol.-Trans. Asme 2020, 142, 011702. [Google Scholar] [CrossRef]
 - Kadar, F.; Hos, C.; Stepan, G. Delayed oscillator model of pressure relief valves with outlet piping. J. Sound Vib. 2022, 534, 117016. [Google Scholar] [CrossRef]
 - Fu, C.Y.; Yang, L.; Si, G.; Li, Y. Design and Mechanical Performance Analysis of Relief Valve with Permanent Magnet Spring. In Proceedings of the IEEE/CSAA International Conference on Aircraft Utility Systems (AUS), Beijing, China, 10–12 October 2016. [Google Scholar]
 - Burhani, M.G.; Hős, C. Estimating the opening time of a direct spring operated pressure relief valve in the case of multiphase flow of fixed mass fraction in the absence of piping. J. Loss Prev. Process Ind. 2020, 66, 104169. [Google Scholar] [CrossRef]
 - Liao, M.L.; Zheng, Y.; Gao, Z.; Song, W. Fluid-structure coupling modelling and parameter optimization of a direct-acting relief valve for underwater application. Nonlinear Dyn. 2021, 105, 2935–2958. [Google Scholar] [CrossRef]
 - Zahariea, D. Functional Diagram for Modeling the Electromagnetic Ball Valve with Cylindrical Seat. In Proceedings of the Innovative Manufacturing Engineering Conference (IManE), Chisinau, Moldova, 29–30 May 2014. [Google Scholar]
 - Song, W.; Yang, C.; Zhang, X.; Li, Y. Mathematical Modelling and Dynamic Analysis of a Direct-Acting Relief Valve Based on Fluid-Structure Coupling Analysis. Shock. Vib. 2021, 2021, 5581684. [Google Scholar] [CrossRef]
 - Erdődi, I.; Hős, C. Prediction of quarter-wave instability in direct spring operated pressure relief valves with upstream piping by means of CFD and reduced order modelling. J. Fluids Struct. 2017, 73, 37–52. [Google Scholar] [CrossRef]
 - Liu, Y.S.; Ren, X.; Wu, D.; Li, D.; Li, X. Simulation and analysis of a seawater hydraulic relief valve in deep-sea environment. Ocean. Eng. 2016, 125, 182–190. [Google Scholar]
 - Wu, S.; Li, C.; Deng, Y. Stability Analysis of a Direct-Operated Seawater Hydraulic Relief Valve under Deep Sea. Math. Probl. Eng. 2017, 2017, 5676317. [Google Scholar] [CrossRef]
 - Syrkin, V.V.; Balakin, P.D.; Treyer, V.A. Study on hydraulic direct-acting relief valve. J. Phys. Conf. Ser. 2017, 858, 12035. [Google Scholar] [CrossRef]
 - Raeder, T.; Tenenev, V.; Chernova, A.; Koroleva, M. Multilevel Simulation of Direct Operated Safety Valve. In Proceedings of the Ivannikov Ispras Open Conference (ISPRAS), Moscow, Russia, 22–23 November 2018. [Google Scholar]
 - Sohn, S. A Numerical Analysis of Direct Spring Loaded Type—Steam Safety Valve Using CFD Simulation. In Proceedings of the 22nd International Conference Nuclear Energy for New Europe (NENE), Bled, Slovenia, 9–12 September 2013. [Google Scholar]
 - Dempster, W.; Taggart, S.; Doyle, C. Limitations in the Use of Pressure Scaling for Safety Relief Valve Design. In Proceedings of the ASME Pressure Vessels and Piping Conference (PVP 2018), Prague, Czech Republic, 15–20 July 2018. [Google Scholar]
 - Zong, C.Y.; Zheng, F.J.; Song, X.G. Understanding Lift Force Discontinuity of Pressure Safety Valve. In Proceedings of the ASME Pressure Vessels and Piping Conference, San Antonio, TX, USA, 14–19 July 2019. [Google Scholar]
 - Suzuki, K.; Urata, E. Development of a Direct Pressure-Sensing Water Hydraulic Relief Valve. Int. J. Fluid Power 2008, 9, 5–13. [Google Scholar] [CrossRef]
 - Bazsó, C.; Hős, C.J. An experimental study on the stability of a direct spring loaded poppet relief valve. J. Fluids Struct. 2013, 42, 456–465. [Google Scholar] [CrossRef]
 - Hős, C.J.; Champneys, A.; Paul, K.; McNeely, M. Dynamic behavior of direct spring loaded pressure relief valves in gas service: Model development, measurements and instability mechanisms. J. Loss Prev. Process Ind. 2014, 31, 70–81. [Google Scholar] [CrossRef]
 - Hős, C.; Bazsó, C.; Champneys, A. Model reduction of a direct spring-loaded pressure relief valve with upstream pipe. IMA J. Appl. Math. 2015, 80, 1009–1024. [Google Scholar] [CrossRef]
 - Hős, C.J.; Champneys, A.; Paul, K.; McNeely, M. Dynamic behaviour of direct spring loaded pressure relief valves in gas service: II reduced order modelling. J. Loss Prev. Process Ind. 2015, 36, 1–12. [Google Scholar] [CrossRef]
 - Kim, H.; Baek, D.; Kim, S. Optimum design of direct spring loaded pressure relief valve in water distribution system using multi-objective genetic algorithm. J. Korean Soc. Water Wastewater 2018, 32, 115–122. [Google Scholar] [CrossRef]
 - Kim, H.; Kim, S.; Kim, Y.; Kim, J. Optimization of Operation Parameters for Direct Spring Loaded Pressure Relief Valve in a Pipeline System. J. Press. Vessel. Technol. 2018, 140, 051603. [Google Scholar] [CrossRef]
 - Lei, J.; Tao, J.; Liu, C.; Wu, Y. Flow model and dynamic characteristics of a direct spring loaded poppet relief valve. Proc. Inst. Mech. Eng. Part C J. Mech. Eng. Sci. 2017, 232, 1657–1664. [Google Scholar] [CrossRef]
 - Kim, S.D.; Kim, J.H. Conceptual Design on a Direct-Operated Relief Valve with High-Precision and Large-Flow. Proceedings of the Academic Conference of the Active Pressure Construction Machinery Society. 2021, 52. Available online: https://www.dbpia.co.kr/Journal/articleDetail?nodeId=NODE10755358 (accessed on 1 December 2022).
 - Dimitrov, S.; Krstev, D. Modelling and Simulation of the Transient Performance of a Direct Operated Pressure Relief Valve. Hidraulica 2022, 3, 75–81. [Google Scholar]
 





















| Orifice Diameter | Viscosity Coefficient | Valve Element Mass | Spring Stiffness | Oil Seal Length | Valve Element Diameter  | 
|---|---|---|---|---|---|
| (mm) | (N/(m/s)) | (kg) | (N/mm) | (mm) | (mm) | 
| 1~4 | 100 | 0.01 | 1 | 0 | 10 | 
| Orifice Diameter | Viscosity Coefficient | Valve Element Mass | Spring Stiffness | Oil Seal Length | Valve Element Diameter  | 
|---|---|---|---|---|---|
| (mm) | (N/(m/s)) | (kg) | (N/mm) | (mm) | (mm) | 
| 2 | 40~60 | 0.01 | 1 | 0 | 10 | 
| Orifice Diameter | Viscosity Coefficient | Valve Element Mass | Spring Stiffness | Oil Seal Length | Valve Element Diameter  | 
|---|---|---|---|---|---|
| (mm) | (N/(m/s)) | (kg) | (N/mm) | (mm) | (mm) | 
| 2 | 100 | 0.01~0.03 | 1 | 0 | 10 | 
| Orifice Diameter | Viscosity Coefficient | Valve Element Mass | Spring Stiffness | Oil Seal Length | Valve Element Diameter  | 
|---|---|---|---|---|---|
| (mm) | (N/(m/s)) | (kg) | (N/mm) | (mm) | (mm) | 
| 2 | 100 | 0.013 | 1,10,20,30,50 | 0 | 10 | 
| Orifice Diameter | Viscosity Coefficient | Valve Element Mass | Spring Stiffness | Oil Seal Length | Valve Element Diameter  | 
|---|---|---|---|---|---|
| (mm) | (N/(m/s)) | (kg) | (N/mm) | (mm) | (mm) | 
| 2 | 100 | 0.013 | 1 | 0~2 | 10 | 
| Orifice Diameter | Viscosity Coefficient | Valve Element Mass | Spring Stiffness | Oil Seal Length | Valve Element Diameter | 
|---|---|---|---|---|---|
| (mm) | (N/(m/s)) | (kg) | (N/mm) | (mm) | (mm) | 
| 2 | 100 | 0.013 | 1 | 0 | 10~15 | 
Disclaimer/Publisher’s Note: The statements, opinions and data contained in all publications are solely those of the individual author(s) and contributor(s) and not of MDPI and/or the editor(s). MDPI and/or the editor(s) disclaim responsibility for any injury to people or property resulting from any ideas, methods, instructions or products referred to in the content.  | 
© 2023 by the authors. Licensee MDPI, Basel, Switzerland. This article is an open access article distributed under the terms and conditions of the Creative Commons Attribution (CC BY) license (https://creativecommons.org/licenses/by/4.0/).
Share and Cite
Liu, H.; Zhao, Q. Study on the Influencing Factors of the Response Characteristics of the Slide Valve-Type Direct-Acting Relief Valve with External Orifice. Processes 2023, 11, 397. https://doi.org/10.3390/pr11020397
Liu H, Zhao Q. Study on the Influencing Factors of the Response Characteristics of the Slide Valve-Type Direct-Acting Relief Valve with External Orifice. Processes. 2023; 11(2):397. https://doi.org/10.3390/pr11020397
Chicago/Turabian StyleLiu, Huiyong, and Qing Zhao. 2023. "Study on the Influencing Factors of the Response Characteristics of the Slide Valve-Type Direct-Acting Relief Valve with External Orifice" Processes 11, no. 2: 397. https://doi.org/10.3390/pr11020397
APA StyleLiu, H., & Zhao, Q. (2023). Study on the Influencing Factors of the Response Characteristics of the Slide Valve-Type Direct-Acting Relief Valve with External Orifice. Processes, 11(2), 397. https://doi.org/10.3390/pr11020397
        