Thermodynamic and Heat Transfer Performance of the Organic Triangle Cycle
Abstract
1. Introduction
2. Model Description and Conditions
2.1. System Specifications
2.2. Model Establishment
2.2.1. Thermodynamic Model of TC Internal Circulation
2.2.2. Heat Transfer Model of the Heater
2.2.3. Heat Transfer Model of the Condenser
2.2.4. Model of the Second Law for the Thermodynamic Performance of the TC Heat Recovery and Power Conversion System
2.3. Model Validation
2.4. Calculation Conditions
3. Theoretical Analysis and Numerical Simulation Results of the TC Internal Circulation
3.1. Thermodynamic Performance of the TC Internal Cycle: A Theoretical Analysis
3.2. Analysis of Numerical Simulation Results of the TC Internal Circulation
3.2.1. Effect of the Heater Inlet Temperature on Thermodynamic Performance
3.2.2. Effect of the Expander Inlet Temperature on Thermodynamic Performance
3.2.3. Effect of the Heater Inlet Temperature and Expander Inlet Temperature on the Expansion Ratio and Dryness at the Outlet of the Expander
4. Simulation Results and Analysis of the TC Heat Recovery and Power Conversion System
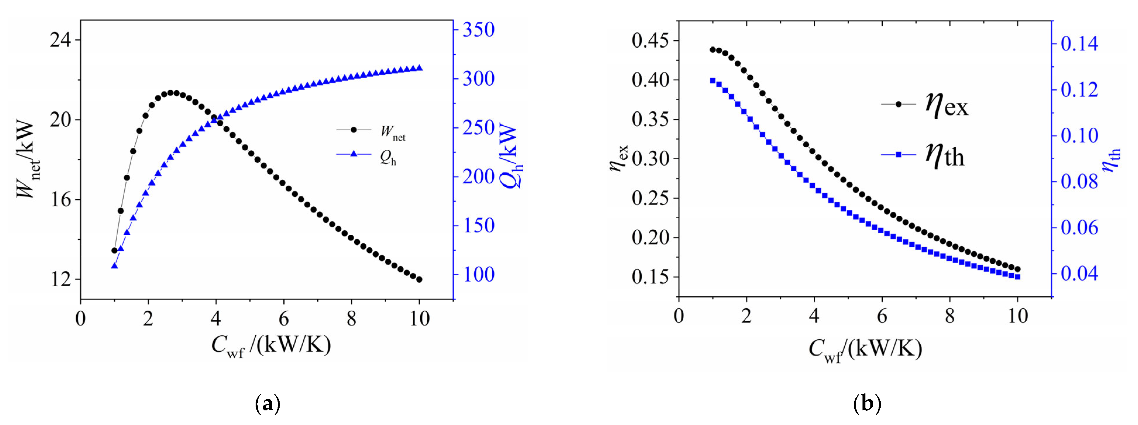
4.1. Effect of the Average Heat-Capacity Flow Rate of the Working Fluid on Thermodynamic Performance
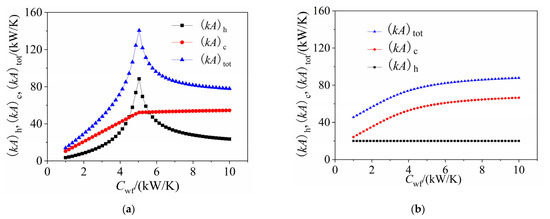
4.2. Effect of the Average Heat-Capacity Flow Rate of the Working Fluid on the Heat Transfer Capacity of the System
5. Conclusions
Author Contributions
Funding
Data Availability Statement
Conflicts of Interest
Nomenclature
| cp | specific heat at constant pressure (kJ/kg) | c | condenser |
| C | the average heat-capacity flow rate (kW/K) | ca | cooling water |
| e | specific exergy (kJ/kg) | ex | exergy |
| E | exergy (kW) | exp | expansion |
| h | specific enthalpy (kJ/kg) | h | heater |
| (kA) | the heat transfer coefficient (kW/K) | hc | heat source fluid |
| m | mass flow rate (kg/s) | i | a state point |
| p | pressure (MPa) | in | inlet |
| q | specific heat absorption or heat release (kJ/kg) | max | maximum |
| Q | heat absorption or heat release (kW) | min | minimum |
| R | the ratio of average heat-capacity flow rate | net | net |
| s | specific entropy (kJ/(kg·K)) | out | outlet |
| T | temperature (K) | pump | pump |
| ΔT | the pinch temperature difference (K) | s | ideal state point |
| w | specific power (kJ/kg) | th | thermal |
| W | power output or input (kW) | tot | total |
| x | dryness | wf | working fluid |
| Subscripts | Greek symbols | ||
| 0 | environmental conditions | ε | effectiveness of heat exchanger |
| 1–8 | state points | η | efficiency |
References
- Javadi, M.A.; Ghomashi, H.; Taherinezhad, M.; Nazarahari, M.; Ghasemiasl, R. Comparison of Monte Carlo Simulation and Genetic Algorithm in Optimal Wind Farm Layout Design in Manjil Site Based on Jensen Model. In Proceedings of the 7th Iran Wind Energy Conference (IWEC2021), Shahrood, Iran, 17–18 May 2021. [Google Scholar] [CrossRef]
- Chen, J.; Zhang, Y.; Xu, Z.; Li, C. Flow characteristics analysis and power comparison for two novel types of vertically staggered wind farms. Energy 2023, 263, 126141. [Google Scholar] [CrossRef]
- Ancona, M.A.; Bianchi, M.; Branchini, L.; De Pascale, A.; Melino, F.; Peretto, A.; Poletto, C.; Torricelli, N. Solar driven micro-ORC system assessment for residential application. Renew. Energy 2022, 195, 167–181. [Google Scholar] [CrossRef]
- Yang, J.; Li, J.; Yang, Z.; Duan, Y. Thermodynamic analysis and optimization of a solar organic Rankine cycle operating with stable output. Energy Convers. Manag. 2019, 187, 459–471. [Google Scholar] [CrossRef]
- Bina, S.M.; Jalilinasrabady, S.; Fujii, H. Energy, economic and environmental (3E) aspects of internal heat exchanger for ORC geothermal power plants. Energy 2017, 140, 1096–1106. [Google Scholar] [CrossRef]
- Surindra, M.D.; Caesarendra, W.; Prasetyo, T.; Mahlia, T.M.I.; Taufik. Comparison of the Utilization of 110 °C and 120 °C Heat Sources in a Geothermal Energy System Using Organic Rankine Cycle (ORC) with R245fa, R123, and Mixed-Ratio Fluids as Working Fluids. Processes 2019, 7, 113. [Google Scholar] [CrossRef]
- Vélez, F.; Segovia, J.J.; Martín, M.C.; Antolín, G.; Chejne, F.; Quijano, A. A technical, economical and market review of organic Rankine cycles for the conversion of low-grade heat for power generation. Renew. Sustain. Energy Rev. 2012, 16, 4175–4189. [Google Scholar] [CrossRef]
- Chan, C.; Ling-Chin, J.; Roskilly, A.P. A review of chemical heat pumps, thermodynamic cycles and thermal energy storage technologies for low grade heat utilisation. Appl. Therm. Eng. 2013, 50, 1257–1273. [Google Scholar] [CrossRef]
- Hays, L.; Welch, P.; Boyle, P. The organic triangle cycle experience and status. Energy Procedia 2017, 129, 1034–1040. [Google Scholar] [CrossRef]
- Iqbal, A.; Rana, S.; Ahmadi, M.; Date, A.; Akbarzadeh, A. Experimental study on the prospect of low-temperature heat to power generation using Trilateral Flash Cycle (TFC). Appl. Therm. Eng. 2020, 172, 115139. [Google Scholar] [CrossRef]
- Iqbal, A.; Rana, S.; Ahmadi, M.; Date, A.; Akbarzadeh, A. Trilateral Flash Cycle (TFC): A promising thermodynamic cycle for low grade heat to power generation. Energy Procedia 2019, 160, 208–214. [Google Scholar] [CrossRef]
- Smith, I.K. Development of the Trilateral Flash Cycle System: Part 1: Fundamental Considerations. Proc. Inst. Mech. Eng. Part A J. Power Energy 1993, 207, 179–194. [Google Scholar] [CrossRef]
- Smith, I.K.; Da Silva, R.P.M. Development of the Trilateral Flash Cycle System Part 2: Increasing Power Output with Working Fluid Mixtures. Proc. Inst. Mech. Eng. Part A J. Power Energy 1994, 208, 135–144. [Google Scholar] [CrossRef]
- Smith, I.K.; Stosic, N.; A Aldis, C. Development of the Trilateral Flash Cycle System: Part 3: The Design of High-Efficiency Two-Phase Screw Expanders. Proc. Inst. Mech. Eng. Part A J. Power Energy 1996, 210, 75–93. [Google Scholar] [CrossRef]
- Bryson, M. Conversion of Low Grade Heat into Electricity Using the Thermosyphon Rankine Engine and Trilateral Flash Cycle; RMIT University: Melbourne, VIC, Australia, 2007. [Google Scholar]
- Steffen, M.; Löffler, M.; Schaber, K. Efficiency of a new Triangle Cycle with flash evaporation in a piston engine. Energy 2013, 57, 295–307. [Google Scholar] [CrossRef]
- Fischer, J. Comparison of trilateral cycles and organic Rankine cycles. Energy 2011, 36, 6208–6219. [Google Scholar] [CrossRef]
- Lai, N.A.; Fischer, J. Efficiencies of power flash cycles. Energy 2012, 44, 1017–1027. [Google Scholar] [CrossRef]
- Arbab, I.; Sohel, R.; Mahdi, A.; Thomas, C.; Abhijit, D.; Aliakbar, A. Prospects of Trilateral Flash Cycle (TFC) for Power Generation from Low Grade Heat Sources. EDP Sci. 2018, 64, 06004. [Google Scholar] [CrossRef]
- Ajimotokan, H.A. A Study of Trilateral Flash Cycles for Low-Grade Waste Heat Recovery-to-Power Generation; Cranfield University: Cranfield, UK, 2014. [Google Scholar]
- Antonopoulou, C.; Atsonios, K.; Grammelis, P.; Manolakos, D.; Skiadopoulos, A.; Bakalis, P. Thermodynamic Analysis on Trilateral Flash Cycle (TFC) for Low Grade Heat to Power Generation Using Different Working Fluids. In Proceedings of the 6th International Seminar on ORC Power Systems, online, 11–13 October 2021. [Google Scholar]
- Chang, N.; Zhu, J.; Chen, G.; Zhang, P.; Song, A. Working fluids selection from perspectives of heat source and expander for a Trilateral cycle. Energy Procedia 2019, 158, 1579–1584. [Google Scholar] [CrossRef]
- Feng, Y.; Chen, X.; Xu, X.F. Current status and potentials of enhanced geothermal system in China: A review. Renew. Sustain. Energy Rev. 2014, 33, 214–223. [Google Scholar] [CrossRef]
- Zhang, D.; Wang, J.; Lin, Y.; Si, Y.; Huang, C.; Yang, J.; Huang, B.; Li, W. Present situation and future prospect of renewable energy in China. Renew. Sustain. Energy Rev. 2017, 76, 865–871. [Google Scholar] [CrossRef]
- Wang, S.; Liu, C.; Zhang, C.; Xu, X.; Li, Q. Thermo-economic evaluations of dual pressure organic Rankine cycle (DPORC) driven by geothermal heat source. J. Renew. Sustain. Energy 2018, 10, 063901. [Google Scholar] [CrossRef]
- Zhang, C.; Liu, C.; Xu, X.; Li, Q.; Wang, S.; Chen, X. Effects of superheat and internal heat exchanger on thermo-economic performance of organic Rankine cycle based on fluid type and heat sources. Energy 2018, 159, 482–495. [Google Scholar] [CrossRef]
- Hays, L.; Otsuka, A.; Boyle, P. Sea Trials of an Organic Triangle System (OTC) for Waste Heat Recovery. In Proceedings of the 6th International Seminar on ORC Power Systems, Online, 11–13 October 2021. [Google Scholar]
- Zeynali, A.; Akbari, A.; Khalilian, M. Investigation of the performance of modified organic Rankine cycles (ORCs) and modified trilateral flash cycles (TFCs) assisted by a solar pond. Sol. Energy 2019, 182, 361–381. [Google Scholar] [CrossRef]
- Sphaier, L.; Worek, W. Parametric analysis of heat and mass transfer regenerators using a generalized effectiveness-NTU method. Int. J. Heat Mass Transf. 2009, 52, 2265–2272. [Google Scholar] [CrossRef]
- Zhou, Y.; Tang, J.; Zhang, C.; Li, Q. Thermodynamic Analysis of the Air-Cooled Transcritical Rankine Cycle Using CO2/R161 Mixture Based on Natural Draft Dry Cooling Towers. Energies 2019, 12, 3342. [Google Scholar] [CrossRef]
- Cengel, Y.A.; Klein, S.; Beckman, W. Heat Transfer: A Practical Approach. McGraw-Hill: Boston, MA, USA, 1998. [Google Scholar]







| Parameters | T1/K | T2/K | T3/K | T4/K | p1/kPa | p3/kPa | ηth/% |
|---|---|---|---|---|---|---|---|
| Fischer’s work | 358.15 | 360.21 | 590 | 358.15 | 57.87 | 10,861 | 0.198 |
| Present work | 358.15 | 360.21 | 590 | 358.15 | 57.87 | 10,861 | 0.1947 |
| Parameters | Value | Unit |
|---|---|---|
| Heat source fluid inlet temperature T5 | 423 | K |
| Pump adiabatic efficiency ηpump | 85 | % |
| Expander adiabatic efficiency ηexp | 85 | % |
| Ambient temperature T0 | 298.15 | K |
| Working fluid temperature range | 309–496.5 | K |
| Cooling water inlet temperature T7 | 298.15 | K |
| Condenser pinch temperature difference ΔTp | 5 | K |
Disclaimer/Publisher’s Note: The statements, opinions and data contained in all publications are solely those of the individual author(s) and contributor(s) and not of MDPI and/or the editor(s). MDPI and/or the editor(s) disclaim responsibility for any injury to people or property resulting from any ideas, methods, instructions or products referred to in the content. |
© 2023 by the authors. Licensee MDPI, Basel, Switzerland. This article is an open access article distributed under the terms and conditions of the Creative Commons Attribution (CC BY) license (https://creativecommons.org/licenses/by/4.0/).
Share and Cite
Liu, L.; Zhang, S.; Jiao, Y.; Liu, X.; Li, G.; Liu, C.; Li, Q.; Guo, H.; He, C. Thermodynamic and Heat Transfer Performance of the Organic Triangle Cycle. Processes 2023, 11, 357. https://doi.org/10.3390/pr11020357
Liu L, Zhang S, Jiao Y, Liu X, Li G, Liu C, Li Q, Guo H, He C. Thermodynamic and Heat Transfer Performance of the Organic Triangle Cycle. Processes. 2023; 11(2):357. https://doi.org/10.3390/pr11020357
Chicago/Turabian StyleLiu, Liang, Siyuan Zhang, Youzhou Jiao, Xinxin Liu, Gang Li, Chao Liu, Qibin Li, Hao Guo, and Chao He. 2023. "Thermodynamic and Heat Transfer Performance of the Organic Triangle Cycle" Processes 11, no. 2: 357. https://doi.org/10.3390/pr11020357
APA StyleLiu, L., Zhang, S., Jiao, Y., Liu, X., Li, G., Liu, C., Li, Q., Guo, H., & He, C. (2023). Thermodynamic and Heat Transfer Performance of the Organic Triangle Cycle. Processes, 11(2), 357. https://doi.org/10.3390/pr11020357

