Chemical Behaviour of Copper in the Application of Unconstrained Cr-Ni-Al-Cu Metal Powders in Submerged Arc Welding: Gas Phase Thermodynamics and 3D Slag SEM Evidence
Abstract
:1. Introduction
2. Materials and Methods
2.1. Welding Tests
2.2. Thermochemical Calculations for Gas Phase Reactions
3. Results
3.1. Weld Metal Chemical Analyses
3.2. Mass Balance for Yield from Metal Powders
3.3. Quantification of the Exothermic Reactions with Aluminium
3.4. Chromium, Nickel and Copper Speciation and Distribution in the Slag
4. Discussion
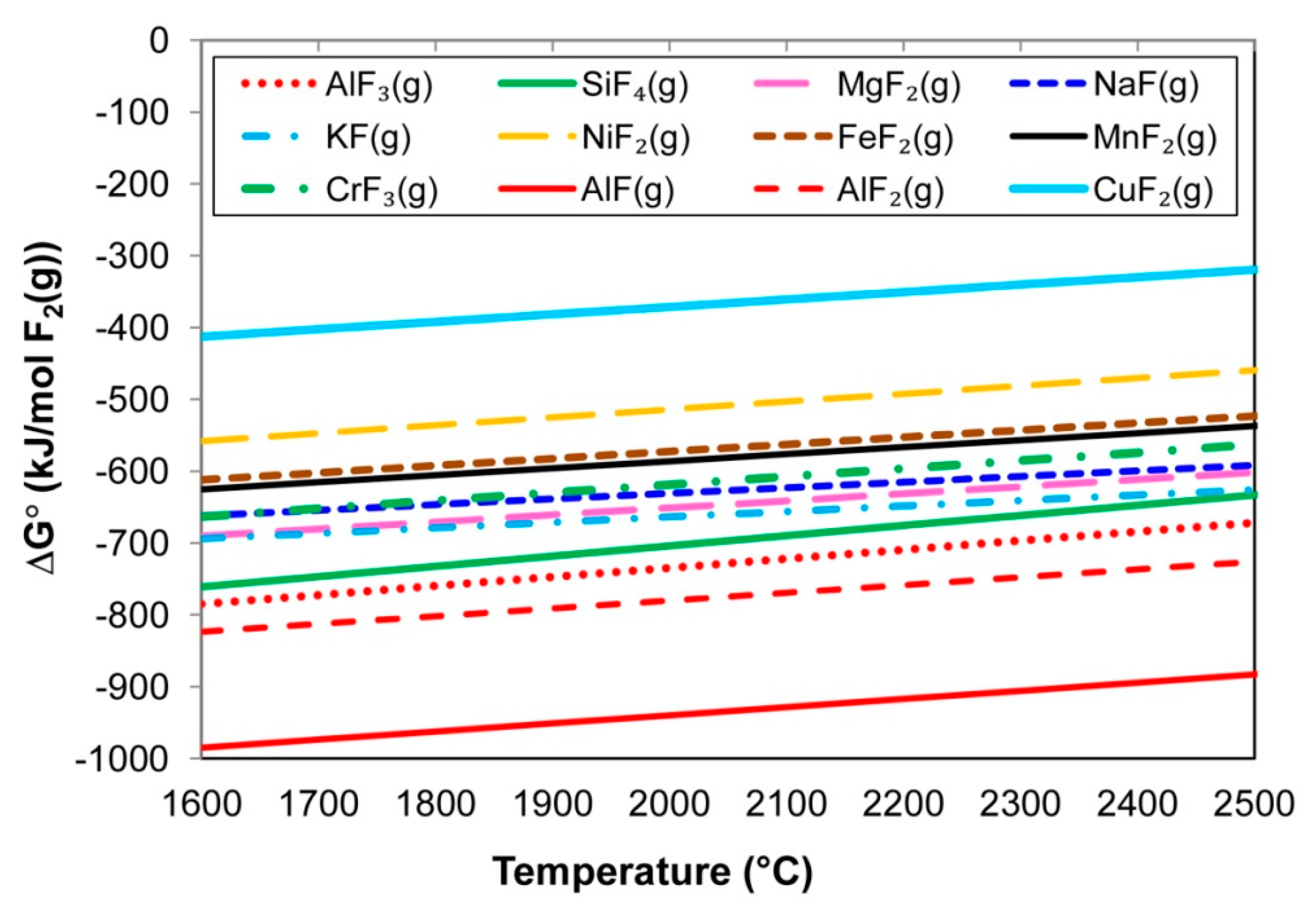
4.1. Thermochemical Equilibrium Calculations
4.2. SAW Reaction Flow Diagram with Al, Cr, Ni and Cu Metal Powder Additions

5. Conclusions
- Unconstrained metal powders of Al, Cr Ni and Cu were successfully applied in SAW to alloy carbon steel weld metal, whilst controlling the total weld metal ppm O at an acceptable level.
- The chemical behaviour of copper metal powder added in SAW is to vaporise as metallic copper and incorporate copper in the Al-Si-Mg-Ca-Mn-Fe-Cu-Na-Cr-Ni fluoride.
- Copper does not appear to substitute for aluminium in the gas phase, even though both elements have similar vapour pressures at specific temperatures.
- Copper, in combination with aluminium, has a stabiliser effect in SAW due to its formation of an initial alloy melt of low liquidus temperature, thus decreasing the temperature required to melt high-melting-point metals such as Cr into the weld pool.
- Nano-strands appear in domes of the 3D slag sample and indicate vaporisation and recondensation of oxy-fluoride.
- The application of unconstrained metal powders can improve the overall SAW process productivity because it removes the need for the manufacturing of alloyed wire and pre-alloyed powder. Manufacturing of these pre-alloyed wires and powders are expensive, time-consuming steps.
Author Contributions
Funding
Data Availability Statement
Conflicts of Interest
References
- Sengupta, V.; Havrylov, D.; Mendez, P.F. Physical phenomena in the weld zone of submerged arc welding—A Review. Weld. J. 2019, 98, 283–313. [Google Scholar]
- O’Brien, A. Welding Handbook—Materials and Applications, Part 1, 9th ed.; American Welding Society (AWS): Miami, FL, USA, 2011; Volume 4. [Google Scholar]
- Dallam, C.B.; Liu, S.; Olson, D.L. Flux composition dependence of microstructure and toughness of submerged arc HSLA weldments. Weld. J. 1985, 64, 140–152. [Google Scholar]
- Polar, A.; Indacochea, J.E.; Blander, M. Electrochemically generated oxygen contamination in submerged arc welding. Weld. J. 1990, 69, 68–74. [Google Scholar]
- Lau, T.; Weatherly, G.C.; Mc Lean, A. The sources of oxygen and nitrogen contamination in submerged arc welding using CaO-Al2O3 based fluxes. Weld. J. 1985, 64, 343–347. [Google Scholar]
- Eagar, T.W. Sources of weld metal oxygen contamination during submerged arc welding. Weld. J. 1978, 57, 76–80. [Google Scholar]
- Chai, C.S.; Eagar, T.W. Slag-metal equilibrium during submerged arc welding. Metall. Trans. B 1981, 12, 539–547. [Google Scholar] [CrossRef]
- Mitra, U.; Eagar, T.W. Slag-metal reactions during welding: Part I. Evaluation and reassessment of existing theories. Metall. Trans. B 1991, 22, 65–71. [Google Scholar] [CrossRef]
- Chai, C.S.; Eagar, T.W. Slag metal reactions in binary CaF2-metal oxide welding fluxes. Weld. J. 1982, 61, 229–232. [Google Scholar]
- Tuliani, S.S.; Boniszewski, T.; Eaton, N.F. Notch toughness of commercial submerged arc weld metal. Weld. Met. Fabr. 1969, 37, 327–339. [Google Scholar]
- Kohno, R.; Takamo, T.; Mori, N.; Nagano, K. New fluxes of improved weld metal toughness for HSLA steels. Weld. J. 1982, 61, 373–380. [Google Scholar]
- Gött, G.; Gericke, A.; Henkel, K.-M.; Uhrlandt, D. Optical and spectroscopic study of a submerged arc welding cavern. Weld. J. 2016, 95, 491–499. [Google Scholar]
- Sengupta, V.; Mendez, P.F. Effect of fluxes on metal transfer and arc length in SAW. Weld. J. 2017, 96, 334–353. [Google Scholar]
- Palm, J.H. How fluxes determine the metallurgical properties of Submerged Arc Welds. Weld. J. 1972, 51, 358–360. [Google Scholar]
- Paniagua-Mercado, A.M.; Lopez-Hirata, V.M.; Saucedo Munoz, M.L. Influence of the chemical composition of flux on the microstructure and tensile properties of submerged-arc welds. J. Mater. Proc. Technol. 2005, 169, 346–351. [Google Scholar] [CrossRef]
- Bang, K.; Park, C.; Jung, H.; Lee, J. Effects of flux composition on the element transfer and mechanical properties of weld metal in submerged arc welding. J. Met. Mater. Int. 2009, 15, 471–477. [Google Scholar] [CrossRef]
- Singh, B.; Khan, Z.A.; Siddiquee, A.N. Effect of flux composition on element transfer during Submerged Arc Welding (SAW): A literature review. Int. J. Curr. Res. 2013, 5, 4181–4186. [Google Scholar]
- O’Brien, A. Welding Handbook—Welding Processes, Part 1, 9th ed.; American Welding Society (AWS): Miami, FL, USA, 1994; Volume 2. [Google Scholar]
- Mitra, U.; Eagar, T.W. Slag metal reactions during submerged arc welding of alloy steels. Metall. Trans. B 1984, 15, 217–227. [Google Scholar] [CrossRef]
- Hallén, H.; Johansson, K.-E. Use of a Metal Powder for Surface Coating by Submerged Arc Welding. U.S. Patent 6331688 B1, 18 December 2001. [Google Scholar]
- Coetsee, T.; De Bruin, F. Aluminium Assisted Nickel Alloying in Submerged Arc Welding of Carbon Steel: Application of Unconstrained Metal Powders. Appl. Sci. 2022, 12, 5392. [Google Scholar] [CrossRef]
- Coetsee, T.; De Bruin, F. Modification of Flux Oxygen Behaviour via Co-Cr-Al Unconstrained Metal Powder Additions in Submerged Arc Welding: Gas Phase Thermodynamics and 3D Slag SEM Evidence. Processes 2022, 10, 2452. [Google Scholar] [CrossRef]
- Coetsee, T.; De Bruin, F.J. Improved titanium transfer in Submerged Arc Welding of carbon steel through aluminium addition. Miner. Process. Extr. Metall. Rev. 2021, 43, 771–774. [Google Scholar] [CrossRef]
- Coetsee, T.; De Bruin, F.J. Reactions at the molten flux-weld pool interface in submerged arc welding. High Temp. Mater. Processes. 2021, 40, 421–427. [Google Scholar] [CrossRef]
- Coetsee, T.; De Bruin, F. Application of Copper as Stabiliser in Aluminium Assisted Transfer of Titanium in Submerged Arc Welding of Carbon Steel. Processes 2021, 9, 1763. [Google Scholar] [CrossRef]
- Coetsee, T.; De Bruin, F. Chemical Interaction of Cr-Al-Cu Metal Powders in Aluminum-Assisted Transfer of Chromium in Submerged Arc Welding of Carbon Steel. Processes 2022, 10, 296. [Google Scholar] [CrossRef]
- Coetsee, T.; De Bruin, F. Aluminium-Assisted Alloying of Carbon Steel in Submerged Arc Welding: Application of Al-Cr-Ti-Cu Unconstrained Metal Powders. Processes 2022, 10, 452. [Google Scholar] [CrossRef]
- Coetsee, T.; De Bruin, F. Application of Unconstrained Cobalt and Aluminium Metal Powders in the Alloying of Carbon Steel in Submerged Arc Welding: Thermodynamic Analysis of Gas Reactions. Appl. Sci. 2022, 12, 8472. [Google Scholar] [CrossRef]
- Coetsee, T.; De Bruin, F. Aluminium-Assisted Alloying of Carbon Steel in Submerged Arc Welding with Al-Cr-Ni Unconstrained Metal Powders: Thermodynamic Interpretation of Gas Reactions. Processes 2022, 10, 2265. [Google Scholar] [CrossRef]
- Raabe, D.; Tasan, C.C.; Springer, H.; Bausch, M. From high-entropy alloys to high-entropy steels. Steel Res. Int. 2015, 86, 1127–1138. [Google Scholar] [CrossRef]
- Moon, J.; Ha, H.-Y.; Kim, K.-W.; Park, S.-J.; Lee, T.-H.; Kim, S.-D.; Jang, J.H.; Jo, H.-H.; Hong, H.-U.; Lee, B.H.; et al. A new class of lightweight, stainless steels with ultra-high strength and large ductility. Sci. Rep. 2020, 10, 12140. [Google Scholar] [CrossRef]
- De, S.K.; Srikanth, S.; Saxena, A.K.; Jha, B.K. Copper bearing steels from SAIL and its application. Int. J. Metall. Eng. 2016, 5, 1–8. [Google Scholar]
- Patel, D.; Soman, S.N. Develop a flux cored wire for submerged arc welding of Ni-Mo low alloy steel. Sadhana 2020, 45, 127. [Google Scholar] [CrossRef]
- Coetsee, T. Phase chemistry of Submerged Arc Welding (SAW) fluoride based slags. Mater. Res. Technol. 2020, 9, 9766–9776. [Google Scholar] [CrossRef]
- Coetsee, T.; Mostert, R.J.; Pistorius, P.G.H.; Pistorius, P.C. The effect of flux chemistry on element transfer in Submerged Arc Welding: Application of thermochemical modelling. Mater. Res. Technol. 2021, 11, 2021–2036. [Google Scholar] [CrossRef]
- Bale, C.W.; Bélisle, E.; Chartrand, P.; Decterov, S.; Eriksson, G.; Gheribi, A.E.; Hack, K.; Jung, I.-H.; Kang, Y.-B.; Melançon, J.; et al. Reprint of: FactSage thermochemical software and databases, 2010–2016. Calphad 2016, 55, 1–19. [Google Scholar] [CrossRef]
- Coetsee, T.; De Bruin, F. In Situ Modification of CaF2-SiO2-Al2O3-MgO Flux Applied in the Aluminium-Assisted Transfer of Titanium in the Submerged Arc Welding of Carbon Steel: Process Mineralogy and Thermochemical Analysis. Minerals 2022, 12, 604. [Google Scholar] [CrossRef]
- Coetsee, T.; De Bruin, F. Insight into the Chemical Behaviour of Chromium in CaF2-SiO2-Al2O3-MgO Flux Applied in Aluminium-Assisted Alloying of Carbon Steel in Submerged Arc Welding. Minerals 2022, 12, 1397. [Google Scholar] [CrossRef]
- Kluken, A.O.; Grong, Ø. Mechanisms of inclusion formation in Al-Ti-Si-Mn deoxidized steel weld metals. Metall. Trans. B 1989, 20, 1335–1349. [Google Scholar] [CrossRef]
- Lau, T.; Weatherly, G.C.; Mc Lean, A. Gas/Metal/Slag reactions in Submerged Arc Welding using CaO-Al2O3 based fluxes. Weld. J. 1986, 65, 31–38. [Google Scholar]
- Collur, M.M.; Paul, A.; Debroy, T. Mechanism of alloying element vaporization during laser welding. Metall. Trans. B 1987, 18, 733–740. [Google Scholar] [CrossRef]
- Mitra, U.; Eagar, T.W. Slag-metal reactions during welding: Part II. Theory. Metall. Trans. B 1991, 22, 73–81. [Google Scholar] [CrossRef]








| %C | %Si | %Mn | %O | %Al | %P | %S | %Ni | %Cr | %Cu | %Fe | |
|---|---|---|---|---|---|---|---|---|---|---|---|
| Base Case | 0.110 | 0.260 | 1.300 | 0.0499 | 0.032 | 0.022 | 0.011 | 0.005 | 0.110 | 0.110 | 98.03 |
| MP10 | 0.105 | 0.763 | 1.437 | 0.0184 | 3.597 | 0.024 | 0.009 | 5.277 | 5.290 | 5.153 | 78.24 |
| %Si | %Mn | %Al | %Ni | %Cr | %Cu | %Fe | |
|---|---|---|---|---|---|---|---|
| a | 0.84 | 1.44 | 3.21 | 4.83 | 4.99 | 4.52 | 80.2 |
| b | 0.82 | 1.50 | 3.30 | 4.89 | 4.96 | 4.68 | 79.8 |
| c | 0.84 | 1.45 | 3.29 | 5.02 | 4.96 | 4.78 | 79.7 |
| Al (g) | Cr (g) | Ni (g) | Cu (g) | Powder (g) | Wire (g) | Base Plate (g) | Weld Metal (g) | %DR(wire + MP) | %Al Yield | %Cr Yield | %Ni Yield | %Cu Yield | |
|---|---|---|---|---|---|---|---|---|---|---|---|---|---|
| MP10 | 3.8 | 5.7 | 5.6 | 5.5 | 20.7 | 49.3 | 37.0 | 107.0 | 65 | 54 | 80 | 81 | 79 |
| SiO2 (g) | MnO (g) | Al (g) | Reaction (2) (kJ) | Reaction (3) (kJ) | Reactions (2) & (3) (kJ) | Weld Metal ∆T (°C) | |
|---|---|---|---|---|---|---|---|
| MP10 | 1.41 | 0.37 | 0.94 | −2.57 | −0.87 | −3.44 | 70 |
| %F | %O | %Al | %Si | %Mg | %Ca | %Mn | %Fe | %Cu | %Na | %K | %Cr | %Ni | |
|---|---|---|---|---|---|---|---|---|---|---|---|---|---|
| Slag | 17.6 | 21.4 | 10.4 | 8.0 | 12.2 | 2.9 | 6.2 | 14.5 | 0.4 | 4.8 | 0.4 | 0.9 | 0.3 |
| %F | %O | %Al | %Si | %Mg | %Ca | %Mn | %Fe | %Cu | %Na | %K | %Cr | %Ni | |
|---|---|---|---|---|---|---|---|---|---|---|---|---|---|
| Slag | 26.5 | 0.0 | 0.5 | 3.3 | 0.9 | 0.1 | 12.9 | 40.1 | 1.3 | 11.2 | 0.0 | 2.4 | 0.8 |
| GramAl | %MgF2 | %MgF | %Mg | %AlF3 | %AlF2 | %AlF | %CaF2 | %NaF | %Na | %Mn | %CuF | %Cu | %Ni | %SiO | %Cr | %CrF3 |
|---|---|---|---|---|---|---|---|---|---|---|---|---|---|---|---|---|
| zero | 10 | 7 | 9 | 1 | 3 | 5 | 9 | 3 | 4 | 5 | <0.6 | 17 | 6 | 7 | 6 | 0.6 |
| 3.00 | 5 | 5 | 16 | <1 | 3 | 12 | 4 | 1 | 3 | 6 | <0.3 | 17 | 5 | 10 | 9 | <0.1 |
| 6.10 | 1 | 3 | 20 | <0.5 | 2 | 18 | 2 | <0.5 | 3 | 5 | <0.1 | 16 | 5 | 12 | 10 | <0.1 |
| Gram Al | Mass %Cr to Gas | Mass% Ni to Gas | Mass% Cu to Gas | Mass% Al to Gas | |
|---|---|---|---|---|---|
| zero | 13 | 12 | 39 | 0 | 1.4 × 10−6 |
| 3.00 | 29 | 17 | 65 | 56 | 3.1 × 10−7 |
| 6.10 | 43 | 21 | 79 | 50 | 9.6 × 10−8 |
Disclaimer/Publisher’s Note: The statements, opinions and data contained in all publications are solely those of the individual author(s) and contributor(s) and not of MDPI and/or the editor(s). MDPI and/or the editor(s) disclaim responsibility for any injury to people or property resulting from any ideas, methods, instructions or products referred to in the content. |
© 2023 by the authors. Licensee MDPI, Basel, Switzerland. This article is an open access article distributed under the terms and conditions of the Creative Commons Attribution (CC BY) license (https://creativecommons.org/licenses/by/4.0/).
Share and Cite
Coetsee, T.; De Bruin, F. Chemical Behaviour of Copper in the Application of Unconstrained Cr-Ni-Al-Cu Metal Powders in Submerged Arc Welding: Gas Phase Thermodynamics and 3D Slag SEM Evidence. Processes 2023, 11, 351. https://doi.org/10.3390/pr11020351
Coetsee T, De Bruin F. Chemical Behaviour of Copper in the Application of Unconstrained Cr-Ni-Al-Cu Metal Powders in Submerged Arc Welding: Gas Phase Thermodynamics and 3D Slag SEM Evidence. Processes. 2023; 11(2):351. https://doi.org/10.3390/pr11020351
Chicago/Turabian StyleCoetsee, Theresa, and Frederik De Bruin. 2023. "Chemical Behaviour of Copper in the Application of Unconstrained Cr-Ni-Al-Cu Metal Powders in Submerged Arc Welding: Gas Phase Thermodynamics and 3D Slag SEM Evidence" Processes 11, no. 2: 351. https://doi.org/10.3390/pr11020351
APA StyleCoetsee, T., & De Bruin, F. (2023). Chemical Behaviour of Copper in the Application of Unconstrained Cr-Ni-Al-Cu Metal Powders in Submerged Arc Welding: Gas Phase Thermodynamics and 3D Slag SEM Evidence. Processes, 11(2), 351. https://doi.org/10.3390/pr11020351
