Industrial Process Control Using DPCA and Hierarchical Pareto Optimization
Abstract
:1. Introduction
2. Materials and Methods
2.1. Multivariate Statistical Process Control (MSPC)
2.2. Pareto Optimization of Industrial Processes
- –
- Maximization of the criteria vector:
- –
- Constraints in the form of inequalities: ;
- –
- Constraints in the form of equalities: ;
- –
- Accounting for boundaries: ; ; .
2.3. Linear Dynamic PCA
3. Results
3.1. Multivariate Statistical Model
- –
- Maximize the vector of criteria:
- –
- Consider the restrictions imposed on the principal components of the production process parameters: .
| Algorithm 1: Description | |
| 1. | Reading historical data X; |
| 2. | Median filtering; |
| 3. | Removal of single anomalous measurements and packages of highly correlated anomalous measurements; |
| 4. | Formation of multiple criteria; |
| 5. | Formation of an extended matrix of control parameters; |
| 6. | Calculation of DPCA parameters |
| 7. | Construction of a neural network model of the controlled system ; |
| 8. | Initializing a random population by generating data using ANN(); |
| 9. | Assignment of rank using the method of determining the depth of dominance and assessing diversity using the average distance characterizing the proximity to neighboring solutions; |
| 10. | execute loop for generating new data using the neural network |
| 11. | —select individuals using depth of dominance and proximity distance. |
| 12. | crossover and evaluation of target indicators. |
| 13. | Saving the corresponding —principal components of control parameters. |
| 14. | —add a new population to the data. |
| 15. | fitness —rank assignment based on depth of dominance and diversity. |
| 16. | select individuals of a new generation. |
| 17. | ; move to the next data (10); |
| 18. | |
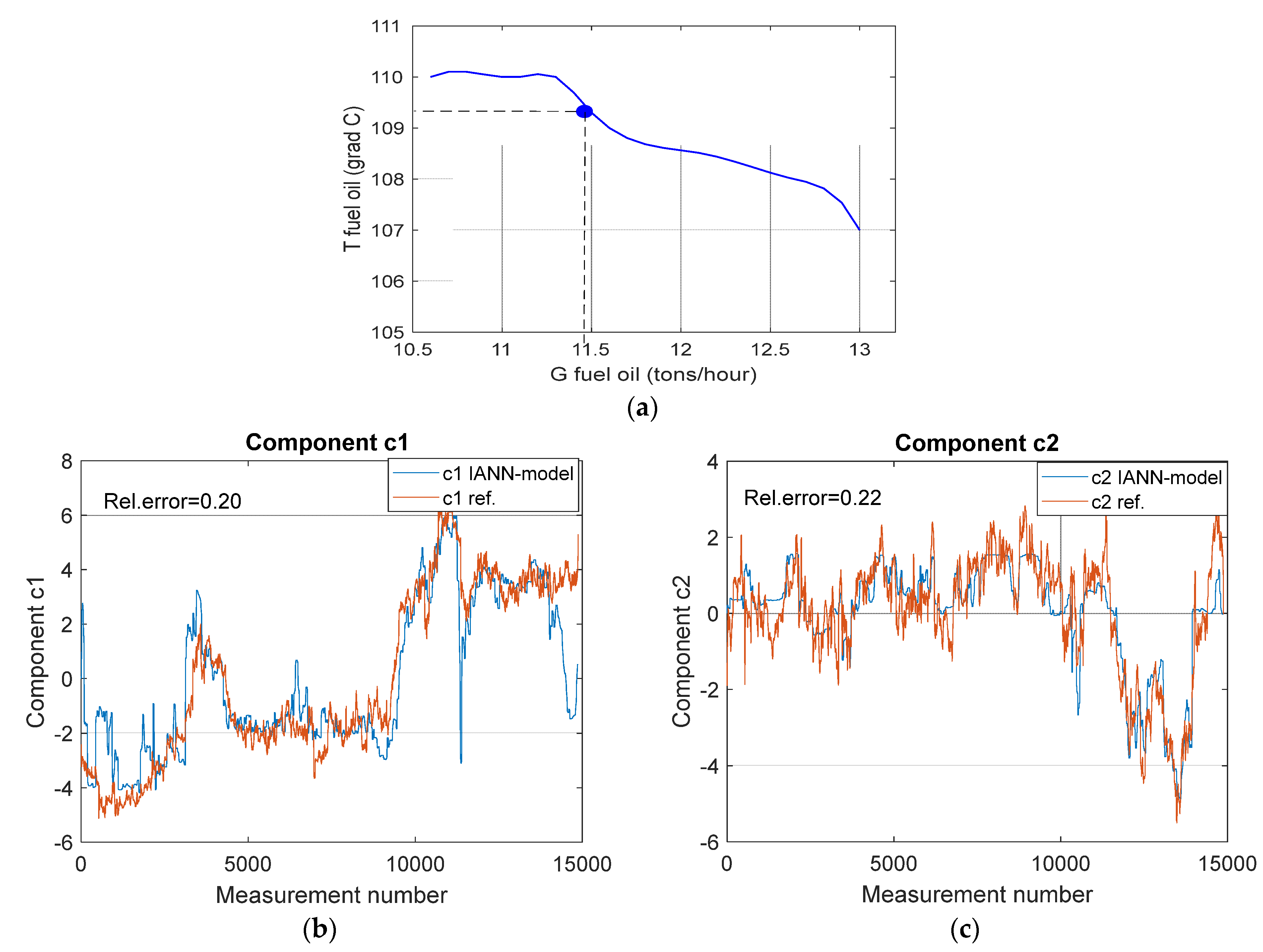
3.2. Determination of Optimal Control Actions
- Formation of a set of values of criteria on the Pareto front;
- Extraction of information about the corresponding principal components of control parameters using
- Training of a neural network that maps optimal values on the Pareto front into the space of principal components of control parameters;
- Restoration of control parameter values from DPCA.
3.3. Hierarchical Optimization
4. Discussion
5. Conclusions
Author Contributions
Funding
Data Availability Statement
Acknowledgments
Conflicts of Interest
References
- Zhu, Z.; Yang, Y.; Wang, D.; Tian, X.; Chen, L.; Sun, X.; Cai, Y. Deep multi-layer perceptron-based evolutionary algorithm for dynamic multiobjective optimization. Complex. Intell. Syst. 2022, 8, 5249–5264. [Google Scholar] [CrossRef]
- Jin, Y.; Sendhoff, B. Pareto-Based Multiobjective Machine Learning: An Overview and Case Studies. IEEE Trans. Syst. Man. Cybern.–Part. C Appl. Rev. 2008, 38, 397–415. [Google Scholar]
- Rai, R.; Sahu, C.K. Driven by Data or Derived Through Physics. A Review of Hybrid Physics Guided Machine Learning Techniques With Cyber-Physical System (CPS) Focus. IEEE Access 2020, 8, 71050–71073. [Google Scholar] [CrossRef]
- Suzuki, N.; Okamoto, T.; Koakutsu, S. A Pareto Optimal Solution Visualization Method Using an Improved Growing Hierarchical Self-Organizing Maps Based on the Batch Learning. J. Adv. Comput. Intell. Intell. Inform. 2016, 20, 691–703. [Google Scholar] [CrossRef]
- Axell, K.B.; Umnov, E.A.; Umnov, A.E. Optimization of the shape of the Pareto set in multicriterial programming problems. Math. Proc. Mipt 2017, 9, 4. [Google Scholar]
- Nasiri, M.M.; Khaleghi, A.; Govindan, K.; Bozorgi-Amiri, A. Sustainable hierarchical multi-modal hub network design problem: Bi-objective formulations and solution algorithms. Oper. Res. Int. J. 2023, 23, 35. [Google Scholar] [CrossRef]
- Voronin, A.N.; Savchenko, A.S. A Systematic Approach to Multiobjective Optimization. Cybern. Syst. Anal. 2020, 56, 1000–1011. [Google Scholar] [CrossRef]
- Zhang, F.; Zhang, Y.; Xue, Y. Design and Application of Hierarchical Multi-objective Predictive Control for Continuous Flow Stirred Tank Reactor. Int. J. Control Autom. Syst. 2022, 20, 1500–1508. [Google Scholar] [CrossRef]
- Gebken, B.; Peitz, S.; Dellnitz, M. On the hierarchical structure of Pareto critical sets. J. Glob. Optim. 2019, 73, 891–913. [Google Scholar] [CrossRef]
- Berkooz, G.; Holmes, P.; Lumley, J.L. The proper orthogonal decomposition in the analysis of turbulent flows. Annu. Rev. Inc. Wayback Mach. Annu. Rev. Fluid. Mech. 1993, 25, 539–575. [Google Scholar] [CrossRef]
- Tu, C.; D’Odorico, P.; Suweis, S. Dimensionality reduction of complex dynamical systems. Sci. Direct 2021, 24, 22. [Google Scholar] [CrossRef]
- Shang, L.; Yan, Z.; Qiu, A.; Li, F.; Zhou, X. Efficient recursive kernel principal component analysis for nonlinear time-varying processes monitoring. In Proceedings of the 2019 Chinese Control And Decision Conference (CCDC), Nanchang, China, 3–5 June 2019; pp. 3057–3062. [Google Scholar] [CrossRef]
- Gorgoglione, A.; Castro, A.; Iacobellis, V.; Gioia, A. A Comparison of Linear and Non-Linear Machine Learning Techniques (PCA and SOM) for Characterizing Urban Nutrient Runoff. Sustainability 2021, 13, 2054. [Google Scholar] [CrossRef]
- Cerda-Flores, S.C.; Rojas-Punzo, A.A.; Nápoles-Rivera, F. Applications of Multi-Objective Optimization to Industrial Processes: A Literature Review. Processes 2022, 10, 133. [Google Scholar] [CrossRef]
- Biegel, T.; Helm, P.; Jourdan, N.; Metternich, J. SSMSPC: Self-supervised multivariate statistical in-process control in discrete manufacturing processes. J. Intell. Manuf. 2023. [Google Scholar] [CrossRef]
- Deb, K.; Pratap, A.; Agarwal, S.; Meyarivan, T. A fast and elitist multi-objective genetic algorithm: NSGA-II. IEEE Trans. Evol. Comput. 2002, 6, 182–197. [Google Scholar] [CrossRef]
- Asilian Bidgoli, A.; Rahnamayan, S.; Erdem, B.; Erdem, Z.; Ibrahim, A.; Deb, K.; Grami, A. Machine learning-based framework to cover optimal Pareto-front in many-objective optimization. Complex Intell. Syst. 2022, 8, 5287–5308. [Google Scholar] [CrossRef]
- Kulkarni, A.; Kohns, M.; Bortz, M.; Küfer, K.H.; Hasse, H. Regularities of Pareto sets in low-dimensional practical multi-criteria optimisation problems: Analysis, explanation, and exploitation. Optim. Eng. 2023, 24, 1611–1632. [Google Scholar] [CrossRef]
- Rato, T.J.; Reis, M.S. Defining the structure of DPCA models and its impact on process monitoring and prediction activities. Chemom. Intell. Lab. Syst. 2013, 125, 74–86. [Google Scholar] [CrossRef]
- Box, G.E.P.; Jenkins, G.M. Time Series Analysis: Forecasting and Control, Revised Edition; Holden Day: San Francisco, CA, USA, 1976. [Google Scholar]
- Liu, C.; Bai, J.; Wu, F. Fault Diagnosis Using Dynamic Principal Component Analysis and GA Feature Selection Modeling for Industrial Processes. Processes 2022, 10, 2570. [Google Scholar] [CrossRef]
- Pilario, K.E.; Shafiee, M.; Cao, Y.; Lao, L.; Yang, S.H. A Review of Kernel Methods for Feature Extraction in Nonlinear Process Monitoring. Processes 2020, 8, 24. [Google Scholar] [CrossRef]
- Cao, H.; Wang, G.; Sun, J. DcPCA: A Deep Learning Model for Contrastive Analytics of Nonlinear Data. In Proceedings of the 2022 China Automation Congress (CAC), Xiamen, China, 25–27 November 2022; pp. 6915–6919. [Google Scholar] [CrossRef]
- Billard, L.; Douzal-Chouakria, A.; Samadi, S.Y. Exploring Dynamic Structures in Matrix-Valued Time Series via Principal Component Analysis. Axioms 2023, 12, 570. [Google Scholar] [CrossRef]
- Zhu, L.; Li, H.; Feng, Y. Research on big data mining based on improved parallel collaborative filtering algorithm. Cluster Comput. 2019, 22 (Suppl. 2), 3595–3604. [Google Scholar] [CrossRef]
- Pinto, T.; Rocha, T.; Reis, A.; Vale, Z. Clustering-Based Filtering of Big Data to Improve Forecasting Effectiveness and Efficiency. In Multimedia Communications, Services and Security. MCSS 2022. Communications in Computer and Information Science; Dziech, A., Mees, W., Niemiec, M., Eds.; Springer: Cham, Switzerland, 2022; Volume 1689. [Google Scholar] [CrossRef]
- Furht, B.; Villanustre, F. Introduction to Big Data. In Big Data Technologies and Applications; Springer: Cham, Switzerland, 2016. [Google Scholar] [CrossRef]
- Meguetta, Z.E.; Conrard, B.; Bayart, M. Multi-criteria design optimization of control system instrumentation using Principal Component Analysis (PCA) and structural modeling approaches. Int. J. Eng. Adv. Technol. 2014, 4, hal-01413045. [Google Scholar]
- Esmaeilzadeh, A.; Deal, B.; Yousefi-Koma, A.; Zakerzadeh, M.R. How Multi-Criterion Optimized Control Methods Improve Effectiveness of Multi-Zone Building Heating System Upgrading. Energies 2022, 15, 8675. [Google Scholar] [CrossRef]
- Ebrahimi, M.; Ahmadi, M.A.; Khalife, E. Multi-criteria evaluation, and dynamic modeling of combining thermal photovoltaic and thermoelectric generators to extend electricity generation at night. J. Clean. Prod. 2022, 344, 131107. [Google Scholar] [CrossRef]
- Oluyisola, O.E.; Bhalla, S.; Sgarbossa, F.; Strandhagen, J.O. Designing and developing smart production planning and control systems in the industry 4.0 era: A methodology and case study. J. Intell. Manuf. 2022, 33, 311–332. [Google Scholar] [CrossRef]
- Shkodyrev, V.P.; Khokhlovskiy, V.; Oleinikov, V. Building a Digital Twin for Local Heating Housing Services. In Cyber-Physical Systems and Control II. CPS&C 2021. Lecture Notes in Networks and Systems; Arseniev, D.G., Aouf, N., Eds.; Springer: Cham, Switzerland, 2023; Volume 460. [Google Scholar] [CrossRef]
- Graef, J.R.; Tunç, C.; Tunç, O. Stability of time-delay systems via the Razumikhin method. Bol. Soc. Mat. Mex. 2022, 28, 26. [Google Scholar] [CrossRef]








Disclaimer/Publisher’s Note: The statements, opinions and data contained in all publications are solely those of the individual author(s) and contributor(s) and not of MDPI and/or the editor(s). MDPI and/or the editor(s) disclaim responsibility for any injury to people or property resulting from any ideas, methods, instructions or products referred to in the content. |
© 2023 by the authors. Licensee MDPI, Basel, Switzerland. This article is an open access article distributed under the terms and conditions of the Creative Commons Attribution (CC BY) license (https://creativecommons.org/licenses/by/4.0/).
Share and Cite
Arsenyev, D.; Malykhina, G.; Shkodyrev, V. Industrial Process Control Using DPCA and Hierarchical Pareto Optimization. Processes 2023, 11, 3329. https://doi.org/10.3390/pr11123329
Arsenyev D, Malykhina G, Shkodyrev V. Industrial Process Control Using DPCA and Hierarchical Pareto Optimization. Processes. 2023; 11(12):3329. https://doi.org/10.3390/pr11123329
Chicago/Turabian StyleArsenyev, Dmitriy, Galina Malykhina, and Viacheslav Shkodyrev. 2023. "Industrial Process Control Using DPCA and Hierarchical Pareto Optimization" Processes 11, no. 12: 3329. https://doi.org/10.3390/pr11123329
APA StyleArsenyev, D., Malykhina, G., & Shkodyrev, V. (2023). Industrial Process Control Using DPCA and Hierarchical Pareto Optimization. Processes, 11(12), 3329. https://doi.org/10.3390/pr11123329
