Research on the Performance of a Centrifugal Aviation Fuel Pump Based on Response Surface Methodology
Abstract
:1. Introduction
2. Numerical Calculation Method
2.1. Governing Equations
2.2. Cavitation Model
2.3. Pressure Fluctuation Monitoring Points
2.4. Grid Division
2.5. Boundary and Interface Conditions
2.6. Experimental Validation
3. Experimental Design and Analysis
3.1. Response Surface Methodology
3.2. Results Analysis of Response Surface Methodology
3.3. Algorithmic Optimization
4. Analysis of Internal Flow Field Characteristics in Fuel Pumps
4.1. Distribution of Impeller Pressure and Cavitation
4.2. Distribution of Streamline in the Impeller
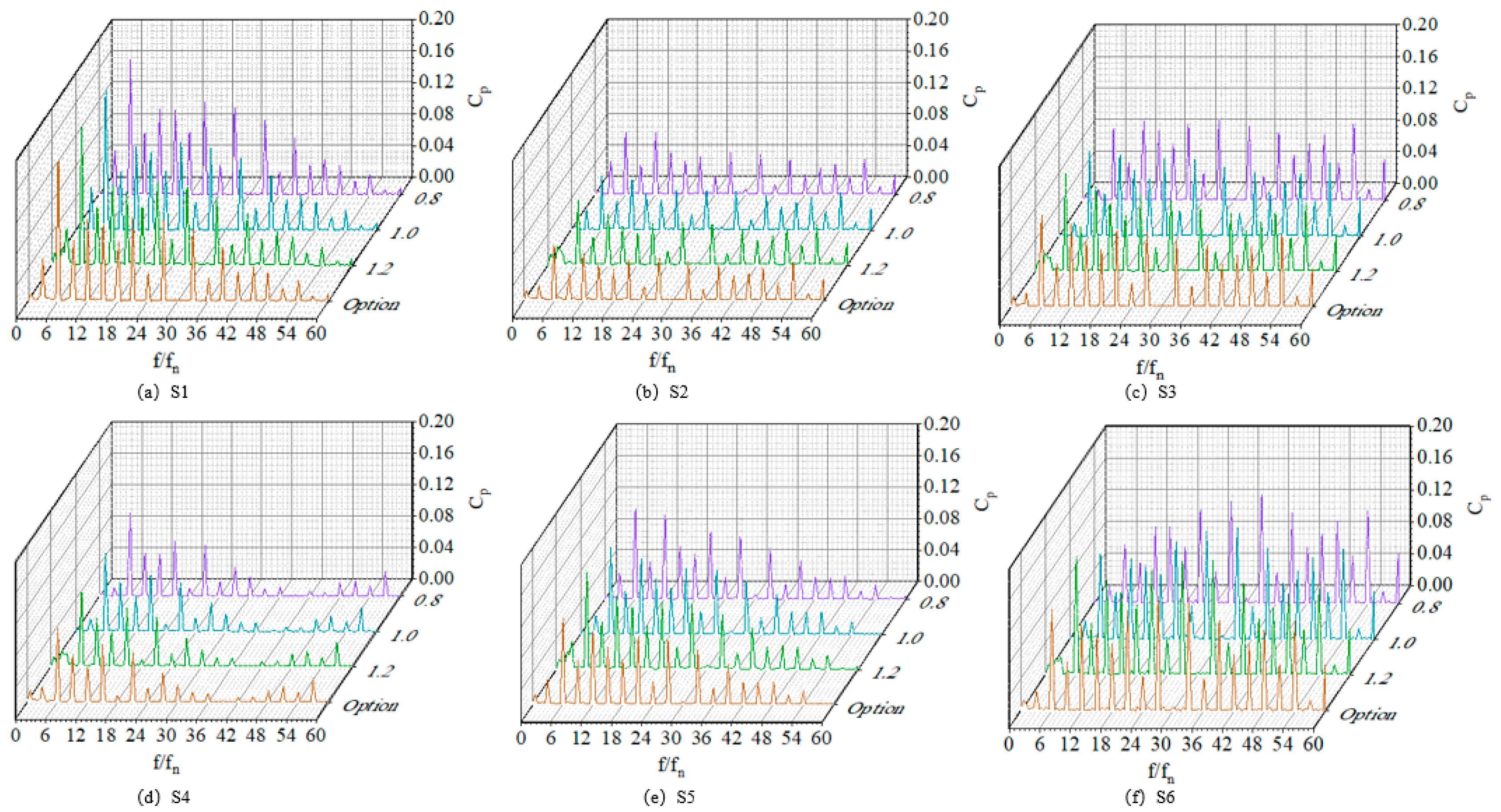
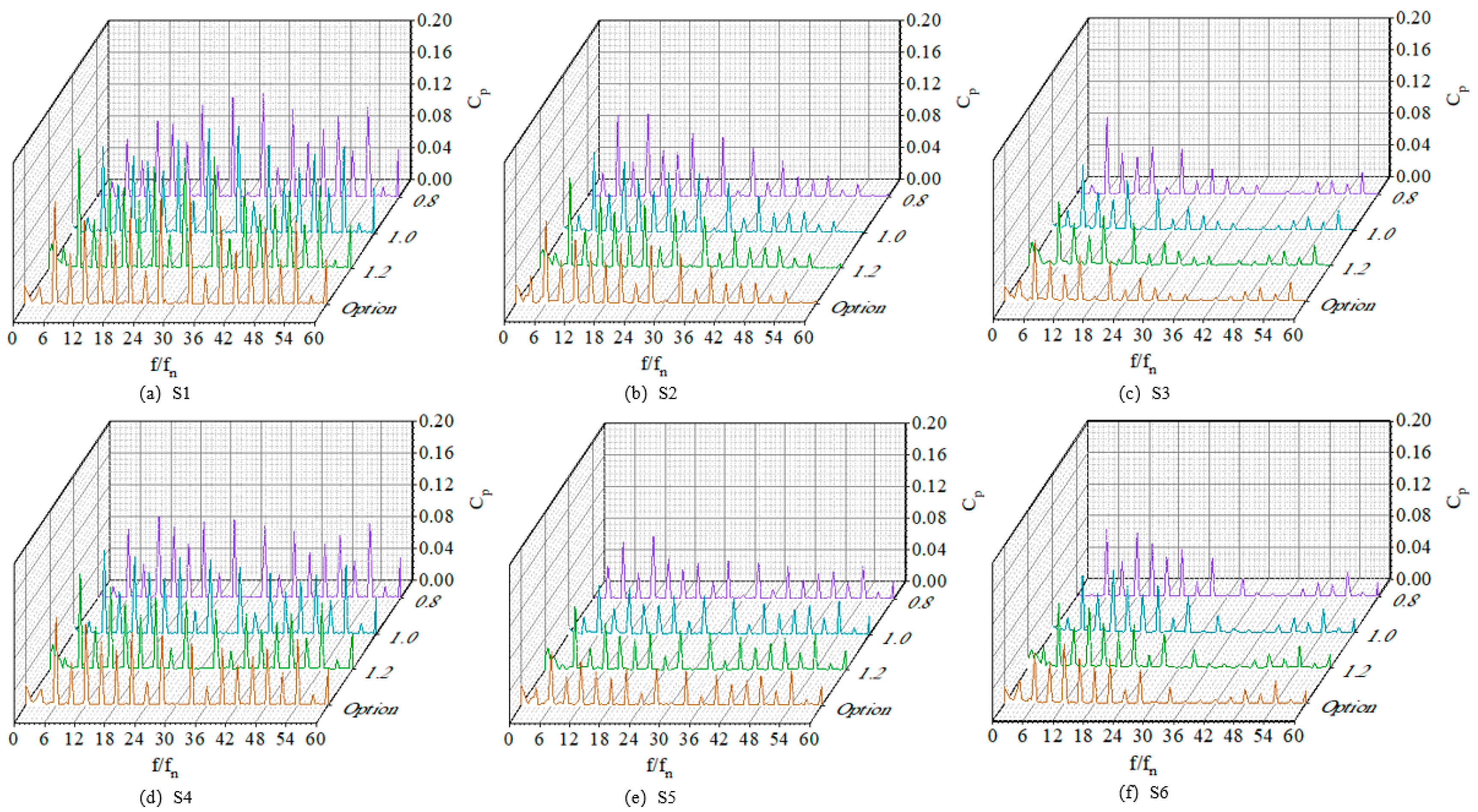
4.3. Analysis of Pressure Pulsation
5. Conclusions
- (1)
- The establishment of a nuanced relationship between flight altitude, flow rate, head, and efficiency. This led to the identification of optimal operating points at flight altitudes of 10,000 m and 12,000 m as 1.1016 Q and 1.1222 Q, respectively.
- (2)
- At a given flight altitude, increasing the flow rate witnessed a reduction in the impeller’s boosting ability but a surge in efficiency. The enlargement of the cavitation region, predominantly localized to the impeller’s low-pressure inlet, was noteworthy. The distribution of the streamline became conspicuously uniform.
- (3)
- The rotor–stator interaction emerged as a significant determinant of pressure fluctuations. While the dominant pressure pulsation frequency near the impeller’s inlet is characterized by 3 fn, it shifts to 6 fn closer to the impeller’s exit, where pressure fluctuations become more pronounced.
Author Contributions
Funding
Data Availability Statement
Conflicts of Interest
References
- Li, Z.; Li, W.; Wang, Q.; Xiang, R.; Cheng, J.; Han, W.; Yan, Z. Effects of medium fluid cavitation on fluctuation characteristics of magnetic fluid seal interface in agricultural centrifugal pump. Int. J. Agric. Biol. Eng. 2021, 14, 85–92. [Google Scholar] [CrossRef]
- Xiong, Y.; Liu, Y.; Li, S.; Chen, T.; Wang, G. Cavitation Characteristics Within Aviation Fuel Pumps Using Alternative Fuels. J. Aviat. Power 2015, 30, 2607–2615. [Google Scholar]
- Wang, Q.; Li, Z.; Wang, W.; Wang, X. Impact of Cavitation on the Performance of Splitter-Bladed Aviation Fuel Pumps. Therm. Power Eng. 2021, 36, 21–29. [Google Scholar]
- Luo, D.; Wang, W.; Zhao, X.; Tan, X.; Wu, D. Cavitation Characteristics Analysis of Centrifugal Aviation Fuel Pumps with Inducers. Fan Technol. 2022, 64, 22–27. [Google Scholar]
- Wang, W.; Li, T. Optimal Design of Centrifugal Aviation Fuel Pumps Based on Splitter Blade Technology. J. Wuhan Univ. Eng. Ed. 2021, 54, 557–562. [Google Scholar]
- Xu, L.; Chen, E.; Li, G.; Yang, A.; Zhao, G. Transient Cavitation Flow and Pressure Fluctuation Characteristics of Two-Stage Centrifugal Pumps. J. Eng. Thermophys. 2016, 37, 2355–2361. [Google Scholar]
- Meng, L.; He, M.; Zhou, L.; Yang, J.; Wang, Z.; Bryan, K. Influence of impeller-tongue interaction on the unsteady cavitation behavior in a centrifugal pump. Eng. Comput. 2016, 33, 171–183. [Google Scholar] [CrossRef]
- Bachert, R.; Stoffel, B.; Dular, M. Unsteady Cavitation at the Tongue of the Volute of a Centrifugal Pump. J. Fluids Eng. 2010, 132, 6. [Google Scholar] [CrossRef]
- Yuan, Z.; Zhang, Y.; Zhang, J.; Zhu, J. Experimental studies of unsteady cavitation at the tongue of a pump-turbine in pump mode. Renew. Energy 2021, 177, 1265–1281. [Google Scholar] [CrossRef]
- Arrojo, S.; Benito, Y. A theoretical study of hydrodynamic cavitation. Ultrason. Sonochemistry 2008, 15, 203–211. [Google Scholar] [CrossRef]
- Shiels, S. Centrifugal pump academy: Causes of intermittent and chronic cavitation. World Pumps 1998, 380, 57–60. [Google Scholar] [CrossRef]
- Zhang, X.; Liao, J.; Zhang, W. Analysis of Unsteady Cavitation Characteristics in Splitter-Bladed Centrifugal Pumps Under Various Conditions. Hydropower 2017, 43, 84–87. [Google Scholar]
- Guo, R.; Li, R.; Zhang, R.; Han, W. Numerical Study of the Unsteady Flow Characteristics of a Jet Centrifugal Pump under Multiple Conditions. Processes 2019, 7, 786. [Google Scholar] [CrossRef]
- Hu, Z.; Wang, J.; Zhu, B.; Liu, X. Effects of Impeller Perforation on Cavitation Performance in Centrifugal Pumps. Therm. Power Eng. 2018, 33, 44–51. [Google Scholar]
- Wu, D.; Wu, Z.; Zhou, P.; Mou, J.; Gu, Y.; Chen, Y. Transient Cavitation Characteristics Analysis of Low Specific Speed Centrifugal Pump Impellers. J. Hydropower 2018, 37, 96–105. [Google Scholar]
- Kelecy, F.J. Numerical prediction of cavitation in a centrifugal pump. ONET-CFD Netw. Newsl. 2003, 2, 14–16. [Google Scholar]
- Medvitz, R.B.; Kunz, R.F.; Boger, D.A.; Lindau, J.W.; Yocum, A.M.; Pauley, L.L. Performance analysis of cavitating flow incentrifugal pumps using multiphase CFD. J. Fluids Eng. 2002, 124, 377–383. [Google Scholar] [CrossRef]
- Issa, C.; Hatem, K.; Sami, E.; Mohsen, A.; Ridha, Z. Numerical Modeling of the Flow Inside a Centrifugal Pump: Influence of Impeller–Volute Interaction on Velocity and Pressure Fields. Arab. J. Sci. Eng. 2016, 41, 4463–4476. [Google Scholar]
- Xiong, Y. Analysis and Optimization of Cavitation Performance in Aviation Fuel Pumps. Master’s Thesis, Beijing Institute of Technology, Beijing, China, 2016. [Google Scholar]
- Wu, G.; Yang, J.; An, C. Study on the Performance Impact of Inducers on Aviation Fuel Centrifugal Pumps. J. Gansu Sci. 2017, 29, 73–76. [Google Scholar]
- Li, J.; Li, H.; Fu, J.; Wang, S. Numerical Simulation of Internal Flow Field in an Integrated Aviation Fuel Centrifugal Pump. J. Northwest. Polytech. Univ. 2015, 33, 278–283. [Google Scholar]
- Liu, H.; Liu, D.; Wang, Y.; Wu, X.; Zhuang, S. Evaluation of Three Cavitation Models in Centrifugal Pump Flow Calculations. J. Agric. Eng. 2012, 28, 54–59. [Google Scholar]
- Yang, M.; Sun, X.; Gao, B.; Shao, T. Numerical Analysis of Internal Unsteady Cavitation Flow Characteristics in Centrifugal Pumps. J. Jiangsu Univ. Nat. Sci. Ed. 2012, 33, 408–413. [Google Scholar]
- Jablonská, J.; Milada, K.; Sylva, D.; Tomáš, B. Effect of Cavitating Hydraulic Elements on Pump Characteristics. Processes 2023, 11, 2592. [Google Scholar] [CrossRef]
- Li, W.; Li, Z.; Qin, Z.; Yan, S.; Wang, Z.; Peng, S. Influence of the solution pH on the design of a hydro-mechanical magneto-hydraulic sealing device. Eng. Fail. Anal. 2022, 135, 106091. [Google Scholar] [CrossRef]
- Li, W.; Li, Z.; Han, W.; Li, Y.; Yan, S.; Zhao, Q.; Chen, F. Measured viscosity characteristics of Fe3O4 ferrofluid in magnetic and thermal fields. Phys. Fluids 2023, 35, 1. [Google Scholar] [CrossRef]
- Li, W.; Li, Z.; Han, W.; Li, Y.; Yan, S.; Zhao, Q.; Gu, Z. Pumping-velocity variation mechanisms of a ferrofluid micropump and structural optimization for reflow inhibition. Phys. Fluids 2023, 35, 5. [Google Scholar]
- Li, R.; Yuan, W.; Xu, J.; Wang, L.; Chi, F.; Wang, Y.; Liu, S.; Lin, J.; Zhang, Q.; Chen, L. Study of the Optimization of Rail Pressure Characteristics in the High-Pressure Common Rail Injection System for Diesel Engines Based on the Response Surface Methodology. Processes 2023, 11, 2626. [Google Scholar] [CrossRef]


















| Parameter | Value | 
|---|---|
| Flow rate (Q) | 10,400 L/h | 
| Rotational speed (n) | 7800 r/min | 
| Head (H) | 30 m | 
| Impeller external diameter (D2) | 60 mm | 
| Number of blades (Z) | 6 | 
| Height | Inlet Pressure | Flow Rate | Head (Prediction) | Head (Simulation) | Efficiency (Prediction) | Efficiency (Simulation) | 
|---|---|---|---|---|---|---|
| 10,000 m | 22,615 Pa | 1.1016 Q | 30.733 m | 30.252 m | 59.111% | 60.923% | 
| 12,000 m | 19,314 Pa | 1.1222 Q | 30.545 m | 30.185 m | 61.276% | 61.156% | 
| Height | Flow Rate | Head (Simulation) | Efficiency (Simulation) | 
|---|---|---|---|
| 10,000 m | 0.8 Q | 31.664 m | 53.144% | 
| 1.0 Q | 31.689 m | 57.267% | |
| 1.2 Q | 29.463 m | 62.824% | |
| 12,000 m | 0.8 Q | 32.274 m | 51.629% | 
| 1.0 Q | 31.357 m | 58.801% | |
| 1.2 Q | 29.550 m | 65.848% | 
| Disclaimer/Publisher’s Note: The statements, opinions and data contained in all publications are solely those of the individual author(s) and contributor(s) and not of MDPI and/or the editor(s). MDPI and/or the editor(s) disclaim responsibility for any injury to people or property resulting from any ideas, methods, instructions or products referred to in the content. | 
© 2023 by the authors. Licensee MDPI, Basel, Switzerland. This article is an open access article distributed under the terms and conditions of the Creative Commons Attribution (CC BY) license (https://creativecommons.org/licenses/by/4.0/).
Share and Cite
Zhou, J.; He, D.; Zhang, R.; Zhao, W. Research on the Performance of a Centrifugal Aviation Fuel Pump Based on Response Surface Methodology. Processes 2023, 11, 3055. https://doi.org/10.3390/pr11113055
Zhou J, He D, Zhang R, Zhao W. Research on the Performance of a Centrifugal Aviation Fuel Pump Based on Response Surface Methodology. Processes. 2023; 11(11):3055. https://doi.org/10.3390/pr11113055
Chicago/Turabian StyleZhou, Jianbo, Dongjing He, Rui Zhang, and Weidong Zhao. 2023. "Research on the Performance of a Centrifugal Aviation Fuel Pump Based on Response Surface Methodology" Processes 11, no. 11: 3055. https://doi.org/10.3390/pr11113055
APA StyleZhou, J., He, D., Zhang, R., & Zhao, W. (2023). Research on the Performance of a Centrifugal Aviation Fuel Pump Based on Response Surface Methodology. Processes, 11(11), 3055. https://doi.org/10.3390/pr11113055
 
        


 
       