Intelligent and Small Samples Gear Fault Detection Based on Wavelet Analysis and Improved CNN
Abstract
:1. Introduction
2. Key Theories and Techniques
2.1. Wavelet Decomposition
2.2. Markov Transition Field
2.3. Improved Convolution Neural Network
2.3.1. Improvement of Network Structure
2.3.2. Adjust Network Parameters
2.3.3. Optimize Network Weights
3. Fault Diagnosis Method of Gear
3.1. Training Convolution Neural Network
- Wavelet decomposition: Initially, the original signal undergoes wavelet decomposition;
- Markov transformation: The decomposed signal is then transformed into a 2D image signal via the utilization of a Markov matrix;
- Image transformation: A plethora of new images is generated by applying various operations, such as folding and rotation, to the 2D image signals;
- Make a type label: Type labels are assigned with 70% of the data allocated for training purposes and the remaining 30% reserved for validation;
- Training convolution neural network: Labeled data are subsequently fed into the neural network, culminating in the creation of a model with heightened accuracy.
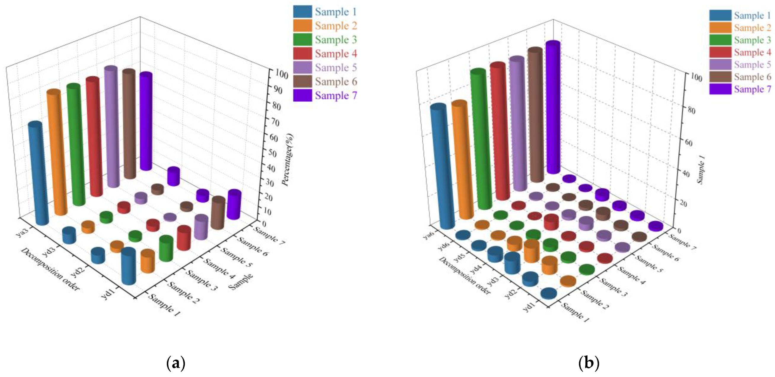
3.2. Weight Allocation Mechanism Based on Wavelet Energy Ratio
4. Experimental Process and Analysis
4.1. Prepare Experimental Data
4.2. Training the CNN
4.3. Validation of the Test Dataset
4.4. Comparative Experiments
4.5. Analysis of Experimental Results
5. Conclusions
Author Contributions
Funding
Data Availability Statement
Conflicts of Interest
References
- Wu, Z.H.; Yan, H.; Zhan, X.B.; Wen, L.; Jia, X.S. Gearbox Fault Diagnosis Based on Optimized Stacked Denoising Auto Encoder and Kernel Extreme Learning Machine. Processes 2023, 11, 1936. [Google Scholar] [CrossRef]
- Lin, M.C.; Han, P.Y.; Fan, Y.H.; Li, C.H.G. Development of Compound Fault Diagnosis System for Gearbox Based on Convolutional Neural Network. Sensors 2020, 20, 6169. [Google Scholar] [CrossRef]
- He, H.T.; Zhao, S.F.; Guo, W.; Wang, Y.; Xing, Z.Z.; Wang, P.F. Multi-fault recognition of gear based on wavelet image fusion and deep neural network. AIP Adv. 2021, 11, 125025. [Google Scholar] [CrossRef]
- Li, Y.; Cheng, G.; Pang, Y.S.; Kuai, M. Planetary Gear Fault Diagnosis via Feature Image Extraction Based on Multi Central Frequencies and Vibration Signal Frequency Spectrum. Sensors 2018, 18, 1735. [Google Scholar] [CrossRef]
- Jin, S.F.; Fan, D.; Malekian, R.; Duan, Z.H.; Li, Z.X. An image recognition method for gear fault diagnosis in the manufacturing line of short filament fibres. Insight 2018, 60, 270–275. [Google Scholar] [CrossRef]
- Li, L.S.; Wang, W.F.; Cai, A.M.; Li, H.; Zhang, L.W.; Liu, P.C. Mechanical Fault Diagnosis Technology of Wind Turbine Transmission System Based on Image Features. Mob. Inf. Syst. 2022, 2022, 5344652. [Google Scholar] [CrossRef]
- Tang, X.L.; Xu, Y.D.; Sun, X.Q.; Liu, Y.F.; Jia, Y.; Gu, F.S.; Ball, A.D. Intelligent fault diagnosis of helical gearboxes with compressive sensing based non-contact measurements. ISA Trans. 2023, 133, 559–574. [Google Scholar] [CrossRef] [PubMed]
- Liang, B.; Feng, W.W. Bearing Fault Diagnosis Based on ICEEMDAN Deep Learning Network. Processes 2023, 11, 2440. [Google Scholar] [CrossRef]
- Wang, P.; Fan, E.; Wang, P. Comparative analysis of image classification algorithms based on traditional machine learning and deep learning. Pattern Recognit. Lett. 2021, 141, 61–67. [Google Scholar] [CrossRef]
- Jia, P.P.; Wang, C.G.; Zhou, F.N.; Hu, X. Trend Feature Consistency Guided Deep Learning Method for Minor Fault Diagnosis. Entropy 2023, 25, 242. [Google Scholar] [CrossRef]
- Wang, H.T.; Guo, Y.F.; Liu, X.; Yang, J.; Zhang, X.H.; Shi, L.C. Fault Diagnosis Method for Imbalanced Data of Rotating Machinery Based on Time Domain Signal Prediction and SC-ResNeSt. IEEE Access 2023, 11, 38875–38893. [Google Scholar] [CrossRef]
- Chen, W.X.; Sun, K.C.; Li, X.X.; Xiao, Y.A.; Xiang, J.S.; Mao, H.L. Adaptive Multi-Channel Residual Shrinkage Networks for the Diagnosis of Multi-Fault Gearbox. Appl. Sci. 2023, 13, 1714. [Google Scholar] [CrossRef]
- Su, H.; Xiang, L.; Hu, A.J.; Xu, Y.G.; Yang, X. A novel method based on meta-learning for bearing fault diagnosis with small sample learning under different working conditions. Mech. Syst. Signal Proc. 2022, 169, 108765. [Google Scholar] [CrossRef]
- Chen, F.F.; Liu, L.L.; Tang, B.P.; Chen, B.J.; Xiao, W.R.; Zhang, F.J. A novel fusion approach of deep convolution neural network with auto-encoder and its application in planetary gearbox fault diagnosis. Proc. Inst. Mech. Eng. Part O-J. Risk Reliab. 2021, 235, 3–16. [Google Scholar] [CrossRef]
- Huang, M.; Yin, J.H.; Yan, S.M.; Xue, P.C. A fault diagnosis method of bearings based on deep transfer learning. Simul. Model. Pract. Theory 2023, 122, 102659. [Google Scholar] [CrossRef]
- Li, H.; Lv, Y.; Yuan, R.; Dang, Z.; Cai, Z.X.; An, B.N. Fault diagnosis of planetary gears based on intrinsic feature extraction and deep transfer learning. Meas. Sci. Technol. 2023, 34, 014009. [Google Scholar] [CrossRef]
- Krizhevsky, A.; Sutskever, I.; Hinton, G.E. ImageNet Classification with Deep Convolutional Neural Networks. Commun. ACM 2017, 60, 84–90. [Google Scholar] [CrossRef]
- Huang, S.Q.; Zheng, J.D.; Pan, H.Y.; Tong, J.Y. Order-statistic filtering Fourier decomposition and its application to rolling bearing fault diagnosis. J. Vib. Control 2022, 28, 1605–1620. [Google Scholar] [CrossRef]
- Duris, V.; Chumarov, S.G.; Mikheev, G.M.; Mikheev, K.G.; Semenov, V.I. The Orthogonal Wavelets in the Frequency Domain Used for the Images Filtering. IEEE Access 2020, 8, 211125–211134. [Google Scholar] [CrossRef]
- Cai, J.H.; Li, X.Q. Gear fault diagnosis based on time-frequency domain de-noising using the generalized S transform. J. Vib. Control 2018, 24, 3338–3347. [Google Scholar] [CrossRef]
- Ravikumar, K.N.; Madhusudana, C.K.; Kumar, H.; Gangadharan, K.V. Classification of gear faults in internal combustion (IC) engine gearbox using discrete wavelet transform features and K star algorithm. Eng. Sci. Technol. 2022, 30, 101048. [Google Scholar] [CrossRef]
- Lee, S.; Lee, T.; Kim, J.; Lee, J.; Ryu, K.; Kim, Y.; Park, J.W. A Study on the Application of Discrete Wavelet Decomposition for Fault Diagnosis on a Ship Oil Purifier. Processes 2022, 10, 1468. [Google Scholar] [CrossRef]
- Chen, C.M.; Li, J.Z.; Li, S.Z. Mechanical Fault Diagnosis Based on Relative Wavelet Energy. Agro Food Ind. Hi-Tech 2017, 28, 711–715. [Google Scholar]
- Ma, J.; Jiao, L. Fault Diagnosis of Planetary Gear Based on FRWT and 2D-CNN. Math. Probl. Eng. 2022, 2022, 4648653. [Google Scholar] [CrossRef]
- Wang, M.J.; Wang, W.J.; Zhang, X.N.; Iu, H.H.C. A New Fault Diagnosis of Rolling Bearing Based on Markov Transition Field and CNN. Entropy 2022, 24, 751. [Google Scholar] [CrossRef]
- Lei, C.L.; Xue, L.L.; Jiao, M.X.; Zhang, H.Q.; Shi, J.S. Rolling bearing fault diagnosis by Markov transition field and multi-dimension convolutional neural network. Meas. Sci. Technol. 2022, 33, 114009. [Google Scholar] [CrossRef]
- Li, Y.B.; Gu, J.X.; Zhen, D.; Xu, M.Q.; Ball, A. An Evaluation of Gearbox Condition Monitoring Using Infrared Thermal Images Applied with Convolutional Neural Networks. Sensors 2019, 19, 2205. [Google Scholar] [CrossRef]
- Yang, Z.J.; Lei, W.; Li, L.; Li, S.M.; Guo, S.S.; Wang, S.Q. Bactran: A Hardware Batch Normalization Implementation for CNN Training Engine. IEEE Embed. Syst. Lett. 2021, 13, 29–32. [Google Scholar]
- Wang, S.H.; Chen, Y. Fruit category classification via an eight-layer convolutional neural network with parametric rectified linear unit and dropout technique. Multimed. Tools Appl. 2020, 79, 15117–15133. [Google Scholar] [CrossRef]
- Jia, L.J.; Li, W.J.; Qiao, J.F. An online adjusting RBF neural network for nonlinear system modeling. Appl. Intell. 2023, 53, 440–453. [Google Scholar] [CrossRef]
- Boob, D.; Dey, S.S.; Lan, G.H. Complexity of training ReLU neural network. Discret. Optim. 2022, 44, 100620. [Google Scholar] [CrossRef]
- Kong, F.Z. Facial expression recognition method based on deep convolutional neural network combined with improved LBP features. Pers. Ubiquitous Comput. 2019, 23, 531–539. [Google Scholar] [CrossRef]
- Li, L.; Doroslovacki, M.; Loew, M.H. Approximating the Gradient of Cross-Entropy Loss Function. IEEE Access 2020, 8, 111626–111635. [Google Scholar] [CrossRef]













| Dataset Type | Number of Signal Types | Number of Files | Data Points of a Single File |
|---|---|---|---|
| Training set | 5 | 1 | 48 |
| Test set | 5 | 48 | 48 |
| Chipped | Health | Miss | Root | Surface |
|---|---|---|---|---|
| 0.000099 | −0.006351 | 0.00932 | 0.002831 | −0.007212 |
| −0.000266 | 0.021203 | −0.016575 | 0.003266 | −0.003612 |
| −0.00581 | −0.003597 | 0.010294 | 0.0001 | 0.000646 |
| 0.005527 | 0.005256 | 0.00652 | 0.005203 | 0.00577 |
| −0.000249 | 0.018343 | −0.00011 | 0.008528 | −0.003577 |
| −0.004404 | 0.004193 | 0.001225 | 0.008875 | 0.013957 |
| 0.019515 | 0.001658 | −0.000241 | −0.009279 | 0.0024 |
| −0.014083 | 0.005246 | −0.000982 | 0.001366 | −0.010189 |
| 0.013143 | −0.006969 | −0.005016 | 0.004518 | −0.001748 |
| 0.016012 | 0.015746 | 0.015688 | −0.00917 | 0.005802 |
| −0.026476 | 0.004352 | 0.000128 | 0.024582 | 0.005599 |
| 0.023174 | −0.013174 | −0.00914 | 0.019507 | −0.008323 |
| Fault Categories | Category Labels |
|---|---|
| chipped | 0 |
| health | 1 |
| missing | 2 |
| root | 3 |
| surface | 4 |
| Decomposition Level | Network Accuracy | True/Total | Total Accuracy | |||||
|---|---|---|---|---|---|---|---|---|
| Chipped | Health | Miss | Root | Surface | Total | |||
| 3 | 94.70% | 37/48 | 45/48 | 41/48 | 40/48 | 42/48 | 205/240 | 85.42% |
| 4 | 97.00% | 36/48 | 46/48 | 46/48 | 43/48 | 37/48 | 208/240 | 86.67% |
| 5 | 87.20% | 39/48 | 43/48 | 45/48 | 42/48 | 43/48 | 212/240 | 88.33% |
| 6 | 89.20% | 35/48 | 45/48 | 43/48 | 46/48 | 40/48 | 209/240 | 87.08% |
| Methods | Accuracy | Training Time (s) | Classification Time (s) |
|---|---|---|---|
| This method | 88.83% | 342.03 | 20.12 |
| DBN | 81.31% | 398.34 | 24.71 |
| SVM | 82.45% | 311.3 | 25.98 |
| ANN | 60.27% | 401.23 | 19.73 |
Disclaimer/Publisher’s Note: The statements, opinions and data contained in all publications are solely those of the individual author(s) and contributor(s) and not of MDPI and/or the editor(s). MDPI and/or the editor(s) disclaim responsibility for any injury to people or property resulting from any ideas, methods, instructions or products referred to in the content. |
© 2023 by the authors. Licensee MDPI, Basel, Switzerland. This article is an open access article distributed under the terms and conditions of the Creative Commons Attribution (CC BY) license (https://creativecommons.org/licenses/by/4.0/).
Share and Cite
Hu, P.; Zhao, C.; Huang, J.; Song, T. Intelligent and Small Samples Gear Fault Detection Based on Wavelet Analysis and Improved CNN. Processes 2023, 11, 2969. https://doi.org/10.3390/pr11102969
Hu P, Zhao C, Huang J, Song T. Intelligent and Small Samples Gear Fault Detection Based on Wavelet Analysis and Improved CNN. Processes. 2023; 11(10):2969. https://doi.org/10.3390/pr11102969
Chicago/Turabian StyleHu, Pan, Cunsheng Zhao, Jicheng Huang, and Tingxin Song. 2023. "Intelligent and Small Samples Gear Fault Detection Based on Wavelet Analysis and Improved CNN" Processes 11, no. 10: 2969. https://doi.org/10.3390/pr11102969
APA StyleHu, P., Zhao, C., Huang, J., & Song, T. (2023). Intelligent and Small Samples Gear Fault Detection Based on Wavelet Analysis and Improved CNN. Processes, 11(10), 2969. https://doi.org/10.3390/pr11102969
