Quantitative Characterization of Shale Pores and Microfractures Based on NMR T2 Analysis: A Case Study of the Lower Silurian Longmaxi Formation in Southeast Sichuan Basin, China
Abstract
:1. Introduction
2. Materials and Methods
2.1. Shale Samples
2.2. Principle and Measurements of NMR
2.3. Other Analyses
3. Results
3.1. Characteristics of Shale Samples
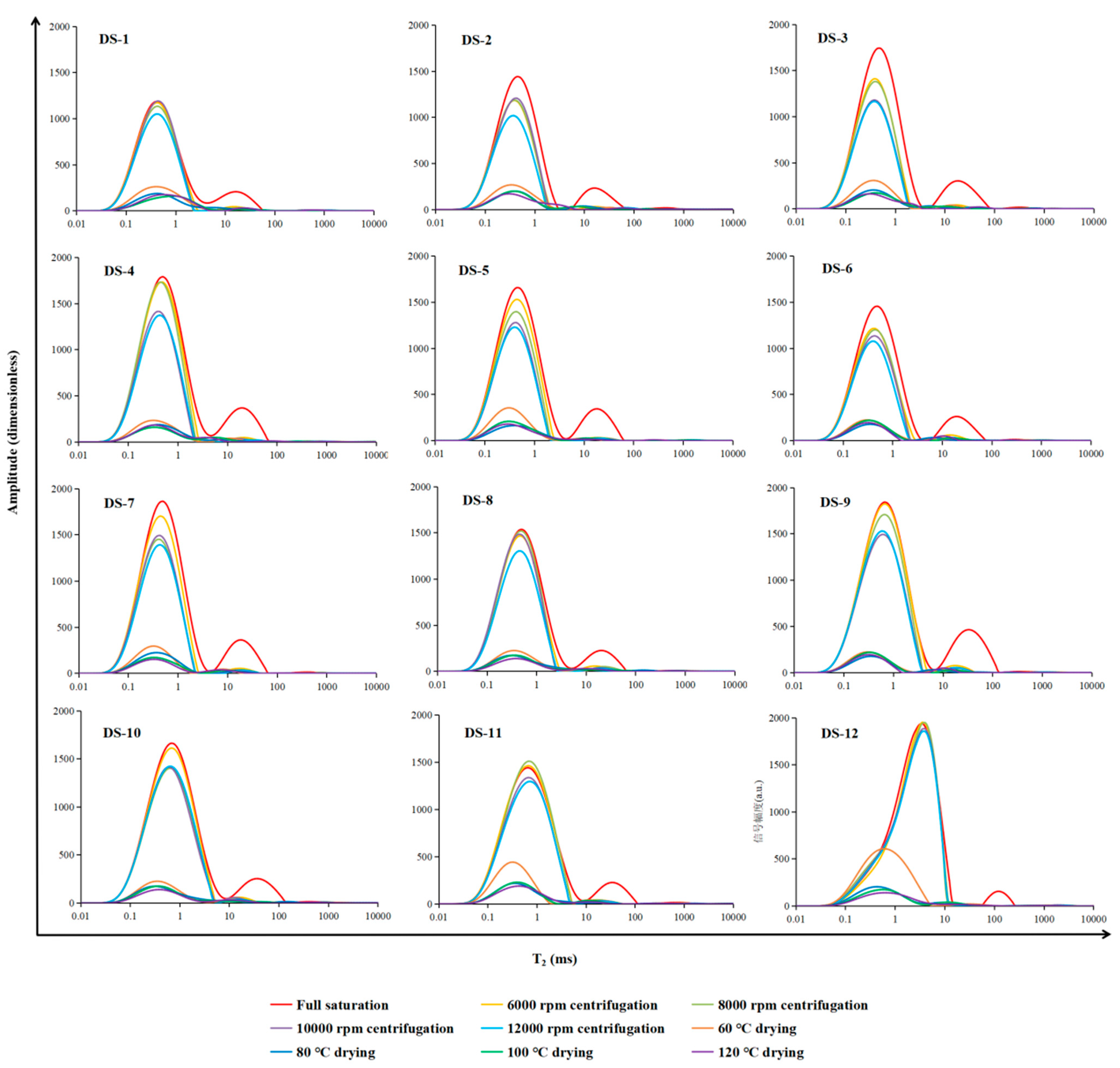
3.2. NMR Measurements
3.3. FE-SEM Observations
4. Discussion
4.1. Fluid Type Classification and T2 Cutoff Values
4.2. Full-Scale PSD of Shale
4.3. Types and Quantification of Pores and Microfractures
4.4. Difference between NMR Porosity and He Porosity
5. Conclusions
Author Contributions
Funding
Institutional Review Board Statement
Informed Consent Statement
Data Availability Statement
Conflicts of Interest
References
- Ma, Y.S.; Cai, X.Y.; Zhao, P.R. China’s shale gas exploration and development: Understanding and practice. Pet. Explor. Dev. 2018, 45, 589–603. [Google Scholar] [CrossRef]
- Jarvie, D.M.; Hill, R.J.; Ruble, T.E.; Pollastro, R.M. Unconventional shale-gas systems: The Mississippian Barnett Shale of north-central Texas as one model for thermogenic shale-gas assessment. AAPG Bull. 2007, 91, 475–499. [Google Scholar] [CrossRef]
- Loucks, R.G.; Reed, R.M.; Ruppel, S.C.; Jarvie, D.M. Morphology, genesis, and distribution of nanometer-scale pores in siliceous mudstones of the Mississippian Barnett Shale. J. Sediment. Res. 2009, 79, 848–861. [Google Scholar] [CrossRef]
- Loucks, R.G.; Reed, R.M.; Ruppel, S.C.; Hammes, U. Spectrum of pore types and networks in mudrocks and a descriptive classification for matrix-related mudrock pores. AAPG Bull. 2012, 96, 1071–1098. [Google Scholar] [CrossRef]
- Slatt, R.M.; O’Brien, N.R. Pore types in the Barnett and Woodford gas shales: Contribution to understanding gas storage and migration pathways in fine-grained rocks. AAPG Bull. 2011, 95, 2017–2030. [Google Scholar] [CrossRef]
- Yang, R.; He, S.; Yi, J.Z.; Hu, Q.H. Nano-scale pore structure and fractal dimension of organic-rich Wufeng-Longmaxi shale from Jiaoshiba area, Sichuan Basin: Investigations using FE-SEM, gas adsorption and helium pycnometry. Mar. Pet. Geol. 2016, 70, 27–45. [Google Scholar] [CrossRef]
- Li, Z.; Lei, Z.; Shen, W.; Martyushev, D.A.; Hu, X. A Comprehensive Review of the Oil Flow Mechanism and Numerical Simulations in Shale Oil Reservoirs. Energies 2023, 16, 3516. [Google Scholar] [CrossRef]
- Maex, K.; Baklanov, M.R. Porous low dielectric constant materials for microelectronics. J. Appl. Phys. 2003, 93, 8793–8841. [Google Scholar] [CrossRef]
- Jop, K.; Guillaume, D.; Janos, L.U.; Ralf, L. BIB-SEM study of the pore space morphology in early mature Posidonia Shale from the Hils area. Ger. Int. J. Coal Geol. 2012, 103, 12–25. [Google Scholar]
- Martyushev, D.A.; Ponomareva, I.N.; Chukhlov, A.S.; Davoodi, S.; Osovetsky, B.M.; Kazymov, K.P.; Yang, Y. Study of void space structure and its influence on carbonate reservoir properties: X-ray microtomography, electron microscopy, and well testing. Mar. Pet. Geol. 2023, 151, 106192. [Google Scholar] [CrossRef]
- Yang, F.; Ning, Z.F.; Hu, C.P.; Wang, B.; Peng, K.; Liu, H.Q. Characterization of microscopic pore structures in shale reservoirs. Acta Pet. Sin. 2013, 34, 301–311. (In Chinese) [Google Scholar]
- Tian, H.; Pan, L.; Xiao, X.M.; Wilkins, R.W.T.; Meng, Z.P.; Huang, B.J. A preliminary study on the pore characterization of Lower Silurian black shales in the Chuandong Thrust Fold Belt, southwestern China using low pressure N2 adsorption and FE-SEM methods. Mar. Pet. Geol. 2013, 48, 8–19. [Google Scholar] [CrossRef]
- Xi, Z.D.; Tang, S.H.; Wang, J.; Yang, G.Q.; Li, L. Formation and development of pore structure in marine-continental transitional shale from northern China across a maturation gradient: Insights from gas adsorption and mercury intrusion. Int. J. Coal Geol. 2018, 200, 87–102. [Google Scholar] [CrossRef]
- Yao, Y.B.; Liu, D.M.; Cai, Y.D.; Li, J.Q. Advanced characterization of pores and fractures in coals by nuclear magnetic resonance and X-ray computed tomography. Sci. China Earth Sci. 2010, 53, 854–862. [Google Scholar] [CrossRef]
- Sigal, R.F. Pore-Size Distributions for Organic-Shale-Reservoir Rocks from Nuclear-Magnetic-Resonance Spectra Combined with Adsorption Measurements. SPE J. 2015, 20, 824–830. [Google Scholar] [CrossRef]
- Li, A.; Ding, W.L.; Wang, R.R.; He, J.H.; Wang, X.H.; Sun, Y.X.; Gu, Y.; Jiao, N.L. Petrophysical characterization of shale reservoir based on nuclear magnetic resonance (NMR) experiment: A case study of Lower Cambrian Qiongzhusi Formation in eastern Yunnan Province, South China. J. Nat. Gas Sci. Eng. 2017, 37, 29–38. [Google Scholar] [CrossRef]
- Zhao, P.Q.; Wang, L.; Xu, C.H.; Fu, J.H.; Shi, Y.J.; Mao, Z.Q.; Xiao, D.S. Nuclear magnetic resonance surface relaxivity and its advanced application in calculating pore size distributions. Mar. Pet. Geol. 2020, 111, 66–74. [Google Scholar] [CrossRef]
- Fu, Y.H.; Jiang, Y.Q.; Dong, D.Z.; Hu, Q.H.; Lei, Z.A.; Peng, H.; Gu, Y.F.; Ma, S.G.; Wang, Z.M.; Yin, X.P.; et al. Microscopic pore-fracture configuration and gas-filled mechanism of shale reservoirs in the western Chongqing area, Sichuan Basin, China. Pet. Explor. Dev. 2021, 48, 1063–1076. [Google Scholar] [CrossRef]
- Yao, Y.B.; Liu, D.M.; Che, Y.; Tang, D.Z.; Tang, S.H.; Huang, W.H. Petrophysical characterization of coals by low-field nuclear magnetic resonance (NMR). Fuel. 2010, 89, 1371–1380. [Google Scholar] [CrossRef]
- Wang, Z.Z.; Qin, L.M.; Lu, H.S.; Li, X.; Du, H.F.; Gai, S.S.; Niu, Q.; Yang, P.Q. Two dimentional NMR analysis and evaluation of oil or gas shale. In Proceedings of the SPE 176184, SPE/IATMI Asia Pacific Oil & Gas Conference and Exhibition, Bali, Indonesia, 20–22 October 2015. [Google Scholar]
- Zeng, Y.J.; Pang, Y.; Ding, S.D.; Di, K.X.; Shen, Z.Q.; Chen, S.N. Pore-fracture network alteration during forced and spontaneous imbibition processes in shale formation. J. Pet. Sci. Eng. 2022, 209, 109846. [Google Scholar] [CrossRef]
- Xu, M.; Dehghanpour, H. Advances in understanding wettability of gas shales. Energy Fuels 2014, 28, 4362–4375. [Google Scholar] [CrossRef]
- Gannaway, G. NMR investigation of pore structure in gas shales. In Proceedings of the SPE 173474, SPE Annual Technical Conference and Exhibition, Amsterdam, The Netherlands, 27–29 October 2014. [Google Scholar]
- Jiang, Y.Q.; Liu, X.W.; Fu, Y.H.; Chen, H.; Zhang, H.J.; Yan, J.; Chen, C.; Gu, Y.F. Evaluation of effective porosity in marine shale reservoir, western Chongqing. Acta Pet. Sin. 2019, 40, 1233–1243. (In Chinese) [Google Scholar]
- Livo, K.; Saidian, M.; Prasad, M. Effect of paramagnetic mineral content and distribution on nuclear magnetic resonance surface relaxivity in organic-rich Niobrara and Haynesville shales. Fuel 2020, 269, 117417. [Google Scholar] [CrossRef]
- Liu, Y.; Yao, Y.B.; Liu, D.M.; Zheng, S.J.; Sun, G.X.; Chang, Y.H. Shale pore size classification: An NMR fluid typing method. Mar. Pet. Geol. 2018, 96, 591–601. [Google Scholar] [CrossRef]
- Straley, C.; Rossini, D.; Vinegar, H.; Tutunjian, P.; Morriss, C. Core analysis by low field NMR. Log. Anal. 1997, 38, 84–93. [Google Scholar]
- Coates, G.R.; Xiao, L.Z.; Prammer, M.G. NMR Logging Principles and Applications; Gulf Publishing Company: Houston, TX, USA, 1999. [Google Scholar]
- Tinni, A.; Odusina, E.; Sulucarnain, I.; Sondergeld, C.R. NMR response of brine, oil and methane in organic rich shales. In Proceedings of the SPE 168971, SPE Unconventional Resources Conference, The Woodlands, TX, USA, 1–3 April 2014. [Google Scholar]
- Wei, X.F.; Liu, Z.J.; Wang, Q.; Wei, F.B.; Yuan, T. Analysis and thinking of the difference of Wufeng-Longmaxi shale gas enrichment conditions between Dingshan and Jiaoshiba areas in southeastern Sichuan Basin. Nat. Gas Geosci. 2020, 31, 1041–1051. (In Chinese) [Google Scholar]
- Lu, L.F.; Qin, J.Z.; Shen, B.J.; Tenger Liu, W.X.; Zhang, Q.Z. The origin of biogenic silica in siliceous shale from Wufeng-Longmaxi Formation in the Middle and Upper Yangtze region and its relationship with shale gas enrichment. Earth Sci. Front. 2018, 25, 226–236. (In Chinese) [Google Scholar]
- Curtis, J.B. Fractured shale-gas system. AAPG Bull. 2002, 86, 1921–1938. [Google Scholar]
- Testamanti, M.N.; Rezaee, R. Determination of NMR T2 cut-off for clay bound water in shales: A case study of Carynginia Formation, Perth Basin, Western Australia. J. Pet. Sci. Eng. 2017, 149, 497–503. [Google Scholar] [CrossRef]
- Wang, W.M.; Ye, C.H.; Guo, H.K. Experimental studies of NMR properties of continental sedimentary rocks. Chin. J. Magn. Reson. 2001, 18, 113–121. (In Chinese) [Google Scholar]
- Ding, W.L.; Fan, T.L.; Yu, B.S.; Huang, X.B.; Liu, C. Ordovician carbonate reservoir fracture characteristics and fracture distribution forecasting in the Tazhong Area of Tarim Basin, Northwest China. J. Pet. Sci. Eng. 2012, 86–87, 62–70. [Google Scholar] [CrossRef]
- Sondergeld, C.H.; Ambrose, R.J.; Rai, C.S.; Moncrieff, J. Micro-structural studies of gas shales. In Proceedings of the SPE 131771, SPE Unconventional Gas Conference, Pittsburgh, PA, USA, 23–25 February 2010. [Google Scholar]
- Tiab, D.; Donaldson, E.C. Petrophysics: Theory and Practice of Measuring Reservoir Rock and Fluid Transport Properties; Gulf Professional Publishing: Houston, TX, USA, 2012. [Google Scholar]
- Karimi, S.; Kazemi, H. Capillary pressure measurement using reservoir fluids in a Middle Bakken Core. In Proceedings of the SPE 174065, SPE Western Regional Meeting, Garden Grove, CA, USA, 27–30 April 2015. [Google Scholar]
- Li, L.; Sheng, G.; Su, Y. Water-Gas Two-Phase Flow Behavior of Multi-Fractured Horizontal Wells in Shale Gas Reservoirs. Processes 2019, 7, 664. [Google Scholar] [CrossRef]
- Roshan, H.; Ehsani, S.; Marjo, C.E.; Andersen, M.S.; Acworth, R.I. Mechanisms of water adsorption into partially saturated fractured shales: An experimental study. Fuel 2015, 159, 628–637. [Google Scholar] [CrossRef]
- Xue, H.Q.; Zhou, S.W.; Jiang, Y.l.; Zhang, F.D.; Dong, Z.; Guo, W. Effects of hydration on the microstructure and physical properties of shale. Pet. Explor. Dev. 2018, 45, 1146–1153. [Google Scholar] [CrossRef]
- Yang, L.; Dou, N.H.; Lu, X.B.; Zhang, X.H.; Chen, X.; Gao, J.; Yang, C.W.; Wang, Y. Advances in understanding imbibition characteristics of shale using an NMR technique: A comparative study of marine and continental shale. J. Geophys. Eng. 2018, 15, 1363–1375. [Google Scholar] [CrossRef]
- Khatibi, S.; Ostadhassan, M.; Xie, Z.H.; Gentzis, T.; Bubach, B.; Gan Zheng Carvajal-Ortiz, H. NMR relaxometry a new approach to detect geochemical properties of organic matter in tight shales. Fuel 2019, 235, 167–177. [Google Scholar] [CrossRef]
- Saidian, M.; Prasad, M. Effect of mineralogy on nuclear magnetic resonance surface relaxivity: A case study of Middle Bakken and Three Forks formations. Fuel 2015, 161, 197–206. [Google Scholar] [CrossRef]
- Liu, Z.S.; Liu, D.M.; Karacan, C.; Cai, Y.D.; Yao, Y.B.; Pan, Z.J.; Zhou, Y.F. Application of nuclear magnetic resonance (NMR) in coalbed methane and shale reservoirs: A review. Int. J. Coal Geol. 2020, 218, 203261. [Google Scholar] [CrossRef]













| Sample | Depth (m) | TOC | Quartz | Clay | Potash Feldspar | Plagioclase | Calcite | Dolomite | Ferrodolomite | Siderite | Pyrite |
|---|---|---|---|---|---|---|---|---|---|---|---|
| (wt %) | |||||||||||
| DS-1 | 3590.16 | 0.62 | 23.9 | 44.9 | 1.2 | 5.2 | 17.3 | 6.5 | 1.0 | ||
| DS-2 | 3606.59 | 0.62 | 28.8 | 37.4 | 1.0 | 6.1 | 10.4 | 14.3 | 0.5 | 1.5 | |
| DS-3 | 3645.18 | 0.83 | 28.2 | 54.0 | 5.4 | 7.2 | 3.7 | 0.3 | 1.2 | ||
| DS-4 | 3648.60 | 0.90 | 37.6 | 43.5 | 6.9 | 7.2 | 2.9 | 0.8 | 1.1 | ||
| DS-5 | 3665.63 | 1.00 | 40.5 | 42.6 | 6.3 | 5.7 | 2.9 | 2.0 | |||
| DS-6 | 3680.75 | 1.17 | 36.3 | 44.5 | 9.1 | 4.8 | 2.9 | 0.3 | 2.1 | ||
| DS-7 | 3685.15 | 1.29 | 34.3 | 48.7 | 8.0 | 4.1 | 2.3 | 0.5 | 2.1 | ||
| DS-8 | 3693.75 | 1.27 | 30.0 | 39.7 | 2.8 | 9.5 | 5.3 | 11.5 | 0.1 | 1.1 | |
| DS-9 | 3706.29 | 2.33 | 44.4 | 30.0 | 1.7 | 9.0 | 6.3 | 5.3 | 0.4 | 2.9 | |
| DS-10 | 3709.54 | 2.29 | 43.6 | 35.5 | 2.5 | 6.8 | 6.0 | 0.9 | 2.2 | 0.2 | 2.3 |
| DS-11 | 3716.23 | 2.99 | 61.4 | 15.8 | 6.3 | 8.5 | 4.3 | 0.4 | 3.3 | ||
| DS-12 | 3726.75 | 4.66 | 69.1 | 15.1 | 7.5 | 2.9 | 2.9 | 0.9 | 1.9 | ||
| Sample | φnmr | φn1 | φn2 | φn3 | T2c |
|---|---|---|---|---|---|
| (%) | (ms) | ||||
| DS-1 | 4.48 | 1.20 | 2.83 | 0.46 | 1.01 |
| DS-2 | 5.27 | 2.21 | 2.61 | 0.45 | 0.58 |
| DS-3 | 6.38 | 2.99 | 3.04 | 0.36 | 0.55 |
| DS-4 | 6.95 | 2.68 | 3.88 | 0.39 | 0.75 |
| DS-5 | 6.60 | 2.69 | 3.48 | 0.43 | 0.65 |
| DS-6 | 5.96 | 2.36 | 3.14 | 0.46 | 0.68 |
| DS-7 | 6.83 | 2.63 | 3.90 | 0.31 | 0.71 |
| DS-8 | 5.43 | 1.47 | 3.68 | 0.28 | 1.00 |
| DS-9 | 8.63 | 2.74 | 5.48 | 0.41 | 1.37 |
| DS-10 | 6.69 | 1.54 | 4.69 | 0.46 | 1.77 |
| DS-11 | 6.39 | 1.34 | 4.55 | 0.50 | 1.93 |
| DS-12 | 7.06 | 0.88 | 5.80 | 0.38 | 6.73 |
| Sample | L | V | φHe | Pc | r | ρ2 |
|---|---|---|---|---|---|---|
| (cm) | (cm3) | (%) | (MPa) | (µm) | (µm/ms) | |
| DS-1 | 2.48 | 12.57 | 2.94 | 33.03 | 0.0436 | 0.0216 |
| DS-2 | 2.43 | 12.30 | 3.72 | 32.51 | 0.0443 | 0.0382 |
| DS-3 | 2.52 | 12.78 | 4.29 | 33.49 | 0.0430 | 0.0391 |
| DS-4 | 2.51 | 12.70 | 4.43 | 33.33 | 0.0432 | 0.0288 |
| DS-5 | 2.40 | 12.14 | 4.40 | 32.21 | 0.0447 | 0.0344 |
| DS-6 | 2.28 | 11.55 | 4.22 | 30.77 | 0.0468 | 0.0344 |
| DS-7 | 2.57 | 13.03 | 4.60 | 34.04 | 0.0423 | 0.0298 |
| DS-8 | 2.62 | 13.28 | 3.73 | 34.62 | 0.0416 | 0.0208 |
| DS-9 | 2.29 | 11.58 | 5.60 | 30.90 | 0.0466 | 0.0170 |
| DS-10 | 2.57 | 13.01 | 4.51 | 34.20 | 0.0421 | 0.0119 |
| DS-11 | 2.43 | 12.30 | 5.12 | 32.43 | 0.0444 | 0.0115 |
| DS-12 | 2.54 | 12.84 | 5.86 | 33.41 | 0.0431 | 0.0032 |
| Sample | r1 | φnp | φnf |
|---|---|---|---|
| (nm) | (%) | ||
| DS-1 | 151.7 | 3.44 | 0.58 |
| DS-2 | 308.4 | 4.26 | 0.56 |
| DS-3 | 315.7 | 5.25 | 0.77 |
| DS-4 | 267.4 | 5.64 | 0.92 |
| DS-5 | 319.3 | 5.28 | 0.89 |
| DS-6 | 319.3 | 4.83 | 0.67 |
| DS-7 | 276.6 | 5.69 | 0.83 |
| DS-8 | 193.1 | 4.62 | 0.54 |
| DS-9 | 239.9 | 6.79 | 1.43 |
| DS-10 | 193.0 | 5.56 | 0.67 |
| DS-11 | 214.5 | 5.33 | 0.56 |
| DS-12 | 182.3 | 6.46 | 0.22 |
Disclaimer/Publisher’s Note: The statements, opinions and data contained in all publications are solely those of the individual author(s) and contributor(s) and not of MDPI and/or the editor(s). MDPI and/or the editor(s) disclaim responsibility for any injury to people or property resulting from any ideas, methods, instructions or products referred to in the content. |
© 2023 by the authors. Licensee MDPI, Basel, Switzerland. This article is an open access article distributed under the terms and conditions of the Creative Commons Attribution (CC BY) license (https://creativecommons.org/licenses/by/4.0/).
Share and Cite
Li, C.; Shen, B.; Lu, L.; Pan, A.; Li, Z.; Zhu, Q.; Sun, Z. Quantitative Characterization of Shale Pores and Microfractures Based on NMR T2 Analysis: A Case Study of the Lower Silurian Longmaxi Formation in Southeast Sichuan Basin, China. Processes 2023, 11, 2823. https://doi.org/10.3390/pr11102823
Li C, Shen B, Lu L, Pan A, Li Z, Zhu Q, Sun Z. Quantitative Characterization of Shale Pores and Microfractures Based on NMR T2 Analysis: A Case Study of the Lower Silurian Longmaxi Formation in Southeast Sichuan Basin, China. Processes. 2023; 11(10):2823. https://doi.org/10.3390/pr11102823
Chicago/Turabian StyleLi, Chuxiong, Baojian Shen, Longfei Lu, Anyang Pan, Zhiming Li, Qingmin Zhu, and Zhongliang Sun. 2023. "Quantitative Characterization of Shale Pores and Microfractures Based on NMR T2 Analysis: A Case Study of the Lower Silurian Longmaxi Formation in Southeast Sichuan Basin, China" Processes 11, no. 10: 2823. https://doi.org/10.3390/pr11102823
APA StyleLi, C., Shen, B., Lu, L., Pan, A., Li, Z., Zhu, Q., & Sun, Z. (2023). Quantitative Characterization of Shale Pores and Microfractures Based on NMR T2 Analysis: A Case Study of the Lower Silurian Longmaxi Formation in Southeast Sichuan Basin, China. Processes, 11(10), 2823. https://doi.org/10.3390/pr11102823
