Computational Fluid Dynamics Modeling of Single Isothermal and Non-Isothermal Impinging Jets in a Scaled-Down High-Temperature Gas-Cooled Reactor Facility
Abstract
1. Introduction
2. Physical Model
3. Numerical Model
3.1. Boundary Conditions
3.2. Numerical Solution
3.3. Mesh Parameters
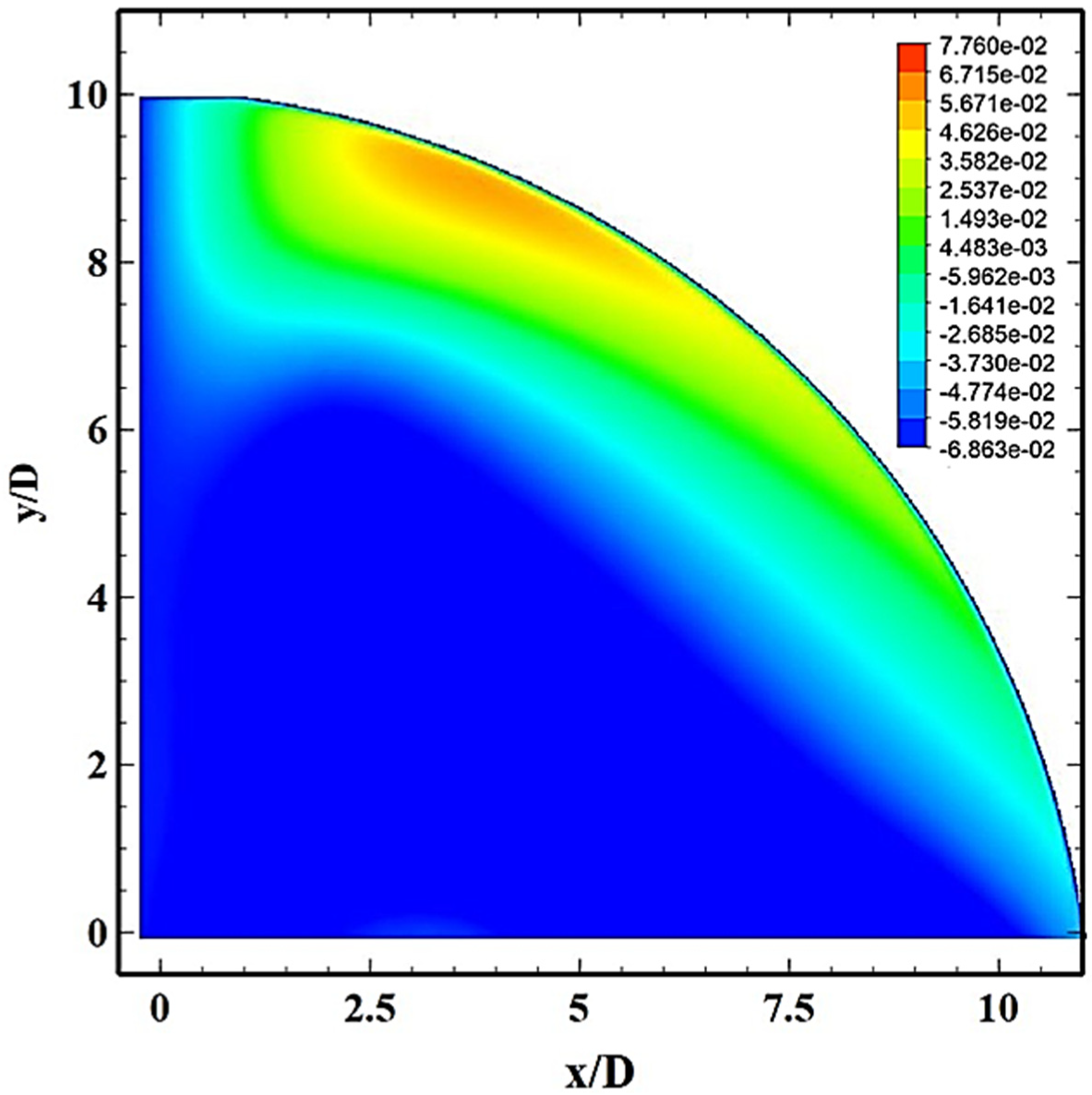
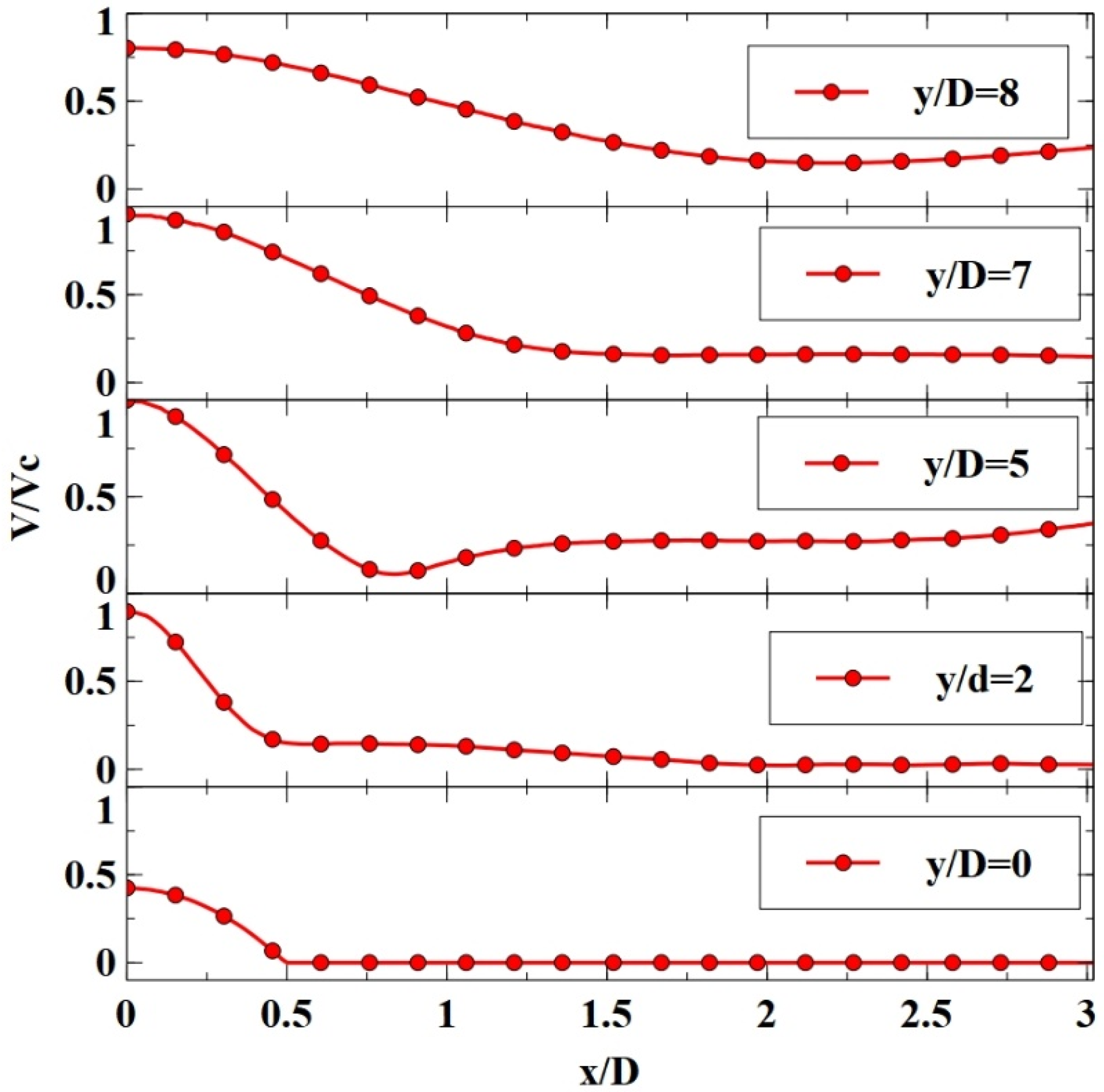
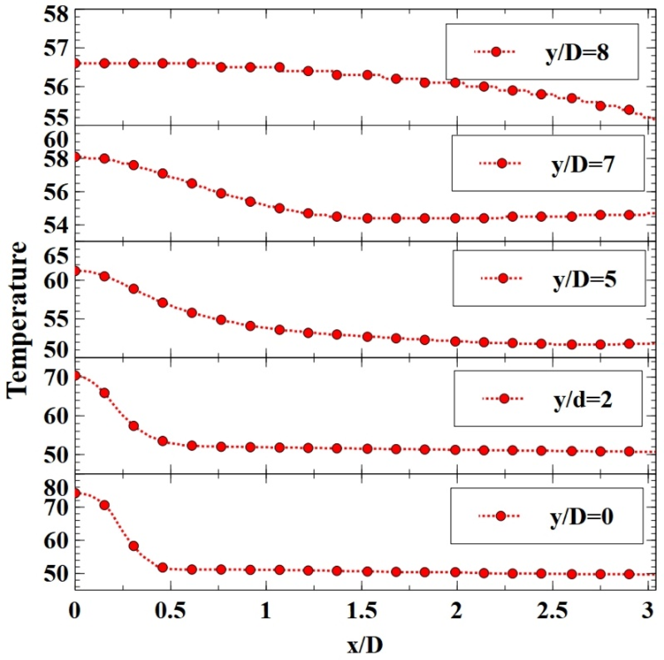
4. Results and Discussion
5. Conclusions
Author Contributions
Funding
Institutional Review Board Statement
Informed Consent Statement
Data Availability Statement
Acknowledgments
Conflicts of Interest
Nomenclature
| Symbols | Description |
| x | Horizontal (transverse) directions |
| y | Vertical (axial) directions |
| D | Plume diameter (mm) |
| U, V | Horizontal and axial time-averaged velocities (m/s) |
| Re | Reynolds number |
| Vm | Local velocity along the jet center line (m/s) |
| Vc | Maximum axial velocity (m/s) |
| Root-mean-square fluctuating horizontal velocity (m/s) | |
| Root-mean-square fluctuating vertical velocity (m/s) | |
| Reynolds stress | |
| CPU | Central processing unit |
| μ | Density (kg/m3) |
| K | Thermal conductivity (W/m K) |
| η | Dynamic viscosity (Kg/m-s) |
| Velocity | |
| p | Pressure |
| Stress tensor | |
| Gravity acceleration | |
| T | Temperature, |
| Cp | Specific heat (j/kg-k) |
| Pr | Prandtl number |
| HTGR | High temperature gas-cooled reactor |
| CFD | Computational fluid dynamics |
| DCC | Depressurized conduction cool down |
| LOCA | Loss of coolant accident |
| PCC | Pressurized conduction cool down |
References
- DOE, U.S. Nuclear Energy Research Advisory Committee and Gen IV International Forum (GIF). In A Technology Roadmap for Generation IV Nuclear Energy Systems; Generation IV International Forum; DOE: Washington, DC, USA, 2002; pp. 10–55. [Google Scholar]
- DOE, U.S. Nuclear Energy Research Advisory Committee and Gen IV International Forum (GIF). In GIF R&D Outlook for Generation IV Nuclear Energy Systems; Generation IV International Forum; DOE: Washington, DC, USA, 2009; pp. 4–8. [Google Scholar]
- GIF. Proceedings of the GIF Symposium. In Proceedings of the GIF Symposium, Paris, France, 9–10 September 2009; pp. 77–121.
- Kelly, J.E. Generation IV International Forum: A decade of progress through international cooperation. Prog. Nucl. Energy 2014, 77, 240–246. [Google Scholar] [CrossRef]
- Herranz, L.E.; Linares, J.I.; Moratilla, B.Y. Power cycle assessment of nuclear high temperature gas-cooled reactors. Appl. Therm. Eng. 2009, 29, 1759–1765. [Google Scholar] [CrossRef]
- U.S. Nuclear Regulatory Commission. Next Generation Nuclear Plant Phenomena Identification and Ranking Tables (PIRTs); U.S. Nuclear Regulatory Commission: Washington, DC, USA, 2008; Volume 6. [Google Scholar]
- Schultz, R.R.; Ougouag, A.M.; Nigg, D.W.; Gougar, H.D.; Johnson, R.W.; Terry, W.K.; Oh, C.H.; McEligot, D.W.; Johnsen, G.W.; McCreery, G.E.; et al. Next Generation Nuclear Plant Methods Technical Program Plan; INL/EXT-06-11804, PLN-2498; Idaho National Lab. (INL): Idaho Falls, ID, USA, 2010. [Google Scholar]
- Alwafi, A.; Nguyen, T.; Hassan, Y.; Anand, N.K. Time-resolved particle image velocimetry measurements of a single impinging jet in the upper plenum of a scaled facility of high temperature gas-cooled reactors. Int. J. Heat Fluid Flow. 2019, 76, 113–129. [Google Scholar] [CrossRef]
- Alwafi, A.; Nguyen, T.; Hassan, Y.; Anand, N.K. Experimental analysis of a non-isothermal confined impinging single plume using time-resolved particle image velocimetry and planar laser induced fluorescence measurements. Int. J. Heat Mass Transfer. 2022, 193, 122952. [Google Scholar] [CrossRef]
- Fellouah, H.; Ball, C.G.; Pollard, A. Reynolds number effects within the development region of a turbulent round free jet. Int. J. Heat Mass Transfer. 2009, 52, 3943–3954. [Google Scholar] [CrossRef]
- Webster, D.R.; Roberts, P.J.; Ra'ad, L. Simultaneous DPTV/PLIF measurements of a turbulent jet. Exp. Fluids 2001, 30, 65–72. [Google Scholar] [CrossRef]
- Angioletti, M.; Nino, E.; Ruocco, G. CFD turbulent modelling of jet impingement and its validation by particle image velocimetry and mass transfer measurements. Int. J. Therm. Sci. 2005, 44, 349–356. [Google Scholar] [CrossRef]
- Keramaris, E.; Pechlivanidis, G. The behaviour of a turbulent buoyant jet into flowing environment. Procedia Eng. 2016, 162, 120–127. [Google Scholar] [CrossRef]
- Qin, S.; Krohn, B.; Downing, J.; Petrov, V.; Manera, A. High-resolution velocity field measurements of turbulent round free jets in uniform environments. Nucl. Technol. 2019, 205, 213–225. [Google Scholar] [CrossRef]
- Hussein, H.J.; Capp, S.P.; George, W.K. Velocity measurements in a high-Reynolds-number, momentum-conserving, axisymmetric, turbulent jet. J. Fluid Mech. 1994, 258, 31–75. [Google Scholar] [CrossRef]
- Kim, J.; Choi, H. Large eddy simulation of a circular jet: Effect of inflow conditions on the near field. J. Fluid Mech. 2009, 620, 383–411. [Google Scholar] [CrossRef]
- Wang, H.; Lee, S.; Hassan, Y.A.; Ruggles, A.E. Laser-Doppler measurements of the turbulent mixing of two rectangular water jets impinging on a stationary pool. Int. J. Heat Mass Transfer. 2016, 92, 206–227. [Google Scholar] [CrossRef]
- Wang, M.B.; Wang, R.H.; Liu, X.Y. Numerical simulation of a semi-confined slot turbulent impinging jet. In Advanced Materials Research; Trans Tech Publications Ltd.: Stafa-Zurich, Switzerland, 2011; Volume 268, pp. 345–350. [Google Scholar]
- Wang, S.J.; Mujumdar, A.S. A numerical study of flow and mixing characteristics of three-dimensional confined turbulent opposing jets: Unequal jets. Chem. Eng. Process. Process Intensif. 2005, 44, 1068–1074. [Google Scholar] [CrossRef]
- Gradecka, M.J.; Woods, B.G. Development of thermal mixing enhancement method for lower plenum of the High Temperature Test Facility. Nucl. Eng. Des. 2016, 305, 81–103. [Google Scholar] [CrossRef]
- Richard, W.J. Modeling Strategies for Unsteady Turbulent Flows in the Lower Plenum of the VHTR; INL/CON-06-01371; Idaho National Laboratory (United States): Idaho Falls, ID, USA, 2006. [Google Scholar]
- Alwafi, A.; Nguyen, T.; Hassan, Y. Investigation of the flow near the wall of a single impinging jet at the scaled upper plenum of HTGR using Tr-PIV. In Proceedings of the International Conference on Nuclear Engineering (ICONE), Ibaraki, Japan, 19–24 May 2019; p. 1616. [Google Scholar]
- Jin, H.G.; No, H.C.; Park, B.H. Effects of the onset time of natural circulation on safety in an air ingress accident involving a HTGR. Nucl. Eng. Des. 2012, 250, 626–632. [Google Scholar] [CrossRef]
- King, B.M. Natural Circulation Scaling of a Pressurized Conduction Cooldown Event in the Upper Plenum of the Modular High Temperature Gas Reactor. Master’s Thesis, Oregon State University, Corvallis, OR, USA, 2012. [Google Scholar]
- Johnson, R.W.; Gallaway, T.; Guillen, D.P. Investigations of the Application of CFD to Flow Expected in the Lower Plenum of the Prismatic VHTR; INL/EXT-06-11756; Idaho National Lab. (INL): Idaho Falls, ID, USA, 2006. [Google Scholar]
- Anderson, N.; Hassan, Y.; Schultz, R. Analysis of the hot gas flow in the outlet plenum of the very high temperature reactor using coupled RELAP5-3D system code and a CFD code. Nucl. Eng. Des. 2008, 238, 274–279. [Google Scholar] [CrossRef]
- Tung, Y.-H.; Johnson, R.W. CFD calculations of natural circulation in a high temperature gas reactor following pressurized circulator shutdown. In Proceedings of the ASME International Mechanical Engineering Congress and Exposition, Denver, CO, USA, 11–17 November 2011; Volume 54969, pp. 1169–1177. [Google Scholar]
- McEligot, D.M.; Condie, K.G.; Mc Creery, G.E.; Mc Ilroy, H.M. Development of an Experiment for Measuring Flow Phenomena Occurring in a Lower Plenum for VHTR CFD Assessment; INL/EXT-05-00603; Idaho National Lab. (INL): Idaho Falls, ID, USA, 2005. [Google Scholar]
- Reyes, J., Jr.; Groome, J.T.; Woods, B.G.; Jackson, B.; Marshall, T.D. Scaling analysis for the high temperature gas reactor test section (GRTS). Nucl. Eng. Des. 2010, 240, 397–404. [Google Scholar] [CrossRef]
- Wang, H.; Dominguez-Ontiveros, E.; Hassan, Y.A. Computational fluid dynamics analysis of core bypass flow and crossflow in a prismatic very high temperature gas-cooled nuclear reactor based on a two-layer block model. Nucl. Eng. Des. 2014, 268, 64–76. [Google Scholar] [CrossRef]
- McVay, K.L.; Park, J.H.; Lee, S.; Hassan, Y.A.; Anand, N.K. Preliminary tests of particle image velocimetry for the upper plenum of a scaled model of a very high temperature gas cooled reactor. Prog. Nucl. Energy 2015, 83, 305–317. [Google Scholar] [CrossRef]
- Wang, X.K.; Tan, S.K. Environmental fluid dynamics-jet flow. J. Hydrodyn. Ser. B 2010, 22, 1009–1014. [Google Scholar] [CrossRef]
- Grafsrønningen, S.; Jensen, A.; Reif, B.A. PIV investigation of buoyant plume from natural convection heat transfer above a horizontal heated cylinder. Int. J. Heat Mass Transf. 2011, 54, 4975–4987. [Google Scholar] [CrossRef]


















| Model | K-epsilon | |
| Solver | Pressure-Based | |
| Working Fluid | Water | |
| Outlet | Pressure Boundary | |
| Density Model | Constant (998.2) | |
| Spatial Discretization | Pressure Solver | 2nd Order Upwind |
| Momentum | 2nd Order Upwind | |
| Turbulent Kinetic Energy | 2nd Order Upwind | |
| Energy | 2nd Order Upwind | |
| Turbulent Dissipation Rate and | 2nd Order Upwind | |
| Gradient | Least Squares Cell-Based | |
| Pressure–Velocity Coupling | SIMPLE | |
| Model | Energy, K-epsilon | |
| Solver | Pressure-Based | |
| Gravity | −9.8 | |
| Working Fluid | Water | |
| Density Model | Boussinesq | |
| Coefficient of Thermal Expansion | 0.0034 | |
| Spatial Discretization | Pressure Solver | Body Force Weighted |
| Momentum | 2nd Order Upwind | |
| Turbulent Kinetic Energy | 2nd Order Upwind | |
| Energy | 2nd Order Upwind | |
| Turbulent Dissipation Rate and | 2nd Order Upwind | |
| Gradient | Least Squares Cell-Based | |
| Pressure–Velocity Coupling | PISO | |
Disclaimer/Publisher’s Note: The statements, opinions and data contained in all publications are solely those of the individual author(s) and contributor(s) and not of MDPI and/or the editor(s). MDPI and/or the editor(s) disclaim responsibility for any injury to people or property resulting from any ideas, methods, instructions or products referred to in the content. |
© 2022 by the authors. Licensee MDPI, Basel, Switzerland. This article is an open access article distributed under the terms and conditions of the Creative Commons Attribution (CC BY) license (https://creativecommons.org/licenses/by/4.0/).
Share and Cite
Alwafi, A.M.; Alshehri, S.M.; Alzahrani, S.M. Computational Fluid Dynamics Modeling of Single Isothermal and Non-Isothermal Impinging Jets in a Scaled-Down High-Temperature Gas-Cooled Reactor Facility. Processes 2023, 11, 46. https://doi.org/10.3390/pr11010046
Alwafi AM, Alshehri SM, Alzahrani SM. Computational Fluid Dynamics Modeling of Single Isothermal and Non-Isothermal Impinging Jets in a Scaled-Down High-Temperature Gas-Cooled Reactor Facility. Processes. 2023; 11(1):46. https://doi.org/10.3390/pr11010046
Chicago/Turabian StyleAlwafi, Anas M., Salman M. Alshehri, and Salman M. Alzahrani. 2023. "Computational Fluid Dynamics Modeling of Single Isothermal and Non-Isothermal Impinging Jets in a Scaled-Down High-Temperature Gas-Cooled Reactor Facility" Processes 11, no. 1: 46. https://doi.org/10.3390/pr11010046
APA StyleAlwafi, A. M., Alshehri, S. M., & Alzahrani, S. M. (2023). Computational Fluid Dynamics Modeling of Single Isothermal and Non-Isothermal Impinging Jets in a Scaled-Down High-Temperature Gas-Cooled Reactor Facility. Processes, 11(1), 46. https://doi.org/10.3390/pr11010046

