Detection and Isolation of False Data Injection Attack in Intelligent Transportation System via Robust State Observer
Abstract
:1. Introduction
- (1)
- Taking the deception characteristics of the attack on the Chi-square estimator into account, a robust state observer-based is proposed to detect the FDI attacks;
- (2)
- Considering the limitation of the precomputed threshold on detection performance, an adaptive detection threshold is developed;
- (3)
- A robust state observer bank-based algorithm is developed to isolate the injected multiple FDI attacks in an intelligent vehicle networking system.
2. Motivation
2.1. Dynamic Model of Vehicle Networking
2.2. Spoofing Feature of FDI Attacks
2.3. Problem Formulation
3. Robust State Observer-Based Detection and Isolation Method against FDI Attacks
3.1. Detection Method Based on Robust State Observer
3.2. Design of Adaptive Detection Threshold
| Algorithm 1: State residuals-based detection of FDI attacks in vehicle networking system. |
| 1. Input: Establish the vehicle networking model in Equations (1)–(3); |
| 2. Design the corresponding robust state observer in Equation (9); |
| 3. Compute the adaptive threshold in Equation (24) and residual in Equation (25); |
| 4. for All the intelligent vehicles |
| if then |
| No FDI attacks; |
| else |
| There exists the injected FDI attacks; |
| end if |
| 5. end for |
| 6. Output: The vehicle networking system is attacked. |
| Algorithm 2: Robust state observer bank-based isolation of FDI attacks. |
| 1. Input: All the state residuals and adaptive detection threshold; |
| 2. Divided vehicle networking system outputs into two subsets and ); |
| 3. for and |
| if or then |
| Continue 2 until the attacked vehicle networking sensor nodes are isolated; |
| else |
| No isolated FDI attacks; |
| end if |
| 4. end for |
| 5. Output: The attacked vehicles. |
4. Results
4.1. Case 1 Detection of Single FDI Attack in Intelligent Vehicle Networking System
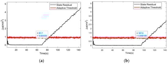
4.1.1. Effectiveness of the Proposed Detection Method
4.1.2. Performance of the Proposed Detection Method
4.2. Case 2 Detection and Isolation of Multiple FDI Attacks in Intelligent Vehicle Networking System
5. Conclusions and Discussion
Author Contributions
Funding
Conflicts of Interest
References
- Zhu, F.; Lv, Y.; Chen, Y.; Wang, X.; Xiong, G.; Wang, F.Y. Parallel Transportation Systems: Toward IoT-Enabled Smart Urban Traffic Control and Management. IEEE Trans. Intell. Transp. Syst. 2020, 21, 4063–4071. [Google Scholar] [CrossRef]
- Wang, F.Y. Artificial intelligence and intelligent transportation: Driving into the 3rd axial age with ITS. IEEE Intell. Transp. Syst. Mag. 2017, 9, 6–9. [Google Scholar] [CrossRef]
- Zhu, F.; Li, Z.; Chen, S.; Xiong, G. Parallel Transportation Management and Control System and Its Applications in Building Smart Cities. IEEE Trans. Intell. Transp. Syst. 2016, 17, 1576–1585. [Google Scholar] [CrossRef]
- Work, D.B.; Bayen, A.M. Impacts of the mobile Internet on transportation cyber-physical systems: Traffic monitoring using smartphones. In Proceedings of the National Workshop for Research on High-Confidence Transportation Cyber-Physical Systems: Automotive, Aviation and Rail, Washington, DC, USA, 18–20 November 2008; pp. 18–20. [Google Scholar]
- Fallah, Y.P.; Huang, C.; Sengupta, R.; Krishnan, H. Design of cooperative vehicle safety systems based on tight coupling of communication, computing and physical vehicle dynamics. In Proceedings of the 1st ACM/IEEE International Conference on Cyber-Physical Systems (ICCPS ‘10), Stockholm, Sweden, 13–15 April 2010; pp. 159–167. [Google Scholar]
- Petit, J.; Shladover, S.E. Potential cyberattacks on automated vehicles. IEEE Trans. Intell. Transp. Syst. 2015, 16, 546–556. [Google Scholar] [CrossRef]
- Xiao, S.; Ge, X.; Han, Q.L.; Zhang, Y. Secure Distributed Adaptive Platooning Control of Automated Vehicles Over Vehicular Ad-Hoc Networks Under Denial-of-Service Attacks. IEEE Trans. Cybern. 2021, 12, 1–13. [Google Scholar] [CrossRef]
- Khan, Z.; Chowdhury, M.; Islam, M.; Huang, C.Y.; Rahman, M. Long Short-Term Memory Neural Network-Based Attack Detection Model for In-Vehicle Network Security. IEEE Sens. Lett. 2020, 4, 7500904. [Google Scholar] [CrossRef]
- Han, M.L.; Kwak, B.I.; Kim, H.K. Event-Triggered Interval-Based Anomaly Detection and Attack Identification Methods for an In-Vehicle Network. IEEE Trans. Inf. Forensics Secur. 2021, 16, 2941–2956. [Google Scholar] [CrossRef]
- Benslimane, A.; Nguyen-Minh, H. Jamming Attack Model and Detection Method for Beacons Under Multichannel Operation in Vehicular Networks. IEEE Trans. Veh. Technol. 2017, 66, 6475–6488. [Google Scholar] [CrossRef]
- Ma, Y.; Nie, Z.; Hu, S.; Li, Z.; Malekian, R.; Sotelo, M. Fault Detection Filter and Controller Co-Design for Unmanned Surface Vehicles Under Dos Attacks. IEEE Trans. Intell. Transp. Syst. 2021, 22, 1422–1434. [Google Scholar] [CrossRef]
- Mokari, H.; Firouzmand, E.; Sharifi, I.; Doustmohammadi, A. Dos Attack Detection and Resilient Control in Platoon of Smart Vehicles. In Proceedings of the 2021 9th RSI International Conference on Robotics and Mechatronics (ICRoM), Tehran, Iran, 17–19 November 2021; pp. 144–150. [Google Scholar]
- Vuong, T.P.; Loukas, G.; Gan, D.; Bezemskij, A. Decision tree-based detection of denial of service and command injection attacks on robotic vehicles. In Proceedings of the 2015 IEEE International Workshop on Information Forensics and Security (WIFS), Rome, Italy, 16–19 November 2015; pp. 1–6. [Google Scholar]
- Agrawal, K.; Alladi, T.; Agrawal, A.; Chamola, V.; Benslimane, A. NovelADS: A Novel Anomaly Detection System for Intra-Vehicular Networks. IEEE Trans. Intell. Transp. Syst. 2022, 1–11. [Google Scholar] [CrossRef]
- Almalki, S.A.; Song, J. A review on data falsification-based attacks in cooperative intelligent transportation systems. Int. J. Comput. Sci. Secur. (IJCSS) 2020, 14, 22. [Google Scholar]
- Guo, L.; Yu, H.; Hao, F. Optimal Allocation of False Data Injection Attacks for Networked Control Systems with Two Communication Channels. IEEE Trans. Control Netw. Syst. 2021, 8, 2–14. [Google Scholar] [CrossRef]
- Liu, H.; Pan, C.; Lv, C.; Gong, L.; Zheng, X.; Chen, X. False Data Injection Attack Modeling and Impact on Vehicle Platooning. In Proceedings of the 2021 China Automation Congress (CAC), Beijing, China, 22–24 October 2021; pp. 7757–7761. [Google Scholar]
- Cabelin, J.D.; Alpano, P.V.; Pedrasa, J.R. SVM-based Detection of False Data Injection in Intelligent Transportation System. In Proceedings of the 2021 International Conference on Information Networking (ICOIN), Jeju Island, Korea, 13–16 January 2021; pp. 279–284. [Google Scholar]
- Chen, Z.; Zhu, J.; Dong, H.; Wu, W.; Zhu, H.; He, C. Detection of False Data Injection Attack in Automatic Generation Control System with Electric Vehicles based on Fuzzy Long Short-Term Memory. In Proceedings of the 2021 IEEE Power & Energy Society General Meeting (PESGM), Washington, DC, USA, 26–29 July 2021; pp. 1–56. [Google Scholar]
- Biroon, R.A.; Biron, Z.A.; Pisu, P. False Data Injection Attack in a Platoon of CACC: Real-Time Detection and Isolation With a PDE Approach. IEEE Trans. Intell. Transp. Syst. 2022, 1–12. [Google Scholar] [CrossRef]
- Mercader, P.; Haddad, J. Resilient multivariable perimeter control of urban road networks under cyberattacks. Control Eng. Pract. 2021, 109, 104718. [Google Scholar] [CrossRef]
- Sanchez, H.S.; Rotondo, D.; Escobet, T.; Puig, V.; Quevedo, J. Bibliographical review on cyber attacks from a control oriented perspective. Annu. Rev. Control 2019, 48, 103–128. [Google Scholar] [CrossRef] [Green Version]
- Van der Heijden, R.W.; Dietzel, S.; Leinmüller, T.; Kargl, F. Survey on Misbehavior Detection in Cooperative Intelligent Transportation Systems. IEEE Commun. Surv. Tutor. 2019, 21, 779–811. [Google Scholar] [CrossRef] [Green Version]
- Manandhar, K.; Cao, X.; Hu, F.; Liu, Y. Detection of faults and attacks including false data injection attack in smart grid using Kalman filter. IEEE Trans. Control Netw. Syst. 2014, 1, 370–379. [Google Scholar] [CrossRef]
- Piperigkos, N.; Lalos, A.S. Impact of False Data Injection attacks on Decentralized Electric Vehicle Charging Protocols. Transp. Res. Procedia 2021, 52, 331–338. [Google Scholar] [CrossRef]
- Maestripieri, A.; Pería, F.M. Schur Complements in Krein Spaces. Integral Equ. Oper. Theory 2007, 59, 207–221. [Google Scholar] [CrossRef] [Green Version]
- Zhong, M.; Ding, S.X.; Lam, J.; Wang, H. An LMI approach to design robust fault detection filter for uncertain LTI systems. Automatica 2003, 39, 543–550. [Google Scholar] [CrossRef]
- Yamamoto, Y.; Kuze, N.; Ushio, T. Attack Detection and Defense System Using an Unknown Input Observer for Cooperative Adaptive Cruise Control Systems. IEEE Access 2021, 9, 148810–148820. [Google Scholar] [CrossRef]
- Yu, W.; Griffith, D.; Ge, L.; Bhattarai, S.; Golmie, N. An integrated detection system against false data injection attacks in the Smart Grid. Secur. Commun. Netw. 2015, 8, 91–109. [Google Scholar] [CrossRef]
- Song, X.; Lou, X.; Meng, L. Time-delay feedback cooperative adaptive cruise control of connected vehicles by heterogeneous channel transmission. Meas. Control 2019, 52, 369–378. [Google Scholar] [CrossRef] [Green Version]
- Orosz, G. Connected cruise control: Modelling, delay effects, and nonlinear behaviour. Veh. Syst. Dyn. 2016, 54, 1147–1176. [Google Scholar] [CrossRef]






Publisher’s Note: MDPI stays neutral with regard to jurisdictional claims in published maps and institutional affiliations. |
© 2022 by the authors. Licensee MDPI, Basel, Switzerland. This article is an open access article distributed under the terms and conditions of the Creative Commons Attribution (CC BY) license (https://creativecommons.org/licenses/by/4.0/).
Share and Cite
Huang, X.; Wang, X. Detection and Isolation of False Data Injection Attack in Intelligent Transportation System via Robust State Observer. Processes 2022, 10, 1299. https://doi.org/10.3390/pr10071299
Huang X, Wang X. Detection and Isolation of False Data Injection Attack in Intelligent Transportation System via Robust State Observer. Processes. 2022; 10(7):1299. https://doi.org/10.3390/pr10071299
Chicago/Turabian StyleHuang, Xianhua, and Xinyu Wang. 2022. "Detection and Isolation of False Data Injection Attack in Intelligent Transportation System via Robust State Observer" Processes 10, no. 7: 1299. https://doi.org/10.3390/pr10071299
APA StyleHuang, X., & Wang, X. (2022). Detection and Isolation of False Data Injection Attack in Intelligent Transportation System via Robust State Observer. Processes, 10(7), 1299. https://doi.org/10.3390/pr10071299

