Next Article in Journal
Exergy Analysis of Reactive Distillation Coupled with High-Pressure Column for the Synthesis of Dimethyl Carbonate
Next Article in Special Issue
Improvement of Ecological Risk Considering Heavy Metal in Soil and Groundwater Surrounding Electroplating Factories
Previous Article in Journal
Optimal Demand-Side Management Using Flat Pricing Scheme in Smart Grid
Previous Article in Special Issue
Effects of Tetracycline and Copper on Water Spinach Growth and Soil Bacterial Community
 
 
Font Type:
Arial Georgia Verdana
Font Size:
Aa Aa Aa
Line Spacing:
Column Width:
Background:
Article

Speciation Distribution and Influencing Factors of Heavy Metals in Rhizosphere Soil of Miscanthus Floridulus in the Tailing Reservoir Area of Dabaoshan Iron Polymetallic Mine in Northern Guangdong

1
Guangdong Provincial Key Laboratory of Environmental Health and Land Resource, Zhaoqing University, Zhaoqing 526061, China
2
College of Environmental and Chemical Engineering, Zhaoqing University, Zhaoqing 526061, China
3
School of Environmental Science and Engineering, Guilin University of Technology, Guilin 541004, China
4
School of Environmental Science and Engineering, Sun Yat-sen University, Guangzhou 510275, China
5
School of Environment, South China Normal University, Guangzhou 510006, China
*
Author to whom correspondence should be addressed.
Processes 2022, 10(6), 1217; https://doi.org/10.3390/pr10061217
Submission received: 21 May 2022 / Revised: 13 June 2022 / Accepted: 14 June 2022 / Published: 18 June 2022
(This article belongs to the Special Issue Advances in Remediation of Contaminated Sites: Volume I)

Abstract

:
Through field investigation and experimental analysis, the forms, contents and distribution of heavy metals (Zn, Pb, Cu, Cd, Ni, Cr) in rhizosphere and non-rhizosphere soils of Miscanthus floridulus growing everywhere in Tielongwei mine pond (sample plot 1), Caoduikeng tailings pond (sample plot 2), Donghua tailings pond (sample plot 3) and Small tailings pond (sample plot 4) in Dabaoshan, Guangdong Province were studied. The results showed that the main forms and distributions of heavy metals in rhizosphere and non-rhizosphere soils are basically the same, which shows that the mineral content accounts for most of the total amount of heavy metals, while the exchange content is low. Compared with non-rhizosphere soil, the proportion of exchangeable and organic heavy metals in rhizosphere soil increased significantly, in which the proportion of organic-bound Cu increased by 53.25%, the proportion of organic-bound Cd and Pb increased by more than 17%, and the proportion of Zn increased by 5.67%. At the same time, the contents of carbonate-bound and iron manganese oxide-bound decreased. Statistical analyses showed that the morphological distribution of Zn, Pb, Cu, Cd, Ni and Cr in rhizosphere soil was closely related to soil pH value, organic matter content, plant growth and other factors. The results of this study provided a basis for the restoration of heavy metal-contaminated sites by Miscanthus.

1. Introduction

The large-scale land destruction caused by mining is a serious and increasingly valued problem in China and the world [1,2]. Open pit mining directly destroys the surface soil layer and vegetation, and underground mining leads to surface collapse, resulting in the destruction of land and vegetation. Wastes in the process of mine development (such as tailings, waste rocks, etc.) need a large area of stacking site, resulting in a large occupation of land and the destruction of the original ecosystem of the stacking site, causing changes in natural conditions and forming environmental factors that restrict plant growth and development [3,4]. At the same time, the toxic and harmful substances discharged from beneficiation can also easily cause major ecological and environmental problems, such as environmental pollution, local soil and water loss and habitat deterioration caused by vegetation loss. The settlement of vegetation and ecological restoration on the tailing yard not only prevents environmental pollution and water and soil loss, but it also beautifies the environment, and it will not cause secondary pollution. At the same time, it obtains biomass. This is an ideal method for the development and reuse of mine wasteland [5]. Vegetation restoration and ecological reconstruction of industrial and mining tailings are also an important field of current ecological research [6].
There have been a large number of reports on the effects of rhizosphere environments on the morphological changes of heavy metals in soil. Great progress has been made in the morphological changes of heavy metals in rhizosphere soil solutions and plant availability, the morphological changes of solid heavy metals in rhizosphere soil, and the absorption process of heavy metals by hyperaccumulated plants [7,8]. However, as a result of the joint action of plants and heavy metals, the morphological changes of heavy metals in the rhizosphere are affected by the differences in plant species and the response of heavy metals to the rhizosphere environment. The existing studies on the changes of the rhizosphere environment mostly focus on the changes of heavy metal content in rhizosphere soil solution and the changes of plants’ effective state of heavy metals. More studies on the morphological changes of heavy metals in soil solid phase use rhizosphere bags, rhizosphere boxes, and other artificial rhizosphere environments [9,10]. This simulated rhizosphere environment is different from the growth environment of natural plants. Therefore, strengthening the research on the plant rhizosphere environment, especially the solid-phase morphological changes of heavy metals in the plant rhizosphere environment under natural conditions, is of great significance to understand the environmental behavior of heavy metals in the soil plant system and to explore the toxicological effects of soil heavy metals on plants and phytoremediation of heavy metal contaminated sites.
Dabaoshan Mine is located at the junction of Qujiang District and Qingyuan County, Shaoguan City, Guangdong Province. It is a large iron polymetallic sulfide-associated deposit. The area is located in a subtropical monsoon climate that is warm, humid and rainy, and the surface rock is strongly weathered [11]. The discharge of beneficiation tailings and waste rocks has formed multiple tailings ponds. The accumulation of a large number of tailings has a serious impact on the growth of surrounding organisms, residents’ life and economic development [12,13,14]. Qin Jianqiao et al. [15] conducted a large number of studies on vegetation restoration and biological community reconstruction, soil enzyme activity, and plant growth of the tailings pond, showing that manual participation can guide the succession direction of the plant community in the tailings pond, which is conducive to accelerating the ecological restoration process of the tailings wasteland, but the research on the influence of plants on the form of soil heavy metals has not been reported thus far. Therefore, from January 2018 to May 2019, this paper investigated several tailings ponds of the Dabaoshan iron polymetallic mine in northern Guangdong many times. Taking the rhizosphere and non-rhizosphere soil of Miscanthus floridulus as the research object, through the sampling and analyses of rhizosphere and non-rhizosphere soil of wild plants in a natural environment, combined with different growth times under different biomass conditions, the absorption of heavy metals and the comparative analyses of rhizosphere and non-rhizosphere soils by Miscanthus pentaphyllus plants were carried out to explore the form, content, distribution and influencing factors of Zn, Pb, Cu, Cd, Ni and Cr in the rhizosphere environment of the large iron polymetallic tailings reservoir area, in order to provide a theoretical basis for better vegetation restoration and pollution control of the tailings wasteland.

2. Materials and Methods

2.1. Overview of the Study Area

Dabaoshan Mine is located in northern Guangdong, 113°40′–113°43′ E, 24°30′–24°36′ N, belonging to the subtropical monsoon climate zone. The surface rocks are weathered strongly, and the basal soil type is red soil, which gradually becomes mountain yellow soil with the increase in altitude. Dabaoshan mine is a large iron polymetallic-associated deposit. The upper part of the main ore body is limonite, the middle part is a copper–sulfur ore body, and the lower part is a lead–zinc ore body, accompanied by tungsten, bismuth, molybdenum, gold and silver and other non-ferrous metals. Since mining in the 1970s, tailings and waste rock from mineral processing have successively formed four tailings ponds of different sizes [15,16,17].
The center of the Tielong tailings pond (sample plot 1) is located at 24°31′26.5″ N and 113°43′08.6″ E, with an altitude of 350 m and an area of about 2.0 km2. Since the 1970s, ore dust and ore washing wastewater have been discharged. In the tailings pond area, there are almost no plants living within 1000 m from the inside of the dam, and the remaining plants are of single species. The center of the Caoduikeng tailings pond (sample plot 2) is located at 24°34′16.5″ N and 113°43′34.3″ E, with an altitude of 580 m and an area of about 1.5 km2. At the southern end of the reservoir, there is a large marsh zone formed by ore washing water and mountain streams flowing through this area, and perennial water accumulation occurs. The northern end is mostly composed of deposits of mineral soil, which is wet and sparsely vegetated. The center of the Donghua tailings pond (sample plot 3) is located at 24°33′56.1″ N and 113°40′55.6″ E, with an altitude of 230 m. The reservoir area is about 0.8 km2. There was basically no tailings discharged five years ago. From the overall topography, the ground humidity gradually increases from the height to the bottom, and vegetation richness also increases. The center of the small tailings pond (sample plot 4) is located at 24°33′17.7″ N and 113°43′35.7″ E, with an altitude of 630 m and an area of 0.3 km2. The tailings are piled up similarly to mountains and were abandoned 10 years ago. Vegetation has mainly been restored naturally, with abundant plant species. Geographic location of the four tailings ponds is shown in Figure 1.

2.2. Sample Collection and Processing

Four tailings reservoir areas with different use conditions were taken as the investigation objects. Each reservoir area was used as a study sample, and 16 sample areas were set according to vegetation distribution. In each quadrat, the investigation recorded all plant species, quantity, plant height, abundance, coverage and aboveground biomass, etc.
The test soil samples were collected from four tailings reservoir areas with good growth of M. floridulus populations. Rhizosphere soil samples were selected, and plants of similar size (dry weight of plants was about 50 g) were dug out intact. Soil with a thickness of about 1 mm and attached to the surface of small roots was collected. Six samples were collected from each sample area, and a total of 24 rhizosphere soil samples were collected. Non-rhizosphere soil samples were collected from 8~10 cm around the roots of the plants. Six samples were collected from each sample area, and a total of 24 non-rhizosphere soil samples were collected. The depth of soil sample was 0~40 cm according to the extended depth of the awn roots in the sampling area.
In order to study the effect of plant absorption on the exchange state of heavy metals in rhizosphere soil, a small tailings pond (sample plot 4) with the most uniform growth of M. floridulus was selected, and plants of different sizes were collected in June when M. floridulus grows vigorously. They were divided into 4 groups: <25 cm, 25~50 cm, 50~100 cm and >100 cm (the biomass of each group was calculated according to the average within the group). Ten plants were collected in each group, and the corresponding rhizosphere soil of each plant was also collected. The rhizosphere soil was also divided into 4 groups with 10 rhizosphere soil samples in each group, and they were brought back to the laboratory for analysis.
In order to study the effect of the growth time of M. floridulus on the distribution of heavy metals in rhizosphere soil, the growth of M. floridulus was regularly observed in the small tailings pond (sample plot 4) from January 2018. When the M. floridulus grew 5~10 cm above the ground, 10 samples were collected from the M. floridulus plant and its rhizosphere soil, and samples were taken on 30, 60, 90 and 120 days.

2.3. Analytical Method

Heavy metal content in soil and plants: The roots, stems and leaves of M. floridulus samples were separated and washed with deionized water, dried at 70 °C until constant weight, and crushed through 80-mesh sieve. The samples were determined by dry ashing with 1:1 HCl constant volume and atomic absorption spectrophotometer. The contents of Zn, Pb, Cu, Cd, Ni and Cr were digested by HCl, HF and perchloric acid, and determined by ICP-OES (Optima5300DV, Perkin-Elmer, Sheldon, CT, USA). The effective state content of the corresponding heavy metal elements in the soil was extracted by 0.1 mol·L−1 HCl (liquid:soil = 5:1), and the liquid to be measured was determined by ICP-OES [18]. Soil reference materials (gbw07388) and parallel samples were inserted during digestion and analysis of soil samples for quality control of accuracy. The recovery rate of reference material analysis was 75–110%, indicating that the analysis method was reliable.
Soil agricultural chemical analysis was used for determination of basic soil chemical properties [19]: soil and water were mixed at 2.5:1, and soil pH was measured with a pH meter. Organic matter was determined by potassium dichromate volumetric method. Alkali-hydrolysis N was determined by alkali-hydrolysis diffusion method. After extracting the soil samples with 0.5 mol·L−1 sodium bicarbonate, the available P was determined by molybdenum blue colorimetry.
The chemical extraction method proposed by Tessier et al. [20] in 1979 was used to analyze the morphology of heavy metals. Separating metals into exchangeable, carbonate, Fe–Mn oxides, organically bound, and residual state specifically refers to the method of Gomez-Airza et al. [21].

2.4. Data Processing

Statistical analysis of data was performed using a combination of Microsoft Excel 2003 and SPSS 16.0 software, and the significance of differences between means were analyzed using Duncan’s multiple comparisons (SSR test, p < 0.05).

3. Results

3.1. Basic Chemical Properties of Rhizosphere Soil of M. floridulus

Compared with non-rhizosphere soil, the chemical composition of the rhizosphere soil of M. floridulus was significantly changed due to the absorption of the roots of M. floridulus, the action of the root exudates, and the activities of the soil microorganisms (Table 1). The nutrient content of the soil increased to varying degrees, and the soil matrix was improved to some extent [22,23,24]. The acidic substrate of tailings reservoir soil tends to be pH neutral. Although the soil organic matter content in the tailings pond area was low, compared with the non-rhizosphere soil, the soil organic matter content in the rhizosphere soil of Pentatitudes also increased significantly, with an average increase of 11.2%. Moreover, studies have shown that plants can significantly improve the content of soil nutrients during the growth process, and soil nutrients under different vegetation have obvious surface aggregation effects [15,25]. This result is similar to the relevant research results. Van Bremen and others believe that soil is the product of ecosystem engineering, because for the ecological environment where the soil is located, larger animals and plants have an impact on the physical and chemical properties of the soil [26,27]. Plants can affect many properties of soil, such as acidity and available nutrients, which are of great significance for plant survival and growth [28,29].
According to the quadrat survey data, there are obvious differences in the composition and structure of the plant communities in the four different plots [15]. The main community type of sample plot 1 is M. floridulus + N. reynaudiana, and the important value of the dominant species M. floridulus is 66.25. There are two different community types in sample plot 2, namely, the T. latifoli community with the largest community area in the middle of the reservoir area and the M. floridulus community at the edge of the reservoir area. The important value of the dominant species M. floridulus in the sample plot is 52.05. The main community type of sample plot 3 is M. floridulus + T. latifoli, and the important value of the dominant species M. floridulus is 48.15. The main community type of sample plot 4 is M. floridulus + C. dactylon, and the important value of the dominant species M. floridulus is 45.05. This difference indicates that the plant community structure tends to be more complex from sample plot 1 to sample plot 4. At the same time, it also shows that the longer succession time can well reflect the succession trend of the vegetation in the tailings reservoir area from the pioneer population of fewer species to the stable community of multiple species [30,31].

3.2. Speciation and Distribution of Heavy Metals in Rhizosphere Soil of M. floridulus

Compared with the background values of Chinese soil elements and the national soil environmental quality standard (2018), the contents of Ni and Cr in the soils of the four tailings areas, whether in the rhizosphere or non-rhizosphere soils of Wujiemang (Table 2), although exceeding the background values of Chinese soil elements [32], are within the national soil level II standard, resulting in less heavy metal pollution in the soil. However, the contents of Zn, Pb, Cu and Cd exceed the secondary soil quality standard, and the pollution is serious, especially in the Tielongwei mine (Sample plot 1) and Chuduikeng tailings pond (Sample plot 2). The contents of Cu and Cd reach about 6~8 times of the national secondary soil standard [33].
Table 2 shows the total amount of heavy metals in rhizospheres and non-rhizospheres and their accompanying probability of the t test in M. floridulus of four tailings reservoirs. Compared with the non-rhizosphere environment, the total amount of heavy metals in the rhizosphere soil of M. floridulus decreased significantly or extremely significantly, which is related to the absorption of heavy metals by M. floridulus; conversely, it is also due to the decrease in pH in rhizosphere soil (Table 1), resulting in the increase in available content of heavy metals, which is relatively easier to be leached by rainwater [34].
The distribution of heavy metals in rhizosphere and non-rhizosphere soil of several M. floridulus was basically the same, showing that the mineral content of heavy metals occupied most of the total amount of heavy metals, while the exchange content was low (see Table 3, Table 4, Table 5, Table 6, Table 7 and Table 8). However, through the significance test of the speciation contents of heavy metals in rhizosphere soil and non-rhizosphere soil, it can be found that, compared with the main speciation contents of heavy metals in non-rhizosphere soil, the speciation of heavy metals in rhizosphere soil of four M. floridulus has significant changes. Comparing the contents of heavy metals in rhizosphere, non-rhizosphere soil exchange state, carbonate-bound state, Fe–Mn oxide-bound state and organic-bound state in four sample plots with their corresponding total heavy metals, it can be found that compared with the non-rhizosphere environment, the proportion of the contents of heavy metals in the rhizosphere environment of Wujiemang is significantly higher than that in the non-rhizosphere environment [35,36].
Among them, the change in organic-bound states of heavy metals is the most prominent. The proportion of organic-bound states of Cu in rhizosphere soil to the total amount of Cu in rhizosphere soil is 23.3% higher than that in non-rhizosphere soil. Compared with the non-rhizosphere environment, the proportion of organic-bound states of Cd and Pb in the total amount of heavy metals in rhizosphere soil increased by more than 15.0%, while Zn increased by 5.5%. Second, the exchangeable content of Cu increased by more than 4.0%, while the proportion of exchangeable content of Cu increased by 13.0%. At the same time, the proportion of the carbonate-bound state and Fe–Mn oxide-bound state in the total amount of heavy metals decreased, and the proportion of the carbonate-bound state of several heavy metals decreased by 5.8% on average, which was higher than the decrease of 4.1% of the Fe–Mn oxide-bound state.

3.3. Influencing Factors of Heavy Metal Speciation Distribution in Rhizosphere Soil of M. floridulus

3.3.1. Effects of Plant Uptake on Heavy Metal Exchange in Rhizosphere Soil

Plant growth and root metabolism are a continuous process, under which the rhizosphere environment is also in constant change, and different heavy metal forms in rhizosphere soil will also have certain dynamic changes under the condition of plant growth. Exchanged-state contents of heavy metals are related to soil physical and chemical properties, plant growth and other factors, which will directly affect plant growth, and then affect a series of transformations of heavy metal forms in rhizosphere soil. In this study, with the increase in individual biomass, the uptake of heavy metals by M. floridulus also increased significantly (See Table 9).
Heavy metals in plants mainly come from the direct absorption of exchangeable heavy metals in the soil. Compared with the change of exchangeable heavy metals in the rhizosphere of M. floridulus, although the absorption of plants increases significantly with the increase in biomass, the content of exchangeable heavy metals in the rhizosphere soil does not decrease but increases in the early growth stage of M. floridulus, even if it decreases later. It is also still higher than that in non-rhizosphere soil (the average exchange state contents of heavy metals in non-rhizosphere soil are: Zn 44.45 mg·kg−1, Pb 230.26 mg·kg−1, Cu 37.73 mg·kg−1, Cd 0.31 mg·kg−1). This shows that the absorption of heavy metals by M. floridulus mainly comes from the transformation of other forms [37,38].

3.3.2. Different Growth Times of M. floridulus Rhizosphere Soil Formation Distribution of Heavy Metals

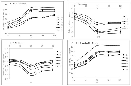
By studying the relative change rate of heavy metal forms in rhizosphere soil of M. floridulus in different growth times relative to non-rhizosphere soil, the dynamic change trend line of different heavy metal forms is obtained, as shown in Figure 2. The relative change rate (R) is obtained as follows:
R = [ i = 1 n ( Cij Cit ) i = 1 n ( Coij Coit ) 1 ] × 100 %
where Cij is the content of the j form of heavy metal i in rhizosphere soil, and Cit is the total amount of heavy metal in rhizosphere soil. Coij is the content of the j form of heavy metal i in the non-rhizosphere soil, and Coit is the total amount of heavy metal in the non-rhizosphere soil.
The results in Figure 2 show that the growth time had a significant effect on the speciation of heavy metals in the rhizosphere soil of M. floridulus. In this study, regardless of the length of growth time, the proportion of organic-bound states in the total amount of heavy metals increased significantly. Within 30 to 60 days of growth, the organic binding state increased rapidly, decreased slightly, and then tended to maintain at a certain level. The contents of heavy metals in an exchange state showed a similar trend with the increase in growth time, but the increase was slightly smaller than that in the organic-combined state. At the same time, compared with the non-rhizosphere soil, regardless of the growth time, the proportion of heavy metals in the carbonate-bound state and Fe–Mn oxide-bound state in the rhizosphere soil was significantly decreased. During the first 60 days of growth, the proportion of the two in total heavy metals decreased rapidly. After that, the decline rate slowed down and tended to remain at a certain level.

3.3.3. Relationship between Forms of Heavy Metals in Soil and Soil Properties

The contents of various forms of soil heavy metals are affected by soil physical and chemical properties, among which soil pH is closely related to them [39]. Regression analysis of the percentage of heavy metal forms in the total amount in soil and soil pH value showed that the exchangeable contents of Zn, Pb, Cu, Cd, Ni and Cr were negatively correlated with soil pH value; that is, exchangeable contents of each element decreased with the increase in pH value. This is mainly because under alkaline conditions, Zn, Pb, Cu, Cd, Ni and Cr form insoluble compounds with carbonate and phosphate, thus reducing the availability of Zn, Pb, Cu, Cd, Ni and Cr. It has been shown that the solubility of all zinc minerals can be reduced to 1% of their original solubility with each increase in pH unit [40].
The contents of the carbonate-bound state and Fe–Mn oxide-bound state of heavy metals were positively correlated with pH. This shows that with the increase in pH, the role of precipitation reaction, and metal hydroxyl complex is increased, so as to increase the specific adsorption of iron manganese oxide on Cu, Cd, Pb and Zn, and the adsorption capacity of soil on Cu, Cd, Pb and Zn is increased. Therefore, although the exchangeable content of heavy metals in the soil of the tailings reservoir area is low at present, attention should also be paid to prevent carbonate-bound and Fe–Mn oxide-bound heavy metals in the soil from directly transforming to effective forms with the decrease in soil pH and soil-aggravating heavy metal pollution [41].
All organically bound heavy metals have a significant or extremely significant positive correlation with the content of soil organic matter (see Table 10). This is mainly due to the increase in the content of organic matter in the soil, which provides more active groups, such as hydroxyl, carboxyl, methoxy and quinone groups. Because these active groups have hydrophilicity, strong complexation ability and high adsorption performance, they can form heavy metal humic acid chelates with heavy metals, which increase the adsorption capacity of soil to pollutants [42], promote the combination of some heavy metal forms, especially the effective components and organic matter, and form an organic-bound state, resulting in a significant increase in the content of the organic-bound state of heavy metals in the rhizosphere environment, but the complex metals of organic matter can be released into the soil solution with the degradation of organic matter under strong oxidation conditions. This shows that organically bound heavy metals are the potential source of exchangeable heavy metals. Therefore, while increasing the application of organic fertilizer to reduce the harm of soil heavy metals, we should also pay attention to adjusting the redox potential of soil to avoid the transformation of organically bound heavy metals to exchangeable heavy metals, resulting in an increase in the harm degree of heavy metals. From the above analysis, it can be seen that the joint action of soil pH and organic matter has resulted in the consistent increase in available and organic-bound states of heavy metals in the rhizosphere environment of M. floridulus [43].

3.3.4. Relationship between Speciation of Soil Heavy Metals and Soil Properties

The regression analysis between the content of Zn, Pb, Cu, Cd, Ni and Cr in soil and the total amount of corresponding heavy metals showed that the relationship between the content of different heavy metals and their corresponding total amount was not significant, and there was almost no correlation between the percentage of content of different forms and their total amount. This shows that the main factor affecting the form and distribution of heavy metals in soil is not the total content of heavy metals. The reason for this phenomenon may be the content of various forms of heavy metals, including exchange state, carbonate-bound state, Fe–Mn oxide-bound state and organic-bound state, which are easily affected by external factors, especially the pH of soil matrix, organic matter content, plant growth and other factors [44].

4. Discussion

As a special kind of heavy metal-polluted land, the key to solving the problem of phytoremediation of heavy metal tailings wasteland lies in the improvement of the matrix and the selection of species [45]. A considerable part of heavy metal tailings wasteland is located in relatively low-lying areas such as valleys and river valleys [46], which are not urgently required to be transformed into cultivated land. At present, what needs to be solved urgently is to improve its exposed and unstable tailings matrix and to realize vegetation coverage, so as to reduce the harm of the wasteland to the surrounding environment. Therefore, matrix improvement is particularly important here. Through the study of the rhizosphere environment of wild plants under natural conditions, this study shows that the growth of plants can improve the soil matrix (Table 1), which is mainly reflected in the increase in soil nutrients (Table 1) and the decrease in total heavy metals (Table 2). On the premise that the known species of heavy metal hyperaccumulation plants are too few and the number is too limited to be widely used, increasing the research on local tolerant plants and actively improving the tailings matrix are of great value for accelerating the vegetation coverage process of heavy metal tailings wasteland.
Zhou Qixing et al. [47] studied the changes of different forms of heavy metals in crop rhizosphere soil in a simulated environment. The results showed that the forms of heavy metals in rhizosphere soil changed regularly in different periods of crop growth, which showed that the contents of exchangeable, carbonate-bound and iron manganese oxide-bound increased first and then decreased. After a certain time, the contents of exchangeable and carbonate-bound were finally lower than those in non-rhizosphere soil. The change in organic-bound metals in rhizosphere soil is opposite to that of iron and manganese oxides, which gradually decrease to the lowest during the growth period and then gradually recover. This study shows that under natural conditions, the proportion of organic-bound heavy metals in the total amount of heavy metals increases significantly regardless of the growth time of M. floridulus, and tends to maintain at a certain level. Although the change range of exchange heavy metals is slightly smaller than that of organic-bound heavy metals, it is also higher than that of non-rhizosphere soil, and there is an obvious continuous increase. On the contrary, compared with non-rhizosphere soil, the proportion of carbonate-bound state and Fe–Mn oxide-bound state in the total amount of heavy metals in the rhizosphere soil of M. floridulus decreased significantly and tended to maintain at a certain level after a period of growth. The reason for the above different phenomena may be that compared with simulated cultivation, the growth environment of natural plants is equivalent to an open and unlimited pollution source [48,49].
For the absorption of a single plant, the total amount of pollutants in the soil environment is almost unlimited, and a single plant has little impact on the surrounding soil environment as a whole. Factors such as rain leaching, the activities of animals and microorganisms, and the growth and reproduction of a large number of other plants promote the morphological transformation process of heavy metals in soil and their migration in physical space, such that the effective forms of heavy metals that can be directly absorbed by M. floridulus near the rhizosphere can be continuously supplemented, without the phenomenon that the absorbable forms are greatly reduced due to excessive plant absorption under cultivation conditions [50,51]. At the same time, the content of soil organic matter in the tailings reservoir area is low, and the growth of M. floridulus causes a significant increase in the content of organic matter in the rhizosphere environment (Table 1), which promotes a large increase in the content of organically bound heavy metals (Table 3, Table 4, Table 5 and Table 6). The root exudates of M. floridulus reduce the soil pH, resulting in the transformation of the carbonate-bound state and even organic-bound state to an exchange state in the soil. In addition, the exchangeable state of heavy metals is a bioavailable form. Compared with the residual state, the carbonate-bound, iron manganese oxide-bound and organic-bound heavy metals are weak binding forms and have strong potential bioavailability. The change in the content percentage of these four forms of heavy metals in their total amount will also lead to a change in heavy metal migration and other activities in the soil [51,52].
Therefore, it can be considered that the absorption of M. floridulus may not be the only reason why the total amount of heavy metals in rhizosphere soil is lower than that in non-rhizosphere soil. The growth of M. floridulus and the action of root exudates cause the change in the form composition of heavy metals in rhizospheres, especially the transformation from a residue state to a weak binding state, and a carbonate-binding state to an Fe–Mn oxide binding state, and the weak binding form components of these heavy metals tend to decompose and transform into an effective state. As a result, the proportion of the available content of heavy metals in the rhizosphere soil of M. floridulus increased significantly, which greatly improved the migration ability of soil heavy metals and made it easier to be taken away by external factors such as rainwater leaching, resulting in the decrease in the total content of heavy metals in the soil.

5. Conclusions

(1) The content of organic matter in the natural soil of the Dabaoshan tailings reservoir area in northern Guangdong is low, while the soil pH value decreases and the content of soil organic matter increases significantly in the rhizosphere environment compared with the non-rhizosphere environment.
(2) The total amount of heavy metals in the rhizosphere environment and non-rhizosphere environment decreased significantly or extremely significantly due to factors such as absorption of M. floridulus.
(3) The main forms of heavy metals in rhizosphere and non-rhizosphere soils of M. floridulus in the tailings reservoir area show that the mineral content accounts for most of the total amount of heavy metals, and the exchange content is low.
(4) With the growth of M. floridulus, the contents of heavy metal exchange state and organic-bound state in rhizosphere soil increased significantly, while the contents of carbonate-bound state and iron manganese oxide-bound state decreased.
(5) The exchangeable contents of Zn, Pb, Cu, Cd, Ni and Cr were negatively correlated with soil pH, while the contents of carbonate-bound and iron manganese oxide-bound were positively correlated with pH. Organic-bound heavy metals were positively correlated with organic matter content, while carbonate-bound and iron manganese oxide-bound were negatively correlated with organic matter content. However, there is no significant correlation between the existence, distribution and total amount of heavy metals.

Author Contributions

Project administration, writing—review and editing, J.Q.; experimental data analysis, H.Z.; formal analysis, M.D.; methodology, P.Z. and X.C.; investigation, H.L. and B.L. All authors have read and agreed to the published version of the manuscript.

Funding

This work was supported by the Guangdong Provincial Key Laboratory of Environmental Health and Land Resource (project number: 2020B121201014); Special Project of Key Areas of Colleges and Universities in Guangdong Province (Science and Technology Promoting Rural Revitalization) “Research and Development of Key Technologies for Resource Utilization of Manure from Large-Scale Livestock and Poultry Breeding in Rural Areas of Western Guangdong” (No.:2021ZDZX4023); Innovation Team Project of Colleges and Universities in Guangdong Province (2021KCXTD055).

Institutional Review Board Statement

Not applicable.

Informed Consent Statement

Not applicable.

Data Availability Statement

The data presented in this study are available on request from the corresponding author.

Acknowledgments

This work was acknowledge the Guangdong Provincial Key Laboratory of Environmental Health and Land Resource; Special Project of Key Areas of Colleges and Universities in Guangdong Province (Science and Technology Promot-ing Rural Revitalization) “Research and Development of Key Technologies for Resource Utiliza-tion of Manure from Large-Scale Livestock and Poultry Breeding in Rural Areas of Western Guangdong” and Innovation Team Project of Colleges and Universities in Guangdong Province.

Conflicts of Interest

The authors declare no conflict of interest.

References

  1. Yu, Z.Z.; Liu, E.F.; Lin, Q.; Zhang, E.L.; Yang, F.; Wei, C.Y.; Shen, J. Comprehensive assessment of heavy metal pollution and ecological risk in lake sediment by combining total concentration and chemical partitioning. Environ. Pollut. 2021, 269, 116–212. [Google Scholar] [CrossRef] [PubMed]
  2. Bai, J.; Li, W.Y.; Zhang, Y.L.; Xiao, L.; Lu, W.S.; Li, Y.T. Distributions and risks of Cu, Cd, Pb and Zn in soils and rice in the North River Basin, South China. Earth Environ. Sci. Trans. R. Soc. 2018, 109, 483–493. [Google Scholar] [CrossRef]
  3. Madrid, L.; Diaz-Barrientos, E.; Madrid, F. Distribution of heavy metal contents of urban soils in parks of Seville. Chemosphere 2002, 49, 1301–1308. [Google Scholar] [CrossRef]
  4. He, M.C.; Wang, X.Q.; Wu, F.C.; Fu, Z.Y. Antimony pollution in China. Sci. Total Environ. 2012, 421–422, 41–50. [Google Scholar] [CrossRef] [PubMed]
  5. Li, J.Y.; Zheng, B.H.; He, Y.Z.; Zhou, Y.Y.; Chen, X.; Ruan, S.; Yang, Y.; Dai, C.H.; Tang, L. Antimony contamination, consequences and removal techniques: A review. Ecotoxicol. Environ. Saf. 2018, 156, 125–134. [Google Scholar] [CrossRef] [PubMed]
  6. Zhou, X.-Y.; Wang, X.-R. Impact of industrial activities on heavy metal contamination in soils in three major urban agglomerations of China. J. Clean. Prod. 2019, 230, 1–10. [Google Scholar] [CrossRef]
  7. Desai, M.; Haigh, M.; Walkington, H. Phytoremediation: Metal decontamination of soils after the sequential forestation of former opencast coal land. Sci. Total Environ. 2019, 656, 670–680. [Google Scholar] [CrossRef]
  8. Lenka, Š.; Juraj, F.; Danica, F. Transfer of Potentially Toxic Elements in the Soil-Plant System in Magnesite Mining and Processing Areas. Processes 2022, 10, 720. [Google Scholar]
  9. Xu, J.; Wang, S.; Yao, T.; She, X.; Gan, Z. Vertical Distributions and Bioavailabilities of Heavy Metals in Soil in An-Tea Plantations in Qimen County, China. Processes 2022, 10, 664. [Google Scholar] [CrossRef]
  10. Zhou, S.; Deng, R.; Hursthouse, A. Risk Assessment of Potentially Toxic Elements Pollution from Mineral Processing Steps at Xikuangshan Antimony Plant, Hunan, China. Processes 2020, 8, 29. [Google Scholar] [CrossRef] [Green Version]
  11. Fu, S.; Zhou, Y.; Zhao, Y.; Gao, Q.Z.; Peng, X.Z.; Dang, Z.; Zhang, C.B.; Yang, X.Q.; Yang, Z.J.; Dou, L.; et al. Study on heavy metals in soils contaminated by acid mine drainage from Dabaoshan Mine, Guangdong. Environ. Sci. 2007, 28, 805–812. [Google Scholar]
  12. Lin, C.; Lu, W.; Wu, Y.; Long, J.; Nie, C. Environmental impacts of acid mine drainage from the Dabaoshan Mine: Ⅱ. Agricultural ecosystem. Ecol. Environ. 2005, 14, 169–172. [Google Scholar]
  13. Zhao, H.R.; Xia, B.C.; Qin, J.Q.; Zhang, J. Hydrogeochemical and mineralogical characteristics related to heavy metal attenuation in a stream polluted by acid mine drainage: A case study in Dabaoshan mine, China. J. Environ. Sci. 2012, 24, 979–989. [Google Scholar] [CrossRef]
  14. Zhao, H.R.; Xia, B.C.; Fan, C.; Zhao, P.; Shen, S. Human health risk from soil heavy metal contamination under different land uses near Dabaoshan mine, southern China. Sci. Total Environ. 2012, 417, 45–54. [Google Scholar] [CrossRef] [PubMed]
  15. Qin, J.Q.; Xia, B.C.; Hu, M.; Zhao, P.; Zhao, H.R.; Lin, X.F. Analysis of the vegetation succession of tailing wasteland of Dabaoshan Mine, Guangdong Province. J. Agro-Environ. Sci. 2009, 28, 2085–2091. [Google Scholar]
  16. Chen, S.X.; Chen, J.D.; Xie, L.; Liao, J.W.; Zhang, J.C.; Yang, Q.L. Heavy metal accumulation characteristics of plants in Dabaoshan Mine in Guangdong Province. J. Soil Water Conserv. 2011, 25, 216–220. [Google Scholar]
  17. Xing, N.; Wu, P.X.; Li, Y.Y.; Zhi, D. Analysis of chemical forms and potential mobility ability of heavy metals in tailings from Dabaoshan mine. Chin. J. Environ. Eng. 2011, 5, 1370–1374. [Google Scholar]
  18. Cui, J.L.; Luo, C.L.; Tang, C.W.; Chang, T.; Li, X. Speciation and leaching of trace metal contaminants from e-waste contaminated soils. J. Hazard. Mater. 2017, 329, 150–158. [Google Scholar] [CrossRef]
  19. Lu, R. Methods of Soil and Agricultural Chemistry; Beijing Science and Technology Press: Beijing, China, 1999; pp. 235–285. [Google Scholar]
  20. Tessier, A.; Campbell, P.G.C.; Bisson, M. Sequential extraction procedure for the speciation of particulate trace metals. Anal. Chem. 1979, 51, 844–851. [Google Scholar] [CrossRef]
  21. Gomez-Airza, J.L.; Giraldezi, I.; Sanchez-Rodas, D.; Morales, E. Metal readsorption and redistribution during the analytical fractionation of trace elementsin oxic estuarine sediments. Anal. Chim. Acta. 1999, 399, 295–307. [Google Scholar] [CrossRef]
  22. Xingwang, L.; Siyuan, C.; Xiulan, Y.; Tao, L.; Xiao, Y.; El-Naggar, A.; Liu, J.; Chen, H. Evaluation of potential ecological risks in potential toxic elements contaminated agricultural soils: Correlations between soil contamination and polymetallic mining activity. J. Environ. Manag. 2021, 300, 113679. [Google Scholar]
  23. Xia, P.; Ma, L.; Sun, R.; Yang, Y.; Tang, X.; Yan, D.; Lin, T.; Zhang, Y.; Yi, Y. Evaluation of potential ecological risk, possible sources and controlling factors of heavy metals in surface sediment of Caohai Wetland, China. Sci. Total Environ. 2020, 740, 140231. [Google Scholar] [CrossRef] [PubMed]
  24. Kurma, V.; Sharma, A.; Kaur, P.; Sidju, G.P.S.; Bali, A.S.; Bhardwaj, R.; Thukral, A.K.; Cerda, A. Pollution assessment of heavy metals in soils of India and ecological risk assessment: A state-of-the-art. Chemosphere 2018, 216, 449–462. [Google Scholar]
  25. Zhang, Z.; Jin, J.; Zhang, J.; Zhao, D.; Li, H.; Yang, C.; Huang, Y. Contamination of Heavy Metals in Sediments from an Estuarine Bay, South China: Comparison with Previous Data and Ecological Risk Assessment. Processes 2022, 10, 837. [Google Scholar] [CrossRef]
  26. Yu, Y.-J.; Lin, Q.-G.; Shi, Q.-H.; Liu, J. Changes of habitat and vegetation in man-made vegetation area of Shapotou Section Along Baotou-Lanzhou Railway. Acta Ecol. Sin. 2002, 22, 433–439. [Google Scholar]
  27. Li, Y.; Wang, Y.-B.; Liu, D.-Y. Investigation on the vegetation of copper tailing wasteland in Shizhishan, Tongling, Anhui Province. Chin. J. Appl. Ecol. 2003, 14, 1981–1984. [Google Scholar]
  28. Van Breemen, N. Soils asbiotic constructs favouring netprimary productivity. Geoderma 1993, 57, 183–211. [Google Scholar] [CrossRef]
  29. Guoqing, L.; Xiaoan, W.; Hua, G.; Zhihong, Z. Effects of ecological factors on plant communities of Ziwuling Mountain, Shanxi Province. Acta Ecol. Sin. 2008, 28, 2463–2471. [Google Scholar] [CrossRef]
  30. Wang, J.; Wang, Z.H.; Geng, X.; He, F.; Zu, Y.; Wang, L. REE biogeochemistry of soil-vegetation system in Dabaoshan Polymetallic Mine. Earth Sci. 2014, 39, 733–740. [Google Scholar]
  31. Li, X.; Yang, H.; Zhang, C.; Zeng, G.M.; Liu, Y.G.; Xu, W.H.; Wu, Y.E.; Lan, S.M. Spatial distribution and transport characteristics of heavy metals around an antimony mine area in central China. Chemosphere 2017, 170, 17–24. [Google Scholar] [CrossRef]
  32. China National Environmental Monitoring Centre. Background Values of Chinese Soil Elements; China Environmental Science Press: Beijing, China, 1990. (In Chinese) [Google Scholar]
  33. Ministry of Ecology and Environment, State Administration of Markets. Soil Environmental Quality Risk Control Standard for Soil Contaminaton of Agricultural Land (Trial): GB 15618—2018 [S]; China Standard Press: Beijing, China, 2018. (In Chinese)
  34. Chen, Y.J.; Huang, Y.; Cao, J.; Xu, F.; Li, B.; Tao, S. Transformationof copper speciation in maize rhizosphere. Acta Ecol. Sin. 2002, 22, 1666–1671. [Google Scholar]
  35. Chen, Y.J.; Huang, Y.; Cao, J.; Tao, S. Changes in fractios of heavy metals in maize rhizosphere soil. Acta Pedol. Sin. 2003, 40, 367–373. [Google Scholar]
  36. Liu, X.; Liu, S.Q.; Wang, S.A. Distribution of cadmium and lead forms and its affecting factors in soil of Hebei Province. Acta Pedol. Sin. 2003, 40, 393–400. [Google Scholar]
  37. Teng, Y.; Huang, C.Y.; Luo, Y.M.; Long, J.; Yao, H.Y. Microbial activities and functional diversity of community in soils polluted with Pb-Zn-Ag mine tailings. Acta Pedol. Sin. 2004, 41, 113–119. [Google Scholar]
  38. Wang, H.B.; Shu, W.-S.; Lan, C.-Y. Ecology for heavy metal pollution: Recent advances and future prospects. Acta Ecol. Sin. 2005, 25, 596–605. [Google Scholar]
  39. Chen, Z.-J.; Tian, W.; Li, Y.-J.; Sun, L.-N.; Chen, Y.; Zhang, H.; Li, Y.-Y.; Han, H. Responses of rhizosphere bacterial communities, their functions and their network interactions to Cd stress under phytostabilization by Miscanthus spp. Environ. Pollut. 2021, 287, 117663. [Google Scholar] [CrossRef] [PubMed]
  40. Li, H.; Su, J.-Q.; Yang, X.-R.; Zhu, Y.-G. Distinct rhizosphere effect on active and total bacterial communities in paddy soils. Sci. Total Environ. 2019, 649, 422–430. [Google Scholar] [CrossRef]
  41. Huang, H.L.; Luo, L.; Huang, L.H.; Zhang, J.C.; Petros, G.; Zhou, Y.Y. Effect of Manure Compost on Distribution of Cu and Zn in Rhizosphere Soil and Heavy Metal Accumulation by Brassica juncea. Water Air Soil Pollut. Int. J. Environ. Pollut. 2020, 231, 156–163. [Google Scholar] [CrossRef]
  42. Kandziora-Ciupa, M.; Nadgórska-Socha, A.; Barczyk, G. The influence of heavy metals on biological soil quality assessments in the Vaccinium myrtillus L. rhizosphere under different field conditions. Ecotoxicology 2021, 30, 1–19. [Google Scholar] [CrossRef]
  43. Chen, J.; Wang, W.H.; Wu, F.H.; You, C.Y.; Liu, T.W.; Dong, X.J.; He, J.X.; Zheng, H.L. Hydrogen sulfide alleviates aluminum toxicity in barley seedlings. Plant Soil 2013, 362, 301–318. [Google Scholar] [CrossRef]
  44. Zhong, X.L.; Zhou, S.L.; Huang, M.L.; Zhao, Q.G. Chemical form distribution characteristic of siol heavy metals and its influencing factors. Ecol. Environ. Sci. 2009, 18, 1266–1273. [Google Scholar]
  45. Zhou, Q.X.; Sun, F.H.; Guo, G.L.; Sun, T.H. Influence of acetochlor on Pb forms and their bioavailability in phaiozem of northeast China. Chin. J. Appl. Ecol. 2004, 15, 1883–1886. (In Chinese) [Google Scholar]
  46. Li, J.K.; Zhang, D.; Zhou, P.; Liu, Q.L. Assessment of heavy metal pollution in soil and its bioaccumulation by dominant plants in a Lead-Zinc Mining Area, Nanjing. Environ. Sci. 2018, 39, 3845–3853. [Google Scholar]
  47. Zhou, Q.X.; Sun, T.H. Effects of chromium (VI) on extractability and plant uptake of fluorine in agricultural soils of Zhejiang Province, China. Water Air Soil Pollut. 2002, 133, 145–160. [Google Scholar] [CrossRef]
  48. Tang, J.Y.; Zhang, J.C.; Ren, L.H.; Zhou, Y.Y.; Gao, J.; Luo, L.; Yang, Y.; Peng, Q.H.; Huang, H.L.; Chen, A.W. Diagnosis of soil contamination using microbiological indices: A review on heavy metal pollution. J. Environ. Manag. 2019, 242, 121–130. [Google Scholar] [CrossRef]
  49. Lecerf, A.; Cébron, A.; Gilbert, F.; Danger, M.; Roussel, H.; Florence, M.-D. Using plant litter decomposition as an indicator of ecosystem response to soil contamination. Ecol. Indic. 2021, 125, 107554. [Google Scholar] [CrossRef]
  50. Osim, E.; Chuxia, L.; Junhao, Q. Heavy metal contamination status in soil-plant system in the Upper Mersey Estuarine Floodplain, Northwest England. Mar. Pollut. Bull. 2019, 146, 292–304. [Google Scholar]
  51. Wilkins, C. The uptake of copper, arsenic and zinc by Miscanthus-environmental implications for use as an energy crop. Asp. Appl. Biol. 1997, 49, 335–340. [Google Scholar]
  52. Wei, C.Y.; Chen, T.B. The ecological and chemical characteristics of plants in the areas of high arsenic levels. Acta Phytoecol. Sin. 2002, 26, 695–700. [Google Scholar]
Figure 1. Sketch map of the Dabaoshan mine area and the sampling site locations.
Figure 1. Sketch map of the Dabaoshan mine area and the sampling site locations.
Processes 10 01217 g001
Figure 2. Relative changes in heavy metal forms in M. floridulus rhizosphere soil ((A) is the Exchangeable, (B) is the Carbonate, (C) is the Fe-Mn oxide, and (D) is the Organically bound).
Figure 2. Relative changes in heavy metal forms in M. floridulus rhizosphere soil ((A) is the Exchangeable, (B) is the Carbonate, (C) is the Fe-Mn oxide, and (D) is the Organically bound).
Processes 10 01217 g002
Table 1. Some physico-chemical properties of soil samples tested.
Table 1. Some physico-chemical properties of soil samples tested.
Sample Plot NoCategorypHMoisture Content/(%)Organic Matter/(g·kg−1)Available P/(mg·kg−1)Alkali Hydrolyzed N/(mg·kg−1)Dominant Plant Community
Sample plot 1I3.35 ± 0.0327.50 ± 3.152.75 ± 0.6512.75 ± 2.0513.50 ± 1.65Miscanthus floridulus + Neyraudia reynaudiana
II3.16 ± 0.0527.85 ± 3.252.96 ± 0.7813.96 ± 2.3513.96 ± 2.15
p00.010.010.030.05
Sample plot 2I3.45 ± 0.0423.85 ± 3.058.85 ± 1.6516.55 ± 2.6518.60 ± 1.50Typha latifolia + Miscanthus floridulus
II3.34 ± 0.0523.98 ± 2.659.93 ± 1.8517.25 ± 2.7019.26 ± 2.05
p0.020.020.030.040.02
Sample plot 3I5.20 ± 0.0921.85 ± 1.6517.25 ± 2.3520.75 ± 3.1543.75 ± 3.65Miscanthus floridulus + Typha latifolia
II5.05 ± 0.1022.08 ± 2.1522.33 ± 2.2023.35 ± 3.2344.55 ± 4.05
p0.020.010.010.010.03
Sample plot 4I6.20 ± 0.1119.50 ± 1.5518.95 ± 2.6528.65 ± 3.4565.80 ± 4.60Miscanthus floridulus + Cynodon dactylon
II6.10 ± 0.1319.45 ± 1.6524.25 ± 2.7535.98 ± 3.7566.95 ± 5.75
p000.010.010.01
Note: n = 6 (The data in the table are the average values of 6 samples). Sample plot 1: Tielongwei mine pond; Sample plot 2: Caoweikeng tailings pond; Sample plot 3: Donghua tailings pond; Sample plot 4: small tailings pond. I: Bulk soil, II: Rhizosphere soi, p: I and II Concomitant probability of t test.
Table 2. Contents of heavy metals and results (p) of t tests in M. floridulus rhizosphere and non-rhizosphere soils/mg·kg−1.
Table 2. Contents of heavy metals and results (p) of t tests in M. floridulus rhizosphere and non-rhizosphere soils/mg·kg−1.
Sample Plot NoCategoryZnPbCuCdNiCr
Sample plot 1I2395.25 ± 160.42212.75 ± 141.11878.75 ± 115.39.63 ± 1.739.33 ± 4.653.50 ± 8.1
II2285.25 ± 140.62155.30 ± 130.11750.20 ± 103.68.90 ± 1.334.03 ± 4.246.70 ± 7.3
p0.020.040.020.030.030.04
Sample plot 2I2050.50 ± 145.31356.20 ± 105.41693.69 ± 108.28.85 ± 1.131.23 ± 4.143.15 ± 5.1
II1840.40 ± 131.41276.15 ± 95.41580.60 ± 101.18.05 ± 1.025.10 ± 3.638.88 ± 4.5
p0.040.040.020.040.040.03
Sample plot 3I780.88 ± 78.3980.55 ± 75.31072.50 ± 95.35.88 ± 0.923.15 ± 2.235.18 ± 4.3
II690.50 ± 68.6910.30 ± 61.2985.50 ± 83.35.11 ± 0.717.60 ± 1.727.10 ± 3.1
p0.020.0200.040.030.02
Sample plot 4I440.25 ± 27.4750.35 ± 65.8695.70 ± 65.92.20 ± 0.613.12 ± 1.815.10 ± 2.3
II410.65 ± 32.8670.67 ± 55.2580.60 ± 55.71.78 ± 0.5110.08 ± 1.1011.12 ± 1.66
p0.020.0200.010.020.02
Table 3. Zn forms change and results (p) of t tests in M. floridulus rhizosphere and non-rhizosphere soils/mg·kg−1.
Table 3. Zn forms change and results (p) of t tests in M. floridulus rhizosphere and non-rhizosphere soils/mg·kg−1.
CategorySample Plot NoExchangeable ContentCarbonate-Bound ContentFe–Mn Oxide-Bound ContentOrganically Bound Content
ISample plot 1239.27 ± 16.37288.17 ± 19.26329.87 ± 25.25243.25 ± 18.38
Sample plot 2205.51 ± 14.31255.11 ± 16.30299.11 ± 19.80216.53 ± 17.35
Sample plot 378.46 ± 7.36118.41 ± 9.88158.45 ± 11.8188.58 ± 8.66
Sample plot 444.25 ± 2.3567.15 ± 3.8597.18 ± 8.8653.26 ± 4.15
IISample plot 1249.15 ± 17.30279.11 ± 18.34321.83 ± 23.23249.28 ± 19.98
Sample plot 2216.50 ± 15.11246.51 ± 17.85285.11 ± 17.85225.51 ± 19.33
Sample plot 378.46 ± 7.36108.76 ± 8.35150.41 ± 9.8895.55 ± 9.61
Sample plot 448.28 ± 2.9961.25 ± 4.1791.15 ± 7.8158.75 ± 5.11
p 0.010.010.020.01
Table 4. Pb forms change and results (p) of t tests in M. floridulus rhizosphere and non-rhizosphere soils/mg·kg−1.
Table 4. Pb forms change and results (p) of t tests in M. floridulus rhizosphere and non-rhizosphere soils/mg·kg−1.
CategorySample Plot NoExchangeable ContentCarbonate-Bound ContentFe–Mn Oxide-Bound ContentOrganically Bound Content
ISample plot 1412.75 ± 41.15112.71 ± 11.18405.71 ± 31.75212.34 ± 21.05
Sample plot 2296.20 ± 25.4076.20 ± 7.96286.22 ± 21.45156.21 ± 15.41
Sample plot 3270.55 ± 25.3570.15 ± 5.36260.85 ± 23.38140.51 ± 13.33
Sample plot 4230.35 ± 15.8355.35 ± 5.03220.65 ± 11.33110.45 ± 11.89
IISample plot 1415.30 ± 35.10107.75 ± 11.15375.11 ± 27.70219.38 ± 23.08
Sample plot 2306.15 ± 31.4571.25 ± 7.15276.30 ± 22.41163.28 ± 16.49
Sample plot 3290.30 ± 29.2061.88 ± 5.02250.15 ± 20.33148.57 ± 13.88
Sample plot 4240.67 ± 18.2351.33 ± 5.05210.25 ± 10.52119.96 ± 12.22
p 0.020.030.010.01
Table 5. Cu forms change and results (p) of t tests in M. floridulus rhizosphere and non-rhizosphere soils/mg·kg−1.
Table 5. Cu forms change and results (p) of t tests in M. floridulus rhizosphere and non-rhizosphere soils/mg·kg−1.
CategorySample Plot NoExchangeable ContentCarbonate-Bound ContentFe–Mn Oxide-Bound ContentOrganically Bound Content
ISample plot 198.75 ± 15.31158.15 ± 15.31198.75 ± 15.33278.71 ± 25.11
Sample plot 283.69 ± 9.21133.19 ± 18.12183.69 ± 18.22269.65 ± 18.22
Sample plot 352.50 ± 5.3572.53 ± 9.17102.50 ± 9.37152.58 ± 13.35
Sample plot 437.70 ± 3.9054.30 ± 6.2574.70 ± 6.38104.70 ± 8.38
IISample plot 1105.71 ± 16.35149.25 ± 14.21178.35 ± 14.35288.41 ± 26.15
Sample plot 289.63 ± 9.42123.16 ± 13.13175.61 ± 17.25275.75 ± 19.29
Sample plot 355.50 ± 5.6563.58 ± 8.1595.53 ± 8.38159.98 ± 14.45
Sample plot 439.90 ± 4.2046.80 ± 5.2168.63 ± 6.11109.90 ± 9.18
p 0.010.010.030.01
Table 6. Cd forms change and results (p) of t tests in M. floridulus rhizosphere and non-rhizosphere soils/mg·kg−1.
Table 6. Cd forms change and results (p) of t tests in M. floridulus rhizosphere and non-rhizosphere soils/mg·kg−1.
CategorySample Plot NoExchangeable ContentCarbonate-Bound ContentFe–Mn Oxide-Bound ContentOrganically Bound Content
ISample plot 10.93 ± 0.100.95 ± 0.111.97 ± 0.210.97 ± 0.11
Sample plot 20.85 ± 0.080.89 ± 0.081.68 ± 0.160.88 ± 0.08
Sample plot 30.58 ± 0.050.59 ± 0.051.09 ± 0.100.59 ± 0.06
Sample plot 40.20 ± 0.020.23 ± 0.030.51 ± 0.050.25 ± 0.02
IISample plot 10.96 ± 0.120.90 ± 0.101.90 ± 0.200.99 ± 0.11
Sample plot 20.89 ± 0.100.80 ± 0.081.60 ± 0.150.91 ± 0.10
Sample plot 30.62 ± 0.060.51 ± 0.041.01 ± 0.090.66 ± 0.05
Sample plot 40.22 ± 0.020.20 ± 0.020.41 ± 0.040.25 ± 0.02
p 0.030.020.010.01
Table 7. Ni forms change and results (p) of t tests in M. floridulus rhizosphere and non-rhizosphere soils/mg·kg−1.
Table 7. Ni forms change and results (p) of t tests in M. floridulus rhizosphere and non-rhizosphere soils/mg·kg−1.
CategorySample Plot NoExchangeable ContentCarbonate-Bound ContentFe–Mn Oxide-Bound ContentOrganically Bound Content
ISample plot 12.13 ± 0.252.15 ± 0.263.93 ± 0.456.13 ± 0.65
Sample plot 21.63 ± 0.121.65 ± 0.123.23 ± 0.323.63 ± 0.32
Sample plot 31.15 ± 0.101.18 ± 0.112.35 ± 0.223.15 ± 0.30
Sample plot 40.62 ± 0.050.68 ± 0.061.32 ± 0.151.82 ± 0.11
IISample plot 12.33 ± 0.262.05 ± 0.213.43 ± 0.306.33 ± 0.86
Sample plot 21.75 ± 0.131.35 ± 0.112.50 ± 0.253.75 ± 0.33
Sample plot 31.28 ± 0.121.08 ± 0.101.70 ± 0.183.68 ± 0.30
Sample plot 40.68 ± 0.060.58 ± 0.061.08 ± 0.102.08 ± 0.21
p 0.030.030.010.01
Table 8. Cr forms change and results (p) of t tests in M. floridulus rhizosphere and non-rhizosphere soils/mg·kg−1.
Table 8. Cr forms change and results (p) of t tests in M. floridulus rhizosphere and non-rhizosphere soils/mg·kg−1.
CategorySample Plot NoExchangeable ContentCarbonate-Bound ContentFe–Mn Oxide-Bound ContentOrganically Bound Content
ISample plot 12.78 ± 0.272.80 ± 0.315.50 ± 0.517.93 ± 0.77
Sample plot 22.11 ± 0.212.15 ± 0.354.35 ± 0.456.75 ± 0.65
Sample plot 31.80 ± 0.171.88 ± 0.183.58 ± 0.355.38 ± 0.65
Sample plot 40.78 ± 0.080.80 ± 0.091.50 ± 0.152.20 ± 0.21
IISample plot 12.90 ± 0.282.30 ± 0.234.70 ± 0.478.50 ± 0.87
Sample plot 22.38 ± 0.221.98 ± 0.183.88 ± 0.367.88 ± 0.76
Sample plot 31.95 ± 0.181.35 ± 0.132.70 ± 0.256.10 ± 0.65
Sample plot 40.83 ± 0.080.62 ± 0.061.22 ± 0.122.82 ± 0.28
p 0.020.030.030.01
Table 9. Contents of heavy metals in M. floridulus and exchangeable heavy metals in rhizosphere soil of different biomass of M. floridulus.
Table 9. Contents of heavy metals in M. floridulus and exchangeable heavy metals in rhizosphere soil of different biomass of M. floridulus.
Dry Weigh/gContents of Zn/(mg·kg−1)Contents of Pb/(mg·kg−1)Contents of Cu/(mg·kg−1)Contents of Cd/(mg·kg−1)Contents of Ni/(mg·kg−1)Contents of Cr/(mg·kg−1)
5.1544.25 ± 2.91231.61 ± 15.5532.80 ± 4.050.20 ± 0.020.62 ± 0.060.73 ± 0.07
(30.25 ± 3.28) *(20.30 ± 2.21)(18.55 ± 2.08)(2.13 ± 0.21)(0.35 ± 0.02)(0.33 ± 0.03)
12.6548.28 ± 2.99240.67 ± 18.2339.90 ± 4.200.22 ± 0.020.68 ± 0.060.83 ± 0.08
(55.30 ± 5.56)(28.26 ± 2.77)(25.51 ± 2.18)(2.15 ± 0.22)(0.45 ± 0.03)(0.45 ± 0.04)
20.3949.77 ± 3.19233.25 ± 16.5643.80 ± 4.450.20 ± 0.020.65 ± 0.050.72 ± 0.07
(83.50 ± 8.25)(43.10 ± 4.28)(38.60 ± 3.78)(2.85 ± 0.26)(0.60 ± 0.04)(0.48 ± 0.04)
29.8849.77 ± 3.19225.15 ± 14.5841.50 ± 4.110.18 ± 0.020.61 ± 0.050.68 ± 0.06
(110.60 ± 11.55)(71.25 ± 6.28)(52.35 ± 5.28)(3.52 ± 1.08)(0.85 ± 0.05)(0.63 ± 0.05)
* The numerals in brackets are contents of heavy metals in Miscanthus floridulus.
Table 10. Correlation between contents of various forms of heavy metals and soil pH and organic matter.
Table 10. Correlation between contents of various forms of heavy metals and soil pH and organic matter.
FactorsFormsZnPbCuCdNiCr
pHExchangeable−0.931 **−0.661−0.911 **−0.871 **−0.902 **−0.844 *
Carbonate combined0.5680.845 *0.933 **0.928 **0.903 **0.828 *
Fe–Mn oxide combined0.814 *0.823 *0.7480.4610.7410.475
Organically bound−0.851 *−0.842 *−0.994 **−0.846 *−0.993 **−0.845 *
organic matterExchangeable0.7220.6750.828*0.1710.7150.665
Carbonate combined0.331−0.515−0.319−0.225−0.355−0.270
Fe–Mn oxide combined−0.252−0.112−0.204−0.012−0.218−0.015
Organically bound0.851 *0.836 *0.931 **0.997 **0.905 **0.751
* p < 0.05, ** p < 0.01.
Publisher’s Note: MDPI stays neutral with regard to jurisdictional claims in published maps and institutional affiliations.

Share and Cite

MDPI and ACS Style

Qin, J.; Zhao, H.; Dai, M.; Zhao, P.; Chen, X.; Liu, H.; Lu, B. Speciation Distribution and Influencing Factors of Heavy Metals in Rhizosphere Soil of Miscanthus Floridulus in the Tailing Reservoir Area of Dabaoshan Iron Polymetallic Mine in Northern Guangdong. Processes 2022, 10, 1217. https://doi.org/10.3390/pr10061217

AMA Style

Qin J, Zhao H, Dai M, Zhao P, Chen X, Liu H, Lu B. Speciation Distribution and Influencing Factors of Heavy Metals in Rhizosphere Soil of Miscanthus Floridulus in the Tailing Reservoir Area of Dabaoshan Iron Polymetallic Mine in Northern Guangdong. Processes. 2022; 10(6):1217. https://doi.org/10.3390/pr10061217

Chicago/Turabian Style

Qin, Jianqiao, Huarong Zhao, Ming Dai, Peng Zhao, Xi Chen, Hao Liu, and Baizhou Lu. 2022. "Speciation Distribution and Influencing Factors of Heavy Metals in Rhizosphere Soil of Miscanthus Floridulus in the Tailing Reservoir Area of Dabaoshan Iron Polymetallic Mine in Northern Guangdong" Processes 10, no. 6: 1217. https://doi.org/10.3390/pr10061217

APA Style

Qin, J., Zhao, H., Dai, M., Zhao, P., Chen, X., Liu, H., & Lu, B. (2022). Speciation Distribution and Influencing Factors of Heavy Metals in Rhizosphere Soil of Miscanthus Floridulus in the Tailing Reservoir Area of Dabaoshan Iron Polymetallic Mine in Northern Guangdong. Processes, 10(6), 1217. https://doi.org/10.3390/pr10061217

Note that from the first issue of 2016, this journal uses article numbers instead of page numbers. See further details here.

Article Metrics

Back to TopTop