Investigation on Vibration Signal Characteristics in a Centrifugal Pump Using EMD-LS-MFDFA
Abstract
:1. Introduction
2. A Review of the EMD-LS-MFDFA Method
2.1. EMD-LS Fitting Trend Terms
2.2. EMD-LS-MFDFA Method
3. Accuracy Analysis
- (1)
- When the singular exponent corresponds to , the extremum point can express the irregularity of the signal, and the larger is, the greater the degree of irregularity of the signal;
- (2)
- The larger the width of the multi-fractal spectrum , the clearer the multi-fractal characteristics of the signal and the more substantial the signal fluctuations. Additionally, the left endpoint and right endpoint correspond to the singular indices where the fluctuation is the largest and smallest, respectively;
- (3)
- The multiple fractal spectral difference reflects the proportion of the peak of the signal fluctuation to that of the fluctuation stationary, and the greater the proportion, the greater the signal volatility.
4. Experimental Setup and Fault Data
5. Case Analysis
6. Conclusions
- (1)
- Compared to the MFDFA method, the EMD-LS-MFDFA method produced results closer to the multiple fractal characteristics of BMS theory, and had more accurate analysis capabilities;
- (2)
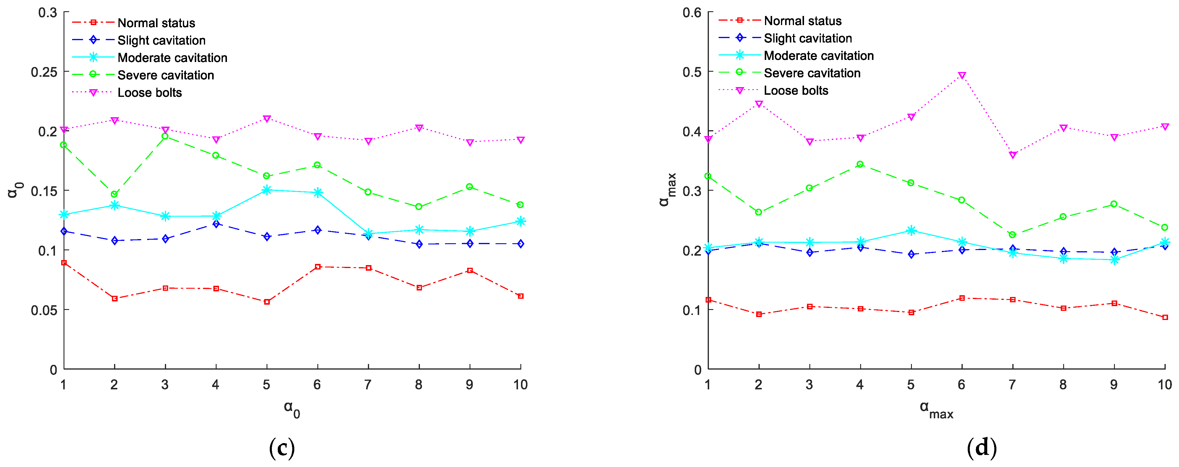
- All centrifugal pump vibration signals showed multiple fractal characteristics. Normal vibration signals were relatively stable and irregularity in them was low, while signals associated with severe cavitation and anchor bolt loosening fault vibration were more intense, and irregularity was higher. Of these types, the loose foot bolt fault signal was the most irregular of all, so the multiple fractal characteristics of this fault state were notably stronger than those of the normal state, and its multiple fractal characteristics were also stronger than those of a state of cavitation, irrespective of degree.
- (3)
- The multiple fractal spectral characteristic parameters , , , , and effectively distinguished between the normal and fault states of a centrifugal pump. When the stability of and was better, compared to the and parameters extracted by MFDFA, they were able to separate the different fault states of centrifugal pumps more accurately, so the EMD-LS-MFDFA method can be used as a new means of extracting centrifugal pump fault features. The extracted feature parameters can be used as fault characteristics to quantify the different working states of centrifugal pumps.
Author Contributions
Funding
Conflicts of Interest
References
- Li, W.; Zhu, Z.; Jiang, F.; Zhou, G.; Chen, G. Fault diagnosis of rotating machinery with a novel statistical feature extraction and evaluation method. Mech. Syst. Signal Process. 2015, 50, 414–426. [Google Scholar] [CrossRef]
- Li, J.; Zhou, J.; Xiao, J.; Pu, G.; Li, C.; Xiao, H. Feature extraction of turbine cavitation based on wavelet packet and fractal analysis. J. Hydro Power 2013, 39, 53–57. [Google Scholar]
- Zhou, Y.L.; Hong, J.; Zhao, P. The application of HHT and RBF neural networks for processing fault-vibration signals from centrifugal pumps. J. Eng. Therm. Energy Power 2007, 22, 84–87, 113. [Google Scholar]
- Xiangyang, D.; Yongsheng, W.; Yongsheng, S. Application of slice bispectrum analysis to fault diagnosis of centrifugal pump. J. Vib. Meas. Diagn. 2010, 30, 581–584, 600. [Google Scholar]
- Logan, D.B.; Mathew, J. Using the correlation dimension for vibration fault diagnosis of rolling element bearings—II. Selection of experimental parameters. Mech. Syst. Signal Process. 1996, 10, 251–264. [Google Scholar] [CrossRef]
- Purkait, P.; Chakravorti, S. Impulse fault classification in transformers by fractal analysis. IEEE Trans. Dielectr. Electr. Insul. 2003, 10, 109–116. [Google Scholar] [CrossRef]
- Kantelhardt, J.W.; Zschiegner, S.A.; Koscielny-Bunde, E.; Havlin, S.; Bunde, A.; Stanley, H.E. Multifractal detrended fluctuation analysis of nonstationary time series. Phys. A Stat. Mech. Appl. 2002, 316, 87–114. [Google Scholar] [CrossRef] [Green Version]
- Lin, J.S.; Chen, Q. Fault feature extraction of gearboxes based on multifractal detrended fluctuation analysis. J. Vib. Shock. 2013, 32, 97–101. [Google Scholar]
- Li, Z.; Chai, Y.; Li, H. Diagnosing faults in vibration signals by multifractal detrended fluctuation analysis. J. Huazhong Univ. Sci. Technol. (Nat. Sci. Ed.) 2012, 40, 5–9. [Google Scholar]
- Martínez, J.L.M.; Segovia-Domínguez, I.; Rodríguez, I.Q.; Horta-Rangel, F.A.; Sosa-Gómez, G. A modified Multifractal Detrended Fluctuation Analysis (MFDFA) approach for multifractal analysis of precipitation. Phys. A Stat. Mech. Appl. 2021, 565, 125611. [Google Scholar] [CrossRef]
- Jiajing, L. Multi-Fractal Method based on De-Sliding Mean Trend and Its Application. Dissertation Thesis, Guangzhou University, Guangzhou, China, 2017. [Google Scholar]
- Sun, J.; Sheng, H. A hybrid detrending method for fractional Gaussian noise. Phys. A Statal Mech. Appl. 2011, 390, 2995–3001. [Google Scholar] [CrossRef]
- Yuan, L.; Quan-min, X.; Ming-shou, Z.; Liang, L.U.; Xing-hua, L.I. Research on trend removing methods in preprocessing analysis of blasting vibration monitoring signals. Eng. Mech. 2012, 29, 63–68. [Google Scholar]
- Yan, W.; Yunchao, X.; Tiehua, M. Research on zero drift processing method using EMD and Least-Square. Trans. Beijing Inst. Technol. 2015, 35, 118–122. [Google Scholar]
- Zhang, J.; Pan, Z.X.; Zheng, Y.X.; Li, Y. Research on vibration signal trend extraction. Acta Electron. Sin. 2017, 45, 22–28. [Google Scholar]
- Dybala, J.; Zimroz, R. Rolling bearing diagnosing method based on Empirical Mode Decomposition of machine vibration signal. Appl. Acoust. 2014, 77, 195–203. [Google Scholar] [CrossRef]
- Xiang, H.Y.; Leng, C.J.; Zhong, Y.X. Numerical Simulation and Experimental Method for Auto-Panel Forming Defects Analysis; Materials Science Forum; Trans Tech Publications Ltd.: Bäch, Switzerland, 2008; Volume 575, pp. 169–173. [Google Scholar]
- Manimaran, P.; Panigrahi, P.K.; Parikh, J.C. Wavelet analysis and scaling properties of time series. Phys. Rev. E Stat. Nonlinear Soft Matter Phys. 2005, 72, 46–54. [Google Scholar] [CrossRef] [PubMed] [Green Version]
- Xiong, H.; Shang, P. Weighted multifractal cross-correlation analysis based on Shannon entropy. Commun. Nonlinear Sci. Numer. Simul. 2016, 30, 268–283. [Google Scholar] [CrossRef] [PubMed]
- Xie, W.J.; Han, R.Q.; Jiang, Z.Q.; Wei, L.; Zhou, W.X. Analytic degree distributions of horizontal visibility graphs mapped from unrelated random series and multifractal binomial measures. Europhys. Lett. 2017, 119, 48–52. [Google Scholar] [CrossRef] [Green Version]
- Stanley, H.E.; Meakin, P. Multifractal phenomena in physics and chemistry. Nature 1988, 335, 405–409. [Google Scholar] [CrossRef]









| Working Condition | ||
|---|---|---|
| 10.80 | 9.90 | Normal state |
| 10.66 | Loosened ground bolt | |
| 9.91 | Normal state | |
| 7.96 | Slight cavitation | |
| 4.67 | Moderate cavitation | |
| 1.21 | Severe cavitation |
| Characteristic Parameter | Normal State | Slight Cavitation | Moderate Cavitation | Severe Cavitation | Loosened Ground Bolt |
|---|---|---|---|---|---|
| 0.0531 | 0.1207 | 0.1094 | 0.1313 | 0.2363 | |
| 0.1058 | 0.1868 | 0.1966 | 0.2516 | 0.3347 | |
| 0.0680 | 0.1094 | 0.1378 | 0.1951 | 0.2013 | |
| 0.1050 | 0.1958 | 0.2178 | 0.3032 | 0.3828 | |
| 0.0519 | 0.0751 | 0.1084 | 0.1719 | 0.1465 |
| Signal Type | Characteristic Parameter | |||||
|---|---|---|---|---|---|---|
| Normal state | Mean value | 0.0327 | 0.1457 | 0.0723 | 0.1045 | 0.0734 |
| Mean square error | 0.0198 | 0.0653 | 0.0116 | 0.0105 | 0.0282 | |
| Slight cavitation | Mean value | 0.1199 | 0.2298 | 0.1110 | 0.2005 | 0.0806 |
| Mean square error | 0.0157 | 0.0353 | 0.0054 | 0.0054 | 0.0141 | |
| Moderate cavitation | Mean value | 0.0863 | 0.2821 | 0.1293 | 0.2066 | 0.1202 |
| Mean square error | 0.0124 | 0.0772 | 0.0122 | 0.0141 | 0.0212 | |
| Severe cavitation | Mean value | 0.1502 | 0.3117 | 0.1615 | 0.2820 | 0.1317 |
| Mean square error | 0.0399 | 0.0772 | 0.0198 | 0.0363 | 0.0272 | |
| Loosened ground bolt | Mean value | 0.2588 | 0.4385 | 0.1990 | 0.4089 | 0.1502 |
| Mean square error | 0.0358 | 0.0623 | 0.0068 | 0.0363 | 0.0085 | |
Publisher’s Note: MDPI stays neutral with regard to jurisdictional claims in published maps and institutional affiliations. |
© 2022 by the authors. Licensee MDPI, Basel, Switzerland. This article is an open access article distributed under the terms and conditions of the Creative Commons Attribution (CC BY) license (https://creativecommons.org/licenses/by/4.0/).
Share and Cite
Liang, X.; Luo, Y.; Deng, F.; Li, Y. Investigation on Vibration Signal Characteristics in a Centrifugal Pump Using EMD-LS-MFDFA. Processes 2022, 10, 1169. https://doi.org/10.3390/pr10061169
Liang X, Luo Y, Deng F, Li Y. Investigation on Vibration Signal Characteristics in a Centrifugal Pump Using EMD-LS-MFDFA. Processes. 2022; 10(6):1169. https://doi.org/10.3390/pr10061169
Chicago/Turabian StyleLiang, Xing, Yuanxing Luo, Fei Deng, and Yan Li. 2022. "Investigation on Vibration Signal Characteristics in a Centrifugal Pump Using EMD-LS-MFDFA" Processes 10, no. 6: 1169. https://doi.org/10.3390/pr10061169
APA StyleLiang, X., Luo, Y., Deng, F., & Li, Y. (2022). Investigation on Vibration Signal Characteristics in a Centrifugal Pump Using EMD-LS-MFDFA. Processes, 10(6), 1169. https://doi.org/10.3390/pr10061169

