Characteristics of Evaporating Spray for Direct Injection Methanol Engine: Comparison between Methanol and Diesel Spray
Abstract
:1. Introduction
2. Materials and Methods
2.1. Experimental Apparatus
2.2. Image Processing
2.3. Experimental Conditions
3. Results and Discussion
3.1. Under Different Injection Pressure Conditions
3.2. Under Different Ambient Temperature Conditions
3.3. Proposal and Evaluation of Different Injection Strategies
3.3.1. Coordination of the Nozzle Hole Diameter and Injection Duration
3.3.2. Coordination of Nozzle Hole Diameter and Injection Pressure
4. Conclusions
- Compared with diesel fuel, methanol has a higher latent heat of vaporization but a lower boiling point and a lower viscosity. Therefore, under the same conditions, the boundary of methanol spray is more irregular, and the vapor phase spray tip penetration is shorter than that of diesel. The spray angle is larger than that of diesel, and the overall spray area is comparable to that of diesel. The liquid phase penetration and the liquid phase spray area are both lower than those of diesel fuel, and the total evaporation rate is higher than that of diesel spray.
- With the increase in injection pressure, the deviation in the spray tip penetration between diesel and methanol fluctuated significantly during the injection process. High pressure plays a stronger role in promoting the atomization of diesel with a higher viscosity. However, the lower boiling point mainly promotes the evaporation of methanol. Therefore, different factors influence the evaporating spray characteristics of the two kinds of fuels under high-pressure injection conditions.
- Diesel and methanol exhibit different sensitivities to the variation in ambient temperature. Under the condition of 600 K, the effect of a lower boiling point is the most prominent, which results in the peak value of deviation in the liquid phase penetration and the evaporation rate between diesel and methanol. Under higher temperature conditions, the evaporation of diesel is also promoted by high temperatures, and under lower temperature conditions, the higher latent heat of vaporization of methanol hinders the evaporation of methanol. Therefore, the difference between diesel and methanol is relatively small under these two conditions.
- Under the strategy of maintaining the injection pressure constant and adjusting the nozzle hole diameter and injection duration to achieve equal energy injection, the vapor phase spray tip penetration and spray area of methanol are much larger than those of diesel. This poses a huge challenge to the geometrical design of combustion systems. In addition, with the increase in the nozzle hole diameter, although the injection duration can be shortened, the liquid phase penetration and spray area are higher than those of diesel, and the evaporation deterioration of the methanol spray is obvious.
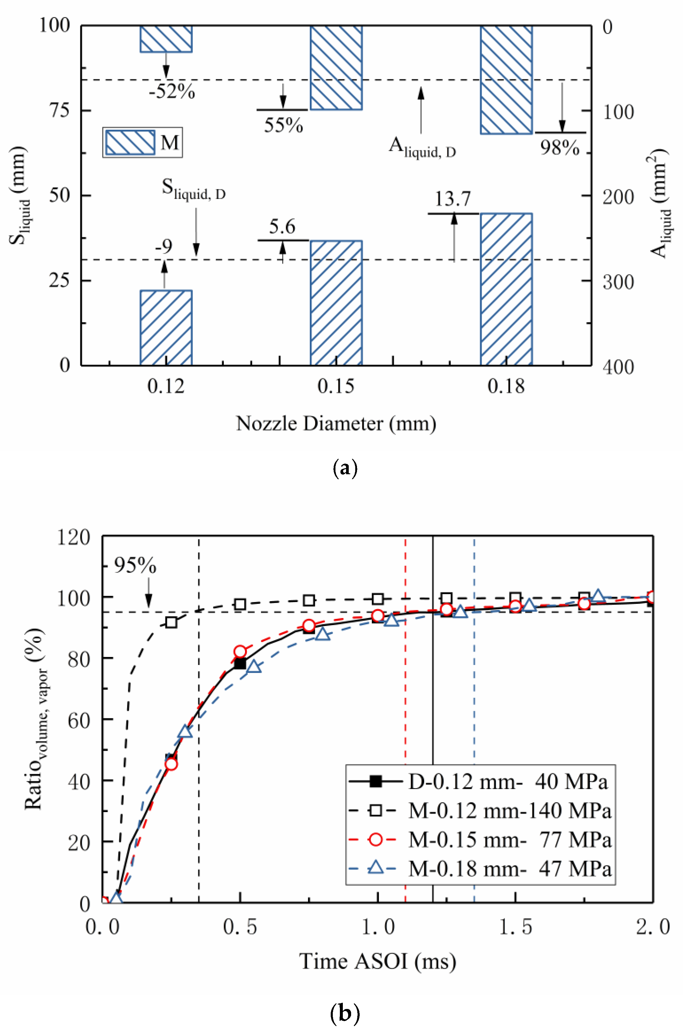
- Under the strategy of maintaining the injection duration constant and adjusting the injection pressure and nozzle hole size to achieve the same energy injection, the vapor phase penetration and spray area of the methanol spray are larger than those of the diesel spray. With the decrease in injection pressure, this gap can be narrowed gradually, while the low pressure and the large hole are not conducive to the atomization and evaporation of the methanol spray.
- From the perspective of promoting spray atomization and evaporation, the choice of strategy for methanol injection should be based on the injection system in order to minimize the hole size under the condition of ensuring the highest injection pressure. However, compared with the diesel spray, under the same fuel energy conditions, the excessively long vapor phase penetration generated under high pressure and a small hole can lead to a change in the center of gravity during combustion, which will affect the heat loss and combustion stability directly. Therefore, the factors above should be considered comprehensively in conjunction with the structural design of the combustion chamber. It is expected that the experimental data in the current study can provide a basis and reference for the numerical simulation of methanol spray and the development of methanol engines.
Author Contributions
Funding
Institutional Review Board Statement
Informed Consent Statement
Data Availability Statement
Conflicts of Interest
References
- Shamun, S.; Belgiorno, G.; Blasio, G.D.; Beatrice, C.; Tunér, M.; Tunestål, P. Performance and Emissions of Diesel-biodiesel-ethanol Blends in a Light Duty Compreession Ignition Engine. Appl. Therm. Eng. 2018, 145, 444–452. [Google Scholar] [CrossRef]
- Beatrice, C.; Denbratt, I.; Blasio, G.D.; Luca, G.D.; Ianniello, R.; Saccullo, M. Experimental Assessment on Exploiting Low Carbon Ethanol Fuel in a Light-Duty Dual-Fuel Compression Ignition Engine. App. Sci. 2020, 10, 7182. [Google Scholar] [CrossRef]
- Verhelst, S.; Turner, J.W.; Sileghem, L.; Vancoillie, J. Methanol as a fuel for internal combustion engines. Prog. Energy Combust. Sci. 2019, 70, 43–88. [Google Scholar] [CrossRef] [Green Version]
- Wang, D.; Meng, W.; Zhou, H.; Li, G.; Yang, Y.; Li, H. Green hydrogen coupling with CO2 utilization of coal-to-methanol for high methanol productivity and low CO2 emission. Energy 2021, 231, 120970. [Google Scholar]
- Harris, K.; Grim, R.G.; Huang, Z.; Tao, L. A comparative techno-economic analysis of renewable methanol synthesis from biomass and CO2: Opportunities and barriers to commercialization. Appl. Energy 2021, 303, 117637. [Google Scholar] [CrossRef]
- Huang, G.; Li, Z.; Zhao, W.; Zhang, Y.; Li, J.; He, Z.; Qian, Y.; Zhu, L.; Lu, X. Effects of fuel injection strategies on combustion and emissions of intelligent charge compression ignition (ICCI) mode fueled with methanol and biodiesel. Fuel 2020, 274, 117851. [Google Scholar] [CrossRef]
- Li, Z.; Wang, Y.; Geng, H.; Zhen, X.; Liu, M.; Xu, S.; Li, C. Parametric study of a diesel engine fueled with directly injected methanol and pilot diesel. Fuel 2019, 256, 115882. [Google Scholar] [CrossRef]
- Ma, B.; Yao, A.; Yao, C.; Wu, T.; Wang, B.; Gao, J.; Chen, C. Exergy loss analysis on diesel methanol dual fuel engine under different operating parameters. Appl. Energy 2020, 261, 114483. [Google Scholar] [CrossRef]
- Ning, L.; Duan, Q.; Liu, B.; Zeng, K. Experimental assessment of lean-burn characteristics for a modified diesel engine operated in methanol direct injection spark ignition (DISI) mode at full throttle condition. Fuel 2020, 279, 118455. [Google Scholar] [CrossRef]
- Wang, X.; Gao, J.; Jiang, D.; Huang, Z.; Chen, W. Spray characteristics of high-pressure swirl injector fueled with methanol and ethanol. Energy Fuels 2005, 19, 2394–2401. [Google Scholar] [CrossRef]
- Gong, Y.; Liu, S.; Li, Y. Investigation on Methanol Spray Characteristics. Energy Fuels 2007, 21, 2991–2997. [Google Scholar]
- Yao, C.; Cheung, C.S.; Cheng, C.; Wang, Y.; Chan, T.L.; Lee, S.C. Effect of Diesel/methanol compound combustion on Diesel engine combustion and emissions. Energy Convers. Manag. 2008, 49, 1696–1704. [Google Scholar] [CrossRef]
- Dempsey, A.B.; Walker, N.R.; Reitz, R.D. Effect of Piston Bowl Geometry on Dual Fuel Reactivity Controlled Compression Ignition (RCCI) in a Light-Duty Engine Operated with Gasoline/Diesel and Methanol/Diesel. SAE Int. J. Engines 2013, 6, 78–100. [Google Scholar] [CrossRef]
- Duraisamy, G.; Rangasamy, M.; Govindan, N. A comparative study on methanol/diesel and methanol/PODE dual fuel RCCI combustion in an automotive diesel engine. Renew. Energy 2020, 145, 542–556. [Google Scholar] [CrossRef]
- Dierickx, J.; Verbiest, J.; Janvier, T.; Peeters, J.; Sileghem, L.; Verhels, S. Retrofitting a high-speed marine engine to dual-fuel methanol-diesel operation: A comparison of multiple and single point methanol port injection. Fuel Commun. 2021, 7, 100010. [Google Scholar] [CrossRef]
- Wei, H.; Yao, C.; Pan, W.; Han, G.; Dou, Z.; Wu, T.; Liu, M.; Gao, J.; Chen, C.; Shi, J. Experimental investigations of the effects of pilot injection on combustion and gaseous emission characteristics of diesel/methanol dual fuel engine. Fuel 2017, 188, 427–441. [Google Scholar] [CrossRef]
- Yao, C.; Pan, W.; Yao, A. Methanol fumigation in compression-ignition engines: A critical review of recent academic and technological developments. Fuel 2017, 209, 713–732. [Google Scholar] [CrossRef]
- Dong, Y.; Kaario, O.; Hassan, G.; Ranta, O.; Larmi, M.; Johansson, B. High-pressure direct injection of methanol and pilot diesel: A non-premixed dual-fuel engine concept. Fuel 2020, 277, 117932. [Google Scholar] [CrossRef]
- Saccullo, M.; Benham, T.; Denbratt, I. Dual Fuel Methanol and Diesel Direct Injection HD Single Cylinder Engine Tests; SAE Technical Paper: Warrendale, PA, USA, 2018. [Google Scholar]
- Li, Z.; Wang, Y.; Yin, Z.; Gao, Z.; Wang, Y.; Zhen, X. To achieve high methanol substitution ratio and clean combustion on a diesel/methanol dual fuel engine: A comparison of diesel methanol compound combustion (DMCC) and direct dual fuel stratification (DDFS) strategies. Fuel 2021, 304, 121466. [Google Scholar] [CrossRef]
- Li, Y.; Jia, M.; Xu, L.; Bai, X. Multiple-objective optimization of methanol/diesel dual-fuel engine at low loads: A comparison of reactivity controlled compression ignition (RCCI) and direct dual fuel stratification (DDFS) strategies. Fuel 2020, 262, 116673. [Google Scholar] [CrossRef]
- Mayer, S.; Sjöholm, J.; Murakami, T.; Shimada, K.; Kjemtrup, N. Performance and Emission results from the MAN B&W LGI low-Speed Engine Operating on Methanol. In Proceedings of the 28th CIMAC World Congress, Helsinki, Finland, 6–10 June 2016. [Google Scholar]
- Stojcevski, T.; Jay, D.; Vicenzi, L. Operation Experience of World’s First Methanol Engine in a Ferry Installation. In Proceedings of the 28th CIMAC World Congress, Helsinki, Finland, 6–10 June 2016. [Google Scholar]
- Chen, Z.; Yao, A.; Yao, C.; Yin, Z.; Xu, H.; Geng, P.; Dou, Z.; Hu, J.; Wu, T.; Ma, M. Effect of fuel temperature on the methanol spray and nozzle internal flow. Appl. Therm. Eng. 2017, 114, 673–684. [Google Scholar] [CrossRef]
- Zeng, W.; Xu, M.; Zhang, M.; Zhang, Y.; Cleary, D. Characterization of Methanol and Ethanol Sprays from Different DI Injectors by Using Mie-scattering and Laser Induced Fluorescence at Potential Engine Cold-start Conditions; SAE Technical Paper: Warrendale, PA, USA, 2010. [Google Scholar]
- Zeng, W.; Xu, M.; Zhang, G.; Zhang, Y.; Cleary, D. Atomization and vaporization for flash-boiling multi-hole sprays with alcohol fuels. Fuel 2012, 95, 287–297. [Google Scholar] [CrossRef]
- Zhang, W.; Chen, X.; Gu, G.; Hu, H.; Liu, T.; Huang, Z. Experimental study of the spray characteristics of USLD, methanol and DME on the swirl nozzle of a Stirling engine. Fuel Process. Technol. 2014, 119, 1–9. [Google Scholar] [CrossRef]
- Xu, M.; Zhang, Y.; Zeng, W.; Zhang, G.; Zhang, M. Flash Boiling: Easy and Better Way to Generate Ideal Sprays than the High Injection Pressure; SAE Technical Paper: Warrendale, PA, USA, 2013. [Google Scholar]
- Ghost, A.; Boggavarapu, P.; Ravikrishna, R.V. Measurement of Liquid and Vapor Penetration of Evaporating Methanol Sprays. At. Sprays 2020, 10, 741–757. [Google Scholar]
- Ghost, A.; Ravikrishna, R.V. Evaporating Spray Characteristics of Methanol-in-diesel Emulsions. Fuel 2021, 290, 119730. [Google Scholar]
- Matamis, A.; Lonn, S.; Tuner, M.; Andersson, O.; Richter, M. Optical Characterization of Methanol Sprays and Mixture Formation in a Compression-Ignition Heavy-Duty Engine; SAE Technical Paper: Warrendale, PA, USA, 2020. [Google Scholar]



















| Property | Diesel | Methanol |
|---|---|---|
| Density at 20 °C [kg/m3] | 835 | 792 |
| Vapor Pressure at 20 °C [kPa] | - | 11.9 |
| Heat of Vaporization [kJ/kg] | 270 | 1103 |
| Lower Heating Value [MJ/kg] | 42.5 | 19.7 |
| Kinematic Viscosity at 20 °C [m2/s] | 3.35 × 10−6 | 0.734 × 10−6 |
| Superficial Tension [N/m] | 0.0285 | 0.0229 |
| Boiling Point [°C] | 180–370 | 65 |
| Research Octane Number | - | 106 |
| Cetane Number | 51 | 5 |
| Items | Value (Methanol) | Value (Diesel) | |
|---|---|---|---|
| Case 1 | Nozzle Diameter [mm] | 0.12 | 0.12 |
| Ambient Temperature [K] | 800 | 800 | |
| Ambient Pressure [MPa] | 3 | 3 | |
| Ambient Density [kg·m−3] | 12.53 | 12.53 | |
| Injection Duration [ms] | 2.8/2.1/1.75 | 2.8/2.1/1.75 | |
| Injection Pressure [MPa] | 60/100/140 | 60/100/140 | |
| Injection Quantity [mg] | 6.87 | 6.84 | |
| Case 2 | Nozzle Diameter [mm] | 0.12 | 0.12 |
| Ambient Temperature [K] | 400/600/800 | 400/600/800 | |
| Ambient Pressure [MPa] | 2/3/4 | 2/3/4 | |
| Ambient Density [kg·m−3] | 16.7 | 16.7 | |
| Injection Duration [ms] | 2.1 | 2.1 | |
| Injection Pressure [MPa] | 100 | 100 | |
| Injection Quantity [mg] | 6.87 | 6.84 | |
| Case 3 | Nozzle Diameter [mm] | 0.12/0.15/0.18 | 0.12 |
| Ambient Temperature [K] | 800 | 800 | |
| Ambient Pressure [MPa] | 3 | 3 | |
| Ambient Density [kg·m−3] | 12.53 | 12.53 | |
| Injection Duration [ms] | 3.7/2.45/1.7 | 1.7 | |
| Injection Pressure [MPa] | 100 | 100 | |
| Injection Quantity [mg] | 11.99 | 5.55 | |
| Case 4 | Nozzle Diameter [mm] | 0.12/0.15/0.18 | 0.12 |
| Ambient Temperature [K] | 800 | 800 | |
| Ambient Pressure [MPa] | 3 | 3 | |
| Ambient Density [kg·m−3] | 12.53 | 12.53 | |
| Injection Duration [ms] | 1.9 | 1.9 | |
| Injection Pressure [MPa] | 140/77/47 | 40 | |
| Injection Quantity [mg] | 7.99 | 3.7 |
Publisher’s Note: MDPI stays neutral with regard to jurisdictional claims in published maps and institutional affiliations. |
© 2022 by the authors. Licensee MDPI, Basel, Switzerland. This article is an open access article distributed under the terms and conditions of the Creative Commons Attribution (CC BY) license (https://creativecommons.org/licenses/by/4.0/).
Share and Cite
Wang, Y.; Dong, P.; Long, W.; Tian, J.; Wei, F.; Wang, Q.; Cui, Z.; Li, B. Characteristics of Evaporating Spray for Direct Injection Methanol Engine: Comparison between Methanol and Diesel Spray. Processes 2022, 10, 1132. https://doi.org/10.3390/pr10061132
Wang Y, Dong P, Long W, Tian J, Wei F, Wang Q, Cui Z, Li B. Characteristics of Evaporating Spray for Direct Injection Methanol Engine: Comparison between Methanol and Diesel Spray. Processes. 2022; 10(6):1132. https://doi.org/10.3390/pr10061132
Chicago/Turabian StyleWang, Yang, Pengbo Dong, Wuqiang Long, Jiangping Tian, Fuxing Wei, Qianming Wang, Zechuan Cui, and Bo Li. 2022. "Characteristics of Evaporating Spray for Direct Injection Methanol Engine: Comparison between Methanol and Diesel Spray" Processes 10, no. 6: 1132. https://doi.org/10.3390/pr10061132
APA StyleWang, Y., Dong, P., Long, W., Tian, J., Wei, F., Wang, Q., Cui, Z., & Li, B. (2022). Characteristics of Evaporating Spray for Direct Injection Methanol Engine: Comparison between Methanol and Diesel Spray. Processes, 10(6), 1132. https://doi.org/10.3390/pr10061132
