The Seal Performance of Compliant Foil Gas Seal Based on Multi-Scale Analysis
Abstract
:1. Introduction
2. Geometric Model
2.1. Flow Pattern
2.2. Analysis Method
3. Results and Discussions
3.1. Numerical Analysis for Reliability
3.2. The Pressure Distribution with Compliant Structure
3.3. The Effect of Seal Diameter on Seal Performance
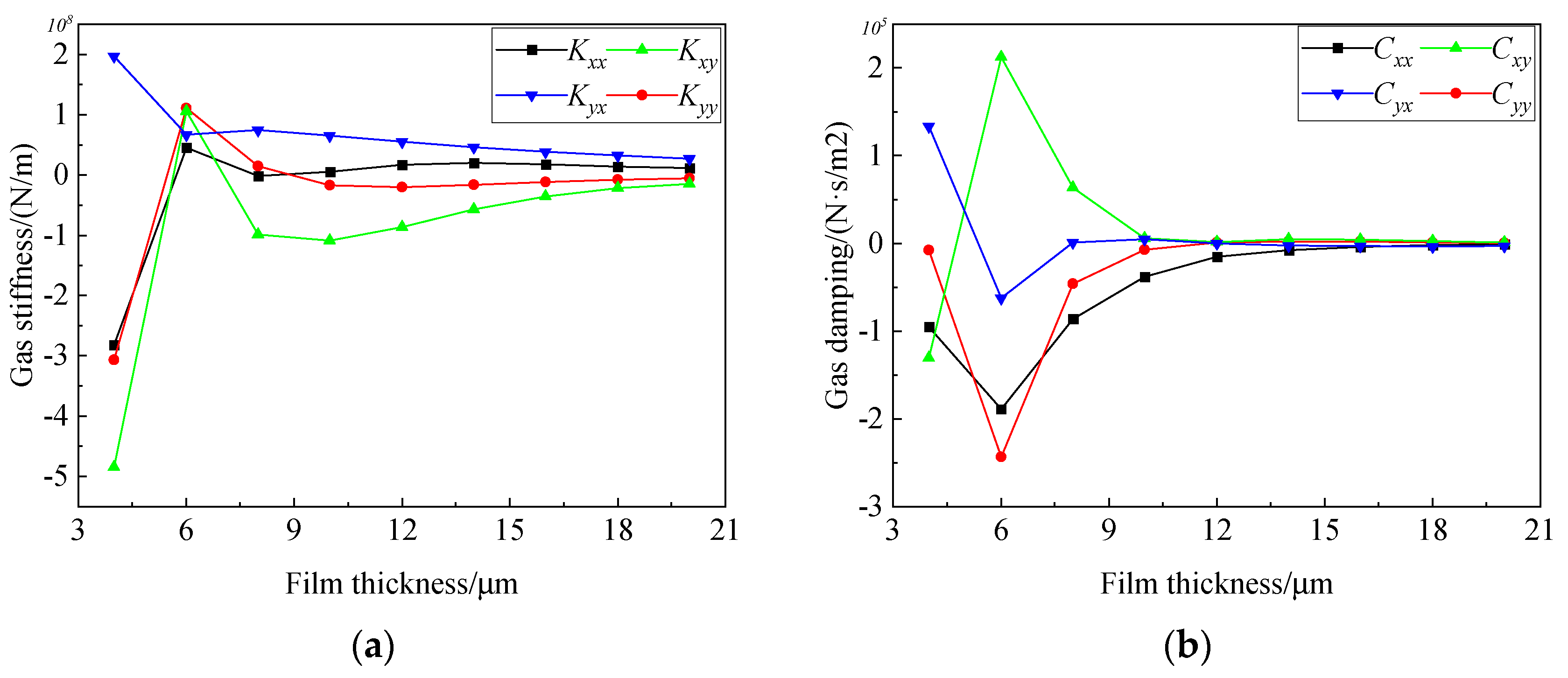
3.4. The Effect of Film Thickness on Seal Performance
3.5. The Effect of Groove Length Ratio on Seal Performance
4. Conclusions
- (1)
- Compared with the rigid gas film, the compliant foil improves the seal performance of the gas seal. The pressure distribution of the compliant gas film is obviously higher than that of rigid gas film. Therefore, the influence of compliant foil structure on seal performance should be considered in numerical analysis;
- (2)
- With the increase of seal diameter and gas film thickness, the leakage and cross coupled coefficients of the gas film seal dramatically increase. The cross coupled stiffness and damping are negative for the stability of the seal system. Therefore, the seal performance is improved as the seal diameter is lower than 108 mm and the gas film thickness is around 10μm. With the variation of the seal diameter and gas film thickness groove length ratio, the direct stiffness Kxx and Kyy is around the Y = 1,000,000 N/m and zero respectively;
- (3)
- Moreover, the cross stiffness and cross damping are lower than the direct coefficients as the groove length ratio is around 0.6. It benefits the stability of the seal system. The variation of the gas force is more obvious and decreases sharply. This means that the dynamic pressure effect is weakened. In sum, the multiscale analysis shows that it is positive for the stability of the seal system by choosing the compliant structure parameters.
Author Contributions
Funding
Institutional Review Board Statement
Informed Consent Statement
Conflicts of Interest
Nomenclature
| L | Seal length, mm |
| ε | eccentricity |
| C | mean thickness, μm |
| N | groove number |
| ρ | density, kg/m3 |
| μ | dynamic viscosity, Pa·s |
| n | speed, rpm |
| E | modulus of elasticity, GPa |
| flow factor | |
| Couette Reynolds number | |
| Poiseuille Reynolds number | |
| differential pressure, Pa | |
| axial average velocity, m/s | |
| dimensionless pressure | |
| film thickness | |
| axial length | |
| circumferential angle | |
| compression number | |
| structure constant of foil structure | |
| Q | leakage, kg/s |
| the force of circumferential direction, N | |
| the force of axial direction, N | |
| , | the perturbation term |
| Kxx, Kyy | direct stiffness, N/m |
| Kxy, Kyx | cross coupled stiffness, N/m |
| Cxx, Cyy | direct damping, N·s/m2 |
| Cxy, Cyx | cross coupled damping, N·s/m2 |
| groove length ratio | |
| groove length |
References
- Ma, G.; Shen, X.M. Development and Analysis of Advanced Gas Film Sealing Technology. Aeronaut. Manuf. Technol. 2009, 3, 58–61. [Google Scholar]
- Wiseman, M.W.; Guo, T. An Investigation of Life Extending Control Techniques for Gas Turbine Engines. In Proceedings of the 2001 American Control Conference, Arlington, VA, USA, 25–27 June 2001. [Google Scholar]
- Ha, T.W.; Choe, B.S. Numerical prediction of rotordynamic coefficients for an annular-type plain-gas seal using 3D CFD analysis. J. Mech. Sci. Technol. 2014, 28, 505–511. [Google Scholar] [CrossRef]
- Dara, W.; Childs, J.W. Rotordynamic Coefficient and Leakage Characteristics for Hole-Pattern-Stator Annular Gas Seals—Measurements versus Predictions. Trans. ASME 2004, 126, 326–333. [Google Scholar]
- Ma, G.; Xu, G.Z.; Shen, X.M. Design and Analysis for Spiral Grooved Cylindrical Gas Seal Structural Parameter. Lubr. Eng. 2007, 32, 127–130. [Google Scholar]
- Ma, G.; He, J.; Li, X.H.; Shen, X. Numerical Calculation of Dynamic Coefficients for Gas Film Cylinder Seal. J. Mech. Eng. 2013, 49, 55–62. [Google Scholar] [CrossRef]
- Ma, G.; Li, X.H.; Shen, X.M.; Hu, G.Y. Analysis of performance and interface structure of cylinder gas film seal. J. Aerosp. Power 2011, 26, 2610–2616. [Google Scholar]
- Ma, G.; Zhao, W.; Shen, X. Analysis of Parameters and Performance for Spiral Grooved Cylindrical Gas Film Seal. Procedia Eng. 2011, 23, 115–119. [Google Scholar] [CrossRef] [Green Version]
- Su, Z.H. Numerical Simulation and Performance Analysis of Cylinder Gas Film Seal; Kunming University of Science and Technology: Kunming, China, 2016. [Google Scholar]
- Lu, J.J. Study on Dynamic Lubrication Characteristics of a New Floating Cylindrical Groove Gas Film Seal; Lanzhou University of Technology: Lanzhou, China, 2018. [Google Scholar]
- Ding, X.; He, Z.H.; Zhang, W.Z.; Lu, J.; Miao, C. Parameters analysis of steady micro-scale flow of cylindrical spiral groove dry gas seal. CIESC J. 2018, 69, 1537–1546. [Google Scholar]
- Jiang, Q.; Zhai, L.; Wang, L.; Wu, D. Fluid-Structure Interaction Analysis on Turbulent Annular Seals of Centrifugal Pumps during Transient Process. Math. Probl. Eng. 2011, 2011, 929574. [Google Scholar] [CrossRef]
- Salehi, M.; Heshmat, H. On the Fluid Flow and Thermal Analysis of a Compliant Surface Foil Bearing and Seal. Tribol. Trans. 2000, 43, 318–324. [Google Scholar] [CrossRef]
- Salehi, M.; Heshmat, H. Performance of a Complaint Foil Seal in a Small Gas Turbine Engine Simulator Employing a Hybrid Foil/Ball Bearing Support System. Tribol. Trans. 2001, 44, 458–464. [Google Scholar] [CrossRef]
- Salehi, M.; Heshmat, H.; Walton, J. High Temperature Performance Evaluation of a Compliant Foil Seal; NTRS: Huntsville, AL, USA, 2001. [Google Scholar]
- Brunetiere, N.; Tournerie, B.; Frene, J. Influence of Fluid Flow Regime on Performances of Non-Contacting Liquid Face Seals. J. Tribol. 2002, 124, 515–523. [Google Scholar] [CrossRef]
- Wang, X.L.; Liu, M.; Kao-Walter, S.; Hu, X. Numerical Evaluation of Rotordynamic Coefficients for Compliant Foil Gas Seal. Appl. Sci. 2020, 10, 382811. [Google Scholar] [CrossRef]
- Ma, G.; Zhao, W.; Shen, X.M. Three Dimensional Numerical Simulation on the Micro-gap Flow Field of Spiral Groove Gas Film Seal. Lubr. Eng. 2012, 37, 7–11. [Google Scholar]










| Seal Parameter | Symbol | Value |
|---|---|---|
| Seal length | L | 15 mm |
| Eccentricity | 0.5 | |
| Thickness | C | |
| Groove number | N | 16 |
| Differential Pressure | 200 kPa | |
| Speed | 10,000 r/min | |
| Density | 1.225 kg/m3 | |
| Dynamic viscosity | 1.8 × 10−5 Pa·s | |
| Outlet pressure | 100 kPa | |
| Material | QBe | |
| Modulus of elasticity | E | 122.6 GPa |
| Seal Diameter/mm | Seal Width/mm | Leakage/(kg/s) |
|---|---|---|
| 36 | 18 | 0.0187 |
| 72 | 36 | 0.0175 |
Publisher’s Note: MDPI stays neutral with regard to jurisdictional claims in published maps and institutional affiliations. |
© 2022 by the authors. Licensee MDPI, Basel, Switzerland. This article is an open access article distributed under the terms and conditions of the Creative Commons Attribution (CC BY) license (https://creativecommons.org/licenses/by/4.0/).
Share and Cite
Wang, X.; Liu, M. The Seal Performance of Compliant Foil Gas Seal Based on Multi-Scale Analysis. Processes 2022, 10, 1123. https://doi.org/10.3390/pr10061123
Wang X, Liu M. The Seal Performance of Compliant Foil Gas Seal Based on Multi-Scale Analysis. Processes. 2022; 10(6):1123. https://doi.org/10.3390/pr10061123
Chicago/Turabian StyleWang, Xueliang, and Meihong Liu. 2022. "The Seal Performance of Compliant Foil Gas Seal Based on Multi-Scale Analysis" Processes 10, no. 6: 1123. https://doi.org/10.3390/pr10061123
APA StyleWang, X., & Liu, M. (2022). The Seal Performance of Compliant Foil Gas Seal Based on Multi-Scale Analysis. Processes, 10(6), 1123. https://doi.org/10.3390/pr10061123
