Abstract
Grape pomace (GP) is a good source of high-value compounds as up to 60% of grape polyphenols remain in it after wine-making. To overcome traditional membrane technologies’ d rawbacks, such as fouling, a novel Zero Head Space extraction (ZHE) procedure was developed. The reaction vessel comprised a filtration device with a nitrocellulose membrane. The separation was performed at 50 lb/in2 and 23 °C, with no headspace during the process. Water and methanol (both acidifie d) were evaluated as solvents during two extraction stages for the recovery and fractionation of polyphenols. Aqueous extract (AE) was mainly constituted by monomeric polyphenols while Methanol extract (ME) presented less soluble compounds, as well as a higher concentration of total anthocyanin content than AE. Additional methanolic (CE) and acetone (CAE) extractions of residual GP showed CE presented a similar profile to ME (at a lower concentration), indicating ZHE efficiency at extracting polyphenols in GP. CAE presented a non-resolved hump, characteristic of high proanthocyanidins’ polydispersity. ZHE rendered a monomeric fraction in ME (mean Degree of Polymerization, mDP of 1.38). Residual GP (cake) extractions demonstrated oligomeric polyphenol retention; mDP up to 3.05 when acetone was used. Fractionation of GP polyphenols was successfully established using a Zero Head space extractor.
1. Introduction
Polyphenols belong to a group of chemical substances called phytochemicals, the most abundant phytochemicals in plants (including fruits, vegetables, and flowers) and beverages (coffee, wine, juices) [,,]. There are more than 10,000 different molecules that present an aromatic ring with one or more hydroxyl groups (they can be found in both free and glycosidic forms) and are, therefore, considered as polyphenols [,].
According to several authors, there have been numerous studies that emphasize the health advantages and benefits of polyphenol intake (among them, against cancer), mainly due to their antioxidant activity. Moreover, polyphenols are known to offer protection against cardiovascular diseases, while also possessing antidiabetic, antimicrobial and anti-inflammatory properties. However, it is particularly due to their anticancer capacity that their popularity has recently increased worldwide [,,,,,].
Grape pomace (GP) is the main by-product that originates from winemaking. As winemaking strengthens globally, some different challenges arise. One of utmost importance to address is the generation of many residues resulting from the processing. Modifying our perspective and regarding them as “by-products” rather than “waste materials”, based on their characteristics, can lead to a decisive point in how processing is perceived and, consequently, the exploiting of said residues and their valorization as a valuable source of polyphenols. Traditionally, GP is distilled for the production of Orujo (eau de vie) or is used as livestock feed. Furthermore, it is estimated that nearly 85% of grown grapes are used for winemaking, leading to the generation of nine million tons per year of solid wastes, as a result of the vinification process alone [,].
GP consists of seeds (around 5%) [], grape skins (up to 50%) and, occasionally, residual stalks –along with other parts as leaves, stems and vine shoots []–with the fraction that represents around 20–25% of the fruit’s weight []. Despite being a residue, GP contains many bioactive compounds and has a high polyphenol content []. The majority of grape tannins are present in the skin, along with anthocyanins (such as malvidin, cyanidin, delphinidin, petunidin, and peonidin glucosides), with anthocyanins representing the main portion of polyphenols [,,,].
Although polyphenols are of great interest, due to their potential to be transformed into high value products such as cosmetic items and treatments, natural pigments, medicines, and supplements [,]–the market for nutraceutical ingredients was estimated to be worth 28.8 billion in 2017 []–one characteristic that is more recognized is their instability: they are thermolabile, as it was previously reported that their stability decreases at temperatures as low as 50 °C [], and photosensitive []; large polyphenols solubilize poorly in water, contributing to their deficiency in long term stability, and undergo transformations in the presence of oxygen [,,]. The use of by-products as low-cost sources and their valorization has become a pressing matter and demands the development of methods for the extraction and separation of the polyphenols present in the GP. The more recurrent conventional separation method is solvent extraction, given that many solvents are biocompatible, easily accessible, and simple to use. Hydro-ethanolic mixtures have been used for the extraction of phenolic compounds from GP [,,,,], with the added advantage that the risk of thermic degradation is minimized at more extended periods and mild temperatures [,], although occasionally lowering the extraction efficiency. Adsorption chromatography is widely used to separate the bioactive compounds from the organic and aqueous extracts. However, this process presents many drawbacks: the use of large amounts of solvents; desorption solutions; and the additional effort of adsorbent regeneration [,].
Consequently, the need for the development of new methods of extraction that do not damage the compounds of interest, while preserving their biological activities [], is of paramount importance. Among the novel extraction technologies are microwave assisted extraction, pulsed electric field extraction [,,,], enzyme-assisted extraction [,], ultrasound extraction [,], pressurized liquid extraction, supercritical CO2 extraction, and membrane processes [,,,]. Membrane technology has positioned itself as a viable alternative for the recovery of phenolic compounds from different sources [] that range from “yerba mate” [], juices [], coffee extracts [], plant extracts [], to wine extracts []. Membrane processes operate at a relatively low temperature and preserve the characteristics of the bioactive compounds. They use transmembrane pressure to separate the components of the extraction mix based on their molecular weight cut-off (MWCO), employing a membrane as a barrier allowing a selective permeability. The compounds that go through the barrier are those with a MWCO smaller than the nominal membrane MWCO []. Among the advantages to take into account when considering the use of membranes for extractions is the lack of additives needed, high efficiency at separation, low energy consumption, and the relative ease with which the process can be operated and escalated [,,]. All of this can lead to an increase in the extraction sustainability. The overall efficiency depends on multiple factors, such as the composition of the membrane, the pore size and its homogeneity, the conditions under which the process is being carried out, and the possible interactions between membrane and feed solution [,,,,].
There are many membrane processes reported, such as Ultrafiltration, Reverse osmosis, and membrane assisted extraction for polyphenol fractionation and recovery from GP [,,,]. They are commonly used in the final stages of the extraction process in order to separate the compound from the feed solution []. One of the main disadvantages found is membrane fouling. This can have an impact on the pore structure and the separation efficiency, since fouling can reduce the superficial area, incrementing the mass transfer resistance, and thus reducing the permeate flux []. For that reason, a novel extraction procedure was developed. A pressurized Zero Headspace Extractor (ZHE) vessel was adapted. This extractor has a sample chamber pressurized by gas and constructed with a removable liner of PTFE. The sample mixture, comprising the GP and an extraction solvent, is subjected to rotary agitation at 50 lb/in2 in a manner centered on the axis of rotation. It includes a filtration means, mediated by a membrane, through which the extracted sample (liquid) can be discharged under pressure. Solids are fully retained, and the permeate is obtained after filtration. The extraction is by the Zero Headspace process, ensuring that there is no air (oxygen) above the sample mixture during extraction, thus reducing the degradation process caused by oxidation [].
The principal aim of this work is to determine the viability of a two-stage Zero Headspace Extractor system as an alternative for the recovery of polyphenol-rich extracts and fractionation, according to the size of the phenolic compounds using grape by-products as a source of phenolics.
2. Materials and Methods
Materials. Grape pomace (GP) (Vitis vinifera Syrah variety) was provided by a locally-based winery (Casa Boutique Reyes-Mota Winery) situated in the Sacramento region (30 km north of Chihuahua, Mexico) and was obtained after destemming, fermentation, and pressing for wine production. The skin and seeds were kept in a freezer at −14 °C until used.
Millipore™ Zero Head Space Extractors (ZHE) and Millipore™ nitrocellulose membranes with a 0.45 μm pore size (Millipore Corporation, Bedford, MA, USA) were used during the two-stage pressurized solid–liquid extraction.
Reagents. Hydrochloric acid, hexane, butanol, methanol and ethanol, were purchased from J.T. Baker® (Phillipsburg, NJ, USA), with both ethanol and methanol being purchased from FragaLab® (Sinaloa, Mexico) as well. Acetic acid was also acquired from FragaLab® (Sinaloa, México). The gallic acid, epicatechin, catechin, and phloroglucinol used were all purchased from Sigma-Aldrich® (St. Louis, MO, USA).
Additionally, formic acid (Fluka® Analytical, Buchs, Switzerland), ethyl acetate (J.T. Baker®, Phillipsburg, NJ, USA), ascorbic acid (Sigma-Aldrich®, St. Louis, MO, USA), sodium acetate (Fisher Scientific), sodium metabisulfite (FagaLab®, Sinaloa, Mexico) and ferric ammonium sulfate were employed. All of the reagents listed before were analytical reagent grade.
Chromatographic solvents. All of the chromatographic solvents were HPLC grade. Methanol from both J.T. Baker® (Phillipsburg, NJ, USA) and Sigma-Aldrich® (St. Louis, MO, USA). The formic acid used was from Fluka® Analytical (Buchs, Switzerland). Acetic acid was purchased from Sigma-Aldrich (St. Louis, MO, USA). Water and acetonitrile were acquired from Sigma-Aldrich (St. Louis, MO, USA).
Methods. The residual stems present in the pomace were removed. The GP was then milled so the size would be as homogeneous as possible. To facilitate the handling of the samples, GP was divided in packages of 200 g and stored in small re-sealable plastic bags, removing as much air as possible to prevent oxidation. The GP was kept frozen to avoid degradation until used.
Preliminary studies were performed to determine the best solvent system for the extraction. The tested solvents were evaluated based on the total polyphenol content (TPC) of each extract. The three solvent systems were as follows: 80–20% EtOH-water acidified with 5% acetic acid (S1); 80–20% MeOH-water acidified with 5% acetic acid (S2); and ethyl acetate acidified with 5% acetic acid. The sample/solvent ratio was kept at 1 g sample per 10 mL solvent. Extractions for each solvent tested were carried out in triplicate.
Prior to the analysis, the extracts were concentrated under reduced pressure and followed by a liquid–liquid extraction (with 1 volume of hexane) to clear the samples of hydrophobic co-extracted compounds.
Zero Headspace Extraction. After the solvent system was selected, the extraction was carried out as a two-stage pressurized solid-liquid process using a Zero Headspace Extractor (ZHE) (Millipore™) and a commercial nitrocellulose membrane (90 mm, 0.45 µm, Millipore™). A total of 50 g of grape pomace was placed inside the cylindrical chamber of the ZHE with 50 mL of solvent, with the membrane fixed into place at the top plate.
Once the trapped air was removed, the solvents used as extraction fluids were dispensed as follows: water-acetic acid 5% (v/v) for the first stage; methanol-acetic acid 5% (v/v) for the second stage. This was achieved with the assistance of a dispensing pressure vessel (Millipore™) maintaining a 1:10 w/v sample/solvent ratio, to achieve a final volume of 500 mL.
After the reactor was filled with the extraction fluid, the ZHE was pressurized gradually until a pressure of 50 lb/in2 was reached. Subsequently, the ZHE was placed inside a box-type rotary agitator and agitated end-over-end at a controlled temperature (23 °C) during 24 h. When the agitation period was completed, the ZHE was removed from the agitator and the extraction fluid was collected. The second stage of the extraction was performed in the same manner as described before.
Sample preparation. Once the fractions were obtained, they were concentrated under reduced pressure and dissolved with acidified water (with 1% formic acid) prior to an ethanol precipitation step (with 1 volume of ethanol) followed by a liquid–liquid extraction (with 1 volume of hexane) to remove co-extracted compounds []. Afterwards, the samples were again concentrated under reduced pressure and kept at freezing temperatures until use. In order to determine the efficiency of the Zero Headspace Extractor and the commercial membrane, additional extractions were conducted using the solid residues recovered from the ZHE extraction (from this point forward identified as “cake”). Methanol and acetone were evaluated at a 1:10 w/v sample/solvent ratio. All of the extracts were analyzed for the presence of proanthocyanidins.
Characterization. Total polyphenol content (TPC) was quantified by means of reversed-phase high performance liquid chromatography (RP-HPLC). TPC, as well as the identification of the main polyphenolic compounds, were made by HPLC Dionex (LPG-3400-D Quaternary Analytical Pump, Dionex UltiMate 3000 Diode Array Detector, Dionex solvent degasser and Chromeleon CM-PCS-1 Software), using a reversed phase column (Symmetry C18, 100 Å, 5 µm, 4.6 mm × 250 mm), operated at 30 °C, flow rate of 0.3 mL/min with a gradient over 65 min (water-formic acid 1% (v/v) (Solvent “A”)/acetonitrile-formic acid 1% (v/v) (Solvent “B”)) and a 10 min return to initial conditions. The gradient was as follows: Linear gradient from 100% A to 90% A in 8 min. 90% A for 2 min; Linear gradient from 90% A to 80% A from minute 10 to minute 23; Linear gradient from 80% A to 70% A for 7 min; Linear gradient from 70% A to 60% A for 15 min; Linear gradient from 60% A to 20% A for 5 min; Linear gradient from 20% A to 100% B in 5 min. 100% B from minute 55 to 60 and a return to 100% A at minute 65 []. TPC was calculated by total peak area at 280 nm in epicatechin equivalents.
To establish the presence of proanthocyanidins (PA), acid butanol assay was carried out as described by Porter and Hagerman [,].
In order to estimate the mean degree of polymerization (mDP) of the samples with a positive result to the acid butanol assay, phloroglucinolysis was carried out, as described by Kennedy and Jones (2001) [], and further analyzed by means of HPLC, under the same analytical conditions as previously described.
Total Anthocyanin Content (TAC) was determined by HPLC, as described before, and also using UV/Vis spectrophotometry. For TAC, the analysis was carried out in a Lambda 25 Perkin Elmer spectrophotometer (Waltham, MA, USA). An aliquot of each fraction was evaporated to dryness and dissolved with HCl 2%. The samples were diluted to an OD of 0.1–0.2 and the pH value was adjusted to 1. Samples were then stored under darkness for 60 min. Following, the absorbance was measured at 520 nm, as well as a spectral scan from 250 nm to 700 nm.
Monomeric Anthocyanin Content (MOC) and sulfite bleaching resistant pigments were determined by measuring the absorbance at 520 nm and a spectral scan was completed from 250 to 700 nm [,,]. These measurements were taken before and after sulfite bleaching.
3. Results
Preliminary studies were performed to determine the best solvent system for the extraction. The tested solvents were those typically employed for the extraction of polyphenols, such as methanol and ethanol which enhance the solubility of polyphenols []. All of the solvents were acidified, since a solvent mixture with an acidified pH can increase the yield of polyphenols up to three times []. The solvents were evaluated based on the total polyphenol content (TPC) of each extract (Table 1).

Table 1.
Total polyphenol content of each extract. EtOH: 80–20% EtOH-water acidified with 5% acetic acid (S1); MeOH: 80–20% MeOH-water acidified with 5% acetic acid (S2); ethyl acetate acidified with 5% acetic acid (S3). Results expressed in g polyphenols/kg grape pomace.
These studies allowed for the identification of three main compounds: malvidin-3-Oglucoside; malvidin-3-O-acetyl-glucoside; malvidin-3-O-coumaroyl-glucoside, shown in Figure 1, the latter being the anthocyanin with a higher concentration.

Figure 1.
RP-HPLC profile (at 280 nm). Main compounds present in methanolic extract from grape pomace: (1) Malvidin₋3₋O-glucoside; (2) Malvidin-3-O-acetyl-glucoside; (3) Malvidin-3-O-coumaroyl-glucoside.
Because the aim of this work is fractionating polyphenols extracts based on their size, the use of a Zero Headspace Extractor is proposed. In order to determine whether or not proanthocyanidins were extracted from the GP, the extracts were subjected to acid butanol assay. All of the extracts from the different solvent systems tested positive after the analysis, indicating the presence of proanthocyanidins (Table 2).

Table 2.
Determination of proanthocyanidins’ presence. EtOH: 80–20% EtOH-water acidified with 5% acetic acid (S1); MeOH: 80–20% MeOH-water acidified with 5% acetic acid (S2); ethyl acetate acidified with 5% acetic acid (S3).
The hydro-alcoholic mixture of 80–20% methanol/water acidified with 5% acetic acid (v/v) yielded the greater TPC and the maximum value for both proanthocyanidins and anthocyanin concentration and, therefore, water and methanol were selected as the solvents for any further extractions.
Zero Headspace Extraction. Based on the preliminary results and the fact that the Zero Headspace Extractor (Figure 2) configuration enables the recovery and recharge of solvents at various times during the extraction, a process consisting of two consecutive extractions with the selected solvents was proposed, considering that most polyphenols present are recovered following one or two extractions [,]. Both stages were set at 24 h duration and 23 °C to reduce any potential thermic degradation and aiming to increase the extraction of polyphenols [,].

Figure 2.
Diagram of Zero Headspace Extractor “ZHE” (a); rotary agitation device (b).
After the two-stage membrane-assisted extraction was carried out, as described earlier, two fractions were collected. The first fraction (“aqueous extract” or AE) had a pale pink hue and white translucent crystals as precipitate. However, during the ethanol precipitation, the precipitate present in AE was removed; therefore, it could be assumed that the precipitate might be constituted of sugars, organic acids (especially tartaric acid), and proteins. The second fraction (“methanolic extract” or ME) had a deep maroon red color and did not present any precipitate.
In order to determine the extent of the methanolic extraction during the second stage, an additional methanolic extraction (methanol/acetic acid 5% (v/v)) and an 80% acetone-20% acidified water (with 5% acetic acid) extraction were recovered after the spent solid residues left from the ZHE extraction after both extraction stages (also known as “cake”). The final fractions (referred to as “cake extract” or CE and “cake acetone extract” or CAE) presented a deep maroon red color as well.
As can be seen in the chromatograms (Figure 3), aqueous extract showed a slightly similar polyphenolic profile than that of the methanolic extract, although the compounds present in AE are found in a higher concentration (Figure 3a). This could be due to the extraction of monomeric compounds, since they are more easily solubilized. However, one main difference can be found in the methanolic extract with a peak present near t = 30 min, attributed to malvidin-3-O-coumaroyl-glucoside. Both the methanolic extract (Figure 3b) and cake methanolic extract (Figure 3c) present a polyphenolic profile of a very similar nature, although in a lower concentration in the cake methanolic extracts. This indicates the possibility that the ZHE efficiently extracted the compounds that were soluble in the methanolic solvent.


Figure 3.
RP-HPLC chromatogram (at 280 nm). (a) First stage aqueous extract, water₋acetic acid 5% (v/v); (b) Second stage methanolic extract, methanol₋acetic acid 5% (v/v);CONT. RP-HPLC chromatogram (at 280 nm). (c) Cake methanolic extracts, methanol-acetic acid 5% (v/v); (d) cake acetone extracts, 80% acetone-20% acidified water (v/v).
The polyphenolic profile of the cake acetone extracts (Figure 3d) was different from the profile of ME. A non-resolved hump, characteristic of high proanthocyanidins (PA) polydispersity, can be observed.
Acid butanol assay. After the acid butanol index assay was carried out in the two fractions obtained from the Zero Headspace Extractor (AE and ME), only the methanolic extracts were positive for proanthocyanidins. Cake extracts were analyzed for PA and all of the samples resulted positive to the acid butanol assay as well, indicating the presence of proanthocyanidins. Cake acetone extracts were also tested for PA, resulting positive to the presence of oligomeric polyphenols (Table 3). Therefore, the acid butanol assay confirmed the existence of oligomeric polyphenols in both methanolic fractions and the acetone cake extract.

Table 3.
Determination of proanthocyanidins presence. Aqueous extract “AE”; Methanolic extract “ME”; “Cake” methanolic extract “CE”; “Cake” acetone extract “CAE”.
Based only on the results from the acid butanol assay, it was not possible to conclude if a separation of the size of PA was achieved by the ZHE extraction process or if, on the contrary, the PA in CE was the PA that remained in the solid residues due to an incomplete extraction during stage 2. As a result, further analysis using phloroglucinolysis was required. Since the aqueous extracts tested negative to PA, the analysis was focused on ME, CE, and CAE.
Total polyphenol content (TPC). All of the extracts were analyzed for TPC by HPLC. The aqueous extract resulted with a TPC of 1231.07 mg of polyphenols/kg of GP. Meanwhile, the methanolic extract presented a TPC of 751.33 mg polyphenols/kg GP, while the TPC of methanolic “cake” extract was 280.19 mg polyphenols/kg GP and TPC for CAE 834.12 mg polyphenols/kg GP (Table 4).

Table 4.
Total polyphenol content of extracts. “AE” aqueous extract; “ME” methanolic extract; “CE” cake methanolic extract; “CAE” cake acetone extract. Results expressed in mg polyphenols/kg grape pomace. Different letters indicate significant difference (p < 0.05).
The analyzed extracts presented a combined total polyphenol content of more than 3 g of polyphenols per kg of GP, nearly two times the TPC obtained with a single stage ultrasound-assisted extraction.
Although the aqueous extracts presented a low polyphenol content, the acidified water as a first stage extraction introduced an unexpected advantage. It can also be considered as a cleaning stage (co-extracted compounds that were of no interest for the purpose of this work and were removed during the cold ethanol precipitation step).
Phloroglucinolysis. In order to determine the efficiency of the ZHE separation based on the molecular weight, the mDP of the ME, CE, and the CAE were calculated.
After phloroglucinolysis, the methanolic extract showed a mDP of 1.38, the cake methanolic extract mDP was 1.41, and the cake acetone extract mDP was 3.05.
Anthocyanin content and sulfite bleaching. Total anthocyanin content was determined by means of HPLC. In addition, the samples were subjected to sulfite bleaching.
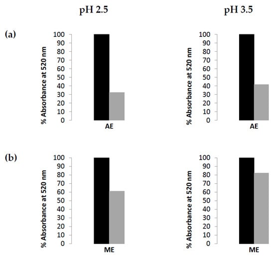
For AE, at pH 2.5, 32.3% of the pigments were resistant to sulfite bleaching (Figure 4a), while 67.7% of the compounds lost their color. At pH 3.5, 41.6% of the pigments maintained their color and the remaining 58.4% became colorless. The loss of color indicates that those pigments have the C4 position of the anthocyanin free.


Figure 4.
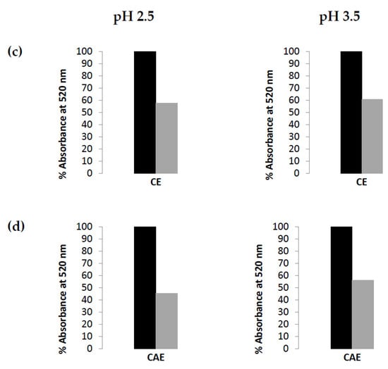
Absorbance values (520 nm) at pH values 2.5 and 3.5 (a) first stage aqueous extracts “AE”; (b) second stage methanolic extracts “ME”. Black columns indicate absorbances before sulfite bleaching, while gray columns indicate absorbances after sulfite bleaching; CONT. Absorbance values (520 nm) at pH values 2.5 and 3.5 (c) cake methanolic extracts “CE”; (d) cake acetone extracts “CAE”. Black columns indicate absorbances before sulfite bleaching, while gray columns indicate absorbances after sulfite bleaching.
At pH 2.5, 61.2% of the pigments were sulfite bleaching resistant pigments (Figure 4b), meaning that 38.8% of the anthocyanins lost their color and, therefore, are found in monomeric form. Meanwhile, at pH 3.5, 82.5% of the color remained after bleaching.
For CE, at pH 2.5, 57.62% of the pigments resisted sulfite bleaching (Figure 4c), indicating that 42.38% of the pigments were found in monomeric form. At pH 3.5, 60.76% were sulfite bleaching-resistant pigments, since their color remained after bleaching.
A total of 45.5% of the pigments present in CAE (Figure 4d) at pH 2.5 retained their color, while at pH 3.5, 56% of the pigments resisted sulfite bleaching.
4. Discussion
Zero Headspace Extraction. Although the most commonly used solvents are acidified water, ethanol, methanol, ethyl acetate, and acetone (among others), the extract’s polyphenolic profile may vary, depending on the solvent, solvents mixed, and the proportions of each solvent selected [,]. The more hydrophilic compounds are located in vacuoles, in contrast to the poorly and non-water-soluble compounds, mainly found in the cell wall []. Therefore, the selection of solvent was of paramount importance for a proper extraction. Due to the wide-ranging polar nature of polyphenols, an alcohol-water mixture is typically preferred. Employing pure alcohols can lead to the dehydration of the biomass vegetable cells and the structure collapse. Meanwhile, the addition of water to the mixture is closely associated with an increase in the solubility and diffusion of the biomolecules to the solvent [,,,]. When it comes to retrieving high molecular weight compounds, such as proanthocyanidins, acetone-water has been established as the recommended solvent [,,]. This is seen in Figure 3d, since the observed hump could result from the presence of unresolved PA, which could not be separated under our previously described chromatographic conditions [], and which are more challenging to fully extract. It also indicates that the harder to extract compounds that could not be extracted with methanol were extracted with acetone. Acetone is not highly compatible with the nitrocellulose membrane used for the present work. Therefore, the search for different separation systems (variating membranes and solvents) could be recommended for further studies to explore the differences in polyphenol fractionation.
Total polyphenol content (TPC). As expected, a variation in the TPC occurred, since the difference in polyphenol concentration, as well as in the polyphenols present in the extracts, depends greatly on the solvents used. It is worth noting that the total polyphenol content and the polyphenolic profile are heavily affected by different elements, such as the variety and genetics of the grape vine, several environmental factors (seasonal changes, geographical location, drought, soil, temperature, etc.) and the process to which the grapes were subjected during winemaking [,,], it was reported that during traditional winemaking, a fraction ranging from 10 to 40% of the polyphenols present in the fruit were diffused to the wine, while the residual 60% to 70% remained on the GP; as well as the extraction method and the part of the fruit used [,,,,], since phenolic compounds are found in high quantities in peels and seeds, in contrast to the amounts found in the flesh or edible parts [].
Phloroglucinolysis. Since ME and CE did not present differences, the findings suggest that during the second stage of ZHE extraction, all of the compounds that were soluble in the methanolic solvent were extracted, except for those polyphenols that were of a higher MWCO than the nominal MWCO, as well as the harder to extract compounds, such as proanthocyanidins, that can be recovered using acetone [,,].
The difference in the mDP exhibited between the samples from the two methanolic extractions and the acetone extraction indicates that a separation between the low mDP molecules and oligomeric molecules took place by action of the ZHE. The retrieving of oligomeric compounds by the acetone-water mix also aligns patterns with reports within the scientific literature, since research shows that the acetone-water mixture is the most befitting solvent system for the recovery of higher molecular weight polyphenols [,].
These results highlight high separation efficiency of the ZHE, and that the novel use of the Zero Headspace Extractor and nitrocellulose membrane to obtain polyphenol-rich extracts was successful at the proposed fractionation according to the size of the phenolic compounds. Nevertheless, the possibility of non-extractable polymeric polyphenols being present in the samples must also be noted, since they are insoluble in organic solvent and water mixtures [].
Anthocyanin content and sulfite bleaching. Even though there was no significant difference in the amount of total anthocyanin content between the different sequential extractions, it is noticeable that they did behave differently when sulfite bleaching was performed.
The difference between the percentages of sulfite bleaching-resistant pigments can be attributed to the fact that at pH 3.5, many of the monomeric anthocyanins present in the sample underwent discoloration caused by hydration, as they can already be found in the colorless hemiketal form (Mv-3-O-glu, for example, whose pKh is 2.6).
The sulfite bleaching resistance shown in the extracts as the stages progress indicates that the amount of compounds with a pKh < 3.5 (especially monomeric anthocyanin) present in the samples is being reduced, since they are being extracted in the previous step. In the ME, a large portion of the compounds extracted could be bleached, while the CE contained fewer compounds that could be bleached. It reflects that CE had fewer anthocyanins that can become hydrated and, therefore, colorless, hence the increase in the percentage of compounds resistant to sulfite bleaching [].
Moreover, after phloroglucinolysis, when comparing methanolic extract versus “cake” acetone extracts, CAE presented a higher content of pigmented compounds (almost two-fold), indicating that some pigments might be attached to the oligomeric polyphenols and were released after the acid-catalyzed cleavage of the inter-flavanic bond []. This premise is to be subjected to further study.
5. Conclusions
In conclusion, separation was presumably achieved by means of the novel Zero Headspace Extractor. Based on the results presented before, the system composed of the ZHE, along with a 0.45 µm nitrocellulose membrane, can be used as an alternative method for the extraction of polyphenols from grape pomace, and to fractionate by size the oligomeric polyphenols present in the extracts.
This creates a vast possibility of applications, since our findings suggest that there is promising opportunity in which the novel Zero Headspace Extractor provides favorable conditions to combine the advantages offered by conventional extraction techniques, such as solvent extraction and membrane technology. At the same time, ZHE suppress their disadvantages, complementing the process with a fractionation of the extracts by separating the oligomeric polyphenols from the other compounds with a simpler structure present in the extraction mix.
Author Contributions
Conceptualization, E.S. and M.D.L.B.-C.; Methodology, E.S., L.A.O.-F., M.D.L.B.-C. and G.G.-S.; Software, D.C.-F. and R.A.R.-G.; Formal analysis, B.A.R.-G. and M.D.R.P.-P.; Resources, E.S., M.D.L.B.-C. and G.G.-S.; Data curation, L.A.O.-F., Writing–original draft L.A.O.-F.; Writing–Review and editing, E.S. and M.D.L.B.-C.; Visualization, G.G.-S.; Supervision, D.C.-F. and G.G.-S.; Project administration, M.D.L.B.-C.; Funding acquisition, M.D.L.B.-C. and E.S. All authors have read and agreed to the published version of the manuscript.
Funding
The authors would like to thank the Mexican National Council for Science and Technology (CONACyT, Mexico) for financial support of a student via a doctoral scholarship and for CIENCIA DE FRONTERA Grant no. 2558579.
Acknowledgments
The authors would like to thank the Facultad de Ciencias Químicas, Universidad Autónoma de Chihuahua (UACH), and the Departamento de Medio ambiente y Energía, Centro de Investigación en Materiales Avanzados (CIMAV) for allowing this work to be executed within their facilities. The authors also like to thank Luis Armando Lozoya Márquez (CIMAV) for providing his invaluable assistance in the completion of this work.
Conflicts of Interest
The authors declare no conflict of interest.
References
- Bueno, J.M.; Ramos-Escudero, F.; Saez-Plaza, P.; Muñoz, A.M.; Jose Navas, M.; Asuero, A.G. Analysis and antioxidant capacity of anthocyanin pigments. Part I: General considerations concerning polyphenols and flavonoids. Crit. Rev. Anal. Chem. 2012, 42, 102–125. [Google Scholar] [CrossRef]
- Ganesan, K.; Xu, B. A critical review on polyphenols and health benefits of black soybeans. Nutrients 2017, 9, 455. [Google Scholar] [CrossRef] [PubMed] [Green Version]
- Mourtzinos, I.; Goula, A. Polyphenols in agricultural byproducts and food waste. In Polyphenols in Plants; Ross Watson, R., Ed.; Academic Press: London, UK, 2019; pp. 23–44. [Google Scholar]
- Brglez Mojzer, E.; Knez Hrnčič, M.; Škerget, M.; Knez, Ž.; Bren, U. Polyphenols: Extraction methods, antioxidative action, bioavailability and anticarcinogenic effects. Molecules 2016, 21, 901. [Google Scholar] [CrossRef] [PubMed]
- Gutiérrez-Grijalva, E.P.; Ambriz-Pérez, D.L.; Leyva-López, N.; Castilo-López, R.I.; Heredia, J.B. Bioavailability of dietary phenolic compounds. Rev. Española Nutr. Hum. Y Dietética 2016, 20, 140–147. [Google Scholar] [CrossRef] [Green Version]
- Faria, A.; Calhau, C.; de Freitas, V.; Mateus, N. Procyanidins as antioxidants and tumor cell growth modulators. J. Agric. Food Chem. 2006, 54, 2392–2397. [Google Scholar] [CrossRef] [PubMed]
- Praud, D.; Parpinel, M.; Guercio, V.; Bosetti, C.; Serraino, D.; Facchini, G.; Montella, M.; La Vecchia, C.; Rossi, M. Proanthocyanidins and the risk of prostate cancer in Italy. Cancer Causes Control. 2018, 29, 261–268. [Google Scholar] [CrossRef] [PubMed]
- Dávila, I.; Robles, E.; Egüés, I.; Labidi, J.; Gullón, P. The biorefinery concept for the industrial valorization of grape processing by-products. In Handbook of Grape Processing by-Products; Academic Press: London, UK, 2017; pp. 29–53. [Google Scholar]
- Argon, Z.U.; Celenk, V.U.; Gumus, Z.P. Cold pressed grape (Vitis vinifera) seed oil. In Cold Pressed Oils; Academic Press: London, UK, 2020; pp. 39–52. [Google Scholar]
- Maamoun, M.A.I. An Insight into the Brilliant Benefits of Grape Waste. In Mediterranean Fruits Bio-Wastes; Springer: Berlin/Heidelberg, Germany, 2022; pp. 433–465. [Google Scholar]
- Hogervorst, J.C.; Miljić, U.; Puškaš, V. Extraction of bioactive compounds from grape processing by-products: Sustainable solutions. In Handbook of Grape Processing By-Products; Academic Press: London, UK, 2017; pp. 105–135. [Google Scholar]
- Goula, A.M.; Thymiatis, K.; Kaderides, K. Valorization of grape pomace: Drying behavior and ultrasound extraction of phenolics. Food Bioprod. Process 2016, 100, 132–144. [Google Scholar] [CrossRef]
- Choi, Y.; Lee, J. Antioxidant and antiproliferative properties of a tocotrienol-rich fraction from grape seeds. Food Chem. 2009, 114, 1386–1390. [Google Scholar] [CrossRef]
- Maroun, R.G.; Rajha, H.N.; Vorobiev, E.; Louka, N. Emerging technologies for the recovery of valuable compounds from grape processing by-products. In Handbook of Grape Processing by-Products; Academic Press: London, UK, 2017; pp. 155–181. [Google Scholar]
- Spigno, G.; Marinoni, L.; Garrido, G.D. State of the art in grape processing by-products. In Handbook of Grape Processing By-Products; Academic Press: London, UK, 2017; pp. 1–27. [Google Scholar]
- Pinelo, M.; Arnous, A.; Meyer, A.S. Upgrading of grape skins: Significance of plant cell-wall structural components and extraction techniques for phenol release. Trends Food Sci. Technol. 2006, 17, 579–590. [Google Scholar] [CrossRef]
- Gómez-Brandón, M.; Lores, M.; Insam, H.; Domínguez, J. Strategies for recycling and valorization of grape marc. Crit. Rev. Biotechnol. 2019, 39, 437–450. [Google Scholar] [CrossRef]
- Fierascu, R.C.; Fierascu, I.; Avramescu, S.M.; Sieniawska, E. Recovery of natural antioxidants from agro-industrial side streams through advanced extraction techniques. Molecules 2019, 24, 4212. [Google Scholar] [CrossRef] [PubMed] [Green Version]
- Freedonia Group. World Nutraceutical Ingredients Industry Study with Forecasts for 2017 & 2022. Industry Market Research Brochure. 2013. Available online: http://www.freedoniagroup.com/brochure/30xx/3079smwe.pdf (accessed on 24 January 2022).
- Pinelo, M.; Rubilar, M.; Jerez, M.; Sineiro, J.; Nuñez, M.J. Effect of solvent, temperature, and solvent-to-solid ratio on the total phenolic content and antiradical activity of extracts from different components of grape pomace. J. Agric. Food Chem. 2005, 53, 2111–2117. [Google Scholar] [CrossRef] [PubMed]
- Bordiga, M.; Travaglia, F.; Locatelli, M. Valorisation of grape pomace: An approach that is increasingly reaching its maturity—A review. Int. J. Food Sci. Technol. 2019, 54, 933–942. [Google Scholar] [CrossRef]
- Parisi, O.I.; Puoci, F.; Restuccia, D.; Iemma, F.; Picci, N. Polyphenols and Their Formulations: Different Strategies to Overcome the Drawbacks Associated with Their Poor Stability and Bioavailability. Polyphen. Hum. Health Dis. 2014, 4, 29–45. [Google Scholar]
- Medina-Torres, N.; Ayora-Talavera, T.; Espinosa-Andrews, H.; Sánchez-Contreras, A.; Pacheco, N. Ultrasound assisted extraction for the recovery of phenolic compounds from vegetable sources. Agronomy 2017, 7, 47. [Google Scholar] [CrossRef]
- Galanakis, C.M.; Markouli, E.; Gekas, V. Recovery and fractionation of different phenolic classes from winery sludge using ultrafiltration. Sep. Purif. Technol. 2013, 107, 245–251. [Google Scholar] [CrossRef]
- Sciortino, M.; Avellone, G.; Scurria, A.; Bertoli, L.; Carnaroglio, D.; Bongiorno, D.; Pagliaro, M.; Ciriminna, R. Green and Quick Extraction of Stable Biophenol-Rich Red Extracts from Grape Processing Waste. ACS Food Sci. Technol. 2021, 1, 937–942. [Google Scholar] [CrossRef]
- Nawaz, H.; Shi, J.; Mittal, G.S.; Kakuda, Y. Extraction of polyphenols from grape seeds and concentration by ultrafiltration. Sep. Purif. Technol. 2006, 48, 176–181. [Google Scholar] [CrossRef]
- Drevelegka, I.; Goula, A.M. Recovery of grape pomace phenolic compounds through optimized extraction and adsorption processes. Chem. Eng. Process. Process Intensif. 2020, 149, 107845. [Google Scholar] [CrossRef]
- Perra, M.; Lozano-Sánchez, J.; Leyva-Jiménez, F.J.; Segura-Carretero, A.; Pedraz, J.L.; Bacchetta, G.; Muntoni, A.; De Gioannis, G.; Manca, M.L.; Manconi, M. Extraction of the antioxidant phytocomplex from wine-making by-products and sustainable loading in phospholipid vesicles specifically tailored for skin protection. Biomed Pharm. 2021, 142, 111959. [Google Scholar] [CrossRef]
- Syed, U.T.; Brazinha, C.; Crespo, J.G.; Ricardo-da-Silva, J.M. Valorisation of grape pomace: Fractionation of bioactive flavan-3-ols by membrane processing. Sep. Purif. Technol. 2017, 172, 404–414. [Google Scholar] [CrossRef]
- Crespo, J.G.; Brazinha, C. Membrane processing: Natural antioxidants from winemaking by-products. Filtr. Sep. 2010, 47, 32–35. [Google Scholar] [CrossRef]
- Oliveira, J.; Alhinho da Silva, M.; Teixeira, N.; De Freitas, V.; Salas, E. Screening of anthocyanins and anthocyanin-derived pigments in red wine grape pomace using LC-DAD/MS and MALDI-TOF techniques. J. Agric Food Chem. 2015, 63, 7636–7644. [Google Scholar] [CrossRef]
- Socaci, S.A.; Fărcaş, A.C.; Galanakis, C.M. Introduction in functional components for membrane separations. In Separation of Functional Molecules in Food by Membrane Technology; Academic Press: London, UK, 2019; pp. 31–77. [Google Scholar]
- Camel, V. Recent extraction techniques for solid matrices—Supercritical fluid extraction, pressurized fluid extraction and microwave-assisted extraction: Their potential and pitfalls. Analyst 2001, 126, 1182–1193. [Google Scholar] [CrossRef] [PubMed]
- Jain, T.; Jain, V.; Pandey, R.; Vyas, A.; Shukla, S.S. Microwave assisted extraction for phytoconstituents–An overview. Asian J. Res. Chem. 2009, 2, 19–25. [Google Scholar]
- Kaufmann, B.; Christen, P. Recent extraction techniques for natural products: Microwave-assisted extraction and pressurised solvent extraction. Phytochem. Anal. 2002, 13, 105–113. [Google Scholar] [CrossRef] [PubMed]
- Tapia-Quirós, P.; Montenegro-Landívar, M.F.; Reig, M.; Vecino, X.; Cortina, J.L.; Saurina, J.; Granados, M. Recovery of polyphenols from agri-food by-products: The olive oil and winery industries cases. Foods 2022, 11, 362. [Google Scholar] [CrossRef]
- Puri, M.; Sharma, D.; Barrow, C.J. Enzyme-assisted extraction of bioactives from plants. Trends Biotechnol. 2012, 30, 37–44. [Google Scholar] [CrossRef]
- Vernès, L.; Vian, M.; Chemat, F. Ultrasound and microwave as green tools for solid-liquid extraction. In Liquid-Phase Extraction, Handbooks in Separation Science; Poole, C.F., Ed.; Elsevier: Amsterdam, The Netherlands, 2020; pp. 355–374. [Google Scholar]
- Cassano, A.; De Luca, G.; Conidi, C.; Drioli, E. Effect of polyphenols-membrane interactions on the performance of membrane-based processes. A review. Coord Chem. Rev. 2017, 351, 45–75. [Google Scholar] [CrossRef]
- Conidi, C.; Drioli, E.; Cassano, A. Membrane-based agro-food production processes for polyphenol separation, purification and concentration. Curr. Opin. Food Sci. 2018, 23, 149–164. [Google Scholar] [CrossRef]
- Giacobbo, A.; Moura Bernardes, A.; de Pinho, M.N. Sequential pressure-driven membrane operations to recover and fractionate polyphenols and polysaccharides from second racking wine. Sep. Purif. Technol. 2017, 173, 49–54. [Google Scholar] [CrossRef]
- Negrão Murakami, A.N.; Dias de Mello Castanho Amboni, R.; Schwinden Prudêncio, E.; Amante, E.R.; de Moraes Zanotta, L.; Maraschin, M.; Cunha Petrus, J.C.; Teófilo, R.F. Concentration of phenolic compounds in aqueous mate (Ilex paraguariensis A. St. Hill) extract through nanofiltration. LWT Food Sci. Technol. 2011, 44, 2211–2216. [Google Scholar] [CrossRef]
- Conidi, C.; Cassano, A.; Drioli, E. A membrane-bassed study for the recovery of polyphenols from bergamote juice. J. Membr. Sci. 2011, 375, 182–190. [Google Scholar] [CrossRef]
- Pan, B.; Yan, P.; Li, X. Concentration of coffee extract using nanofiltration membranes. Desalination 2013, 317, 127–131. [Google Scholar] [CrossRef]
- Cissé, M.; Vaillant, F.; Pallet, D.; Dornier, M. Selecting ultrafiltration and nanofiltration membranes to concentrate anthocyanins from roselle extract (Hibiscus sabdariffa L.). Food Res. Int. 2011, 44, 2607–2614. [Google Scholar] [CrossRef]
- Santamaria, B.; Salazar, G.; Beltrán, S.; Cabezas, J. Membrane sequences for fractionation of polyphenolic extracts from defatted milled grape seeds. Desalination 2002, 148, 103–109. [Google Scholar] [CrossRef]
- Castro-Muñoz, R.; Yáñez-Fernández, J.; Fíla, V. Phenolic compounds recovered from agro-food by-products using membrane technologies: An overview. Food Chem. 2016, 213, 753–762. [Google Scholar] [CrossRef]
- Galanakis, C.M. Separation of functional macromolecules and micromolecules: From ultrafiltration to the border of nanofiltration. Trends Food Sci. Technol. 2015, 42, 44–63. [Google Scholar] [CrossRef]
- Loginov, M.; Boussetta, N.; Lebovka, N.; Vorobiev, E. Separation of polyphenols and proteins from flaxseed hull extracts by coagulation and ultrafiltration. J. Membr. Sci. 2013, 442, 177–186. [Google Scholar] [CrossRef]
- Díaz-Reinoso, B.; Moure, A.; Domínguez, H.; Parajó, J.C. Ultra-and nanofiltration of aqueous extracts from distilled fermented grape pomace. J. Food Eng. 2009, 91, 587–593. [Google Scholar] [CrossRef]
- Rouquié, C.; Dahdouh, L.; Delalonde, M.; Wisniewski, C. An innovative lab-scale strategy for the evaluation of Grape Processing Residues (GPR) filterability: Application to GPR valorization by ultrafiltration. Innov. Food Sci. Emerg. Technol. 2017, 41, 314–322. [Google Scholar] [CrossRef]
- Conidi, C.; Destani, F.; Cassano, A. Performance of hollow fiber ultrafiltration membranes in the clarification of blood orange juice. Beverages 2015, 1, 341–353. [Google Scholar] [CrossRef]
- Patras, A.; Brunton, N.P.; O’Donnell, C.; Tiwari, B.K. Effect of thermal processing on anthocyanin stability in foods; mechanisms and kinetics of degradation. Trends Food Sci. Technol. 2010, 21, 3–11. [Google Scholar] [CrossRef]
- Salas, E.; Fulcrand, H.; Poncet-Legrand, C.; Meudec, E.; Köhler, N.; Winterhalter, P.; Cheynier, V. Isolation of flavanol-anthocyanin adducts by countercurrent chromatography. J. Chromatogr. Sci. 2005, 43, 488–493. [Google Scholar] [CrossRef] [PubMed] [Green Version]
- Porter, L.J.; Hrstich, L.N.; Chan, B.G. The conversion of procyanidins and prodelphinidins to cyanidin and delphinidin. Phytochemistry 1985, 25, 223–230. [Google Scholar] [CrossRef] [Green Version]
- Hagerman, A.E. Tannin Handbook; Miami University; Ann Hagerman Lab: Oxford, OH, USA, 2002; Available online: www.users.muohio.edu/hagermae/ (accessed on 27 December 2021).
- Kennedy, J.A.; Jones, G.P. Analysis of proanthocyanidin cleavage products following acid-catalysis in the presence of excess phloroglucinol. J. Agric. Food Chem. 2001, 49, 1740–1746. [Google Scholar] [CrossRef]
- Berké, B.; Chèze, C.; Vercauteren, J.; Deffieux, G. Bisulfite addition to anthocyanins: Revisited structures of colourless adducts. Tetrahedron Lett. 1998, 39, 5771–5774. [Google Scholar] [CrossRef]
- Salas, E.; Dueñas, M.; Schwarz, M.; Winterhalter, P.; Cheynier, V.; Fulcrand, H. Characterization of pigments from different high speed countercurrent chromatography wine fractions. J. Agric. Food Chem. 2005, 53, 4536–4546. [Google Scholar] [CrossRef]
- Dueñas, M.; Salas, E.; Cheynier, V.; Dangles, O.; Fulcrand, H. UV−visible spectroscopic investigation of the 8, 8-methylmethine catechin-malvidin 3-glucoside pigments in aqueous solution: Structural transformations and molecular complexation with chlorogenic acid. J. Agric Food Chem. 2006, 54, 189–196. [Google Scholar] [CrossRef]
- Vatai, T.; Skerget, M.; Knez, Z. Extraction of phenolic compounds from elder berry and different grape marc varieties using organic solvents and/or supercritical carbon dioxide. J. Food Eng. 2009, 90, 246–254. [Google Scholar] [CrossRef]
- Fontana, A.R.; Antoniolli, A.; Bottini, R. Grape pomace as a sustainable source of bioactive compounds: Extraction, characterization, and biotechnological applications of phenolics. J. Agric Food Chem. 2013, 61, 8987–9003. [Google Scholar] [CrossRef] [PubMed]
- Kim, D.O.; Lee, C.Y. Extraction and isolation of polyphenolics. Curr. Protoc. Food Anal. Chem. 2002, 6, I1–I2. [Google Scholar] [CrossRef]
- Muñiz-Márquez, D.B.; Martínez-Ávila, G.C.; Wong-Paz, J.E.; Belmares-Cerda, R.; Rodríguez-Herrera, R.; Aguilar, C.N. Ultrasound-assisted extraction of phenolic compounds from Laurus nobilis L. and their antioxidant activity. Ultrason. Sonochem. 2013, 20, 1149–1154. [Google Scholar] [CrossRef] [PubMed]
- d’Alessandro, L.G.; Kriaa, K.; Nikov, I.; Dimitrov, K. Ultrasound assisted extraction of polyphenols from black chokeberry. Sep. Purif. Technol. 2012, 93, 42–47. [Google Scholar] [CrossRef]
- Garcia-Castello, E.M.; Rodriguez-Lopez, A.D.; Mayor, L.; Ballesteros, R.; Conidi, C.; Cassano, A. Optimization of conventional and ultrasound assisted extraction of flavonoids from grapefruit (Citrus paradisi L.) solid wastes. LWT Food Sci. Technol. 2015, 64, 1114–1122. [Google Scholar] [CrossRef]
- Galanakis, C.M. (Ed.) Handbook of Grape Processing by-Products: Sustainable Solutions; Academic Press: London, UK, 2017. [Google Scholar]
- McMurrough, I.; Madigan, D.; Smyth, M.R. Semipreparative chromatographic procedure for the isolation of dimeric and trimeric proanthocyanidins from barley. J. Agric Food Chem. 1996, 44, 1731–1735. [Google Scholar] [CrossRef]
- Labarbe, B.; Cheynier, V.; Brossaud, F.; Souquet, J.M.; Moutounet, M. Quantitative fractionation of grape proanthocyanidins according to their degree of polymerization. J. Agric Food Chem. 1999, 47, 2719–2723. [Google Scholar] [CrossRef]
- Fragoso, S.; Guasch, J.; Aceña, L.; Mestres, M.; Busto, O. Prediction of red wine colour and phenolic parameters from the analysis of its grape extract. Int. J. Food Sci. Technol. 2011, 46, 2569–2575. [Google Scholar] [CrossRef]
- Beres, C.; Costa, G.N.S.; Cabezudo, I.; da Silva-James, N.K.; Teles, A.S.C.; Cruz, A.P.G.; Mellinger-Silva, C.; Tonon, R.V.; Cabral, L.M.C.; Freitas, S.P. Towards integral utilization of grape pomace from winemaking process: A review. Waste Manag. 2017, 68, 581–594. [Google Scholar] [CrossRef]
- Antonić, B.; Jančíková, S.; Dordević, D.; Tremlová, B. Grape Pomace Valorization: A Systematic Review and Meta-Analysis. Foods 2022, 9, 1627. [Google Scholar] [CrossRef]
- Balasundram, N.; Sundram, K.; Samman, S. Phenolic compounds in plants and agri-industrial by-products: Antioxidant activity, occurrence, and potential uses. Food Chem. 2006, 99, 191–203. [Google Scholar] [CrossRef]
Publisher’s Note: MDPI stays neutral with regard to jurisdictional claims in published maps and institutional affiliations. |
© 2022 by the authors. Licensee MDPI, Basel, Switzerland. This article is an open access article distributed under the terms and conditions of the Creative Commons Attribution (CC BY) license (https://creativecommons.org/licenses/by/4.0/).