Thermal Operation Maps for Lamm–Honigmann Thermo-Chemical Energy Storage—A Quasi-Stationary Model for Process Analysis †
Abstract
:1. Introduction
2. Materials and Methods
2.1. Storage-Cycle Description
- 1.
- Discharging (Figure 2, left): The water heat exchanger works as evaporator, the sorption heat exchanger works as absorber. The evaporator has a slightly lower temperature than the absorber to enable the heat transfer. Water vapor from the evaporator is passed through an expansion machine to produce mechanical work W. The expanded water vapor is absorbed by the LiBr-solution in the absorber and the heat of absorption is used to evaporate more water. This goes on until the LiBr-solution is so diluted that the vapor pressure difference is not sufficient anymore to supply the desired mechanical power or torque. As the energy released when the water is absorbed is higher than the energy required for evaporation of that water (for the common physisorptive systems the ratio is around ) the entire system heats up during discharge.
- 2.
- Charging (Figure 2, right): The sorption heat exchanger works as desorber. The LiBr-solution is regenerated by the input of heat from the water heat exchanger working as condenser . The desorbed water vapor is compressed to condenser pressure level and liquefied in the condenser.
2.2. Realization of the Heat Coupling
- (A)
- Directly coupled (Figure 3): One heat exchanger (HX) is submerged in the other (this corresponds to the original design of Honigmann’s fireless locomotive, as can be seen in [1]). This certainly minimizes the temperature differences for heat exchange and thus exergy destruction, but it also reduces the control possibilities and is a design challenge, especially as both HXs would have to be separated again for thermal charging.
- (B)
- Coupled via an external heat-transfer circuit (Figure 4): Pipes with a heat-transfer fluid are connected the HXs. For thermal charging and control and, potentially, efficiency increase, external heat sink and source are integrated in the transfer circuit. This corresponds to the realization of the prototype plant at TU Berlin.
2.3. Solution-Field Geometry
2.4. Guiding Differential Equations of the Charging and Discharging Process
- The working fluids in the heat exchangers are in thermodynamic equilibrium;
- No vapor phase is present within the heat exchangers (the vapor is immediately absorbed by the liquid in A/condensed in C and immediately leaves D/E);
- The liquids in the heat exchangers are ideally mixed (retention time in the solution circuit is neglected; temperature is distributed equally); static pressure differences are negligible;
- The liquids are ideal, and holds true;
- Heat and pressure losses in the connecting pipes are negligible (heat losses in the heat exchangers are considered);
- The component itself is at the same temperature as the respective working fluid contained.
3. Results
3.1. Quasi-Stationary Behavior of the System
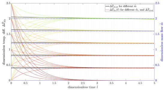
3.1.1. Analysis for a Constant Vapor Mass Flow
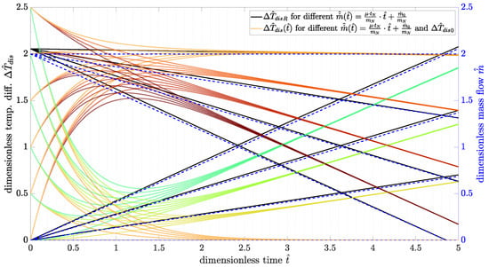
3.1.2. Analysis for a Linear Rising or Falling Vapor Mass Flow
3.2. Thermal Operation Maps
3.2.1. Thermal Operation Map for Mechanical Discharging
3.2.2. Thermal Operation Map for Mechanical Charging
3.3. Further System Analyses
4. Discussion
4.1. Derived Storage Characteristics
- The thermal efficiency of the process is very sensitive to the vapor mass flow rate;
- For discharging with constant thermal efficiency, the mass flow rate has to decline continuously;
- For charging with constant thermal efficiency, the mass flow rate has to rise continuously;
- The lower the mass flow rate is, the larger the thermal efficiency is—as usual, there is a trade-off between power and energy density/efficiency;
- For a constant power output during discharge, the mass flow rate has to rise during discharging (with the consequence of declining thermal efficiency);
- For a constant power input during charge, the mass flow rate has to decline during charging (with the consequence of rising thermal efficiency).
- The mass flow rate for a certain power input is significantly smaller than for the same power output; in other words, if the power output and input are equal and fixed, charging takes more than 3 times longer than discharging in the range 0.5–1 kW/m;
- The thermal efficiency for the same mass flow rate is always larger for discharging, because the heat of desorption is always larger than the heat of evaporation. Therefore, assuming similar overall heat-transfer coefficients for desorption/condensation and absorption/evaporation, the required temperature difference for a certain mass flow rate is larger when charging.
4.2. Critical Model Assumptions
5. Conclusions
- Dimension the storage components (heat exchanger, expansion/compression device, liquid storage tanks);
- Compare different liquid-sorption working-fluid pairs;
- Conduct economic analyses to find the optimal heat-exchanger size for different energy production scenarios (e.g., long or short-term reserves);
- Develop a model-based control strategy for the power output of the storage.
Author Contributions
Funding
Institutional Review Board Statement
Informed Consent Statement
Data Availability Statement
Conflicts of Interest
Nomenclature
| vapor quality | |
| energetic efficiency | |
| driving temperature difference (K) | |
| energetic efficiency | |
| isentropic ratio | |
| fitted parameter (%/K) | |
| mass fraction () | |
| parameters of the diff. eq. | |
| A | heat-exchanger area (m) |
| isobaric heat capacity () | |
| difference in liquid and gaseous isobaric heat capacity () | |
| d | differential operator |
| f | variable coeff. of the diff. eq. () |
| g | variable coeff. of the diff. eq. () |
| h | specific enthalpy () |
| sorption enthalpy () | |
| evaporation enthalpy () | |
| superheat at compressor outlet () | |
| k | heat-transfer coefficient () |
| m | mass (kg) |
| p | pressure (Pa) |
| shaft power (W) | |
| R | universal gas constant () |
| s | specific entropy () |
| t | time (s) |
| T | temperature (K) |
| q | specific heat () |
| Q | heat (kJ) |
| U | inner energy (kJ) |
| v | specific volume () |
| specific shaft work () | |
| x | salt mass fraction () |
| Abbreviations | |
| A | ab-/adsorber |
| D | desorber |
| E | evaporator |
| EM | expansion machine |
| C | condenser |
| CB | Carnot battery |
| CM | compression machine |
| HX | heat exchanger |
| P | component parts/periphery |
| PTES | Pumped Thermal Electricity Storage |
| number of transfer units | |
| sol. | solution |
| Indices | |
| dimensionless quantity | |
| saturated liquid | |
| saturated vapor | |
| storage | |
| ad-/absorbant | |
| equilibrium | |
| charge | |
| discharge | |
| compression | |
| expansion | |
| reversible limit | |
| isentropic | |
| polytropic | |
| volumetric | |
| heat-transfer fluid | |
| inlet | |
| outlet | |
| p | particulate |
| h | homogeneous |
Appendix A. Energy Balances
Appendix A.1. Evaporator(E)/Condenser(C)

Amount of Superheat

Appendix A.2. Absorber(A)/Desorber(D)

Appendix A.3. Expansion-/Compression Machine (EM/CM)

Appendix A.3.1. Efficiencies of EM

Appendix A.3.2. Efficiencies of CM
Appendix A.4. Heat-Transfer Circuit

Appendix A.5. Combined Energy Balances—Absorber/Desorber and Expansion/Compression Machine
Appendix B. Deduction of the Guiding Differential Equations
Appendix B.1. Case (A)
Appendix B.2. Cases (B) and (C)
Appendix C. Normalization of Thermal Masses with Salt Mass
References
- Honigmann, M. Utilization of Exhaust-Steam. Specification Forming Part of Reissued. U.S. Patent No. 10.675, 22 December 1885. [Google Scholar]
- Honigmann, M. Verfahren Zur Entwicklung Gespannten Dampfes Durch Absorption Des Abgehenden Maschinendampfes in Aetznatron Oder Aetzkali. Kaiserliches Patentamt Patent No. 24993, 8 May 1883. [Google Scholar]
- Lamm, E. Improvement in Ammoniacal-Gas Engines. U.S. Patent No. 105 581, 19 July 1870. [Google Scholar]
- Jahnke, A.; Ziegler, F.; Karow, M. Re-Evaluation of the Honigmann-Process: Thermo-Chemical Heat Store for the Supply of Electricity and Refrigeration. In Proceedings of the Heat Powered Cycles Conference, Berlin, Germany, 7–9 September 2009. [Google Scholar]
- Steinmann, W.D. The CHEST (Compressed Heat Energy STorage) concept for facility scale thermo mechanical energy storage. Energy 2014, 69, 543–552. [Google Scholar] [CrossRef]
- Dumont, O.; Frate, G.F.; Pillai, A.; Lecompte, S.; Paepe, M.D.; Lemort, V. Carnot battery technology: A state-of-the-art review. J. Energy Storage 2020, 32, 101756. [Google Scholar] [CrossRef]
- Novotny, V.; Basta, V.; Smola, P.; Spale, J. Review of Carnot Battery Technology Commercial Development. Energies 2022, 15, 647. [Google Scholar] [CrossRef]
- 1414Degrees Australia. Available online: https://1414degrees.com.au/ (accessed on 10 March 2022).
- Stiesdal, Aargus Denmark. Available online: https://www.stiesdal.com/storage/ (accessed on 10 March 2022).
- McTigue, J.D.; Farres-Antunez, P.; Sundarnath, K.; Markides, C.N.; White, A.J. Techno-economic analysis of recuperated Joule-Brayton pumped thermal energy storage. Energy Convers. Manag. 2022, 252, 115016. [Google Scholar] [CrossRef]
- Zhao, Y.; Song, J.; Liu, M.; Zhao, Y.; Olympios, A.V.; Sapin, P.; Yan, J.; Markides, C.N. Thermo-economic assessments of pumped-thermal electricity storage systems employing sensible heat storage materials. Renew. Energy 2022, 186, 431–456. [Google Scholar] [CrossRef]
- Zhang, H.; Wang, L.; Li, X.; Chen, H. Technical and economic analysis of Brayton-cycle-based pumped thermal electricity storage systems with direct and indirect thermal energy storage. Energy 2022, 239, 121966. [Google Scholar] [CrossRef]
- Albert, M.; Ma, Z.; Bao, H.; Roskilly, A.P. Operation and performance of Brayton Pumped Thermal Energy Storage with additional latent storage. Appl. Energy 2022, 312, 118700. [Google Scholar] [CrossRef]
- Frate, G.F.; Ferrari, L.; Desideri, U. Rankine Carnot Batteries with the Integration of Thermal Energy Sources: A Review. Energies 2020, 13, 4766. [Google Scholar] [CrossRef]
- Frate, G.F.; Paternostro, L.; Ferrari, L.; Desideri, U. Off-Design of a Pumped Thermal Energy Storage Based on Closed Brayton Cycles. J. Eng. Gas Turbines Power 2022, 144, 021016. [Google Scholar] [CrossRef]
- Whang, L.; Li, X.; Chai, L.; Peng, L.; Yu, D.; Chen, H. Cyclic transient behavior of the Joule–Brayton based pumped heat electricity storage: Modeling and analysis. Renew. Sustain. Energy Rev. 2019, 111, 523–534. [Google Scholar] [CrossRef]
- Whang, L.; Li, X.; Chai, L.; Peng, L.; Yu, D.; Liu, J.; Chen, H. Unbalanced mass flow rate of packed bed thermal energy storage and its influence on the Joule-Brayton based Pumped Thermal Electricity Storage. Energy Convers. Manag. 2019, 185, 593–602. [Google Scholar] [CrossRef]
- Whang, L.; Li, X.; Zhang, H.; Peng, L.; Chen, H. Brayton-cycle-based pumped heat electricity storage with innovative operation mode of thermal energy storage array. Appl. Energy 2021, 291, 116821. [Google Scholar] [CrossRef]
- Zhang, H.; Wang, L.; Li, X.; Chen, H. Combined cooling, heating, and power generation performance of pumped thermal electricity storage system based on Brayton cycle. Appl. Energy 2020, 278, 115607. [Google Scholar] [CrossRef]
- MAN, AG. Available online: https://www.man-es.com/energy-storage/solutions/energy-storage/electro-thermal-energy-storage (accessed on 10 March 2022).
- Jacquemoud, E. Electro-Thermal Energy Storage System (ETES) Based on CO2 Cycles. In Encyclopedia of Energy Storage; Elsevier: Amsterdam, The Netherlands, 2022; Volume 2, pp. 79–86. [Google Scholar] [CrossRef]
- Energy Dome S.p.A. Available online: https://energydome.com/ (accessed on 10 March 2022).
- Jockenhoefer, H.; Steinmann, W.D.; Bauer, D. Detailed numerical investigation of a pumped thermal energy storage with low temperature heat integration. Energy 2018, 145, 665–676. [Google Scholar] [CrossRef]
- Steinmann, W.D.; Bauer, D.; Jockenhöfer, H.; Johnson, M. Rumped thermal energy storage (PTES) as smart sector-coupling technology for heat and electricity. Energy 2019, 183, 185–190. [Google Scholar] [CrossRef]
- Dumont, O.; Lemort, V. Mapping of performance of pumped thermal energy storage (Carnot battery) using waste heat recovery. Energy 2020, 211, 118963. [Google Scholar] [CrossRef]
- Eppinger, B.; Steger, D.; Regensburger, C.; Karl, J.; Schlücker, E.; Will, S. Carnot battery: Simulation and design of a reversible heat pump-organic Rankine cycle pilot plant. Appl. Energy 2021, 228, 116650. [Google Scholar] [CrossRef]
- Pillai, A.; Kaya, A.; Paepe, M.D.; Lecompte, S. Performance analysis of an Organic Rankine Cycle for integration in a Carnot Battery. In Proceedings of the 5th International Seminar on ORC Power Systems, Athens, Greece, 9–11 September 2019. [Google Scholar]
- Steger, D.; Regensburger, C.; Eppinger, B.; Will, S.; Karl, J.; Schlücker, E. Design aspects of a reversible gheat pump—Organic rankine cycle pilot plant for energy storage. Energy 2020, 208, 118216. [Google Scholar] [CrossRef]
- Eppinger, B.; Muradi, M.; Scharrer, D.; Zigan, L.; Bazan, P.; German, R. Simulation of the Part Load Behavior of Combined Heat Pump-Organic Rankine Cycle Systems. Energies 2021, 14, 3870. [Google Scholar] [CrossRef]
- Steger, D.; Karl, J.; Schlücker, E. Launch and first experimental results of a reversible heat pump-ORC pilot plant as Carnot Battery. In Proceedings of the 6th International Seminar on ORC Power Systems, Bavaria, Germany, 11–13 October 2021. [Google Scholar]
- CHESTER Project. Compressed Heat Energy Storage for Energy Frome Renewable Sources. Available online: https://www.chester-project.eu/public-documents/ (accessed on 10 March 2022).
- Dumont, O.; Charalampidis, A.; Lemort, V.; Karellas, S. Experimental investigation of a thermally integrated Carnot battery using a reversible heat pump/organic Rankine cycle. In Proceedings of the 18th International Refrigeration and Air Conditioning Conference Purdue, West Lafayette, IN, USA, 24–28 May 2021. [Google Scholar]
- Frate, G.F.; Ferrari, L.; Desideri, U. Multi-criteria investigation of a pumped thermal electricity storage (PTES) system with thermal integration and sensible heat storage. Energy Convers. Manag. 2020, 208, 112530. [Google Scholar] [CrossRef]
- Highview Power Incorporation. Available online: https://highviewpower.com/ (accessed on 10 March 2022).
- Hamdy, S.; Moser, F.; Morosuk, T.; Tsatsaronis, G. Exergy-based and Ecnomoic Evaluation of Liquification Processes for Cryogenics Energy Storage. Energies 2019, 12, 493. [Google Scholar] [CrossRef] [Green Version]
- Incer-Valverde, J.; Hamdy, S.; Morosuk, T.; Tsatsaronis, G. Improvement perspectives of cryogenics-based energy storage. Renew. Energy 2021, 169, 629–640. [Google Scholar] [CrossRef]
- Tafone, A.; Ding, Y.; Li, Y.; Xie, C.; Romagnoli, A. Levelised Cost of Storage (LCOS) analysis of liquid air energy storage system integrated with Organic Rankine Cycle. Energy 2020, 198, 117275. [Google Scholar] [CrossRef]
- Vecci, A.; Li, Y.; Ding, Y.; Mancarelle, P.; Sciacovelli, A. Liquid air energy storage (LAES): A review on technology state-of-the-art, integration pathways and future perspectives. Adv. Appl. Energy 2021, 3, 100047. [Google Scholar] [CrossRef]
- Qi, M.; Park, J.; Lee, I.; Moon, I. Liquid air as an emerging energy vector towards carbon neutrality: A multi-scale systems perspective. Renew. Sustain. Energy Rev. 2022, 159, 112201. [Google Scholar] [CrossRef]
- Thess, A. Thermodynamic Efficiency of Pumped Heat Electricity Storage. Phys. Rev. Lett. 2013, 111, 110602. [Google Scholar] [CrossRef] [Green Version]
- Thiele, E. The Lamm-Honigmann thermochemical energy storage. In Enzyklopedia of Energy Storage; Elsevier: Amsterdam, The Netherlands, 2022. [Google Scholar]
- Jahnke, A. Untersuchung des Honigmann-Prozesses zur Thermochemischen Energiespeicherung. Doctoral Thesis, Technische Universität Berlin, Berlin, Germany, 2019. [Google Scholar] [CrossRef]
- Thiele, E.; Jahnke, A.; Ziegler, F. Efficiency of the Lamm-Honigmann thermochemical energy storage. Therm. Sci. Eng. Prog. 2020, 19, 100606. [Google Scholar] [CrossRef]
- Jahnke, A.; Strenge, L.; Fleßner, C.; Wolf, N.; Jungnickel, T.; Ziegler, F. First Cycle simulations of the Honigmann process with LiBr/H2O and NaOH/H2O as working fluid pairs as a thermochemical energy storage. Int. J. Low-Carbon Technol. 2013, 8, i55–i61. [Google Scholar] [CrossRef] [Green Version]
- Feuerecker, G. Entropieanalyse für Wärmepumpensysteme: Methoden und Stoffdaten. Doctoral Thesis, Technische Universität München, Munich, Germany, 1994. [Google Scholar]














| Discharging | |
|---|---|
| a | |
| b | |
| c | |
| d | |
| Charging | |
| a | |
| b | |
| c | |
| d | |
| Dimensionless Variables | Dimensionless Parameters |
|---|---|
| Parameter | Value |
|---|---|
| heat-exchanger area A | 1 m |
| heat-transfer coefficient k | 1500 W/(K m) |
| inner efficiency of EM/CM | |
| heated expansion/cooled compression | 1 (no) |
| volumetric efficiency of EM/CM | |
| quality of produced water vapor | 1 |
| storage temperature | 130 °C |
| mass of LiBr | 30 kg |
| mass of water | 60 kg |
| salt mass fraction, charged | 0.7 |
| salt mass fraction, discharged | 0.5 |
| design mass flow rate | g/s |
| nominal time for 1% discharged mass | s |
| design driving temperature difference | 4 K |
Publisher’s Note: MDPI stays neutral with regard to jurisdictional claims in published maps and institutional affiliations. |
© 2022 by the authors. Licensee MDPI, Basel, Switzerland. This article is an open access article distributed under the terms and conditions of the Creative Commons Attribution (CC BY) license (https://creativecommons.org/licenses/by/4.0/).
Share and Cite
Thiele, E.; Ziegler, F. Thermal Operation Maps for Lamm–Honigmann Thermo-Chemical Energy Storage—A Quasi-Stationary Model for Process Analysis. Processes 2022, 10, 977. https://doi.org/10.3390/pr10050977
Thiele E, Ziegler F. Thermal Operation Maps for Lamm–Honigmann Thermo-Chemical Energy Storage—A Quasi-Stationary Model for Process Analysis. Processes. 2022; 10(5):977. https://doi.org/10.3390/pr10050977
Chicago/Turabian StyleThiele, Elisabeth, and Felix Ziegler. 2022. "Thermal Operation Maps for Lamm–Honigmann Thermo-Chemical Energy Storage—A Quasi-Stationary Model for Process Analysis" Processes 10, no. 5: 977. https://doi.org/10.3390/pr10050977
APA StyleThiele, E., & Ziegler, F. (2022). Thermal Operation Maps for Lamm–Honigmann Thermo-Chemical Energy Storage—A Quasi-Stationary Model for Process Analysis. Processes, 10(5), 977. https://doi.org/10.3390/pr10050977
