Heat/PMS Degradation of Atrazine: Theory and Kinetic Studies
Abstract
:1. Introduction
2. Materials and Methods
2.1. Reagents and Instruments
2.2. Experiment Scheme
2.2.1. Solution Preparation
2.2.2. Experiments with a Heat/PMS Degradation Manner for ATZ
2.3. Analysis Method
3. Results and Discussion
3.1. The Influence of Temperature upon ATZ Degradation via Heat/PMS
- : ATZ concentration at any given time, μmol/L;
- : The concentration of ATZ at start, μmol/L;
- : The pseudo first-order reaction rate constant, min−1.
3.2. The Influence of PMS Concentration upon ATZ Degradation via Heat/PMS
3.3. The Impact of pH Value upon ATZ Degradation via Heat/PMS
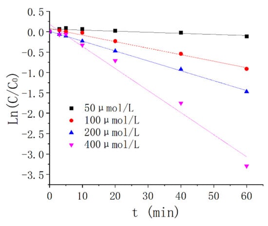
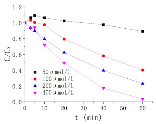
3.4. The Effect of ATZ Concentration upon the ATZ Degradation via Heat/PMS
3.5. Degradation Mechanism Study of ATZ via Heat/PMS
3.6. The Influence of Typical Anions Concentration in Solutions upon the ATZ Degradation via Heat/PMS
3.7. The AZT Degradation Products via Heat/PMS and Degradation Path Analysis
4. Conclusions
Author Contributions
Funding
Institutional Review Board Statement
Informed Consent Statement
Data Availability Statement
Conflicts of Interest
Appendix A. Single Factor Influence Diagram



References
- Saber, Z.; van Zelm, R.; Pirdashti, H.; Schipper, A.M.; Esmaeili, M.; Motevali, A.; Nabavi-Pelesaraei, A.; Huijbregts, M.A. Understanding farm-level differences in environmental impact and eco-efficiency: The case of rice production in Iran. J. Sustain. Prod. Consum. 2021, 27, 1021–1029. [Google Scholar] [CrossRef]
- Tang, L.; Hayashi, K.; Inao, K.; Birkved, M.; Bruun, S.; Kohyama, K.; Shimura, M. Developing a management-oriented simulation model of pesticide emissions for use in the life cycle assessment of paddy rice cultivation. Sci. Total Environ. 2020, 716, 137034. [Google Scholar] [CrossRef]
- Singh, B.; Singh, K. Microbial degradation of herbicides. Crit. Rev. Microbiol. 2016, 42, 245–261. [Google Scholar] [CrossRef]
- Esparza-Naranjo, S.B.; da Silva, G.F.; Duque-Castaño, D.C.; Araújo, W.L.; Peres, C.K.; Boroski, M.; Bonugli-Santos, R.C. Potential for the Biodegradation of Atrazine Using Leaf Litter Fungi from a Subtropical Protection Area. Curr. Microbiol. 2021, 78, 358–368. [Google Scholar] [CrossRef] [PubMed]
- Supraja, P.; Tripathy, S.; Krishna Vanjari, S.R.; Singh, V.; Singh, S.G. Label free, electrochemical detection of atrazine using electrospun Mn2O3 nanofibers: Towards ultrasensitive small molecule detection. Sens. Actuators B Chem. 2019, 285, 317–325. [Google Scholar] [CrossRef]
- Yan, P.; Jin, Y.; Xu, L.; Mo, Z.; Qian, J.; Chen, F.; Yuan, J.; Xu, H.; Li, H. Enhanced photoelectrochemical aptasensing triggered by nitrogen deficiency and cyano group simultaneously engineered 2D carbon nitride for sensitively monitoring atrazine. Biosens. Bioelectron. 2022, 206, 114144. [Google Scholar] [CrossRef] [PubMed]
- Huang, H.; Zhang, C.; Zhang, P.; Cao, M.; Xu, G.; Wu, H.; Zhang, J.; Li, C.; Rong, Q. Effects of biochar amendment on the sorption and degradation of atrazine in different soils. Soil Sediment Contam. Int. J. 2018, 27, 643–657. [Google Scholar] [CrossRef]
- Majewska, M.; Harshkova, D.; Pokora, W.; Bascik-Remisiewicz, A.; Tulodziecki, S.; Aksmann, A. Does diclofenac act like a photosynthetic herbicide on green algae? Chlamydomonas reinhardtii synchronous culture-based study with atrazine as reference. Ecotoxicol. Environ. Saf. 2021, 208, 111630. [Google Scholar] [CrossRef]
- Li, P.; Yao, L.Y.; Jiang, Y.J.; Wang, D.D.; Wang, T.; Wu, Y.P.; Li, B.X.; Li, X.T. Soybean isoflavones protect SH-SY5Y neurons from atrazine-induced toxicity by activating mitophagy through stimulation of the BEX2/BNIP3/NIX pathway. Ecotoxicol. Environ. Saf. 2021, 227, 112886. [Google Scholar] [CrossRef]
- Bui, H.; Pham, V.H.; Pham, V.D.; Pham, T.B.; Nguyen, T.V. Development of nano-porous silicon photonic sensors for pesticide monitoring. Dig. J. Nanomater. Biostruct. 2018, 13, 57–65. [Google Scholar]
- Zhang, C.-j.; Si, S.; Yang, Z. Design of molecularly imprinted TiO2/carbon aerogel electrode for the photoelectrochemical determination of atrazine. Sens. Actuators B Chem. 2015, 211, 206–212. [Google Scholar] [CrossRef]
- Beaulieu, M.; Cabana, H.; Taranu, Z.; Huot, Y. Predicting atrazine concentrations in waterbodies across the contiguous United States: The importance of land use, hydrology, and water physicochemistry. Limnol. Oceanogr. 2020, 65, 2966–2983. [Google Scholar] [CrossRef]
- Institute of Environmental and Health-Related Product Safety, Chinese Center for Disease Control and Prevention. Hygienic Standards for Drinking Water; Ministry of Health, Standardization Administration of China: Beijing, China, 2006; p. 16.
- Ouyang, W.; Zhang, Y.; Lin, C.; Wang, A.; Tysklind, M.; Wang, B. Metabolic process spatial partition dynamics of Atrazine in an estuary-to-bay system, Jiaozhou bay. J. Hazard Mater. 2021, 414, 125530. [Google Scholar] [CrossRef] [PubMed]
- Sun, X.; Liu, F.; Shan, R.; Fan, Y. Spatiotemporal distributions of Cu, Zn, metribuzin, atrazine, and their transformation products in the surface water of a small plain stream in eastern China. Environ. Monit. Assess. 2019, 191, 433. [Google Scholar] [CrossRef]
- Zhang, Y.; Zhang, H.; Yang, M. Profiles and risk assessment of legacy and current use pesticides in urban rivers in Beijing, China. Environ. Sci. Pollut. Res. Int. 2021, 28, 39423–39431. [Google Scholar] [CrossRef]
- Zheng, Q.; Wang, W.; Liu, S.; Zhang, Z.; Qu, S.; Li, F.; Wang, C.; Li, W. Modeling colloid-associated atrazine transport in sand column based on managed aquifer recharge. Environ. Earth Sci. 2018, 77, 667. [Google Scholar] [CrossRef]
- Sun, J.T.; Pan, L.L.; Zhan, Y.; Tsang, D.C.W.; Zhu, L.Z.; Li, X.D. Atrazine contamination in agricultural soils from the Yangtze River Delta of China and associated health risks. Environ. Geochem. Health 2017, 39, 369–378. [Google Scholar] [CrossRef]
- Fu, L.; Ni, J.; Ruan, Y.; Dong, R.; Shi, H. Effects of Atrazine on Embryonic Development and Histological Structure of Liver and Kidney in Red-eared Turtle(Trachemys scripta elegans). Fish. Sci. 2017, 36, 104–108. [Google Scholar]
- Walker, B.S.; Kramer, A.G.; Lassiter, C.S. Atrazine affects craniofacial chondrogenesis and axial skeleton mineralization in zebrafish (Danio rerio). Toxicol. Ind. Health 2018, 34, 329–338. [Google Scholar] [CrossRef]
- Hanson, M.L.; Solomon, K.R.; Van Der Kraak, G.J.; Brian, R.A. Effects of atrazine on fish, amphibians, and reptiles: Update of the analysis based on quantitative weight of evidence. Crit. Rev. Toxicol. 2019, 49, 670–709. [Google Scholar] [CrossRef]
- Huang, W.; Wu, T.; Au, W.W.; Wu, K. Impact of environmental chemicals on craniofacial skeletal development: Insights from investigations using zebrafish embryos. Environ. Pollut. 2021, 286, 117541. [Google Scholar] [CrossRef]
- Rimayi, C.; Odusanya, D.; Weiss, J.M.; de Boer, J.; Chimuka, L.; Mbajiorgu, F. Effects of environmentally relevant sub-chronic atrazine concentrations on African clawed frog (Xenopus laevis) survival, growth and male gonad development. Aquat. Toxicol. 2018, 199, 1–11. [Google Scholar] [CrossRef]
- Lin, J.; Li, H.-X.; Qin, L.; Du, Z.-H.; Xia, J.; Li, J.-L. A novel mechanism underlies atrazine toxicity in quails (Coturnix Coturnix coturnix): Triggering ionic disorder via disruption of ATPases. Oncotarget 2016, 7, 83880. [Google Scholar] [CrossRef] [PubMed] [Green Version]
- Caron-Beaudoin, E.; Denison, M.S.; Sanderson, J.T. Effects of Neonicotinoids on Promoter-Specific Expression and Activity of Aromatase (CYP19) in Human Adrenocortical Carcinoma (H295R) and Primary Umbilical Vein Endothelial (HUVEC) Cells. Toxicol. Sci. 2016, 149, 134–144. [Google Scholar] [CrossRef] [PubMed] [Green Version]
- Su, C.; Cui, Y.; Liu, D.; Zhang, H.; Baninla, Y. Endocrine disrupting compounds, pharmaceuticals and personal care products in the aquatic environment of China: Which chemicals are the prioritized ones? Sci. Total Environ. 2020, 720, 137652. [Google Scholar] [CrossRef]
- Wang, W.; Chen, M.; Wang, D.; Yan, M.; Liu, Z. Different activation methods in sulfate radical-based oxidation for organic pollutants degradation: Catalytic mechanism and toxicity assessment of degradation intermediates. Sci. Total Environ. 2021, 772, 145522. [Google Scholar] [CrossRef] [PubMed]
- Wang, W.; Chen, M.; Wang, D.; Yan, M.; Liu, Z. On peroxymonosulfate-based treatment of saline wastewatser: When phosphate and chloride co-exist. RSC Adv. 2018, 8, 13865–13870. [Google Scholar]
- Cui, J.Z.; Cai, S.K.; Zhang, S.R.; Wang, G.Q.; Gao, C.Z. Degradation of a non-oxidizing biocide in circulating cooling water using UV/persulfate: Kinetics, pathways, and cytotoxicity. Chemosphere 2022, 289, 133064. [Google Scholar] [CrossRef]
- Cui, J.Z.; Cai, S.K.; Zhang, S.R.; Wang, G.Q.; Gao, C.Z. Degradation of Atrazine by UV/PMS in Phosphate Buffer. Pol. J. Environ. Stud. 2019, 28, 2735–2744. [Google Scholar]
- Jiang, C.; Yang, Y.; Zhang, L.; Lu, D.; Lu, L.; Yang, X.; Cai, T. Degradation of Atrazine, Simazine and Ametryn in an arable soil using thermal-activated persulfate oxidation process: Optimization, kinetics, and degradation pathway. J. Hazard Mater. 2020, 400, 123201. [Google Scholar] [CrossRef]
- Wu, S.; Li, H.; Li, X.; He, H.; Yang, C. Performances and mechanisms of efficient degradation of atrazine using peroxymonosulfate and ferrate as oxidants. Chem. Eng. J. 2018, 353, 533–541. [Google Scholar] [CrossRef]
- Zhang, H.; Liu, X.; Lin, C.; Li, X.; Zhou, Z.; Fan, G.; Ma, J. Peroxymonosulfate activation by hydroxylamine-drinking water treatment residuals for the degradation of atrazine. Chemosphere 2019, 224, 689–697. [Google Scholar] [CrossRef] [PubMed]
- Lutze, H.V.; Stephanie, B.; Insa, R.; Nils, K.; Rani, B.; Melanie, G.; Clemens, V.S.; Schmidt, T.C. Degradation of chlorotriazine pesticides by sulfate radicals and the influence of organic matter. Environ. Sci. Technol. 2015, 49, 1673. [Google Scholar] [CrossRef] [PubMed]
- Khan, J.A.; He, X.; Shah, N.S.; Khan, H.M.; Hapeshi, E.; Fatta-Kassinos, D.; Dionysiou, D.D. Kinetic and mechanism investigation on the photochemical degradation of atrazine with activated H2O2, S2O82− and HSO5−. Chem. Eng. J. 2014, 252, 393–403. [Google Scholar] [CrossRef]
- Luo, C.; Ma, J.; Jiang, J.; Liu, Y.; Song, Y.; Yang, Y.; Guan, Y.; Wu, D. Simulation and comparative study on the oxidation kinetics of atrazine by UV/H2O2, UV/HSO5− and UV/S2O82−. Water Res. 2015, 80, 99–108. [Google Scholar] [CrossRef]
- Hayon, E.; Treinin, A.; Wilf, J. Electronic spectra, photochemistry, and autoxidation mechanism of the sulfite-bisulfite-pyrosulfite systems. The SO2−, SO3−, SO4−, and SO5− radicals. J. Am. Chem. Soc. 1972, 94, 47–57. [Google Scholar] [CrossRef]
- Anipsitakis, G.P.; Dionysiou, D.D. Radical generation by the interaction of transition metals with common oxidants. Environ. Sci. Technol. 2004, 38, 3705. [Google Scholar] [CrossRef]
- Buxton, G.V.; Greenstock, C.L.; Helman, W.P.; Ross, A.B. Critical review of rate constants for reactions of hydrated electrons, hydrogen atoms and hydroxyl radicals ( OH/ O− in aqueous solution. J. Phys. Chem. Ref. Data 1988, 17, 513–886. [Google Scholar] [CrossRef] [Green Version]
- Yang, S.; Wang, P.; Yang, X.; Shan, L.; Zhang, W.; Shao, X.; Niu, R. Degradation efficiencies of azo dye Acid Orange 7 by the interaction of heat, UV and anions with common oxidants: Persulfate, peroxymonosulfate and hydrogen peroxide. J. Hazard. Mater. 2010, 179, 552–558. [Google Scholar] [CrossRef]
- Ghauch, A.; Tuqan, A.M. Oxidation of bisoprolol in heated persulfate/H2O systems: Kinetics and products. Chem. Eng. J. 2012, 183, 162–171. [Google Scholar] [CrossRef]
- Buxton, G.V.; Salmon, G.A.; Wood, N.D. A Pulse Radiolysis Study of the Chemistry of Oxysulphur Radicals in Aqueous Solution. In Physico-Chemical Behaviour of Atmospheric Pollutants; Springer: New York, NY, USA, 1990; pp. 245–250. [Google Scholar]
- Huie, R.E.; Clifton, C.L. Temperature dependence of the rate constants for reactions of the sulfate radical, SO4−, with anions. J. Phys. Chem. 1990, 94, 8561–8567. [Google Scholar] [CrossRef]
- Huang, J.; Mabury, S.A. A new method for measuring carbonate radical reactivity toward pesticides. Environ. Toxicol. Chem. Int. J. 2000, 19, 1501–1507. [Google Scholar] [CrossRef]
- Jayson, G.G.; Parsons, B.J.; Swallow, A.J. Some simple, highly reactive, inorganic chlorine derivatives in aqueous solution. Their formation using pulses of radiation and their role in the mechanism of the Fricke dosimeter. J. Chem. Soc. Faraday Trans. 1 Phys. Chem. Condens. Phases 1973, 69, 1597–1607. [Google Scholar] [CrossRef]
- Grigor’ev, A.E.; Makarov, I.E.; Pikaev, A.K. Formation of Cl2−in the bulk of solution during radiolysis of concentrated aqueous solutions of chlorides. Khimiya Vysok. Ehnergij 1987, 21, 123–126. [Google Scholar]
- Das, T.N. Reactivity and role of SO5−•radical in aqueous medium chain oxidation of sulfite to sulfate and atmospheric sulfuric acid generation. J. Phys. Chem. A 2001, 105, 9142–9155. [Google Scholar] [CrossRef]
- Yu, X.-Y.; Barker, J.R. Hydrogen peroxide photolysis in acidic aqueous solutions containing chloride ions. II. Quantum yield of HO•(Aq) radicals. J. Phys. Chem. A 2003, 107, 1325–1332. [Google Scholar] [CrossRef]
- Gao, Y.Q.; Gao, N.Y.; Deng, Y.; Yin, D.Q.; Zhang, Y.S. Florfenicol Water by UV/Na2S2O8 process. Environ. Sci. Pollut. Res. Int. 2015, 22, 8693–8701. [Google Scholar] [CrossRef]
- Lu, Y.; Xu, W.; Nie, H.; Zhang, Y.; Deng, N.; Zhang, J. Mechanism and Kinetic Analysis of Degradation of Atrazine by US/PMS. Int. J. Environ. Res. Public Health 2019, 16, 1781. [Google Scholar] [CrossRef] [Green Version]
- Wang, G.; Cheng, C.; Zhu, J.; Wang, L.; Gao, S.; Xia, X. Enhanced degradation of atrazine by nanoscale LaFe1-xCuxO3-delta perovskite activated peroxymonosulfate: Performance and mechanism. Sci. Total Environ. 2019, 673, 565–575. [Google Scholar] [CrossRef]
- Ji, Y.; Dong, C.; Kong, D.; Lu, J.; Zhou, Q. Heat-activated persulfate oxidation of atrazine: Implications for remediation of groundwater contaminated by herbicides. Chem. Eng. J. 2015, 263, 45–54. [Google Scholar] [CrossRef]








| pH | 0.2 mol/L (mL) | (mL) |
|---|---|---|
| 6 | 250 | 28.50 |
| 7 | 250 | 148.15 |
| 8 | 250 | 244.00 |
| pH | Kinetic Equation | t1/2 (min) | Kobs (min−1) | R2 |
|---|---|---|---|---|
| 6 | Ln(C/C0) = −0.00816t − 0.01166 | 84.9 | 0.00185 | 0.99775 |
| 7 | Ln(C/C0) = −0.01600t − 0.07571 | 43.3 | 0.01600 | 0.98355 |
| 8 | Ln(C/C0) = −0.02362t − 0.01394 | 29.3 | 0.02362 | 0.98119 |
Publisher’s Note: MDPI stays neutral with regard to jurisdictional claims in published maps and institutional affiliations. |
© 2022 by the authors. Licensee MDPI, Basel, Switzerland. This article is an open access article distributed under the terms and conditions of the Creative Commons Attribution (CC BY) license (https://creativecommons.org/licenses/by/4.0/).
Share and Cite
Lu, Y.; Liu, Y.; Tang, C.; Chen, J.; Liu, G. Heat/PMS Degradation of Atrazine: Theory and Kinetic Studies. Processes 2022, 10, 941. https://doi.org/10.3390/pr10050941
Lu Y, Liu Y, Tang C, Chen J, Liu G. Heat/PMS Degradation of Atrazine: Theory and Kinetic Studies. Processes. 2022; 10(5):941. https://doi.org/10.3390/pr10050941
Chicago/Turabian StyleLu, Yixin, Yujie Liu, Chenghan Tang, Jiao Chen, and Guo Liu. 2022. "Heat/PMS Degradation of Atrazine: Theory and Kinetic Studies" Processes 10, no. 5: 941. https://doi.org/10.3390/pr10050941
APA StyleLu, Y., Liu, Y., Tang, C., Chen, J., & Liu, G. (2022). Heat/PMS Degradation of Atrazine: Theory and Kinetic Studies. Processes, 10(5), 941. https://doi.org/10.3390/pr10050941
