Next Article in Journal
Evaluation of Inhibitory Activities of Sophora flavescens and Angelica gigas Nakai Root Extracts against Monoamine Oxidases, Cholinesterases, and β-Secretase
Previous Article in Journal
Evolution Prediction of Hysteresis Behavior of Sand under Cyclic Loading
 
 
Font Type:
Arial Georgia Verdana
Font Size:
Aa Aa Aa
Line Spacing:
Column Width:
Background:
Review

Progress of Methylation of C6-8~Arene with Methanol: Mechanism, Catalysts, Kinetic/Thermodynamics and Perspectives

1
School of Petrochemical Engineering, Lanzhou University of Technology, Lanzhou 730050, China
2
Key Laboratory of Low Carbon Energy and Chemical Engineering of Gansu Province, Lanzhou 730050, China
*
Authors to whom correspondence should be addressed.
These authors contributed equally to this work.
Processes 2022, 10(5), 881; https://doi.org/10.3390/pr10050881
Submission received: 28 March 2022 / Revised: 25 April 2022 / Accepted: 27 April 2022 / Published: 29 April 2022

Abstract

High-efficiency production of xylene/trimethylbenzene from benzene/toluene with methanol is a potential way to promote the implementation on the coupled cycle development strategy of petrochemical and coal chemical industry and optimize the resource structure. At the same time, relying on the innovation of catalytic new materials, physical chemistry, intelligent capture technology, process engineering, and other principles and methods, p-xylene (PX) and trimethylbenzene (TMB) with higher added value were prepared by C6-8~arene methylation, which could elevate the level of methylation field and improve the competitiveness of the industry. This paper focuses on the one-step methylation reaction of benzene with methanol or toluene with methanol to obtain high-purity p-xylene (BM-PX/TM-PX), and the one-step methylation reaction of xylene with methanol to obtain mesitylene (XM-TMB). The methylation reaction mechanism and the preparation strategy of a high-performance catalyst were reviewed. The high selectivity of PX obtained by precisely controlling the pore size and acid site distribution of zeolites was emphasized. Meanwhile, the current research progress of TMB, the kinetic/thermodynamics of the BM-PX/TM-PX, and XM-TMB methylation reaction were described. Based on a literature research and the conclusion of our research group, the mechanism of methylation reaction process was expounded. Finally, the new research direction of catalysts used and reaction process in methylation reaction were prospected in order to guide the rapid development of this field.

1. Introduction

Aromatic hydrocarbons are the most basic raw materials in the organic chemical industry. Benzene (B), toluene (T), xylene (X) and trimethylbenzene (TMB) in aromatic hydrocarbons are important basic raw materials in the petrochemical industry, whose market size is second only to ethylene and propylene. Aromatic hydrocarbon products can be widely used in synthetic resins, synthetic fibers, synthetic rubbers, detergents, plasticizers, dyes, medicines, spices, pesticides and other industries. Meanwhile, they play an important role in developing the national economy and improving people’s lives [1,2,3,4,5]. Under the background of “carbon reduction”, the rational distribution of light hydrocarbon and aromatic hydrocarbon industries could improve the competitiveness of PX and TMB and actively promote the realization of green, low-carbon and high-quality development of the industry.
Traditionally, PX and TMB are mainly produced by catalytic reforming or naphtha pyrolysis [6], but these approaches are limited due to the crisis of petroleum resources. However, in the petrochemical industry chain, the production of benzene and toluene is excessive. Therefore, converting excess benzene and toluene into more valuable xylenes and trimethylbenzenes is a potential way to balance the demand for aromatic products. In view of the excessive production capacity of benzene in the petrochemical industry chain and the excessive production of methanol in the coal chemical industry, higher value-added products PX and TMB were prepared by B/T methylation with methanol. It was of profound significance to promote the coupling cycle development strategy of the petrochemical and coal chemical industry. Therefore, in order to promote the rapid development for the application technology of PX and TMB, it is necessary to carry out in-depth and systematic research on the technology of B/T methylation with methanol to produce aromatics.
The main objective of this article was to review the existing problems and development direction of methylation. Specifically, the reaction mechanisms, shape-selectivity control and precise control of catalysts, kinetics, thermodynamics and reaction pathways were also summarized to provide the basis and guidance of the selective catalysis for methylation.

2. Methylation Reaction Network

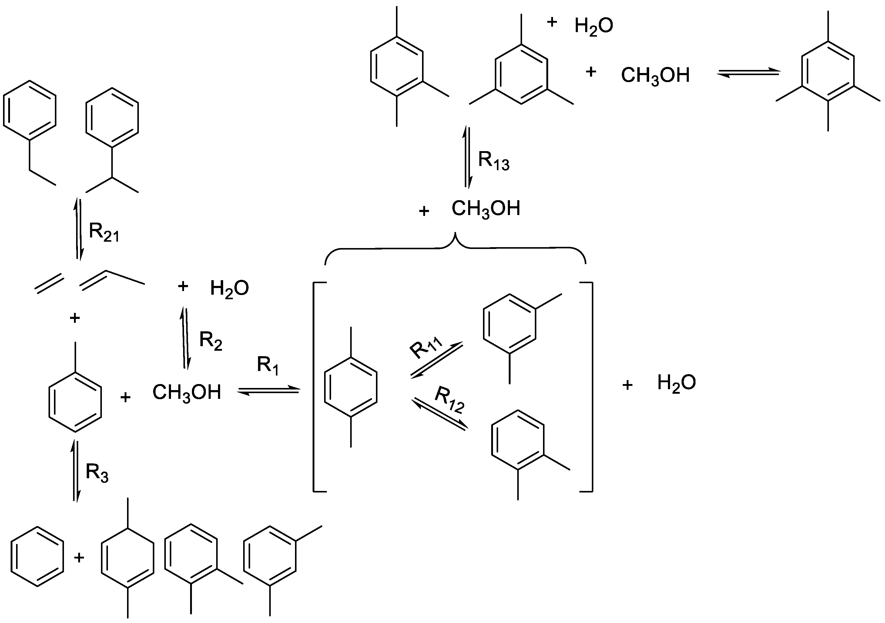
R1 represents major incremental methylation reactions, R2 represents Isomerization or disproportionation, R3 represents MTO/MTA reactions, R4 represents other alkylation reactions, R5 represents the reactions of carbon deposition by aromatics and R6 represents the reactions of carbon deposition by olefins.
Alkylation reaction refers to the reaction of groups introduced on C, N, O and other atoms in organic compound molecules, including alkyl, alkenyl, alkynyl and aryl groups. Chloroalkanes, alkenes and alkynes, alcohols, aldehydes and ketones, dienes, etc., as the alkylating agents were usually used in alkylation reactions [2]. In this paper, the most representative methylation reaction used methanol as methylation reagent and solid acid as catalyst to catalyze the methylation of B/T with methanol to form X, TMB and other major products was described. At the same time, methanol to olefin (MTO) reaction and methanol to aromatics (MTA) reaction were also carried out to generate gas-phase substances such as olefin, alkane, ethylbenzene, carbon deposition and other by-products. In addition, the disproportionation reaction of toluene, the isomerization reaction of xylene, the disproportionation and isomerization reaction of more methyl benzene, carbon deposition from polycyclic aromatic hydrocarbon, and so on were carried out. Many reactions would construct a reaction network with methylation as the main line, as shown in Figure 1.

3. Thermodynamic Analysis of Methylation Reaction

Thermodynamics is mainly used to study the energy changes accompanying the physical and chemical changes of substances under different conditions, so as to judge the degree and direction of the reaction. It also has certain guiding significance for the study of the operating conditions, reaction mechanism and the product distribution of a catalytic reaction. To date, there have been many studies on whether the reaction in each system is affected by thermodynamics, but the thermodynamic calculation of benzene with methanol alkylation reaction system is not common. Feng et al. [2] calculated the influence of pressure on the thermodynamic results of alkylation reaction for benzene with methanol through Aspen software. The results showed that the enthalpy change of the four main reactions was less than 0, all were exothermic reactions, and the Gibbs free energy was less than 0, indicating that the main reactions could be spontaneous within a certain temperature range. Xu [3] calculated and analyzed the thermodynamic data of benzene with methanol alkylation reactions at different temperatures and pressures by referring to manuals and obtained the results that benzene with methanol alkylation systems were affected by thermodynamics. These research results were basically consistent.
The practical estimation methods of thermodynamic properties were mainly the corresponding state method and group contribution method; in addition, the reference material method and mutual estimation method of physical properties were used. The group contribution method was commonly used for the methylation reaction system, and the Benson method in group contribution method reported in the literature could accurately reflect the thermodynamic properties of the methylation reaction system. Therefore, this paper only introduces Benson-based methods for the thermodynamic calculation of the methylation series reactions of benzene, and the reaction mechanism is analyzed. It is well-known that the reactions involved in the methylation reaction system of C6-8~arene are particularly complex. The thermodynamic variation of benzene methylation series reactions and the mutual transformation between the products were studied.

3.1. Thermodynamic Calculation Method for the Methylation Series Reactions of Benzene

The Benson group contribution method was used for the thermodynamic analysis of the methylation series reactions of benzene. The enthalpy changes (HT), entropy changes (ST), Gibbs free energy (GT) and chemical equilibrium constant (Kp) of methylation main reaction and side reactions of sixteen reaction were calculated. The formula used was as follows [3]:
C p θ = a + b T + c T 2 + d T 3
Δ C p = Δ a + Δ b T + Δ c T 2 + Δ d T 3
Δ H T = Δ H 298 θ + 298 T Δ C p d T
Δ S T = Δ S 298 θ + 298 T Δ C p T d T  
Δ G T = Δ H T T Δ S T
K p = e x p ( Δ G T R T )
R = 8.314 J / ( mol · K )
C p θ —isobaric heat capacity; a, b, c, d—constant; Δ H T —enthalpy change; Δ S T —entropy change, Δ G T —Gibbs free energy; K p —equilibrium constant.

3.2. Methylation Series Reaction System

The results of the benzene methylation series reactions showed that the reactions involved could be divided into the main reaction of methylation ((1)~(4), (5)~(8)), methanol self-reaction ((9)~(11)), other alkylation reactions ((12)~(15)), carbon deposition reaction (16) and so on. The methylation series reaction system is shown below (Figure 2).

3.3. Data Involved in Methylation Reaction System

The methylation reaction system was a mixed system, and the physicochemical properties of the mixture system were definite the most important, but the problems to be solved in the engineering treatment were very complicated, and the mixture system was basically impossible depending on the equipment instrument to measure. The current solution still relied on the physicochemical properties of pure substances and was calculated in combination with the “mixing rule”. The thermodynamic data of substances involved came from relevant books such as “The Physical Properties Data Manual of Organic Compounds Experimental” edited by Ma [7].

3.4. Enthalpy Change, Entropy Change, Gibbs Free Energy and Equilibrium Constant of Methylation Reaction System

According to the literature and experimental data, the optimal reaction temperature for methylation was 673 K, so the calculated temperatures in this paper were 623 K, 673 K and 723 K. Substituting the data involved in the methylation reaction system into the thermodynamic calculation method of the methylation reaction, and the results were seen in our article [8].

3.4.1. Analysis of Enthalpy Change and Entropy Change of Methylation Reaction System

The enthalpy changes of all methylation reactions were very small at 623 K, 673 K and 723 K, which could be considered constants. Except for the carbon deposition reaction, other reactions were exothermic reactions. The exothermic heat of reactions (1) to (4) was very close, but the reactions that generate propylene, trimethylbenzene, tetramethylbenzene and ethylbenzene were strongly exothermic reactions. The greater the carbon number of the olefin produced by the methanol itself reaction, the greater the heat released. Therefore, the temperature of methylation could not be too high, because the high temperature would not be conducive to the main reaction, and the carbon deposition reaction rate would be greatly accelerated.
At the same time, it could be explained that the four main reactions, the reaction to generate ethylbenzene and methanol itself to generate olefin reaction were entropy-increasing reactions, and the other reactions were entropy-decreasing reactions. It was pointed out that the spontaneous direction of chemical reaction was in the direction of entropy increase. On the contrary, the entropy reduction chemical reaction required external energy and was non-spontaneous. Therefore, the formation reaction of ethylbenzene and methanol self-reaction were the competition reaction of the main reaction under this condition.

3.4.2. Gibbs Free Energy Analysis of Methylation Reaction System

According to our article [8], the Gibbs free energy (ΔGT) of the four main methylation reactions was less than 0, indicating that the methylation reaction could proceed spontaneously in the range of 623 K to 723 K. Since the Gibbs energy ΔGT for the formation of olefins was smaller, it indicated that olefins, especially ethylene (10), were more likely to occur than the main reaction, and the reaction rate of ethylene formation was higher than the main reaction. Therefore, MTO was primarily a competitive reaction. The reaction degree of ethylbenzene, trimethylbenzene and tetramethylbenzene was lower than that of the main reaction. However, the formation reactions of propylbenzene, cumene and ethyl-4-methylbenzene could not occur spontaneously at this temperature because the Gibbs energy ΔGT > 0. All the conclusions were consistent with the experimental data of B/T methylation reaction catalyzed by HZSM-5 catalyst.

3.4.3. The Equilibrium Constant of Methylation Reaction System

According to the relationship between the Gibbs energy ΔGT and the equilibrium constant Kp, that is, Formula (6) in Section 3.1, the Kp values of Reactions (1)~(4) were very close, and the data showed that the main methylation reaction was irreversible. The equilibrium constant Kp of propylbenzene was less than 1.5, and the equilibrium constants Kp of cumene and ethyl-4-methylbenzene were negative, indicating that high temperature could inhibit the formation of these substances. The equilibrium constant Kp was greater than 10 for the ethylbenzene reaction. The equilibrium constant Kp was less than 10 for trimethylbenzene and tetramethylbenzene but relatively large compared with other reactions. The results showed that ethylbenzene was the main by-product of the benzene–methanol methylation reaction, which was consistent with the experimental results. The equilibrium constant of the ethylene constant Kp obtained by methanol self-reaction was much greater than 0, indicating that methanol could spontaneously generate olefins. Other researchers [8,9] had reported that ethylene was the initial reactant for the formation of ethylbenzene, and reducing its content was a possible way to solve the problem of ethylbenzene as a by-product.
The above conclusions were consistent with the research results in the literature [2,3].

4. Mechanism of Methylation Reaction

4.1. Aromatic Methylation Reaction

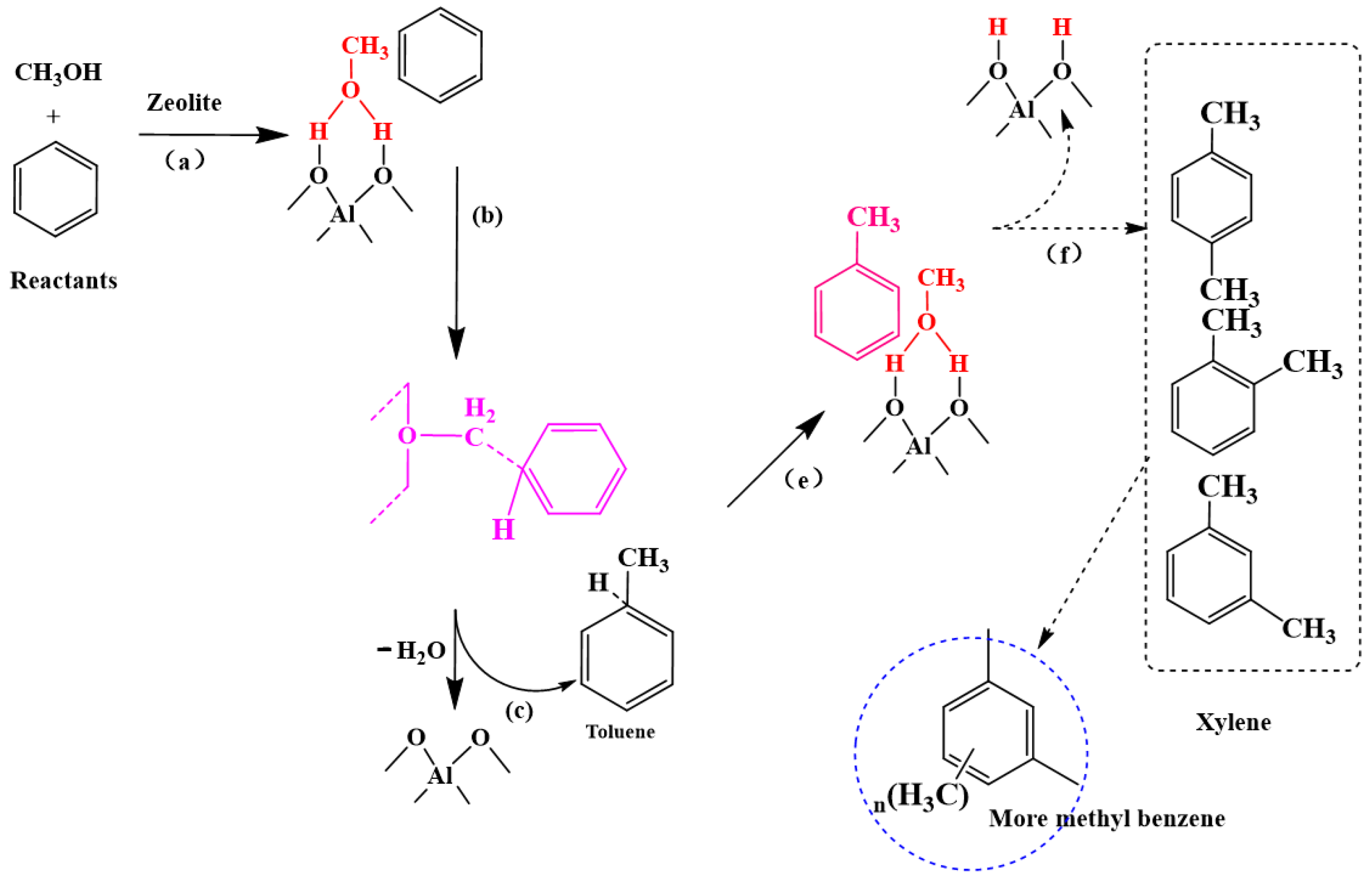
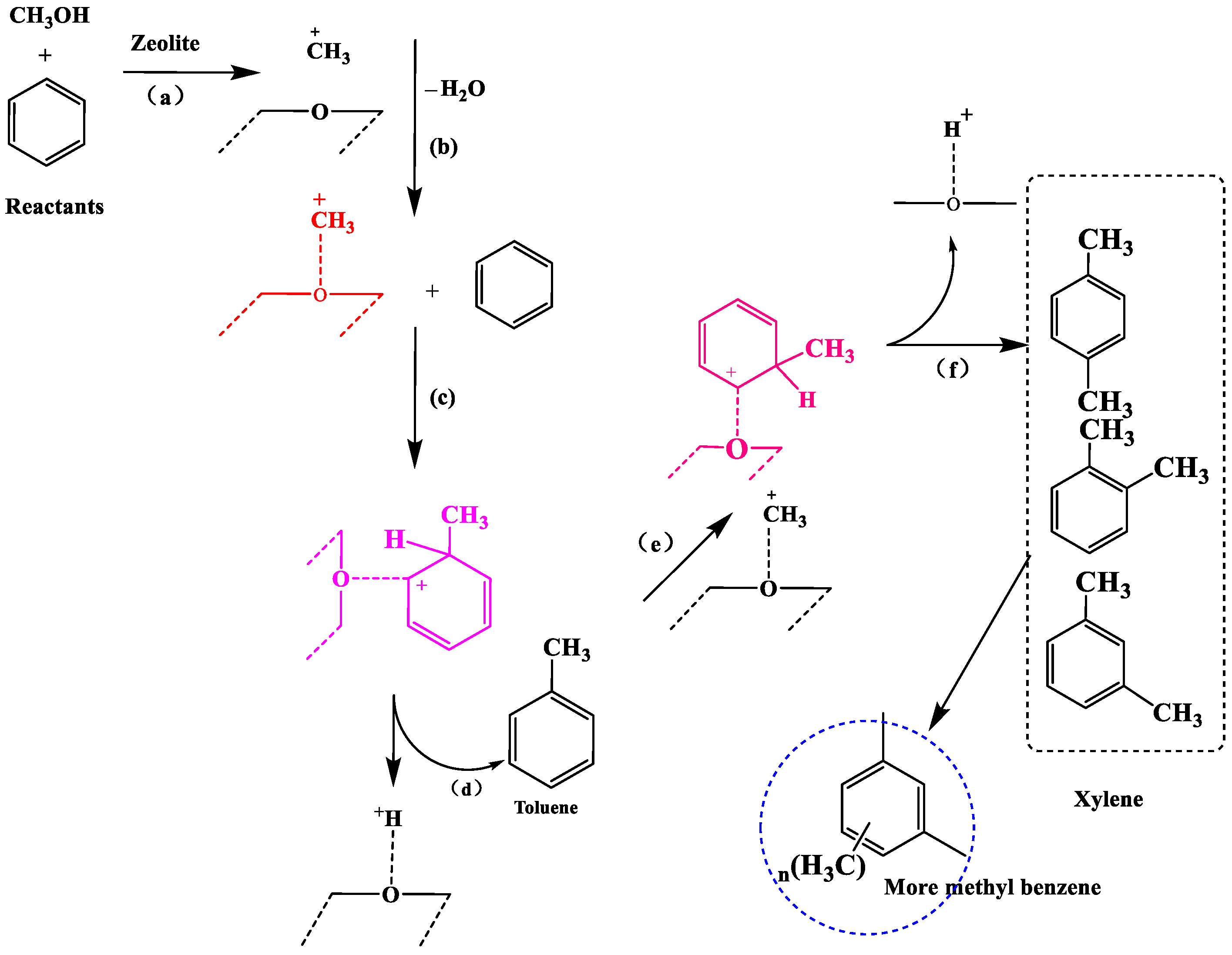
The methylation reaction of benzene/toluene (benzene and toluene as independent reactants, the same below) with methanol is a process of increasing methyl groups one by one activated by acid active centers. Venuto et al. [10] first reported the mechanism of aromatic ring methylation on zeolites catalysts for the methylation of benzene ring, while Kaeding et al. [11] proposed a similar mechanism, namely a step-by-step mechanism (Figure 3) and a synergistic mechanism (Figure 4). The step-by-step mechanism was considered to be that the reaction was activated when methanol was attacked by the acidic active site protons to form water and methoxy group. Then, the benzene molecule was attacked by the methoxy cation to form protonated toluene. In addition, evidence from FTIR spectroscopy and NMR also further verified the existence of carbocation intermediates. Thus, the catalytic cycle was completed. Xylene was formed in a similar way, with methoxy cations attacking toluene carbon atoms to form surface protonated xylene over ortho or para-position atoms. The formation process of TMB was the same.
Different from the step-by-step mechanism, the synergistic mechanism was that benzene and methanol were adsorbed together on the acid active site at first and would directly generate C7H9+ and water through the transition state [12], and then the proton of C7H9+ was snatched away by the catalysts to generate toluene. The synergistic mechanisms of xylene and trimethylbenzene were analogous. In situ experimental studies had shown that the adsorption of methanol at the acid active site of molecular sieve could indeed generate methoxyl intermediate species at an appropriate temperature [5], which could easily be methylated with aromatic hydrocarbon molecules, in line with the step-by-step mechanism. The formation of methoxy intermediates could be interpreted by quantum chemical calculations (density functional theory) or detection methods (in situ experiments). Under optimal conditions, methanol molecules are adsorbed and activated by the acid active center of the catalyst and dehydrated to generate methoxy groups [5]. It could be proved from the calculation and characterization capture that the methoxy group easily attacks benzene molecules to carry out the methylation reaction. The steps were consistent with the proposed step-by-step mechanism, but the step-by-step mechanism could not easily explain the kinetic characteristics. The synergistic mechanism could reasonably explain the fitting results and kinetic characteristics of methylation kinetics experimental data [5]. Both experimental verification and theoretical calculation had deemed that both kinds of calculation were possible, and so far, there is no conclusive evidence to prove which mechanism was the most reasonable.
Xylene, trimethylbenzene and so on were increased successively in the number of methyl groups by benzene/toluene methylation reaction. However, in addition to methylation, there were other reactions such as the disproportionation of toluene to benzene and xylene, the isomerization of xylene and the disproportionation of benzene and more methyl benzene to xylene, and so on. It had been proved by research that the controlled isomerization reaction of paraxylene is one of the most important reasons affecting the high selectivity of PX [13]. Meanwhile, more studies [12,14] have considered that ethylbenzene and propylbenzene are obtained by the alkylation reaction of benzene with ethylene and propylene. Van et al. [15] studied the methylation reaction of 12C-labeled benzene and 13C-labeled methanol: 95% of toluene in the product contained only one 13C, and 5% of toluene was generated by the indirect methylation of methanol through hydrocarbon pools. It indicated that there was an MTO reaction in the methylation reaction system of benzene with methanol; that is, C2~C5 olefins were obtained through the MTO reaction process (Figure 2 and Figure 5). At the same time, it was indicated that there is a “hydrocarbon pool” mechanism in the methylation reaction mechanism of benzene with methanol, and C2~C5 olefins were dealkylated from the alkylation intermediate species, and then form ethylbenzene, propylbenzene and so on. No matter what kind of catalysis was used, because the boiling points of ethylbenzene and xylene are almost the same, especially since the boiling points of PX and ethylbenzene are almost equal, high-purity PX is obtained, which would become a difficult point for subsequent technological breakthroughs.

4.2. Gas-Phase Products in the Methylation Reaction

The gas-phase products were the main reason for lowering the effective methylation utilization of methanol. The gas-phase mixture mainly included ethylene, propylene and other alkenes, as well as methane and other alkanes. Studies have shown that it is mainly derived from the MTO reaction, and its catalytic mechanism have three possibilities (Figure 5). One is that two molecules of methanol generate methyl carbocation and methylene radical, which are bonded and dehydrated to generate ethylene. The second is that methanol is activated to generate methyl carbocation, which is then combined with another methanol molecule to generate ethanol and, finally, dehydrated to generate ethylene. The formation of other low-carbon alkenes was similar. The MTO reaction is the most important kind of competitive reaction in methylation reaction in experiments and theoretical calculations [16], and it shows that the existence of the MTO reaction greatly reduces the effective utilization of methanol in the synthesis of PX from benzene with methanol. Third, gas-phase products could be interpreted by the mechanism of “hydrocarbon pool”. The olefin is produced by the mechanism of side-chain alkylation on the benzene ring or the paring-off mechanism of the benzene ring, which is considered to be mainly the side-chain methylation mechanism and paring-off mechanism.
Figure 5. Catalytic mechanism of self-methanol reaction. Reprinted with permission from ref. [17]. Copyright: Dalian University of Technology Press 2015.
Figure 5. Catalytic mechanism of self-methanol reaction. Reprinted with permission from ref. [17]. Copyright: Dalian University of Technology Press 2015.
Processes 10 00881 g005
(1)
Side chain methylation mechanism
The methylation reaction between methanol and the double bond outside the benzene ring generates a carbon-increasing alkyl group, which is then cracked to generate a low-carbon olefin, as shown in the right side of Figure 6.
(2)
Paring mechanism
It can be seen from the left side of Figure 6 that the paring mechanism mainly constitutes the process of cracking alkyl groups on hydrocarbon pool materials to generate low-carbon olefins through the exchange mode of benzene ring and other ring shrink–expansions.
The study indicated that methane and C6H5+ might appear in the product through DFT calculation [18]. At the same time, the main intermediate species of benzene methylation with methanol was C7H9+, which could only remove methane, but it was difficult to remove ethylene and propylene because the energy barrier was high [16]. In addition, C7H9+ could easily feedback protons to acid sites to generate toluene, so the gas-phase products were less in benzene methylation with methanol. It showed that the gas-phase products were mainly obtained by MTO reaction. Regarding the composition of gas-phase products, there were some alkanes besides C2~C5 alkenes, and researchers have shown that alkanes are generated by the hydrogenation of alkenes [19].
(3)
MTH/MTA reaction mechanism
The presence of methanol made it difficult to direct what kind of reaction process it would take. An MTA reaction was carried out, which included MTH reaction and methylation reaction at the same time.
Firstly, the MTH reaction process was described, which could be simplified into five stages [20] (Figure 7). In the first stage, dimethyl ether was generated by the dehydration of methanol intermolecular, forming a ternary dynamic equilibrium system in which methanol, water and dimethyl ether coexist. In the second stage, the initial stage of the reaction usually had a kinetic induction period in which a large number of active intermediates were generated, which was similar to the autocatalytic effect and further improved the activity of the reaction. The third stage, which was the core step, was the formation of the first C–C bond. In the fourth stage, the initial olefins would generate more other hydrocarbon mixtures through methanol or secondary reactions between itself. The fifth stage was the deactivation of the catalyst. Regarding the explanation of the MTO reaction mechanism, the long-standing question was the specific mechanism of the third stage: that is, how was the first C–C bond formed by methanol/dimethyl ether with only one carbon atom?
The consensus conclusion about the formation of the first C–C bond was that methanol molecules adsorbed in the zeolite pores could not be directly coupled on the catalyst in a stable state [22]. There were two theoretical bottlenecks in direct C–C bond coupling: one was the instability of the ylide intermediate, and the other was the high-energy activation energy barrier formed by a C–C bond in synergistic reaction (Figure 8) [23]. Lesthaeghe et al. [24,25] calculated the activation energy and rate constant of C–C bond formed by two methanol molecules from various ways using the ONIOM method and found that the activation energy barrier of C–C direct coupling was very high (about 200 kJ/mol). Song et al. [26] found that the catalytic induction period for MTH on H-ZSM-5 was so sensitive to the impurity concentration in the methanol feed that, if C1 direct coupling occurred, its operation rate was significantly slower than the rate at which traced impurities initiate the reaction, so it was unlikely that the C1 units would directly form C–C bonds during the catalytic induction period, and any such reaction might be masked by the co-reaction of methanol with various sources of hydrocarbon impurities. Liu et al. [27] performed liquid nitrogen quenching and solid nuclear magnetic characterization on the catalyst and found that the initial reaction stage on the catalyst had occurred on the surface C1 adsorbed species (methanol and dimethyl ether) and C1 active species (surface methoxy and trimethyloxonium ion). Additionally, the methoxy species was generated after the activation of the C–H bond of dimethyl ether, which were successfully captured, revealing the synergistic mechanism of C–H bond rupture and C–C bond coupling in the early stage of MTH reaction. However, from the perspective of industrial practice, it was of more important practical application value and research significance to study the formation of hydrocarbons during the catalytic stabilization stage; that is, how to form low-carbon olefins after the formation of the initial C–C bond [28].
The MTH reaction is a complex reaction system in which aromatics and olefins act as products and cocatalysts. Cyclization and aromatization reactions are generally considered to be related because cycloalkanes and cycloalkenes are not stable products of MTH and dehydrogenate quickly to form aromatics. There are two possible routes for cyclization and aromatization of olefins: one is the dehydrogenation of olefins to dienes and trienes, and then they turn into aromatics. In the other, the olefin forms naphthenes and then dehydrogenates to aromatics. In both pathways, alkenes or cycloalkanes act as hydrogen acceptors to supply hydrogen atoms to other hydrocarbons through hydrogen transfer reactions. The product distribution of n-hexane and n-heptane after conversion on H-ZSM-5 zeolites was studied at 683 K, and it was found that C1~C5 alkanes and C6~C8 aromatic compounds had significant yield distributions (both products exceeded 25 wt.%). The presence of light alkanes indicated that the cracking of alkanes occurred simultaneously with the cyclization reaction, and the mass generation of aromatics formation also indicated that cyclization side reactions such as olefin oligomerization and aromatic alkylation also occurred [30]. The prevalence of these complex secondary reactions made it impossible for experiments to truly reveal whether olefin dehydrogenation occurred before or immediately after cyclization.

4.3. Deactivation Mechanism of Carbon Deposition

In the methylation reaction system of benzene/toluene with methanol, carbon deposition was the main cause of catalyst deactivation. The carbon deposition mechanism of the catalyst was shown in Figure 9. Studies have shown that the main reason for carbon deposition is the large amount of olefin in the reaction system [31]. The basic process of carbon deposition is that olefins generate naphthenic hydrocarbons, aromatic hydrocarbons and polycyclic aromatic hydrocarbons, which finally condense to form carbon deposition. That is, organic compounds are adsorbed on the surface of the catalyst to carry out a condensation reaction. This generates polycarbon hydrocarbons (such as its mainly aromatic ring compounds), which is usually seen as filamentous carbon deposition, also known as soft carbon deposition. Secondly, benzene, toluene, xylene and more-methyl-benzene (MMB) are also condensed to generate carbon deposits under certain conditions. Furthermore, methane and C6H5+ might appear in the methylation reaction, and C6H5+ cannot provide protons for the bridge oxygen of the acidic catalyst again, so C6H5+ is connected to the bridge oxygen to offset the negative charge in the acid site and is recorded as C6H5-Z. Therefore, it accumulates on the catalyst surface, which might be one of the reasons for the reduction in catalyst activity. The other is cracking carbon deposition, which is the formation of inorganic carbon by C–H cracking reaction of organic compounds under high temperature conditions, known as graphite type.
In general, the conditions affecting the formation of carbon deposition include dehydrogenation and cyclization rates in the reaction system, physical retention behavior, catalyst microstructure, reaction conditions and reaction systems. For the determination of carbon deposition, thermogravimetry is usually used to preliminarily estimate the amount of carbon deposition, but this method generally has a relatively large error. Because the components in the sample tested are particularly important, other components except for carbon deposition are guaranteed not to be oxidized in air or oxygen atmosphere in this temperature range; otherwise, the measured value is inaccurate absolutely. O2-TPO is often used to determine the amount of carbon deposited in the sample for accurate measurement, which is more accurate by specific gravity method. However, different carbon deposits have a great relationship with the formation environment, as shown in Figure 9.

5. Research Progress in the Methylation of Benzene with Methanol

It is well-known that if the hydrogen atom in the benzene molecule is replaced, which is called electrophilic substitution reaction, an acid catalyst is used. If the hydrogen atom replaced is on the branch chain of the aromatic ring, a base catalyst is used. Therefore, the catalyst used in the methylation of benzene with methanol is an acidic catalyst. Moreover, catalysts can be divided into homogeneous catalysts and heterogeneous catalysts. However, homogeneous catalysts have some technical defects, such as the acid corrosion of equipment and the difficult recovery and separation of the catalysts. Therefore, heterogeneous solid catalysts have greater industrial application value than homogeneous catalysts. Literature reports show that a common precursor of methylation catalyst is zeolites, such as ZSM-5.

5.1. Benzene Methylation Catalyst

5.1.1. Zeolites

Zeolites have the advantages of high thermal stability, shape-selectivity and high diffusivity, so they are the best choice for the methylation of benzene with methanol. These zeolites include Mordenite(MOR) [33], Beta-(BEA) [34], ZSM-5(MFI) [35,36], ZSM-11(MEL) [37], X-zeolite [38], Y-zeolite(FAU) [39], MCM-22(MWW) [40], MCM-49(MWW) [41], SAPO-34 (CHA) and SAPO-11/SAPO-5 (AFI) [42]. The above research results show that zeolites with 12 rings are likely to cause further methylation and rapid carbon deposition of arene in the methylation reaction of benzene with methanol, while 8-ring zeolites are not conducive to the methylation reaction, so 10-ring zeolites are the best choice. Secondly, the main reactions in the methylation reaction system of benzene and methanol are: methylation reaction, MTO reaction and disproportionation reaction. The disproportionation of toluene requires the strongest acidity of catalysts, and the acidity of the catalysts is the weakest for the MTO reaction. Zeolites such as MOR are not suitable for the methylation reaction because the acidity is too strong, so the most suitable one for the methylation reaction is a medium strong acid. Through comparative research, the primary and secondary order of factors affecting the methylation reaction for the same zeolites was pore size > acidity [43]. In summary, ZSM-5 was the most competitive catalyst precursor. It was mainly attributed to the unique structure of ZSM-5, such as shape selectivity, high porosity, the accurate control of the acid content, high surface area, chemical stability, mechanical stability, hydrothermal stability and so on (Table 1).

5.1.2. Shape-Selectivity of Catalyst

BM-PX is a typical product shape-selective reaction, which is achieved by the sieving effect of HZSM-5 pores at the molecular level; that is, only products with molecular sizes smaller than HZSM-5 pores can escape from the pores as final products. For a reaction system with a wide variety of products and similar molecular dynamics diameters, the shape-selectivity function of the catalyst is a prerequisite to obtain high-selectivity target products. Therefore, the size of the target products of methylation reaction, such as toluene, xylene and trimethylbenzene, is dynamically matched with the structure of the catalyst to improve the selectivity of target products by designing or fine-tuning the structure of the catalyst. Therefore, the diffusion rate of xylene in zeolites is PX ≈ 100 MX ≈ 1000 OX [19], and its essence is shape-selectivity. There are two kinds of pores in a ZSM-5 crystal: straight pore and zigzag pore. The size of the zigzag section is relatively small (elliptical section 0.51 × 0.55 nm), and it has a more tortuous shape, which allows it better shape-selectivity than straight pores (0.53 × 0.56 nm). The dynamic simulation results showed that the diffusion activation energies of monocyclic aromatic hydrocarbons (B, OX and MX) in tortuous channels were significantly higher than those in straight channels. Therefore, Wang et al. [44] proposed a method of plugging straight pores with only zigzag pores, which could improve the shape selectivity of the catalyst without any modification. However, most commonly, the tiny size difference between zigzag and straight pores can be fine-tuned by loading modifiers to provide diffusive pores for PX. It has been reported [16] that the PX selectivity can be improved by reducing the effective pore size of ZSM-5, because it could suppress the disproportionation reaction and change the product diffusion rate [49]. Tan et al. [1] also considered the effects of SiO2, P2O5 and MgO on the catalyst activity, and the results showed that the optimal pore structure was the main reason for the high selectivity of PX (Figure 10). Zheng [45] et al. found that increasing the content of Pt and Pd could improve the selectivity of PX due to the reduction in pore size. Ji et al. [55] reported that the roughness of the catalyst surface had a great influence on the disproportionation reaction of PX. Bjørgen [47] found that zeolites treated with NaOH could adjust Si/Al, increase the external surface area and generate mesopores, which could improve the diffusion properties of ZSM-5. However, these modifiers were first deposited on the outer surface of HZSM-5 as a gaseous or aqueous solution and further deposited on the orifice and inner region of HZSM-5 with the increase in precursor loaded. The type and content of the modifier must be appropriate in order to produce proper diffusion resistance. At the same time, it should be noted that the deposition position and dispersion of modifiers are more difficult to operate, and modifiers could also partially passivate the acid sites on the zeolite surface. Through experiments and theoretical analysis, it can be shown that the microstructure of the catalyst for different methylation reaction products requires different methods and modifiers. Specifically, obtaining PX by the methylation of benzene with methanol requires the precise size control of the product diffusion channels.

5.1.3. Catalyst Acidity

According to the reaction mechanism of benzene with methanol, the acidity of zeolites is a necessary condition for the methylation reaction. At the same time, the reaction process is very complex, including methylation, disproportionation, isomerization, MTO, MTA and carbon deposition. The strength and type of acid required for different reactions is key. The acidity of zeolites can be divided into strong acid and weak acid, as well as L acid and B acid. Meanwhile, the inner and outer surface acidities of the catalyst have a very important influence on the selectivity and activity of the catalyst. In situ experimental studies have shown [1,57] that the adsorption of methanol on the acid active site of zeolite can indeed generate methoxy intermediate species, which could easily be methylated with aromatic molecules. The methylation reaction is first activated by acid active sites, which show that the mesoscopic microstate of the catalyst surface is the key point for benzene activation.
As the source of strong acid sites on the zeolites, bridging hydroxyl groups are formed on the zeolites and can provide reaction sites for methylation and isomerization. To eliminate the external acid sites, the external frame Al needs to be passivated by coating or weakening with modifiers. In general, the regulation of the inner and outer surface acidities of the catalyst mainly refers to the passivation of the outer surface acidity and the regulation of the inner surface acidity. Because of the pore limit, MMB products undergo a thickening cyclization reaction on the surface of the catalyst, and even generate carbon deposition. However, from the view of strong and weak acids, a medium-strong acid is the most suitable acid environment for the methylation of benzene with methanol. For the precise adjustment of catalyst acidity, the most commonly used method is to deposit metal or metal oxide on the catalyst surface. For example, Zn modifier can neutralize the acid sites on the zeolites and narrow the pores at the same time. MgO and ZnO can be used to adjust the internal acidity of the catalyst, which could also cover the outer surface acidity of the catalyst. The SiO2 layer covered on the zeolites by silicon deposition or secondary crystallization is the most effective method to passivate the outer surface acidity of the catalysts. Acid-free silica particles and layers are formed on the outer surface of the zeolites; thereby, the acid active center is effectively covered, and the isomerization of PX is avoided. For the silica dioxide deposition of organic silicon, the general kinetic diameter is certainly greater than the pore size of ZSM-5 and can only be deposited and grown on the outer surface of the zeolites. For example, tetraethyl orthosilicate has a larger kinetic diameter (0.96 nm) than HZSM-5, so only the acid silicon of the outer surface and orifices is affected by the deposition of silicon dioxide. Siliceous-modified zeolites can significantly passivate the acid sites on the outer surface to form a thin and uniform siliceous layer, completely shielding the framework Al on the outer surface, thereby effectively avoiding the occurrence of PX isomerization. In general, the first and second main group elements are used to adjust the acidity of the catalyst, mainly covering the outer surface of the catalyst and some acid active sites in the pores. It has also been reported that cations have a significant effect on the diffusion coefficients of various gases on zeolites [58]. At the same time, the electrostatic field generated by the cation has a certain influence on the product selectivity. Zhang [1] et al. modified ZSM-5 with MgO and applied it in the methylation reaction, and the selectivity of xylene increased from 27% to 67%. It has also been reported that the modification of Mg and Ca [49] can improve the selectivity of PX due to the basicity and size of basic cations that determine its catalytic performance.
In addition to the basic elements, other elements are also frequently used (Zn, P, B, Mo, Pt, Ni, Sb, La, Co, etc.). Liu [53] et al. modified ZSM-11 and ZSM-5 by Zn and investigated the effect of different Zn contents. The activity of 6Zn/HZSM-11 catalyst was more efficient than that of 6Zn/HZSM-5. The main reason is that the diffusion rate of the product was different due to the different pore channels of the zeolites itself. Zhang [1] modified HZSM-5 with P2O5, Fe2O3 and B2O3 in addition to MgO, which was used in the methylation reaction. The results showed that the selectivity sequence of product PX was P2O5 (94.3%) > B2O3 (82.5%) > MgO (67.1%) > Fe2O3 (57.0%). It can be seen that the PX selectivity with P2O5 modified catalyst was the highest. In addition, the catalyst modified by ZnO had the highest activity, and the conversion rate of benzene reached 75.9%. At the same time, it was found that strong acids could cause the disproportionation reaction of BTX, so strong acids had a great influence on the conversion rate of the catalyst. Li et al. [51] prepared a Mo/ZSM-5 catalyst by impregnation method. The study showed that [Mo5O12]6+ could cover a part of acid sites, which was beneficial to the selectivity of methylation. Tan et al. [20] also considered the effects of SiO2, P2O5 and MgO on the catalyst activity and investigated different modification sequences. The experimental results showed that the selectivity of PX reached 98% when 6Si-5P-3Mg/ZSM-5 and 5P-6Si-3Mg/ZSM-5 were used as catalysts, which was mainly because the acidity outside the catalyst could be adjusted reasonably. B, Sb and La were also used to modify the acidity of ZSM-5 zeolite to improve the product selectivity. The results of our research group showed that the electrophobicity of catalyst surface could be changed by silanization to change hydrophobicity, and the surface acidity of the catalyst could be reduced by pre-coking, which is helpful for the generation of toluene and xylene. To sum up, the key point of modifying different zeolites by different methods and different elements is to adjust the reasonable L/B acid, acid strength and internal and external surface acidity.
According to many literature reports [16,59], the methylation of benzene with methanol was activated by the activation of the B acid active center. It has also been reported that the methylation depends on the combination of B acid site and L acid active site. In contrast, from the point of view of argumentation, most researchers have indicated that B acids are the initiator of methylation. At the same time, researchers all recognize that the active centers of L acid and B acid in the acidic active site could be converted, so the highly active methylation catalyst could be constructed by the precise regulation of acidity. It was found that the passivation of L acid is initiated by SiO2 coating, and P2O5 and MgO tend to be passivated more preferentially by B acid. Zn(OH)+ can increase L acid active sites at the expense of B acid. Li et al. [51] prepared Mo/ZSM-5 catalyst by impregnation method. The study showed that [Mo5O12]6+ would cover a part of B acid sites, reducing B acid and increasing L acid, which was conducive to the selectivity of methylation. Most studies report that the low B acid of the catalyst is beneficial to inhibit the formation of methylation by-products, and adjusting B acids could effectively inhibit carbon deposition, while low L acid zeolites could help reduce the side reaction of methanol. At the same time, some researchers have indicated that both B acid and L acid are methylation centers, and dimethyl ether is generated by dehydration at the active site of L acid, while the acid site of B provides protons for protonate to generate C+. Furthermore, weak L acid could contribute to cracking, and strong L acid could contribute to coking. Therefore, we indicate that regardless of the regulation of L/B, acid strength, or the acidity of the inner and outer surfaces, the methylation reaction mainly obtains the best acid microenvironment, inhibits the disproportionation reaction of xylene and carbon deposition and improves the methylation utilization rate of methanol.

5.2. Effects of Different Reaction Environments on the Methylation of Benzene with Methanol

Target products such as xylene and trimethylbenzene are prepared by the methylation reaction of benzene. Research results vary greatly with different methylation reagents. Zhang et al. [1] efficiently synthesized p-xylene (91.2%) using CH3Br as methylation reagent. The research group also used methyl ether as a reagent and obtained good data results. In addition to the environment between the reactants, the surrounding environment also greatly affected this methylation reaction. If water [60] or a carrier gas such as H2 and N2 are introduced in the reaction process, the generation of gas-phase products can be significantly reduced, and the stability of the catalyst can be improved. The addition of water not only changes the reaction balance of the methanol dehydration reaction to generate hydrocarbons and improve the utilization efficiency of methanol in BM-PX, but also increases the reaction space velocity and quickly blows PX out of the catalyst bed to prevent PX isomerization. At the same time, the presence of water vapor provides a favorable environment for inhibiting the coking of the catalyst. However, the existence and generation of water can inhibit the progress of the reaction, causing the dealumination and collapse of the zeolites and other adverse consequences at higher temperatures. Under a hydrogen atmosphere, the hydrogenation of ethylene to ethane based on a Pt-modified catalyst could inhibit the alkylation of benzene and ethylene to produce ethylbenzene [46].

5.3. Inhibition of By-Products in the Methylation of Benzene with Methanol

The main by-products of the methylation of benzene with methanol were ethylbenzene, olefins, and carbon deposits. Among them, the boiling points of ethylbenzene and xylene were almost equal, which would make the purification of PX very difficult. Since the methylation reaction energy barrier between benzene and methanol is the highest in the methylation reaction of benzene with methanol, it is relatively easy for toluene to generate xylene and for xylene to generate trimethylbenzene and tetramethylbenzene. However, the inhibition of trimethylbenzene and tetramethylbenzene is mainly handled by the pore-size limitation the catalyst and passivating the surface acidity of the catalyst. In the methylation system of benzene with methanol, the main competitive reaction is the MTO reaction, which not only reduces the utilization rate of methanol but also causes the deactivation of the catalyst from carbon deposition. Hu et al. [14] prepared hierarchical ZSM-5 with Si/Al ratio (1800) for the methylation of benzene with methanol. The experimental results showed that the conversion of benzene was 59.5%, and the PX selectivity was high (39%). However, the formation of by-product ethylbenzene was effectively inhibited (<0.1%). Tan et al. [19] also considered the effects of SiO2, P2O5 and MgO on the catalyst activity and investigated different modification sequences. The experimental results showed that, when 6Si-5P-3Mg/ZSM-5 and 5P-6Si-3Mg/ZSM-5 were used as catalysts, the selectivity of PX reached 98%, which inhibited the production of ethylene and improved the activity of the catalyst. The pore size was changed to reduce the amount of trimethylbenzene and tetramethylbenzene. Briefly, the most difficult point of the benzene–methanol methylation reaction system lies in the inhibition of carbon deposition, because the MTO reaction is easier to carry out than the methylation reaction of benzene with methanol, and the activation of methanol is the starting point of the methylation reaction.

5.4. Process Conditions for the Methylation Reaction of Benzene with Methanol

The process conditions of benzene methylation with methanol mainly include reaction temperature, space velocity, reaction pressure and the molar ratio of raw materials. These factors have certain influence on the methylation of benzene with methanol. The methylation reaction system of benzene with methanol is exothermic, except for the carbon accumulation reaction, so the temperature should not be too high, which is not conducive to the selectivity of toluene, xylene and trimethylbenzene. The general reaction temperature is 380~450 °C. Increased pressure is good for conversion but not good for selectivity, and the cost is increased, so normal pressure is generally selected. If the space velocity is too small, the retention time of the reactants is too long, the by-products increase and the production efficiency is too low; if the space velocity is too high, the conversion rate is too low. According to the literature and the experiments of our research group, the optimal airspeed is 2~10 h−1. The molar ratio of benzene and methanol in the raw material has a great influence on the reaction. With the increase in the molar ratio, the conversion rate of benzene decreases, partly because the utilization rate of methanol increases, and it has also been reported that excessive aromatic hydrocarbons could catalyze the reaction [60]. According to the literature and this study, it was concluded that the suitable molar ratio of benzene and methanol is about 1.

5.5. Process Comparison for the Methylation Reaction of Benzene with Methanol

The concept of “shape-selective” catalysis about methylation has been around for decades. However, few successful alkylation processes of benzene with methanol have been reported so far. The selectivity of toluene or p-xylene, product composition and catalyst stability are the main factors restricting the technical economy of benzene with the methanol alkylation process. Zhou [61] and Feng [62] reviewed several advances in the production of paraxylene through alkylation of benzene with methanol, including China Petrochemical Corporation (Sinopec), Dalian Institute of Chemical Physics and Shanxi Coal Chemical Technology Engineering Center Co., Ltd., GTC Technology Company and ExxonMobil Company. However, methanol separation and xylene separation were included, which increased the investment cost and energy consumption of product separation.
Therefore, in order to overcome the above problems, the study on the alkylation process of benzene with methanol was optimized. Referring to the existing toluene–methanol alkylation process, the team designed the process flow of methanol feeding in four stages and optimized the operating conditions of each process according to the single-factor rule. When the total feed of benzene and methanol was 160 kmol/h, the methanol conversion was 100%, and the PX selectivity reached 99.6% (Figure 11).

6. Research Progress of Toluene–Methanol Methylation Reaction

6.1. The Methylation Reaction System of Toluene with Methanol

The methylation reaction system of toluene with methanol mainly included methylation reaction, xylene isomerization reaction, methanol self-reaction and toluene disproportionation reaction.
The main products of the reaction between toluene and methanol are p-xylene, m-xylene, o-xylene, MMB and olefin (Figure 12). Para-xylene isgenerated by toluene with methanol, which can be isomerized to generate m-xylene and o-xylene, and xylene can be deeply methylated with methanol to generate trimethylbenzene and tetramethylbenzene. It can be seen that the methylation reaction of toluene is a sequential reaction system. In addition, the dehydration reaction methanol can generate olefin. Toluene and olefins are alkylated to generate by-products such as ethylbenzene. Additionally, toluene could also undergo a disproportionation reaction itself to generate benzene and xylene [61,63]. It can be seen that the methylation reaction of toluidine with methanol is complicated. To obtain a high concentration of p-xylene, the depth of the reaction must be controlled. Therefore, the method of selectively generating p-xylene and inhibiting the formation of o-xylene, m-xylene and MMB is key to the reaction of methylation of toluene with methanol to produce p-xylene.

6.2. Toluene–Methanol Methylation Catalyst

6.2.1. Shape Selectivity of Catalyst

TM-PX reaction is a typical shape-selective reaction of a product realized by the sieving effect of HZSM-5 pores at the molecular level (Table 2). Kaeding et al. [64] indicated that the p-xylene selectivity was jointly determined by the diffusion rate and isomerization rate of xylene isomers in the zeolites channels. The selectivity of p-xylene was only related to the pore size of the zeolites and had nothing to do with the acid on the outer surface of the zeolites. Among the three xylene isomers, the kinetic diameter of p-xylene (d = 0.58 nm) was smaller than that of m-xylene (d = 0.70 nm) and o-xylene (d = 0.74 nm). The diffusion rates of p-xylene in the ZSM-5 zeolites channel were about 1000 and 100 times that of m-xylene and o-xylene. Therefore, the main product of the toluene methylation reaction was p-xylene [65,66].

6.2.2. Catalyst Acidity

However, some studies have also shown that the selectivity of p-xylene is also related to the acid strength, acid content and acid distribution of the catalyst. Kim et al. pointed out that TM-PX was affected by the acid strength of the zeolites, and the outer surface acidity of the zeolites was not diffusion-limited without shape selectivity, where the p-xylene diffused from the pores would undergo an isomerization reaction at the acid site on the outer surface of the zeolites (Table 2). A thermodynamically balanced xylene mixture was generated, but there is no literature to clarify the quantitative relationship between the external surface acid of the zeolites and the selectivity of p-xylene [77,78].

6.2.3. Other Aspects

More studies have shown that the methylation of toluene with methanol to p-xylene was controlled by diffusion and acidity, but there is no consensus on which factors are more influential. The selectivity of p-xylene is usually improved by passivating the acid sites on the outer surface of the zeolites, reducing the pore size of the zeolites and optimizing the reaction conditions. From the overall point of view, the catalyst types, modification methods, and catalyst performances used in the methylation of toluene with methanol to prepare p-xylene are basically similar to that of the methylation of benzene with methanol to p-xylene.

6.3. Effects of Different Reaction Environments on the Methylation of Toluene with Methanol

The composition of raw materials, reaction temperature, space velocity and reaction time have a great influence on the catalytic results. Increasing the molar ratio of toluene and methanol could promote more methanol to participate in the toluene methylation reaction, but this would reduce the toluene conversion and p-xylene yield. In addition, the high concentration of toluene in the raw material could promote the toluene disproportionation reaction. In terms of kinetics, temperature increases are conducive to the shape-selective methylation of toluene, resulting in higher toluene conversion and p-xylene yield. However, temperature increases also promote the toluene cracking reaction, which increases the concentration of non-aromatic components and benzene in the products. With the increase in reaction time, coke is generated on the catalyst, which leads to the gradual deactivation of the catalyst. However, the formed carbon narrows the pores of the zeolites and covers the acid sites on the outer surface of the catalyst, which is beneficial for the inhibition of the isomerization of p-xylene on the outer surface of the zeolites, increases the relative diffusion rate of p-xylene and improves the selectivity of p-xylene. Usually at a high space velocity, the contact time between the gas phase and the catalyst is short, avoiding the secondary isomerization of the p-xylene formed in the zeolites channels on the outer surface of the zeolites, thus obtaining high paraxylene selectivity, but the toluene conversion rate decreases [62]. Liu et al. simulated the methylation of toluene methanol to p-xylene using Aspen Plus V8.4. Sensitivity analysis tools and sequence quadratic programming (SQP) were used to optimize the solution, and the optimal operating conditions of the methylation reactor were obtained in Aspen Plus V8.4. Under the conditions of a reaction temperature of 442.5 °C, a reaction pressure of 0.4 MPa and a toluene/methanol molar ratio of 1/8, the conversion rate of methanol was 98%, and p-xylene selection was 92% [79].

6.4. Process Comparison for the Methylation Reaction of Toluene with Methanol

The design process for toluene methylation, PX selectivity, product composition, and catalyst stability are the main factors that restrict the economics of this technical process. To reduce the separation cost and create a competitive toluene methylation approach for PX production, Ashraf et al. [80] developed a catalytic methylation process using a Mg-ZSM-5 catalyst, followed by reactive distillation to separate the xylene isomers. Using the built-in optimization tool in Aspen Plus, the optimized reactor parameters were set to a maximum PX selectivity of 97.7%, with an objective of 99.7 wt.% for PX. However, this process used traditional separation techniques such as crystallization or adsorption to carry out the separation process, which are much higher in energy and separation cost than reactive distillation. Therefore, an intensified PX production process using reactive distillation will be proposed to remove the methanol recovery and recycling systems and reduce toluene losses during downstream separation. On the basis of this process, research results showed that the methanol conversion rate increased from 70.0 to 98.0%, but PX selectivity decreased to 92.0%. Thus, this methylation technology still needs the high-energy consumption separation of xylene isomers even with the PX selectivity as high as 90~98% for the methylation process with shape-selective catalysts.
To further improve the process economics for PX production, our team (Figure 13) first analyzed the selectivity intensification factors to discuss the strategy of 99.7% PX selectivity for a toluene methylation reactor based on two catalytic reaction kinetics [80,81,82] with the idea of “Ultralow Contact Time” from Ref. [11]. Since the 99.7% PX selectivity met a superior grade of industrial PX products, a novel short process was proposed by eliminating the high-energy unit of xylene isomer separation. Finally, the feed utilization, energy efficiency, and economic advantages for the proposed process were determined by comparing with those designed by Ashraf [80] and Liu6 through an optimal systematic procedure and heat integration.

7. Progress in Preparation of Trimethylbenzene by the Methylation Reaction of Xylene with Methanol

Trimethylbenzene can be divided into hemimelitene, pseudocumene and mesitylene. Of these, mesitylene is the most expensive. Mesitylene is an important raw material for the synthesis of m-acid, phenyltriacid, methylene aniline, antioxidants, herbicides, ultraviolet absorbers for plastics and rubber, alkyd resins, unsaturated polyester and polyamides [83]. In recent years, with many downstream products of trimethylbenzene successful developed, the demand for this product has risen sharply. However, its development only started after the separation of trimethylbenzene from C9 aromatics in the United States in the 1960s. China began to develop mesitylene in the 1970s, but due to the slow development of technology and small scale, large-scale production had not yet been started, resulting in the domestic production capacity of mesitylene being far from meeting the demand, mostly depending on imports. Therefore, the product had a broad market prospect, and it was of great practical significance to explore an economical and reasonable industrial production method.

7.1. Catalyst for Synthesis of Trimethylbenzene

In view of the heterogeneous synthesis of mesitylene in this paper, with toluene and m-xylene as raw materials, Smith et al. [84] reacted xylene with aluminum trichloride or xylene with chloromethane to produce mesitylene. Norris et al. [85] prepared mesitylene from toluene or m-xylene with methanol and aluminum chloride. In addition, the preparation of mesitylene from xylene in gas phase has also been reported. Zhang et al. [83] used cheap mixed xylene and methylene chloride as raw materials and a new liquid phase method for the synthesis of mesitylene. Under the optimal conditions, the content of mesitylene in the reaction solution reached about 14%. Wang et al. [86] characterized HZSM-5 at nano and micro levels by NH3-TPD, XRD, SEM and N2 adsorption. The catalytic properties of toluene disproportionation, toluene alkylation with methanol, mesitylene and methanol pyrolysis were investigated. The reactivity of mesitylene and pseudocumene over microscale HZSM-5 and nanoscale HZSM-5 was different because of the different accessible acid sites and reactant molecule. The reason for the high proportion of external acid sites on ZSM-5 was also discussed. Zhang et al. [87] prepared mesitylene by alkylation with mixed xylene as a raw material. At the beginning, xylene complexed with catalyst aluminum trichloride, the alkylation reaction and disproportionation reaction occurred simultaneously, and the disproportionation reaction speed was higher than the alkylation reaction speed. With the gradual formation of trimethylbenzene, the catalyst aluminum trichloride formed a complex with catalytic activity with trimethylbenzene (mainly mesitylene), resulting in the alkylation of trimethylbenzene to tetramethylbenzene. When the content of tetramethylbenzene reached a certain value (about 19%), the alkylation of trimethylbenzene could be inhibited. The content of trimethylbenzene produced by xylene disproportionation was too low (<10%), which could not meet the needs of industrial production. In the alkylation of mixed xylene, the pre-addition of tetramethylbenzene could make the content of tetramethylbenzene in the reaction solution reach about 13%, and the reaction rate was obviously improved. However, the high price of tetramethylbenzene would increase the production cost of trimethylbenzene. The combined alkylation and disproportionation reaction could effectively inhibit the excessive alkylation of the reaction products, and the content of trimethylbenzene could reach about 14%. However, many of the above methods are in the laboratory research stage, and the one-way conversion rate is low, so there is still a certain distance from industrialization.

7.2. Process Comparison of Trimethylbenzene Synthesis

The production methods of mesitylene are rarely reported, mainly including distillation, sulfonated extraction, cryogenic crystallization, HF-BF3 extraction/isomerization and synthesis (Table 3). Due to the existence of toluene and ethylbenzene, the distillation method was used to separate mesitylene from the reformed aromatics. Generally, the sulfonation extraction method produces a large amount of waste acid that needs to be treated. However, the technical and economic indicators are very poor, so it has been basically eliminated. A multi-tower distillation system is required with a large equipment investment and small output. The cryogenic crystallization method operates at a low temperature of −100 °C, which would require large investment and high energy consumption. The HF-BF3 extraction/isomerization method utilizes the different relative basicity of each C9 aromatic hydrocarbon isomer to separate it, but the equipment investment is large, and the production cost is high. Comparatively speaking, synthesis is the most promising method. The synthesis method can be divided into the following types according to the different raw materials: acetone, trimethylbenzene, toluene and m-xylene [84]. Of these, the most studied is the fourth synthesis method, but there are still significant problems, such as that the mesitylene generated by this method is easy to be further methylated to generate tetramethylbenzene. Although adding tetramethylbenzene improves the yield of mesitylene, the higher price of tetramethylbenzene increases the production cost, making it difficult to compete with reforming raw materials. In addition, the catalyst could not be recovered, resulting in a large amount of aluminate waste liquid, and the prospect of this method is not promising in today’s context of increasing attention to environmental protection. However, these methods are all in the laboratory research stage, and their the single-pass conversion rates are low, so they are still far from industrialization.
According to the literature research, it could be considered that there are two methods for producing mesitylene: synthesis and separation. The two methods are not entirely separate; they are different only in emphasis. The raw materials of the synthesis method are mainly acetone, mixed xylene and so on. The mixed three-phase gas phase isomerization is an improvement of the trimetylbenzene isomerization method, both of which are first reacted and then separated and have good economic benefits. The catalysts used in the mesitylene-enriched alkylation of propylene are very toxic and are used only for the enrichment of mesitylene. Considering the emphasis on environmental protection today, this technology does not have good prospects. The process of producing high-purity mesitylene by the co-production of mesitylene by meta-triisomeric alkylation would require much equipment, a complicated process and large investment. Due to the use of a transformer operation, the operation cost is high and the economic benefit is low.
The raw material of the separation method comes from reformed C9 aromatic solvent oil, and the separation method can be divided into many kinds due to the difference of the raw material and separation sequence. Among them, the zeolites adsorption method, the complex separation method and the C9 aromatic reaction conversion/separation method are only in the research stage. Due to the complexity of the raw material composition, these methods have little prospect. The cryogenic crystallization method has larger investment but lower economic benefits and attention. The extraction extraction/isomerization method is more difficult to separate due to poor selectivity and excessive reaction products, low production rates and difficult disposal of by-product waste. Extractive distillation has a high product yield, no waste from solvent reuse, no environmental protection problems and low cost compared with other methods. Through the analysis and comparison of various methods, it is indicated that the extractive distillation method is not only technically feasible, but also superior to other methods in terms of production cost. After industrialization, this method brings huge economic benefits and become the main method for the synthesis of mesitylene. Whether the extractive distillation method can be realized depends on the selection of an extractant. Meanwhile, a simple and efficient method for the synthesis of symmetric trisannelated benzenes and mesitylene is presented. Two trisannelated benzenes and mesitylene are synthesized from cyclohexanone, cyclopentanone and acetone, respectively, in the presence of thionyl chloride in anhydrous ethanol.
To sum up, the methods for producing mesitylene currently used in the industry and introduced in the literature are not ideal. In order to further improve and develop the production technology of mesitylene and enhance the technical competitiveness of the domestic mesitylene industry, it is necessary to explore an economical and reasonable industrial production method. By comprehensively considering the equipment investment, raw material prices and the possibility of industrialization, we indicate that the process of producing mesitylene by methylation reaction with mixed xylene is a potential and feasible method.

8. Kinetics of Methylation Reactions

In addition to catalyst development and the study of the reaction mechanism, the kinetics of aromatic methylation have also been studied over different zeolite types. The quantitative investigation of the kinetics of aromatic methylation is a relatively recent focus and allows for the direct comparison of reaction rates and activation energies between aromatic and olefin hydrocarbon pools. Most zeolite-catalyzed processes are the result of a complex mechanism, consisting of a large number of both consecutive and competing elementary steps (Figure 3 and Figure 4). Obtaining detailed information about any individual reaction is therefore non-trivial from an experimental point of view, as the rate of a single reaction is not easily monitored [15]. Typical kinetic studies of methylation are shown in Table 4.
It is generally indicated that, for the kinetic of the benzene methylation with methanol, benzene is level 1, and methanol is about level 0 [14]. A kinetic model of benzene methylation with methanol is established. The nonlinear least square method was used for parameter estimation, and the power function kinetic model was used to obtain the kinetic equation of the corresponding reaction. At the same time, it was demonstrated that the synergy mechanism was consistent with the research results of interpretive dynamics [5]. The intrinsic kinetic study of methylation catalyst showed that the methylation of benzene with methanol was a series of reactions, first to generate toluene and further methylate to xylene. The apparent activation energy of the methylation of benzene with methanol was high (163.88 kJ/mol), and a higher temperature was required for the reaction to proceed [19].
Wei [96] began to study the kinetic model of methylation of toluidine methanol in 1982 and showed clearly that both the main methylation reaction of toluene with methanol and the isomerization of xylene occurred in the catalyst pores, ignoring the possible reactions on the outer surface of the catalyst. However, Bhat et al. [91] assumed that the rate-controlling step was the surface reaction and used the Langmuir–Hinshelwood diatomic adsorption mechanism to describe the kinetic equation with a double curve form. The calculated values of the kinetic model established were in good agreement with the experimental values, but the model ignored the important side reaction of MTO. This might result in poor applicability of the dynamics model. Tan [81] adopted a fixed-bed reactor on the basis of eliminating the influence of internal and external diffusion, the reaction temperature was 480~560 °C, the total mass feeding space velocity of toluene and methanol was 2 h−1, and the molar ratio of the amount of toluene and methanol was 1~6. Under the condition that the molar ratio of water to toluene was 2~6 and the molar ratio of hydrogen to toluene was 2~8, the intrinsic kinetics of the methylation of toluene with methanol over a self-made zeolite catalyst was studied. The complete reaction network was established, including the methylation of toluene and methanol to p-xylene, the isomerization of xylene, the deep methylation of xylene to trimethylbenzene, and methanol to olefin. When the primary reactions of methanol and toluene are all grade 1, the fitting effect is better. In this work, the reaction order of the main reaction in the methylation reaction network was screened (Figure 14), and it was found that the fitting effect was better when the main reaction order of toluene and methanol was 1, the secondary reaction order of MTO was 2 and the other side reactions were all 1. The nonlinear least square method was used to estimate the parameters, and the power function kinetic model was used to obtain the kinetic equations of seven reactions, among which the kinetic equations of the main reaction were as follows [81]:
r T = 5.66 × 10 5 exp 76,660 R T P T P M
The maximum activation energy of toluene methylation to p-xylene was 76.66 kJ/mol, which was much higher than that by isomerization of p-xylene into m-xylene (19.24 kJ/mol) and o-xylene (16.80 kJ/mol). This was consistent with the research results of Sotelo et al. [94]. The activation energy of xylene to trimethylbenzene (57.47 kJ/mol) was higher, which might be due to the large steric hindrance of trimethylbenzene, which would affect the progress of the reaction and make the activation energy of the reaction higher. The reaction activation energy (44.94 kJ/mol) of methanol dehydration to olefins was also high.
Our results showed that the activation energy of p-xylene isomerization into m-xylene (18.91 kJ/mol) and o-xylene (22.90 kJ/mol) was lower than that of p-xylene alkylation with toluene and methanol (65.29 kJ/mol), which might be because the two reaction processes are different [97]. The methylation of toluene with methanol needed to go through two steps: first, methanol was adsorbed on the zeolites and converted into methoxyl groups. Second, toluene was adsorbed on the active site near methoxyl group for electrophilic substitution to generate paraxylene. The isomerization reaction of p-xylene only needed one step: that is, p-xylene was adsorbed on the strong acid site and isomerized into m-xylene and o-xylene. However, m-xylene and o-xylene in the products mainly came from the isomerization reaction of p-xylene diffused from the pore on the strong acidity of the outer surface. The isomerization reaction was not restricted by steric hindrance and diffusion, so the activation energy of p-xylene isomerization reaction was lower than that of toluene methylation with methanol. Since the activation energy of the isomerization reaction was lower than that of the alkylation reaction, p-xylene was very easily isomerized into m-xylene and o-xylene during the methylation reaction of toluene methanol, resulting in the decreased selectivity of p-xylene. In the main methylation reaction, the further methylation of xylene to trimethylbenzene had the highest activation energy (94.12 kJ/mol), which was mainly because the molecular dynamics diameter of trimethylbenzene was bigger than the pore size of zeolites, and most of the xylene methylation reactions in the zeolites hole junction (0.9 nm) and the generated trimethylbenzene had a very large diffusion resistance in the channel, which might lead to the highest activation energy for the methylation of xylene to generate trimethylbenzene.

9. Summary and Prospect

Benzene/toluene methylation is a promising way to prepare xylene and trimethylbenzene with high added value under the current situation of scarce petroleum resources. However, key issues such as limiting isomerization and MTH reactions still need to be solved in order to maintain high methylation yields. Studies have shown that the current key problems were mainly caused by low energy barrier of side reactions and the rapid deactivation of catalysts, which would hinder the yield of the target product. Therefore, in order to efficiently obtain high value-added PX and trimethylbenzene and so on, it was necessary to further design and synthesize new catalysts and optimize the process configuration.

9.1. Perspectives of BM-XP/TM-PX Development

The primary task for the synthesis of PX is to solve the conflicting relationship between PX selectivity and benzene/toluene conversion; that is, to achieve a high selectivity of PX without sacrificing toluene conversion. At the same time, BM-PX/TM-PX is a typical product shape-selective reaction realized by the sieving effect of zeolites pores at molecular level. The results show that the shape selectivity of zeolite can be improved without any modification by simply using serrated pores and plugging straight pores. In addition, the tiny size difference between serrated and straight pores can be fine-tuned by loading modifiers to provide diffusive pores for PX. However, narrowing the pore and channel of the zeolites results in better shape selection ability, but this would also limit the diffusion of benzene/toluene, which might lead to the reduction conversion of benzene/toluene. So far, the PX selectivity of TM-PX has been close to 100% through the modification of nano-HZSM-5, with precise adjustment of its micropores to select the preferred shape, and the passivation of acid sites on the outer surface to inhibit disproportionation. Therefore, the precise control of the crystal structure and acid site distribution of zeolites is expected to be the ultimate solution for shape-selective catalysts, which require an in-depth understanding of the growth mechanism of zeolites and further development of the synthesis method of zeolites.
The second is to solve the problem of catalyst deactivation. The blockage of pore channels by heavy by-products generated during the reaction is the main factor causing the deactivation of acidic zeolites catalysts. The factors affecting carbon deposition include pore structure, acidity of the catalysts and operating conditions. In the BM-PX/TM-PX reaction system, the MTO reaction is the largest competitive reaction, and olefin is also the main way to cause low-temperature carbon deposition. The acid on the catalyst surface is the main reason for the disproportionation reaction of xylene and the formation of carbon deposition. Therefore, the passivation of the external surface acid of zeolites is the main way to reduce carbon deposition. However, to reduce carbon accumulation more effectively, inhibiting the MTO reaction is a hard-core process, changing the attitude of methanol molecules being activated into intermediate states.

9.2. Perspectives of MX-TMB Development

At present, the production methods of mesitylene mainly include synthesis and separation. These two methods are not entirely separate, just different in emphasis. The raw materials of the synthesis method mainly include acetone, mixed xylene and so on. Three mixed gas-phase isomerization, propylene alkylation and mesogenic alkylation all have bottlenecks that were difficult to achieve industrialization. By comparing various methods, it is clearly show that extractive distillation is not only technically feasible, but also superior to other methods in production cost. After industrialization, this method would bring huge economic benefits and become the main method for the synthesis of mesitylene. The key to the realization of extractive distillation is the selection of the extractant.
However, due to the shortage of petroleum resources and the limitation of resource allocation, there is a major problem in the source of trimethylbenzene obtained by extractive distillation. In order to further improve and develop the production technology of mesitylene and enhance the technological competitiveness of domestic mesitylene industry, an economical and reasonable industrial production method must be explored. By comprehensively considering the equipment investment, raw material price and the possibility of industrialization, we indicate that the process of producing mesitylene by alkylation with mixed xylene as a raw material is a potentially feasible approach.
In summary, for promoting the implementation of the coupled cycle development strategy of petrochemical and coal chemical industry to carry on simple aromatics methylation technology in the production of higher value-added products (PX, trimethylbenzene, tetramethylbenzene and so on) has important economic significance and industrial integration value. It has important practical significance for saving resources and protecting the environment. However, whether in the BM-PX/TM-PX reaction or in the XM-TMB reaction process, the reaction mechanism will need to be further discussed and demonstrated to guide the design and synthesis of the catalyst. The precise synthesis of the catalyst will control the presence attitude of intermediate states, which must correct the optimal path of target product formed.

Author Contributions

P.D. and T.S. contributed equally to this work (the workload of research, content construction, discussion and writing was basically the same). Y.Z.: the instructor of the article. D.J.: literature survey on alkylation of benzene and methanol. Y.Y.: article modifier. X.Z.: sponsors and instructor. H.L.: literature investigation on alkylation of toluene and methanol. J.T.: literature investigation on alkylation of xylene and methanol. D.W.: overall paper guidance. G.L.: doctoral supervisor, full text beauty guide and logic guide. All authors have read and agreed to the published version of the manuscript.

Funding

The authors are grateful to the National Nature Science Foundation of China (22168022).

Institutional Review Board Statement

Not applicable.

Informed Consent Statement

Not applicable.

Data Availability Statement

The data presented in this study are available on request from the first author.

Conflicts of Interest

The authors declare no competing financial interests.

References

  1. Zhang, Y.Y.; Li, Y.F.; Chen, L.; Au, C.T.; Yin, S.F. A new catalytic process for the synthesis of para-xylene through benzene methylation with CH3Br. Catal. Commun. 2014, 54, 6–10. [Google Scholar] [CrossRef]
  2. Feng, Z.W.; Hu, B.; Guo, X.Q. Thermodynamic analysis of methanol and benzene alkylation by ASPEN PLUS. SHANXI Chem. Ind. (China) 2019, 1, 16–21. [Google Scholar]
  3. Xu, Y.R.; Xu, X.L.; Zhu, X.D. Thermodynamic analysis on alkylation reaction of benzene and methanol. Chem. React. Eng. Technol. 2015, 31, 475–480. [Google Scholar]
  4. Wang, D.L.; Zhang, J.Q.; Dong, P.; Li, G.X.; Fan, X.Y.; Yang, Y. Novel short process for p-xylene production based on the selectivity intensification of toluene methylation with methanol. ACS Omega 2022, 7, 1211–1222. [Google Scholar] [CrossRef]
  5. Stian, S.; Melina, V.; Unni, O.; Saepurahman; Bjørgen, M. Mechanistic aspects of the zeolite catalyzed methylation of alkenes and aromatics with methanol: A review. Top. Catal. 2011, 54, 897–906. [Google Scholar]
  6. Chen, Q.T.; Liu, J.; Yang, B. Identifying the key steps determining the selectivity of toluene methylation with methanol over HZSM-5. Nat. Commun. 2021, 12, 3725. [Google Scholar] [CrossRef]
  7. Ma, P.S. The Experimental Data Manual of Organic Compound; Chemical Industry Press: Beijing, China, 2006. [Google Scholar]
  8. Dong, P.; Li, Z.Y.; Wang, D.L.; Wang, X.R.; Guo, Y.Q.; Li, G.X.; Zhang, D.Q. Alkylation of benzene by methanol: Thermodynamics analysis for designing and designing for enhancing the selectivity of toluene and para-xylene. Catal. Lett. 2019, 149, 248–258. [Google Scholar] [CrossRef]
  9. Zhao, Y.; Tan, W.; Wu, H.Y. Effect of Pt on stability of nano-scale ZSM-5 catalyst for toluene alkylation with methanol into p-xylene. Catal. Today 2011, 160, 179–183. [Google Scholar] [CrossRef]
  10. Venuto, P.B.; Landis, P.S. Organic catalysis over crystalline aluminosilicates. Adv. Catal. 1968, 18, 259–371. [Google Scholar]
  11. Kaeding, W.W.; Chu, C.; Young, L.B.; Weinstein, B.; Butter, S.A. Selective alkylation of toluene with methanol to produce para-Xylene. J. Catal. 1981, 67, 159–174. [Google Scholar] [CrossRef]
  12. Odedairo, T.; Al-Khattaf, S. Comparative study of zeolite catalyzed alkylation of benzene with alcohols of Different chain length: H-ZSM-5 versus mordenite. Catal. Today 2013, 204, 73–84. [Google Scholar] [CrossRef]
  13. Vu, D.V.; Miyamoto, M.; Nishiyama, N.; Ichikaw, S.; Egashira, Y.; Ueyama, K. Catalytic activities and structures of silicalite-1/H-ZSM-5 zeolite composites. Microporous Mesoporous Mater. 2008, 115, 106–112. [Google Scholar] [CrossRef]
  14. Hu, H.L.; Lyu, J.H.J.; Rui, Y.; Cen, J.; Zhang, Q.F.; Wang, Q.T.; Han, W.W.; Li, X.N. The effect of Si/Al ratio on the catalytic performance of hierarchical porous ZSM-5 for catalyzing benzene alkylation with methanol. Catal. Sci. Technol. 2016, 6, 2647. [Google Scholar] [CrossRef]
  15. Jeroen, V.D.M.; Melina, V.; Unni, O.; Beato, P.; Bjørgen, M.; Speybroeck, V.V.; Svelle, S. Methylation of benzene by methanol: Single-site kinetics over H-ZSM-5 and H-beta zeolite catalysts. J. Catal. 2012, 292, 201–212. [Google Scholar]
  16. Wen, Z.H.; Yang, D.; Yang, F.; Wei, Z.H.; Zhu, X.D. Methylation of toluene with methanol over HZSM-5: A periodic density functional theory investigation. Chinese J. Catal. 2016, 37, 1882–1890. [Google Scholar] [CrossRef]
  17. Wang, G.R. Catalyst and Catalysis; Dalian University of Technology Press: Dalian, China, 2015; pp. 104–110. [Google Scholar]
  18. Dong, P.; Meng, J.L.; Yun, H.F.; Li, G.X. Alkylation of benzene with methanol to toluene over Na3-H-Y: Analysis of four aspects for obtaining reaction mechanism. J. Incl. Phenom. Macrocycl. Chem. 2020, 97, 147–157. [Google Scholar] [CrossRef]
  19. Tan, W.; Liu, M.; Zhao, Y.; Hou, K.K.; Wu, H.Y.; Zhang, A.F.; Liu, H.O.; Wang, Y.R.; Song, C.S.; Guo, X.W. Para-selective methylation of toluene with methanol over nano-sized ZSM-5 catalysts: Synergistic effects of surface modifications with SiO2, P2O5 and MgO. Microporous. Mesoporous. Mater. 2014, 196, 18–30. [Google Scholar] [CrossRef]
  20. Xu, S.T.; Zhi, Y.C.; Han, J.F.; Zhang, W.N.; Wu, X.Q.; Sun, T.T.; Wei, Y.X.; Liu, Z.M. Chapter two-advances in catalysis for methanol-to-olefins conversion. Adv. Catal. 2017, 61, 37–122. [Google Scholar]
  21. Haw, J.F.; Song, W.G.; Marcus, D.M.; Nicholas, J.B. The mechanism of methanol to hydrocarbon catalysis. Acc. Chem. Res. 2003, 36, 317–326. [Google Scholar] [CrossRef]
  22. Lesthaeghe, D.; Van, D.M.J.; Vandichel, M.; Waroquier, M.; Speybroeck, V.V. Full theoretical cycle for both ethene and propene formation during methanol-to-olefin conversion in H-ZSM-5. ChemCatChem 2011, 3, 208–212. [Google Scholar] [CrossRef]
  23. Lesthaeghe, D.; Van, S.V.; Marin, G.B.; Waroquier, I.M. Understanding the failure of direct C-C coupling in the zeolite-catalyzed methanol-to-olefin process. Angew. Chem. Int. Ed. 2006, 45, 1714–1719. [Google Scholar] [CrossRef] [PubMed]
  24. Lesthaeghe, D.; Speybroeck, V.V.; Marin, G.B. The rise and fall of direct mechanisms in methanol-to-olefin catalysis:  An overview of theoretical contributions. Ind. Eng. Chem. Res. 2007, 46, 8832–8838. [Google Scholar] [CrossRef]
  25. Lesthaeghe, D.; Speybroeck, V.V.; Marin, G.B.; Waroquier, M. What role do oxonium ions and oxonium ylides play in the ZSM-5 catalysed methanol-to-olefin process? Chem. Phys. Lett. 2006, 417, 309–315. [Google Scholar] [CrossRef]
  26. Song, W.; Marcus, D.M.; Fu, H.; Ehresmann, J.O.; Haw, J.F. An oft-studied reaction that may never have been: Direct catalytic conversion of methanol or dimethyl ether to hydrocarbons on the solid acids HZSM-5 or HSAPO-34. J. Am. Chem. Soc. 2002, 124, 3844–3845. [Google Scholar] [CrossRef]
  27. Wu, X.Q.; Xu, S.T.; Zhang, W.N.; Huang, J.D.; Li, J.Z.; Yu, B.B.; Wei, Y.X.; Liu, Z.M. Direct mechanism of the first carbon–carbon bond formation in the methanol-to-hydrocarbons process. Angew. Chem. Int. Ed. 2017, 56, 9039–9043. [Google Scholar] [CrossRef]
  28. Liu, Y.; Muller, S.; Berger, D.; Jelic, J.; Reuter, K.; Tonigold, M.; Sanchez-Sanchez, M.; Lercher, J.A. Formation mechanism of the first carbon-carbon bond and the first olefin in the methanol conversion into hydrocarbons. Angew. Chem. Int. Ed. 2016, 55, 5723. [Google Scholar] [CrossRef]
  29. Teketel, S.; Olsbye, U.; Lillerud, K.P.; Beato, P.; Svelle, S. Selectivity control through fundamental mechanistic insight in the conversion of methanol to hydrocarbons over zeolites. Microporous Mesoporous Mater. 2010, 136, 33–41. [Google Scholar] [CrossRef]
  30. Ilias, S.; Bhan, A. Tuning the selectivity of methanol-to-hydrocarbons conversion on H-ZSM-5 by co-processing olefin or aromatic compounds. J. Catal. 2012, 290, 186–192. [Google Scholar] [CrossRef]
  31. Lukyanov, D.B.; Vazhnova, T. Selective and stable benzene alkylation with methane into toluene over PtH-MFI bifunctional catalyst. J. Mol. Catal. A Chem. 2009, 305, 95–99. [Google Scholar] [CrossRef]
  32. Lee, S.; Choi, M. Unveiling coke formation mechanism in MFI zeolites during methanol-to-hydrocarbons conversion. J. Catal. 2019, 375, 183–192. [Google Scholar] [CrossRef]
  33. Zhu, Z.R.; Chen, Q.L.; Xie, Z.K.; Yang, W.M.; Li, C. The roles of acidity and structure of zeolite for catalyzing toluene alkylation with methanol to xylene. Microporous Mesoporous Mater. 2006, 88, 16–21. [Google Scholar] [CrossRef]
  34. Vos, A.M.; Rozanska, X.R.; Schoonheydt, A.; Santen, R.V. A theoretical study of the alkylation reaction of toluene with methanol catalyzed by acidic mordenite. J. Am. Chem. Soc. 2001, 123, 2799–2809. [Google Scholar] [CrossRef] [PubMed]
  35. Wang, Q.T.; Han, W.W.; Hu, H.L.; Lyu, J.H.; Xu, X.L.; Zhang, Q.F.; Wang, H.J.; Li, X.N. Influence of the post-treatment of HZSM-5 zeolite on catalytic performance for alkylation of benzene with methanol. Chin. J. Chem. Eng. 2017, 25, 1777–1783. [Google Scholar] [CrossRef]
  36. Rao, S.M.; Saraçi, E.; Gläser, R.; Coppens, M.O. Coppens surface barriers as dominant mechanism to transport limitations in hierarchically structured catalysts-application to the zeolite-catalyzed alkylation of benzene with ethylene. Chem. Eng. J. 2017, 329, 45–55. [Google Scholar] [CrossRef]
  37. Zhang, W.S.; Zhang, S.; Xin, W.J.; Liu, H.; Shang, Y.C.; Zhu, X.X.; Liu, S.L.; Xu, L.Y. Shaped binderless ZSM-11 zeolite catalyst prepared via a dry-gel conversion method: Characterization and application for alkylation of benzene with dimethyl ether. J. Energy Chem. 2017, 26, 380–389. [Google Scholar] [CrossRef][Green Version]
  38. Jiang, J.; Lu, G.Z.; Miao, C.X.; Wu, X.; Wu, W.H.; Sun, Q. Catalytic performance of X zeolites modified by alkali metal ions for the side-chain alkylation of toluene with methanol. Microporous Mesoporous Mater. 2013, 167, 213–220. [Google Scholar] [CrossRef]
  39. Yashima, T.; Yamazaki, K.; Ahmad, H.; Katsuta, M.; Hara, N. Alkylation on synthetic zeolites: II. Selectivity p-xylene formation. J. Catal. 1970, 17, 151–156. [Google Scholar] [CrossRef]
  40. Wang, Y.A.; Gao, Y.; Xie, S.J.; Liu, S.L.; Chen, F.C.; Xin, W.J.; Zhu, X.X.; Li, X.J.; Jiang, N.; Xu, L.Y. Adjustment of the Al siting in MCM-22 zeolite and its effect on alkylation performance of ethylene with benzene. Catal. Today 2018, 316, 71–77. [Google Scholar] [CrossRef]
  41. Shi, Y.C.; Xing, E.H.; Xie, W.H.; Zhuang, F.M.; Mu, X.H.; Shu, X.T. Shape selectivity of beta and MCM-49 zeolites in liquid-phase alkylation of benzene with ethylene. J. Mol. Catal. A Chem. 2016, 418, 86–94. [Google Scholar] [CrossRef]
  42. Raj, K.J.A.; Malar, E.J.P.; Vijayaraghavan, V.R. Shape-selective reactions with AEL and AFI type zeolites alkylation of benzene, toluene and ethylbenzene with ethanol, 2-propanol, methanol and t-butanol. J. Mol. Catal. A Chem. 2006, 243, 99–105. [Google Scholar] [CrossRef]
  43. Alabi, W.; Atanda, L.; Jermy, R.; Al-Khattaf, S. Kinetics of toluene alkylation with methanol catalyzed by pure and hybridized HZSM-5 catalysts. Chem. Eng. J. 2012, 195, 276–288. [Google Scholar] [CrossRef]
  44. Wang, C.F.; Zhang, L.; Huang, X.; Zhu, Y.F.; Li, G.; Gu, Q.F.; Chen, J.Y.; Ma, L.G.; Li, X.J.; He, Q.H.; et al. Maximizing sinusoidal channels of HZSM-5 for high shape-selectivity to p-xylene. Nat. Commun. 2019, 10, 4348. [Google Scholar] [CrossRef] [PubMed]
  45. Zheng, S.; Tanaka, H.; Jentys, A.; Lercher, J.A. Novel model explaining teluene diffusion in HZSM-5 after surface modification. J. Phys. Chem. B 2004, 108, 1337–1343. [Google Scholar] [CrossRef]
  46. Hu, H.L.; Zhang, Q.F.; Cen, J.; Li, X.N. High suppression of the formation of ethylbenzene in benzene alkylation with methanol over ZSM-5 catalyst modified by platinum. Catal. Commun. 2014, 57, 129–133. [Google Scholar] [CrossRef]
  47. Bjørgen, M.; Joensen, F.; Holm, M.S.; Olsbye, U.; Lillerud, K.P.; Svelle, S. Methanol to gasoline over zeolite H-ZSM-5: Improved catalyst performance by treatment with NaOH. Appl. Catal. A Gen. 2008, 345, 43–50. [Google Scholar] [CrossRef]
  48. Deng, W.; He, X.; Zhang, C.; Gao, Y.Y.; Zhu, X.D.; Zhu, K.K.; Huo, Q.S.; Zhou, Z.J. Promoting xylene production in benzene methylation using hierarchically porous ZSM-5 derived from a modified dry-gel route. Chin. J. Chem. Eng. 2014, 22, 921–929. [Google Scholar] [CrossRef]
  49. Anderson, J.R.; Foger, K.; Mole, T.; Sanders, J.V. Reactions on ZSM-5-type zeolite catalysts. J. Catal. 1979, 58, 114–130. [Google Scholar] [CrossRef]
  50. Dong, P.; Zhang, Y.F.; Li, Z.Y.; Yong, H.F.; Li, G.X.; Ji, D. Enhancement of the utilization of methanol in the alkylation of benzene with methanol over 3-aminopropyltriethoxysilane modified HZSM-5. Catal. Commun. 2019, 123, 6–10. [Google Scholar] [CrossRef]
  51. Li, B.; Chen, H.; Li, S.; Li, N. Distribution of Mo in Mo/ZSM-5 catalyst prepared by impregnation method. Chinese J. Catal. 2005, 26, 769–774. [Google Scholar]
  52. Gao, K.; Li, S.Z.; Wang, L.; Wang, W.Y. Study of the alkylation of benzene with methanol for the selective formation of toluene and xylene over Co3O4-La2O3/ZSM-5. RSC Adv. 2015, 5, 45098. [Google Scholar] [CrossRef]
  53. Liu, H.; Wei, H.J.; Xin, W.J.; Song, C.; Xie, S.J.; Liu, Z.N.; Liu, S.L.; Xu, L.Y. Differences between Zn/HZSM-5 and Zn/HZSM-11 zeolite catalysts in alkylation of benzene with dimethyl ether. J. Energy Chem. 2014, 23, 617–624. [Google Scholar] [CrossRef]
  54. Barthos, R.; Bánsági, T.; Zakar, T.S.; Solymosi, F. Aromatization of methanol and methylation of benzeneover Mo2C/ZSM-5 catalysts. J. Catal. 2007, 247, 368–378. [Google Scholar] [CrossRef]
  55. Ji, X.F.; Qin, Z.F.; Dong, M.; Wang, G.F.; Dou, T.; Wang, J.G. Friedel-Crafts acylation of anisole and toluene with acetic anhydride over nano-sized Beta zeolites. Catal. Lett. 2007, 117, 171–177. [Google Scholar] [CrossRef]
  56. Chakinala, N.; Chakinala, A.G. Process design strategies to produce p-xylene via toluene methylation: A review. Ind. Eng. Chem. Res. 2021, 60, 5331–5351. [Google Scholar] [CrossRef]
  57. Dong, P.; Li, Z.; Ji, D.; Wang, X.R.; Yun, H.F.; Du, Z.S.; Bian, J.; Li, G.X. Catalytic benzene mono-alkylation over three catalysts: Improving activity and selectivity with M-Y catalyst. J. Incl. Phenom. Macrocycl. Chem. 2018, 90, 149–155. [Google Scholar] [CrossRef]
  58. Venuto, P.B.; Landis, P.S. Organic Catalysis over Crystalline Aluminosilieates; Academic Press: New York, NY, USA, 1968; pp. 2–17. [Google Scholar]
  59. Wen, Z.H.; Yang, D.Q.; He, X.; Li, Y.S.; Zhu, X.D. Methylation of benzene with methanol over HZSM-11 and HZSM-5: A density functional theory study. J. Mol. Catal. A Chem. 2016, 424, 351–357. [Google Scholar] [CrossRef]
  60. Xu, W.Y.; Miller, S.J.; Agrawal, P.K.; Jones, C.W. Positive effect of water on zeolite BEA catalyzed alkylation of phenol with propylene. Catal. Lett. 2014, 144, 434–438. [Google Scholar] [CrossRef]
  61. Zhou, J.; Liu, Z.; Wang, Y. Shape selective catalysis in methylation of toluene: Development, challenges and perspectives. Front. Chem. Sci. Eng. 2018, 12, 103–112. [Google Scholar] [CrossRef]
  62. Fen, Z.W. Production technology of para-xylene and research progress. Mod. Chem. Ind. (China) 2019, 39, 58–62. [Google Scholar]
  63. Yashima, T. Alkylation on synthetic zeolites I. Alkylation of toluene with methanol. J. Catal. 1970, 16, 273–280. [Google Scholar] [CrossRef]
  64. Al-Khattaf, S. Xylenes reactions and diffusions in ZSM-5 zeolite-based catalyst. Ind. Eng. Chem. Res. 2007, 46, 59–69. [Google Scholar] [CrossRef]
  65. Tsai, T.C.; Wang, I.; Huang, C.K.; Sheng, D.L. Study on ethylbenzene and xylene conversion over modified ZSM-5. Appl. Catal. A Gen. 2007, 321, 125–134. [Google Scholar] [CrossRef]
  66. Kim, J.H.; Namba, S.; Yashima, T. Para-selectivity of zeolites with MFI structure: Difference between disproportionation and alkylation. Appl. Catal. A Gen. 1992, 83, 51–58. [Google Scholar] [CrossRef]
  67. Yi, D.; Meng, X.; Xu, X.; Liu, N.; Shi, L. Catalytic performance of modified ZSM-5 designed with selectively passivated external surface acidity by phosphorus. Ind. Eng. Chem. Res. 2019, 58, 10154–10163. [Google Scholar] [CrossRef]
  68. Ghosal, D.; Basu, J.K.; Sengupta, S. Application of La-ZSM-5 Coated Silicon Carbide Foam Catalyst for Toluene Methylation with Methanol. Bull. Chem. React. Eng. Catal. 2015, 10, 201–209. [Google Scholar] [CrossRef]
  69. Breen, J.P.; Burch, R.; Kulkarni, M.; McLaughlin, D.; Collier, P.J.; Golunski, S.E. Improved Selectivity in the Toluene Alkylation Reaction through Understanding and Optimising the Process Variables. Appl. Catal. A 2007, 316, 53–60. [Google Scholar] [CrossRef]
  70. Breen, J.; Burch, R.; Kulkarni, M.; Collier, P.; Golunski, S. Enhanced Para-Xylene Selectivity in the Toluene Alkylation Reaction at Ultralow Contact Time. J. Am. Chem. Soc. 2005, 127, 5020–5021. [Google Scholar] [CrossRef]
  71. Cavallaro, S.; Pino, L.; Tsiakaras, P.; Giordano, N.; Rao, B.S. Alkylation of Toluene with Methanol III: Para-Selectivity on Modified ZSM-5 Zeolites. Zeolites 1987, 7, 408–411. [Google Scholar] [CrossRef]
  72. Giordano, N.; Pino, L.; Cavallaro, S.; Vitarelli, P.; Rao, B.S. Alkylation of Toluene with Methanol on Zeolites. The Role of Electronegativity on the Chain or Ring Alkylation. Zeolites 1987, 7, 131–134. [Google Scholar] [CrossRef]
  73. Zhou, J.; Wang, Y.; Zou, W.; Wang, C.; Li, L.; Liu, Z.; Zheng, A.; Kong, D.; Yang, W.; Xie, Z. Mass Transfer Advantage of Hierarchical Zeolites Promotes Methanol Converting into ParaMethyl Group in Toluene Methylation. Ind. Eng. Chem. Res. 2017, 56, 9310–9321. [Google Scholar] [CrossRef]
  74. Aboul-Gheit, A.K.; Aboul-Fotouh, S.M.; Emam, E.A.; Ahmed, S.M. Catalytic Para-Xylene Maximization. V. Toluene Methylation with Methanol and Disproportionation of Toluene Using Pt/ZSM-5 and Pt/Mordenite Catalysts. J. Chin. Chem. Soc. 2004, 51, 817–826. [Google Scholar] [CrossRef]
  75. Aboul-Gheit, A.K.; Aboul-Enein, A.A.; Awadallah, A.E.; Ghoneim, S.A.; Emam, E.A. Para-Xylene Maximization Part VIII: Promotion of H-ZSM-5 Zeolite by Pt and HF Doping for Use as Catalysts in Toluene Alkylation with Methanol. Chin. J. Catal. 2010, 31, 1209–1216. [Google Scholar] [CrossRef]
  76. Aboul-Gheit, A.K.; Abdel-Hamid, S.M.; El-Desouki, D.S. Catalytic Para-Xylene Maximization. IV. Hydroisomerization of MetaXylene on Catalysts Containing Platinum on Differently Steamed HZSM-5. Appl. Catal. A 2001, 209, 179–191. [Google Scholar] [CrossRef]
  77. Kaeding, W.W.; Chu, C.; Young, L.B.; Butter, S.A. Shape-selective reactions with zeolite catalysts: II. Selective disproportionation of toluene to produce benzene and p-xylene. J. Catal. 1981, 69, 392–398. [Google Scholar] [CrossRef]
  78. Tan, W.; Hou, K.; Liu, M.; Li, W. Effect of NiO modification on stability of nano-sized ZSM-5 catalyst for the para-selective methylation of toluene with methanol. Pet. Process. Sect. 2015, 31, 503–522. [Google Scholar]
  79. Liu, J.; Yang, Y.; Wei, S.A.; Shen, W.; Rakovitis, N.; Li, J. Intensified p-xylene production process through toluene and methanol alkylation. Ind. Eng. Chem. Res. 2018, 57, 12829–12841. [Google Scholar] [CrossRef]
  80. Ashraf, M.T.; Chebbi, R.; Darwish, N.A. Process of p-Xylene Production by Highly Selective Methylation of Toluene. Ind. Eng. Chem. Res. 2013, 52, 13730–13737. [Google Scholar] [CrossRef]
  81. Tan, Y.T.; Zhu, R.; Zhang, X.; Tang, Y.; Zeng, Z. Kinetic model of toluene alkylation with methanol to para-xylene. Chem. React. Eng. Technol. 2016, 32, 120–128. [Google Scholar]
  82. Palomino, J. Alquilacion de Tolueno con Metanol Mediante Catalizadores de Zeolite ZSM-5 Modificados; Complutense University of Madrid: Madrid, Spain, 1991. [Google Scholar]
  83. Zhang, X.M.; Zhang, W.J.; Zhu, J.; Wang, F.D.; Jian, C.G. Study on new synthesis technology of mesitylene. Chin. J. Chem. Eng. 2002, 30, 70–73. [Google Scholar]
  84. Smith, L.; Cass, O.W. The mechanism of alkylation of xylene. J. Am. Chem. Soc. 1932, 54, 1603. [Google Scholar] [CrossRef]
  85. Norris, J.F.; Gordon, T.V. The rearrangement of the xylene: Kinetics and chloride. Nature 1939, 161, 2131. [Google Scholar]
  86. Wang, K.Y.; Wang, X.S. Comparison of catalytic performances on nanoscale HZSM-5 and microscale HZSM-5. Microporous Mesoporous Mater. 2008, 112, 187–192. [Google Scholar] [CrossRef]
  87. Zhang, W.J.; Zhang, X.M.; Zhu, J.; Wang, F.D.; Zhang, J.B.; Jian, C.G. Study on a new technology of synthesis of 1,3,5-trimethylbenzene from xylene. Chem. Ind. & Eng. Pro. (China) 2001, 10, 26–31. [Google Scholar]
  88. Song, L.P. Synthesis of 1,3,5-trimethylbenzene. Synth. Chem. (China) 1993, 1, 27–30. [Google Scholar]
  89. Hill, I.; Malek, A.; Bhan, A. Kinetics and mechanism of benzene, toluene, and xylene methylation over H-MFI. ACS Catal. 2013, 3, 1992–2001. [Google Scholar] [CrossRef]
  90. Moors, S.L.C.; Wispelaere, K.D.; Mynsbrugge, J.V.; Waroquier, M.; Speybroeck, V.V. Molecular dynamics kinetic study on the zeolite-catalyzed benzene methylation in ZSM-5. ACS Catal. 2013, 3, 2556–2567. [Google Scholar] [CrossRef]
  91. Bhat, Y.S.; Halgeri, A.B.; Prasada Rao, T.S.R. Kinetics of toluene alkylation with methanol on H-ZSM-8 zeolite Catalyst. Ind. Eng. Chem. Res. 1989, 28, 890–894. [Google Scholar] [CrossRef]
  92. Ramakrishna, M.; Subhash, B.; Musti, S.R. Kinetics of deactivation of methylation of toluene over H-ZSM-5 and hydrogen mordenite catalyst. Ind. Eng. Chem. Res. 1991, 30, 281–286. [Google Scholar]
  93. Stelo, J.L.; Uguina, M.A.; Valverde, J.L.; Serrano, D.P. Kinetics of toluene alkylation with methanol over Mg-modified ZSM-5. Ind. Eng. Chem. Res. 1993, 32, 2548–2554. [Google Scholar] [CrossRef]
  94. Al-Khattaf, S.; Rabiu, S.; Tukur, N.M.; Alnaizy, R. Kinetics of toluene methylation over USY-zeolite catalyst in a riser simulator. Chem. Eng. J. 2008, 139, 622–630. [Google Scholar] [CrossRef]
  95. Zhang, Y.L.; Xu, S.L.; Ye, M. A numerical investigation on alkylation of toluene with methanol in fluidized bed reactor. Chem. Ind. Eng. Pro. (China) 2020, 39, 5057–5065. [Google Scholar]
  96. Wei, J. A mathematical theory of enhanced para-xylene selectivity in molecular sieve catalysts. J. Catal. 1982, 76, 433–439. [Google Scholar] [CrossRef]
  97. Wu, C. The Research on Preparation and Catalytic Properties of Shape-Selective Catalysts for Alkylation of Toluene with Methanol; Lanzhou University of Technology: Lanzhou, China, 2020. [Google Scholar]
Figure 1. Reaction network of C6-8~arene methylation with methanol.
Figure 1. Reaction network of C6-8~arene methylation with methanol.
Processes 10 00881 g001
Figure 2. Methylation series reaction system.
Figure 2. Methylation series reaction system.
Processes 10 00881 g002
Figure 3. Stepwise pathway mechanism. Reprint with permission from ref. [12]. Copyright: Elsevier 2019.
Figure 3. Stepwise pathway mechanism. Reprint with permission from ref. [12]. Copyright: Elsevier 2019.
Processes 10 00881 g003
Figure 4. Concerted pathway mechanism.
Figure 4. Concerted pathway mechanism.
Processes 10 00881 g004
Figure 6. Catalytic mechanism of alkylation pools of benzene and methanol. Reprinted with permission from ref. [17]. Copyright: Dalian University of Technology Press 2015.
Figure 6. Catalytic mechanism of alkylation pools of benzene and methanol. Reprinted with permission from ref. [17]. Copyright: Dalian University of Technology Press 2015.
Processes 10 00881 g006
Figure 7. MTH/MTA reaction mechanism. Reprint with permission from ref. [21]. Copyright: Elsevier 2019.
Figure 7. MTH/MTA reaction mechanism. Reprint with permission from ref. [21]. Copyright: Elsevier 2019.
Processes 10 00881 g007
Figure 8. First C–C bond formation in MTH. Reprint with permission from ref. [29]. Copyright: Elsevier 2019.
Figure 8. First C–C bond formation in MTH. Reprint with permission from ref. [29]. Copyright: Elsevier 2019.
Processes 10 00881 g008
Figure 9. Reaction and coke formation mechanism in MTH. Reprint with permission from ref. [32]. Copyright: Elsevier 2019.
Figure 9. Reaction and coke formation mechanism in MTH. Reprint with permission from ref. [32]. Copyright: Elsevier 2019.
Processes 10 00881 g009
Figure 10. Compound modification procedure for preparation of modified HZSM-5 catalysts. Reproduced with permission from Ref. [56]. Copyright: Elsevier 2021.
Figure 10. Compound modification procedure for preparation of modified HZSM-5 catalysts. Reproduced with permission from Ref. [56]. Copyright: Elsevier 2021.
Processes 10 00881 g010
Figure 11. Benzene and methanol alkylation process flow chart.
Figure 11. Benzene and methanol alkylation process flow chart.
Processes 10 00881 g011
Figure 12. Toluene methanol methylation reaction network. R1: para-methylation of toluene; R2: methanol to olefins; R21: alkylation of toluene with olefins; R3: disproportionation of toluene; R11 and R12: isomerization of p-xylene; R13: further alkylation of xylene.
Figure 12. Toluene methanol methylation reaction network. R1: para-methylation of toluene; R2: methanol to olefins; R21: alkylation of toluene with olefins; R3: disproportionation of toluene; R11 and R12: isomerization of p-xylene; R13: further alkylation of xylene.
Processes 10 00881 g012
Figure 13. Short process for the PX production. Reproduced with permission from Ref. [4]. Copyright: Elsevier 2022.
Figure 13. Short process for the PX production. Reproduced with permission from Ref. [4]. Copyright: Elsevier 2022.
Processes 10 00881 g013
Figure 14. Reaction network of toluene methylation with methanol. Reproduced with permission from Ref. [81]. Copyright: Elsevier 2016.
Figure 14. Reaction network of toluene methylation with methanol. Reproduced with permission from Ref. [81]. Copyright: Elsevier 2016.
Processes 10 00881 g014
Table 1. Summary of literature review of surface-modified catalysts and their observations.
Table 1. Summary of literature review of surface-modified catalysts and their observations.
CatalystPerformanceSurface Chemical ModificationRange of Conversions and Product SelectivityComments/ObservationsRef.
HZSM-5Shape
selectivity
NoneSPX > 99%Here, inverse Al zoned HZSM-5 with sinusoidal channels predominantly opened to their external surfaces is constructed to maximize the shape-selectivity of HZSM-5 sinusoidal channels.[44]
SiO2, P2O5, MgOSPX∼98%The combined modification with SiO2, P2O5 and MgO in a proper sequence can lead to a synergistic effect for tailoring the acid property and pore mouth of the catalyst.[19]
Pt or PdSX ≈ 40%Narrowing the pore opening.[45]
PtCB = 46.9%; SX = 22.6%Pt modified ZSM-5 catalyst was proved to have high suppressionability towards the formation of ethylbenzene and could improve the stability of the catalyst significantly.[46]
NaOHCtotal by 3.3 times; S by 1.7 timesThe results are well-rationalized by alterations of acidic properties, mesopore formation and improved diffusivity.[47]
HexadecyltrimethoysilaneCB = 59.5%;
SX = 39.0%;
SEB < 0.1%
The directly adjusting the Si/Al ratio of the catalyst can successfully suppress EB formation by suppressing the side reaction of methanol to olefins. [14]
Si/AlSX = 34.9% (Si/Al = 180)The presence of additional porosity not only accelerates benzene methylation but also contributes to the faster sequential methylation of primary product toluene to xylenes.[48]
AcidityMgO, CaOCB was reduced and SPX was improvedThe basicity and size of basic cations that determine its catalytic performance.[49]
P2O5-ZnOCB = 43.6%;
SPX = 91.2%
It is found that the isomerization of p-xylene occurs on the strong acid sites rather than on the weak acid sites, and benzene conversion is subject to the influence of strong acid sites.[1]
P2O5, Fe2O3, B2O3, MgOSPX = 94.3%(P2O5) > 82.5% (B2O3) > 67.1% (MgO) > 57.0% (Fe2O3)It was found that the strong acid could cause the disproportionation reaction of BTX, so the strong acid had a great influence on the conversion rate of catalyst.[16]
SilanizationCB = 75.7%; SPX = 42.2%DMCS20-HZSM-5 has an optimal level of acidity for catalyzing benzene alkylation with methanol.[50]
MoImproved conversion rateThe B acid sites of the Mo/ZSM-5 catalyst decreased obviously compared with the parent HZSM-5 zeolite. On the contrary, the amount of L acid sites increase slightly in the Mo/ZSM-5 catalyst-[Mo5O12]6+.[51]
Co3O4-La2O3SX = 38.07%; CB = 51.36%Co3O4 and La2O3 incorporation in the zeolite has a significant role in activating the catalysts, which, together with the acidic sites of ZSM-5, produce the best acidic environment.[52]
ZnSX = 27.97%; CB = 46.04%For 6Zn/HZSM-11 and 6Zn/HZSM-5, benzene can easily contact both of the active catalyst centers. Zn(OH)+ could increase L acid active sites at the expense of B acid.[53]
Mo2CCB = 2.5%; SX = 22.3%The deposition of Mo2C on ZSM-5 markedly enhances the formation of aromatics. The highest yield of the formation of aromatics is measured at 5% for Mo2C/ZSM-5.[54]
CB: Benzene conversion; SPX: p-xylene selectivity; SX: xylene selectivity.
Table 2. Summary of literature review of surface-modified catalysts and their observations.
Table 2. Summary of literature review of surface-modified catalysts and their observations.
CatalystPerformanceSurface Chemical ModificationRange of Conversions and Product SelectivityComments/ObservationsRef.
HZSM-5Shape
selectivity
PhosphorusCT = 25–30%; SPX = 98%Selectively depositing phosphorus on the external surface and pore entrance of zeolites was shown to be effective in terms of p-xylene selectivity; these modified catalysts showed improved selectivity with less loss of catalytic activity.[67]
SiO2, P2O5, MgO SPX < 90%;
CT = 30%
The deposition of MgO was found to be efficient in passivating the acid sites and narrowing the pore opening when compared with Si or P modification; para-selectivity did not exceed 90%, even at the maximum loadings with single modification; however, a synergetic effect of multiple modification in suitable sequence led to ∼98% para-selectivity.[19]
La, Ce, NbCT = 12–36%; SX = 98% Toluene conversion and para-selectivity was reported to be better using foam coated with lanthanum-modified ZSM-5; kinetic studies were reported with a foam-coated catalyst in which the Langmuir–Hinshelwood model with a dual-site surface-reaction-controlling step was fitted and the activation energy was reported to be 47 kJ/mol.[68]
B, P, Mg, Fe, Ga, Pr, Tb, Sn, AlCT = 0.3–11.2%; SPX = 23–99.9%The most selective catalyst was found to be 10% B/ZSM-5 with >99.9% selectivity and 5.5% conversion. The Mg/ZSM-5 was less selective than B but had slightly higher activity (6.5%); the stability of BZSM-5 catalyst was noticed to be a major concern due to the loss of B during the reaction. [69,70]
AcidityFe, B, PCT = 14–28%; SPX = 49–62%Activity and selectivities were dictated by the acidity and electronegativity of the zeolites, with the most electropositive ones producing ethylbenzene and styrene and the most electronegative catalyzing the formation of xylenes.[71,72]
MgOCB = 13–18%;
SPX = 35–88%
Surface modification of the zeolite catalysts with MgO suppressed the mass transport of all the reactions; the degree of utilization of isomerization decreased because of the removal of acid sites, and the MTH had a distinct decline; these results suggest that, by constructing appropriate mesopores, followed by covering up the external acid sites, isomerization and MTH reactions can be retained while maintaining a high methylation rate; decreasing the effective diffusion length was determined to favor the methanol usage for methylation.[73]
Pd, Pt, HFCT = 22–65%; SPX = 38%The selectivities for para-, ortho-, and meta-xylenes production were determined to be dependent on the Pt content, particularly when supported on HZSM-5-zeolite; however, the selectivities were not dependent on the Pt content with mordenite; catalyst activity was reported to increase with 1–3% of HF, because of the increase in the number of acid sites and strength.[74,75]
Boron and
silicalite-1 coating
CB = 8–22.5%; SPX = ~98%Boron modification led to a decrease in strong acidity but increased the total acid sites; meanwhile, with silicalite-1, there was a decrease in both strong acidity and total acidity.[76]
CT: Toluene conversion; SPX: p-xylene selectivity; SX: xylene selectivity.
Table 3. Comparison of production methods of trimethylbenzene.
Table 3. Comparison of production methods of trimethylbenzene.
Production MethodsRaw MaterialCatalystTrimethylbenzene YieldAdvantages/DisadvantagesRef.
Alkylation methodMix-xylene, CH3ClAlCl3The content of trimethylbenzene reached about 14%.Raw materials cheap and easy to obtain, higher product content. However, production of halogenated hydrocarbon pollution, serious corrosion of equipment, product production costs.[83,88]
Olefin, mesityleneSolid acid catalystThe purity of 99% mesitylene products.Low price, moderate alkylation reaction conditions.
Isomerization methodPseudocumeneMo, Ni/Mordenite, PtAl2(OH), HF, BF3, etc.The conversion rate of pseudocumene was 45%, the selectivity of mesitylene was up to 98%.Catalysts are expensive and yield was low.
Combined isomerization and alkylation methodTrimethylbenzeneSolid acid catalystThe purity of mesitylene was 98.5%, the total conversion rate of pseudocumene was over 90%.The production cost of both trimethylbenzene and tetramethylbenzene was greatly reduced. Inhibits the accumulation of methyl-ethylbenzene. Increases the content of mesitylene. Reduces production cost. Improves conversion rate and product purity.
Distillation methodMixed oil/Small production.Reserve investment was large, and production was small.[83]
Sulfonated extraction methodProduces a large amount of waste acid that needs to be treated, the technical and economic indicators were poor, it had been basically eliminated.
Cryogenic crystallization method//Small production.Large investment, high energy consumption.
Other methodsAcetoneH2SO4The yield was only 0.010~0.015.The reaction device was simple, the raw material was easy to obtain, but the reaction cycle was too long, the yield was low.[88]
HClThe yield was only 0.010~0.015.The reaction rate was assumed to be faster.
Table 4. Statistics of aromatics methylation kinetics studies.
Table 4. Statistics of aromatics methylation kinetics studies.
Reaction TypeCatalystsKinetic ModelActivation Energy/kJ/molk (m6/kgcat s) (×102)Ref.
Benzene methylationH-ZSM-5Diffusion limitations58 ± 36.8[89]
H-SPP58 ± 28.3
H-ZSM-5Unimolecular/Bimolecular589.9[15]
H-beta562.6
Toluene methylationZSM-5Extended cluster147/[90]
H-ZSM-5Diffusion limitations52 ± 448.1[89]
H-SPP47 ± 331.4
HZSM-8Langmuir–Hinshelwood–Hougen–Watson60.523.91[91]
ZSM-5Time on stream67.794.83[92]
ZSM-5Langmuir–Hinshelwood79.834.52
MgZSM-5Power law and Eley–Rideal60.4/[93]
HZSM-5Power law57.15.29[43]
Mordenite/ZSM-523.312.83
ZM1317.115.20
USYTime on stream43.180.0186[94]
ZeolitePower law76.668.46[81]
Solid acidDiscrete particle model45.7 ± 0.4/[95]
Xylene
methylation
ZSM-5Time on stream24.494.86[92]
HZSM-5Power law70.01.99[43]
Mordenite/ZSM-515.318.29
ZM1317.810.29
HZSM-8Langmuir–Hinshelwood–Hougen–Watson35.831.25[91]
H-ZSM-5Diffusion limitations62 ± 313.4[90]
H-SPP62 ± 310.1
Publisher’s Note: MDPI stays neutral with regard to jurisdictional claims in published maps and institutional affiliations.

Share and Cite

MDPI and ACS Style

Dong, P.; Shao, T.; Zhao, Y.; Ji, D.; Yang, Y.; Zhao, X.; Li, H.; Tian, J.; Wang, D.; Li, G. Progress of Methylation of C6-8~Arene with Methanol: Mechanism, Catalysts, Kinetic/Thermodynamics and Perspectives. Processes 2022, 10, 881. https://doi.org/10.3390/pr10050881

AMA Style

Dong P, Shao T, Zhao Y, Ji D, Yang Y, Zhao X, Li H, Tian J, Wang D, Li G. Progress of Methylation of C6-8~Arene with Methanol: Mechanism, Catalysts, Kinetic/Thermodynamics and Perspectives. Processes. 2022; 10(5):881. https://doi.org/10.3390/pr10050881

Chicago/Turabian Style

Dong, Peng, Tingna Shao, Yu Zhao, Dong Ji, Yong Yang, Xinhong Zhao, Hongwei Li, Junying Tian, Dongliang Wang, and Guixian Li. 2022. "Progress of Methylation of C6-8~Arene with Methanol: Mechanism, Catalysts, Kinetic/Thermodynamics and Perspectives" Processes 10, no. 5: 881. https://doi.org/10.3390/pr10050881

APA Style

Dong, P., Shao, T., Zhao, Y., Ji, D., Yang, Y., Zhao, X., Li, H., Tian, J., Wang, D., & Li, G. (2022). Progress of Methylation of C6-8~Arene with Methanol: Mechanism, Catalysts, Kinetic/Thermodynamics and Perspectives. Processes, 10(5), 881. https://doi.org/10.3390/pr10050881

Note that from the first issue of 2016, this journal uses article numbers instead of page numbers. See further details here.

Article Metrics

Back to TopTop