Next Article in Journal
Reduced Use of Nitrites and Phosphates in Dry-Fermented Sausages
Next Article in Special Issue
Scale-Up Strategies of Jet Loop Reactors for the Intensification of Mass Transfer Limited Reactions
Previous Article in Journal
Heavy Metal Distribution in Surface Sediments of the Coastal Pearl Bay, South China Sea
 
 
Font Type:
Arial Georgia Verdana
Font Size:
Aa Aa Aa
Line Spacing:
Column Width:
Background:
Article

Phase Equilibrium of the Quaternary System LiBr-Li2SO4-KBr-K2SO4-H2O at 308.15 K

1
School of Chemical Engineering and Technology, Hebei University of Technology, Tianjin 300130, China
2
Engineering Research Center of Seawater Utilization of Ministry of Education, Tianjin 300130, China
3
Hebei Collaborative Innovation Center of Modern Marine Chemical Technology, Tianjin 300130, China
4
Hebei Datang International Wangtan Power Generation Co., Ltd., Tangshan 063611, China
*
Author to whom correspondence should be addressed.
Processes 2022, 10(5), 823; https://doi.org/10.3390/pr10050823
Submission received: 31 March 2022 / Revised: 17 April 2022 / Accepted: 20 April 2022 / Published: 21 April 2022
(This article belongs to the Special Issue Multiphase Mass Transfer and Phase Equilibrium in Chemical Processes)

Abstract

:
The phase equilibria of the reciprocal quaternary system LiBr-Li2SO4-KBr-K2SO4-H2O and its ternary sub-systems LiBr-Li2SO4-H2O and KBr-K2SO4-H2O at 308.15 K were studied using the isothermal dissolution equilibrium method. Then, the solubility data of the equilibrium solutions were collected, and the phase diagrams were plotted. The phase diagrams of the ternary sub-systems at 308.15 K were compared with those at other temperatures. This study found that the phase diagram of the LiBr-Li2SO4-H2O system at 308.15 K consisted of an invariant point, two solid-phase crystallization regions of Li2SO4·H2O and LiBr·2H2O, and their corresponding solubility curves. The system generated two hydrated salts, which belonged to the hydrate type I phase diagram. The phase diagram of the KBr-K2SO4-H2O system at 308.15 K consisted of an invariant point, two univariant solubility curves, and two solid-phase crystallization regions of KBr and K2SO4, and no solid solution and double salts were formed. Thus, it belonged to a simple co-saturation type phase diagram. In the LiBr-Li2SO4-KBr-K2SO4-H2O system, K2SO4·Li2SO4 double salt formed at 308.15 K, and the phase diagram consisted of three invariant points, five crystallization regions, and seven univariant solubility curves.

1. Introduction

Lithium and its compounds have been widely used in aerospace, battery materials, ceramic glass, aluminum electrolysis, medicine, and other fields [1]. Lithium resources mainly exist in salt-lake brine and ore, among which lithium reserves in brine account for about 70–80% of total lithium resources [2,3]. To meet the increasing demand for lithium resources, the development and extraction of lithium from brine are needed [4]. Global lithium resources are mainly distributed in South American countries, Australia, and China [5]. The Sichuan Basin in China contains rich brine reserves and has a long mining history. Before 1949, salt mines were mined mainly for human consumption, thus only sodium chloride was extracted, and some useful resources, such as Li+, K+, Br, B3+, Sr2+, Rb+, Cs+, I, have been underutilized [6]. Since the beginning of the 21st century, due to the rapid development of new energy vehicles, the demand for lithium resources has grown, which drives the research on lithium extraction from brine [7].
Because brine is a complex electrolyte system, its comprehensive utilization depends on the guidance of the water–salt system phase diagram. In recent years, numerous studies have been conducted around the brine system in the Sichuan Basin [8], and the results indicated that the LiBr-KBr-H2O system at 273.15 K [9], 288.15 K [10], 298.15 K [11], 308.15 K [9] and 323.15 K [12] showed simple co-saturation phase diagrams, confirming that double salt K2SO4·Li2SO4 will form in the Li2SO4-K2SO4-H2O system at these temperatures [13,14,15,16]. In the LiBr-Li2SO4-H2O system, the corresponding solid phases of the saturation point at 298.15 K were Li2SO4·H2O and LiBr·2H2O [17]. The KBr-K2SO4-H2O system at multiple temperatures [18,19,20] all showed simple co-saturation type phase diagrams.
To realize the utilization of underground brine in the Sichuan Basin, the phase diagram of LiBr-Li2SO4-KBr-K2SO4-H2O and its sub-systems (LiBr-Li2SO4-H2O, KBr-K2SO4-H2O) were studied at 308.15 K and 100.5 kPa in this work. Many studies have been conducted on related quaternary systems, such as the LiBr-Li2SO4-NaBr-Na2SO4-H2O [21], LiCl-Li2SO4-KCl-K2SO4-H2O [22,23], NaBr-Na2SO4-KBr-K2SO4-H2O [24,25,26], and NaCl-Na2SO4-KCl-K2SO4-H2O systems [27]. On the basis of these research results, the phase diagrams of these quaternary systems were compared, and the phase equilibrium characteristics of these quaternary systems were summarized.

2. Experimental Materials and Methods

2.1. Experimental Reagents and Instruments

Table 1 lists the main experimental reagents. The pH of the distilled water in the experiment was 6.65 and the conductivity was less than 0.8 × 10−4 S/m.
The main instruments used in the experiment are shown in Table 2. The composition of the solid phase in equilibrium was determined by X-ray diffraction. The magnetic stirring thermostatic bath was used to ensure the constant stirring speed and temperature of the solution during the reaction process.

2.2. Experimental Methods

The solubility of each system in this work was obtained by the isothermal dissolution method. First, the solubility of KBr, K2SO4, LiBr, and Li2SO4 at 308.15 K were determined and verified. Subsequently, additional salt was introduced into the saturated binary system solution gradually, and the solubilities of the ternary systems were obtained after they reached the dissolution equilibrium. Finally, a third salt was gradually introduced to the invariant-point solution of the ternary sub-system to obtain the phase solubility of the LiBr-Li2SO4-KBr-K2SO4-H2O system. During experimentation, the prepared solution was stirred for 12 h and allowed to stand for 10 h to obtain the supernatant. Then, the liquid phase composition of the supernatant was determined. These experimental procedures were repeated until the liquid phase composition of the solution showed no more changes, indicating that the system reached equilibrium. The experimental results show that the LiBr-Li2SO4-KBr-K2SO4-H2O system reached equilibrium after 6–9 days at 308.15 K. This equilibrium time was consistent with the literature [19,21,22].
In the quaternary system calculations, the Jänecke index (J) values of each ion, and H2O were used, and the calculation methods are shown in Equations (1)–(6). In this paper, the proportion of different ions in the saturated solution was expressed by mass fraction (w).
A = w ( Li + ) 13.882 + w ( K + ) 78.197 + w ( Br ) 159.808 + w ( SO 4 2 ) 96.063
J Li 2 2 + = w ( Li + ) A   ×   13.882   ×   100   ×   2
J K 2 2 + = w ( K + ) A   ×   78.197   ×   100   ×   2
J Br 2 2 = w ( Br ) A   ×   159.808   ×   100   ×   2
J SO 4 2 = w ( SO 4 2 ) A   ×   96.063   ×   100   ×   2
J H 2 O = w ( H 2 O ) A   ×   18.02   ×   100   ×   2

2.3. Analysis Methods

The chemical analysis method for each ion in this work was as follows. The concentration of Li+ was obtained according to the atomic absorption assisted subtraction method (uncertainty within ± 0.005), the concentration of K+ content was measured by the atomic absorption method (uncertainty within ± 0.005), the concentration of Br was determined according to the silver nitrate titration method (uncertainty within ± 0.005), and the concentration of SO42− was determined by the sulfate gravimetric method (uncertainty within ± 0.005). The solid phase composition at equilibrium was measured by the wet-residue method and X-ray diffraction crystallography.

3. Results and Discussion

3.1. Phase Equilibrium of the LiBr-Li2SO4-H2O System

Table 3 shows the solubility data in the LiBr-Li2SO4-H2O system at 308.15 K. The XRD characterization patterns of invariant point E1 are shown in Figure 1. According to Table 3, the phase diagram of the LiBr-Li2SO4-H2O system at 308.15 K was drawn (Figure 2a), and Figure 2b shows a partially enlarged view near invariant point E1.
A1 and B1 represented the pure solid phase points of Li2SO4·H2O and LiBr·2H2O (Figure 2), respectively, C1 and D1 were the saturation points of Li2SO4-H2O and LiBr-H2O, respectively, E1 denoted the invariant point of the system, and the liquid phase compositions at this point were w(LiBr) = 63.21%, w(Li2SO4) = 0.01%, and w(H2O) = 36.78%. The equilibrium solid phases at this point were Li2SO4·H2O and LiBr·2H2O. Curve C1E1 indicated the solubility curve of Li2SO4·H2O, and curve D1E1 corresponded to the solubility curve of LiBr·2H2O. Fields A1C1E1 and B1D1E1 denoted the crystallization regions of Li2SO4·H2O, and LiBr·2H2O, respectively. Fields A1E1B1 was the crystallization region of Li2SO4·H2O and LiBr·2H2O.
The phase diagram consisted of two solid crystalline regions Li2SO4·H2O and LiBr·2H2O, two solubility curves C1E1 and D1E1, and one saturation point E1. The system generated two hydrated salts; therefore, its phase diagram belonged to hydrate type I. The C1E1 curve in Figure 2a indicated that the mass percentage of Li2SO4 decreased sharply with LiBr addition. When the mass percentage of LiBr was 39.61%, the content of Li2SO4 dropped below 1%, and the crystallization region of LiBr·2H2O occupied a very small area in the phase diagram. This shows that LiBr had a strong salting-out effect on Li2SO4·H2O, making it easier to separate from the solution.
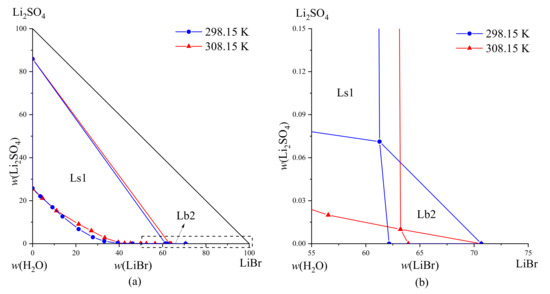
The phase equilibrium data of the LiBr-Li2SO4-H2O system at the co-saturation points of 298.15 K and 308.15 K are shown in Table 4. The phase diagrams of the system at these two temperatures are shown in Figure 3. By comparison, we found that the number of saturation points, solubility curves, and crystallization zones of the system were the same at these two temperatures. The equilibrium solid phases corresponding to the saturation point were LiBr·2H2O and Li2SO4·2H2O. The difference was that when the temperature increased by 10 K, the mass fraction (w) of Li2SO4 in the system decreased from 25.78% to 25.35%, while the mass fraction (w) of LiBr in the system increased from 62.16% to 63.93%. Meanwhile, the crystallization zone of Li2SO4·2H2O increased while that of LiBr·2H2O decreased. Based on this observation, we could fabricate an LiBr·2H2O crystal by lowering the temperature.

3.2. Phase Equilibrium of the KBr-K2SO4-H2O System

Table 5 shows the solubility data of the KBr-K2SO4-H2O system at 308.15 K, where the solid phase was analyzed by XRD characterization. The results indicated that the equilibrium solid phases of sample no. 13 were K2SO4 and KBr (Figure 4). The phase diagram (Figure 5a) was plotted based on the solubility data, and Figure 5b presents a partially enlarged view near invariant point E2.
Points A2 and B2 corresponded to solid phases K2SO4 and KBr, respectively, while point C2 and D2 was the saturation point of K2SO4-H2O and KBr-H2O (Figure 5a), where w(K2SO4) was 12.05% and w(KBr) was 42.21%. In addition, the liquid phase composition was w(KBr) = 41.77%, w(K2SO4) = 0.59%, and w(H2O) = 57.64% in saturated point E2, and the equilibrium solid phases at this point were KBr and K2SO4.
The C2E2 curve was the solubility curve of K2SO4, where A2E2C2 denoted the crystallization region of K2SO4. The solid phase corresponding to the solubility curve D2E2 in the partially enlarged view shown in Figure 5b was KBr, and B2D2E2 was the crystallization region of KBr. As shown in Figure 5a, the region occupied by A2E2C2 in the triangle was considerably larger than B2D2E2, indicating that the crystallization region of KBr in this system was smaller than that of K2SO4, and had a strong salting-out effect on K2SO4. This system did not generate a solid solution or hydrated salts at 308.15 K; thus, it consisted of a simple phase diagram.
Table 6 lists the phase equilibrium data of the co-saturation points of the KBr-K2SO4-H2O system at different temperatures. A comparison of phase diagrams is shown in Figure 6. The results show that the phase diagrams had the same characteristics at these three different temperatures, and the equilibrium solid phases corresponding to the saturation point were KBr and K2SO4. The mass percentage of K2SO4 in the K2SO4-H2O system increased from 6.78% to 19.4%, and the mass percentage of KBr in the KBr-H2O system increased from 34.11% to 50.98% when the temperature increased by 100 K. By analyzing the data of the saturation points at different temperatures, we found that KBr had a strong salting-out effect on K2SO4. These observations provided a scientific basis for the extraction and separation of K2SO4.

3.3. Phase Equilibrium of the LiBr-Li2SO4-KBr-K2SO4-H2O System

Table 7 shows the solubility data of the LiBr-Li2SO4-KBr-K2SO4-H2O system at 308.15 K. The XRD characterization results of the solid phase at invariant points E3, E4, and E5 are shown in Figure 7. The dry salt phase diagram of the LiBr-Li2SO4-KBr-K2SO4-H2O quaternary system at 308.15 K was plotted according to Table 7, as shown in Figure 8. Points A3, B3, C3, D3, and F3 corresponded to the saturation points of each ternary subsystem. The liquid phase composition of each point is presented in Table 7. According to the XRD characterization results, the LiBr-Li2SO4-KBr-K2SO4-H2O system contained three saturated points (E3, E4, and E5). The equilibrium solid phases at point E3 were K2SO4, KBr and K2SO4·Li2SO4, and all ion contents for this composition at this point were w(K+) = 8.79%, w(Li+) = 1.04%, w(Br) = 28.54%, and w(SO42−) = 0.87%. The equilibrium solid phases at point E4 were KBr, Li2SO4·H2O, and K2SO4·Li2SO4, and all ion contents for this composition were w(K+) = 0.96%, w(Li+) = 3.57%, w(Br) = 42.91%, and w(SO42−) = 0.08%. The equilibrium solid phases at point E5 were Li2SO4·H2O, LiBr·2H2O, and KBr, and all ion contents for this composition were w(K+) = 0.74%, w(Li+) = 5.02%, w(Br) = 59.26%, and w(SO42−) = 0.01%.
Figure 8 shows that there were seven solubility curves, namely, A3E3, B3E4, C3E3, E3E4, E4E5, D3E5, and F3E5. The corresponding equilibrium solid phases of A3E3 were K2SO4 and K2SO4·Li2SO4, while the corresponding equilibrium solid phases of B3E4 were K2SO4·Li2SO4 and Li2SO4·H2O, those of C3E3 were K2SO4 and KBr, those of E3E4 were K2SO4·Li2SO4 and KBr, those of E4E5 were KBr and Li2SO4·H2O, those of D3E5 were Li2SO4·H2O and LiBr·2H2O, and those of F3E5 were KBr and LiBr·2H2O. There were five crystallization regions, among which A3E3C3, A3E3E4B3, C3E3E4E5F3, B3E4E5D3, D3E5F3 corresponded to the crystalline regions of K2SO4, K2SO4·Li2SO4, KBr, Li2SO4·H2O, and LiBr·2H2O. The area in each crystalline region was different, and among these, the crystalline region of K2SO4 was the largest, accounting for more than 50% of the phase diagram followed by K2SO4·Li2SO4 double salt, which accounted for about 30–40%, Li2SO4·H2O and KBr accounted for a few percent, and the crystallization region of LiBr·2H2O was very small.
Figure 9 shows the water diagram of this quaternary system plotted with J(2Li+) and J(H2O). The solubility curve C3E3 corresponding to K2SO4 and KBr shows smooth fluctuations, indicating that the addition of Li2SO4 had a weak effect on the equilibrium. In the solubility curves A3E3, B3E4, and E4E5, the value of J(H2O) varied greatly with J(2Li+), indicating that Br-containing salts had a great influence on the phase equilibrium of this system. The values of J(H2O) near invariant points E4 and E5 were substantially lower than the other parts, suggesting that the mass percentage of H2O in the solution near the crystallization region of LiBr·2H2O was the smallest. A comprehensive analysis of the system shows that K2SO4 crystals most readily precipitated from the system, followed by K2SO4·Li2SO4 double salt crystals, and the LiBr·2H2O crystals had the most difficulty precipitating from the system. Bromide salts had a strong salting-out effect on sulfate.
By summarizing the phase diagrams of the related systems, we found that double salts occurred in sulfate-containing systems that also contained two of the three elements of lithium, sodium, and potassium [21,22,23,24,25,26,27], for example, K2SO4·Li2SO4, Na2SO4·Li2SO4, and Na2SO4·3K2SO4. After comparing the phase diagrams of the systems, we found that the region of the double salt was relatively large, indicating that the double salt had weak solubility and could be easily separated from the system. However, the salts formed by Cl, Br, as well as alkali metals and their hydrated salts, which exhibited strong solubility in the system, were difficult to separate from the system.

4. Conclusions

The phase equilibria of quaternary systems (LiBr-Li2SO4-KBr-K2SO4-H2O) and their subsystems (LiBr-Li2SO4-H2O, KBr-K2SO4-H2O) were studied. The results showed that at 308.15 K, two hydrated salts (Li2SO4·H2O and LiBr·2H2O) formed in the LiBr-Li2SO4-H2O system. The crystallization region of LiBr in this system was considerably smaller than Li2SO4, and LiBr had a strong salting-out effect on Li2SO4. Compared with the phase equilibrium data of 298.15 K, we found that LiBr·2H2O could be precipitated by decreasing the temperature. At 308.15 K, the solid solution and compound salt were not found in the KBr-K2SO4-H2O system, which belonged to a simple co-saturation phase diagram. In addition, the crystallization region of KBr in this system was smaller than K2SO4, and KBr had a strong salting-out effect on K2SO4. At 308.15 K, the phase diagram of the LiBr-Li2SO4-KBr-K2SO4-H2O system consisted of three invariant points, seven solubility curves, and five crystallization regions, i.e., the K2SO4, KBr, Li2SO4·H2O, LiBr·2H2O, and K2SO4·Li2SO4 crystallization regions. In this system, the crystallization region of LiBr·2H2O was the smallest, while K2SO4 was the largest, indicating that K2SO4 could easily be separated from the system, and this result could be used for the separation and extraction of lithium salts in brine.

Author Contributions

Conceptualization, B.L. and X.J.; methodology, B.L.; validation, B.L., X.J. and J.Y.; investigation, B.L. and X.J.; resources, J.Y.; data curation, B.L.; writing—original draft preparation, B.L. and X.J.; writing—review and editing, B.L., X.J. and J.Y.; supervision, J.Y.; project administration, J.Y. All authors have read and agreed to the published version of the manuscript.

Funding

This research was funded by the National Key Research and Development Programe of China (2016YFB0600504).

Conflicts of Interest

The authors declare no conflict of interest.

References

  1. Liu, G.; Zhao, Z.; Ghahreman, A. Novel approaches for lithium extraction from salt-lake brines: A review. Hydrometallurgy 2019, 187, 81–100. [Google Scholar] [CrossRef]
  2. Zhong, C.F.; Liu, J.; Lv, B.; Ren, D.M. Demand analysis and policy suggestions of Lithium resources in China’s new energy vehicle industry. Energy China 2018, 40, 12–15. [Google Scholar]
  3. Su, T.; Guo, M.; Liu, Z.; Li, Q. Comprehensive Review of Global Lithium Resources. J. Salt Lake 2019, 27, 104–111. [Google Scholar]
  4. Sun, J.; Dong, Y.; Kong, C. Manufacture of sodium-free lithium chloride from salt lake brine. Sep. Purif. Technol. 2014, 136, 309–313. [Google Scholar] [CrossRef]
  5. Hu, S.; Sun, Y.; Pu, M.; Yun, R.; Xiang, X. Determination of boundary conditions for highly efficient separation of magnesium and lithium from salt lake brine by reaction-coupled separation technology. Sep. Purif. Technol. 2019, 229, 115813. [Google Scholar] [CrossRef]
  6. Lin, Y.T.; Chen, S.L. Explorationand Development Prospect of Underground Brinein Sichuan Basin. J. Salt Lake 2008, 16, 1–7. [Google Scholar]
  7. Zhong, J.; Lin, S.; Yu, J. Li+ adsorption performance and mechanism using lithium/aluminum layered double hydroxides in low grade brines. Desalination 2021, 505, 114983. [Google Scholar] [CrossRef]
  8. Zhang, J.; Shi, X.W.; Zhao, S.L.; Song, X.F.; Yu, J.G. Progress in study on phase equilibria of salt-water systems. Ciesc J. 2016, 67, 379–389. [Google Scholar]
  9. Ye, C.; Wu, Z.Z.; Sang, S.H.; Qi, X.Y.; Liu, X. Solid–Liquid Phase EquiLiBria of Ternary System KBr-LiBr-H2O at 273.15 K and 308.15 K. J. Chem. Eng. Data 2019, 64, 5288–5294. [Google Scholar] [CrossRef]
  10. Qi, X.Y.; He, C.X.; Sang, S.H.; Liu, J.; Gao, Y.Y. Solid–liquid equilibria in the quaternary system LiBr-NaBr-KBr-H2O and its two ternary subsystems at 288.15 K. Asia-Pac. J. Chem. Eng. 2021, 16, 2595. [Google Scholar] [CrossRef]
  11. Cui, R.Z.; Li, W.; Dong, Y.P.; Li, J. Phase EquiLiBrium and Phase Diagram for the Quaternary System LiBr-NaBr-KBr-H2O at 298.15 K. J. Chem. Eng. Data 2020, 65, 3021–3028. [Google Scholar] [CrossRef]
  12. Pelsha, A.D. Experimental Data on Solubility of Multi-Component Water-Salt Systems; Chemistry Press: Leningrad, Russia, 1973. [Google Scholar]
  13. Lin, X.F.; Zeng, Y.; Zheng, Z.Y.; Sang, S.H. Study on the metastable diag ram of Li+, K+/SO42−-H2O at 273 K. Chem. Miner. Process. 2007, 36, 4–6. [Google Scholar]
  14. Bu, B.; Li, L.; Zhang, N.; Guo, Y.; Wang, S.; Sun, L.; Deng, T. Solid–liquid metastable phase equilibria for the ternary system Li2SO4-K2SO4-H2O at 288.15 and 323.15 K. Fluid Phase EquiLiBria 2015, 402, 78–82. [Google Scholar] [CrossRef]
  15. Li, B.; Li, J.; Fang, C.; Wang, Q.Z.; Song, P.S. Study on phase diagrams and properties of solutions in ternary systems Li+, K+(Mg2+)/SO42−-H2O at 25 °C. Chin. J. Chem. 1995, 13, 112–117. [Google Scholar] [CrossRef]
  16. Li, L.; Bu, B.H.; Zhang, N.; Guo, Y.; Deng, T. Metastable Phase EquiLiBria of the Aqueous Ternary System (Li2SO4-K2SO4-H2O) at 308.15 K. In Proceedings of the 17th National Conference on Chemical Thermodynamics and Thermal Analysis, HangZhou, China, 17–19 October 2014; Chinese Chemical Society: Beijing, China, 2014; pp. 286–287. [Google Scholar]
  17. Zhang, X.P.; Zhou, X.L.; Fan, S.Q.; Wang, Z.; Zheng, H.; Xu, M.Q. Phase equilibria in ternary system LiBr-Li2SO4-H2O at 298 K. Chem. Eng. 2020, 48, 59–61. [Google Scholar]
  18. Stephen, H.; Stephen, T. Solubilities of Inorganic and Organic Compounds; Pergamon Press Macmillan: Oxford, UK, 1979. [Google Scholar]
  19. Lu, Q.F.; Sang, S.H.; Zhang, H.; Li, T. Research of phase equilibria in ternary system KBr-K2SO4-H2O at 373 K. Inorg. Chem. Ind. 2015, 47, 13–15. [Google Scholar]
  20. Wang, P.; Sang, S.H.; Liu, Q.; Cui, R.Z. Phase EquiLiBria of NaBr-Na2SO4-H2O and KBr-K2SO4-H2O Ternary Systems at 398 K. J. Chem. Eng. Chin. Univ. 2016, 30, 527–531. [Google Scholar]
  21. Cui, R.Z.; Zhang, Y.M.; Dong, Y.P. Solid-Liquid equilibria of two quaternary systems LiBr-NaBr-Li2SO4-Na2SO4-H2O and LiBr-KBr-Li2SO4-K2SO4-H2O at 298.15 K. J. Chem. Thermodyn. 2022, 165, 106665. [Google Scholar] [CrossRef]
  22. Peng, Y.; Zeng, Y.; Su, S. Metastable Phase EquiLiBrium and Solution Properties of the Quaternary System Li+, K+/Cl, SO42−-H2O at 273.15 K. J. Chem. Eng. Data 2011, 56, 458–463. [Google Scholar] [CrossRef]
  23. Liu, Y.; Deng, T.; Song, P. Metastable Phase EquiLiBrium of the Reciprocal Quaternary System LiCl+KCl+Li2SO4+K2SO4+H2O at 308.15 K. J. Chem. Eng. Data 2011, 56, 1139–1147. [Google Scholar] [CrossRef]
  24. Cui, R.Z.; Yang, L.; Zhang, T.T.; Zhang, X.P.; Sang, S.H. Measurements and calculations of solid–liquid equilibria in the quaternary system NaBr-KBr-Na2SO4-K2SO4-H2O at 298.15 K. Calphad 2016, 54, 117–124. [Google Scholar] [CrossRef]
  25. Sang, S.H.; Sun, M.L.; Li, H.; Zhang, X.; Zhang, K.J. A Study on Equilibria of the Quaternary System Na+, K+/Br, SO42−-H2O at 323 K. Chin. J. Inorg. Chem. 2011, 27, 845–849. [Google Scholar]
  26. Cui, R.Z.; Sang, S.H. Phase equilibria in quaternary system Na+,K+/Br,SO42−-H2O at 373 K. Ciesc J. 2016, 67, 1123–1128. [Google Scholar]
  27. Shen, W.; Ren, Y.; Ma, H.; Mu, H.; Tian, H.; Tang, G. Investigation of Solid–Liquid EquiLiBria on the System Na+, K+/Cl, SO42−-H2O and Na+, K+/SO42−-H2O at 313.15 K. J. Chem. Eng. Data 2016, 61, 2027–2039. [Google Scholar] [CrossRef]
Figure 1. XRD spectrogram of the saturation point E1 of LiBr-Li2SO4-H2O at 308.15 K.
Figure 1. XRD spectrogram of the saturation point E1 of LiBr-Li2SO4-H2O at 308.15 K.
Processes 10 00823 g001
Figure 2. (a) Phase diagram of LiBr-Li2SO4-H2O at 308.15 K and (b) enlarged view of point E1. ●, the equilibrium liquid-phase composition point; ◦, wet residue composition point.
Figure 2. (a) Phase diagram of LiBr-Li2SO4-H2O at 308.15 K and (b) enlarged view of point E1. ●, the equilibrium liquid-phase composition point; ◦, wet residue composition point.
Processes 10 00823 g002
Figure 3. (a) Equilibrium phase diagram of ternary system LiBr-Li2SO4-H2O at different temperatures; (b) partial enlargement. Ls1, Li2SO4·H2O; Lb2, LiBr·2H2O.
Figure 3. (a) Equilibrium phase diagram of ternary system LiBr-Li2SO4-H2O at different temperatures; (b) partial enlargement. Ls1, Li2SO4·H2O; Lb2, LiBr·2H2O.
Processes 10 00823 g003
Figure 4. XRD spectrogram of the saturation point E2 of KBr-K2SO4-H2O at 308.15 K.
Figure 4. XRD spectrogram of the saturation point E2 of KBr-K2SO4-H2O at 308.15 K.
Processes 10 00823 g004
Figure 5. (a) Phase diagram of KBr-K2SO4-H2O at 308.15 K and (b) enlarged view of point E2. ●, the equilibrium liquid-phase composition point; ◦, wet residue composition point.
Figure 5. (a) Phase diagram of KBr-K2SO4-H2O at 308.15 K and (b) enlarged view of point E2. ●, the equilibrium liquid-phase composition point; ◦, wet residue composition point.
Processes 10 00823 g005
Figure 6. (a) Equilibrium phase diagram of ternary system KBr-K2SO4-H2O at different temperatures; (b) partial enlargement.
Figure 6. (a) Equilibrium phase diagram of ternary system KBr-K2SO4-H2O at different temperatures; (b) partial enlargement.
Processes 10 00823 g006
Figure 7. XRD spectrogram of the saturation point E3, E4, and E5 of LiBr-Li2SO4-KBr-K2SO4-H2O at 308.15 K.
Figure 7. XRD spectrogram of the saturation point E3, E4, and E5 of LiBr-Li2SO4-KBr-K2SO4-H2O at 308.15 K.
Processes 10 00823 g007
Figure 8. (a) Dry salt phase diagram of LiBr-Li2SO4-KBr-K2SO4-H2O quaternary system at 308.15 K and (b) enlarged view of saturation points E4 and E5.
Figure 8. (a) Dry salt phase diagram of LiBr-Li2SO4-KBr-K2SO4-H2O quaternary system at 308.15 K and (b) enlarged view of saturation points E4 and E5.
Processes 10 00823 g008
Figure 9. Water content diagram of system LiBr-Li2SO4-KBr-K2SO4-H2O at 308.15 K.
Figure 9. Water content diagram of system LiBr-Li2SO4-KBr-K2SO4-H2O at 308.15 K.
Processes 10 00823 g009
Table 1. Chemical Reagents.
Table 1. Chemical Reagents.
Chemical ReagentCAS Reg. No.Mass Fraction PuritySupplier
LiBr7550-35-8≥99.90%Aladdin Industrial Corporation
Li2SO410377-48-7≥99.99%Aladdin Industrial Corporation
KBr7758-02-3≥99.95%Aladdin Industrial Corporation
K2SO47778-80-5≥99.99%Aladdin Industrial Corporation
Table 2. Chemical Instruments.
Table 2. Chemical Instruments.
Instrument NameTypeAccuracy of MeasurementSupplier
X-ray diffractionDSFOCUS-Da Vinci type, Brucker AXS, Germany
A magnetic stirring thermostatic bathHXC-500-8A±0.05 KChangzhou Langyue Instrument Manufacturing Co., Ltd., China
Electric blast drying oven101-1ABS±1 KBeijing Yongguangming Medical Instrument Factory, China
Electronic balanceFA2204B±0.0001 gShanghai Youke Instrument Co., Ltd., China
Table 3. Solubility of LiBr-Li2SO4-H2O at 308.15 K and 100.5 kPa a.
Table 3. Solubility of LiBr-Li2SO4-H2O at 308.15 K and 100.5 kPa a.
No.Composition of Liquid Phase/w (%)Wet Solid Phase/w (%)Solid Phase
LiBrLi2SO4LiBrLi2SO4
1, C10.0025.35--Ls1
24.6321.101.7263.04Ls1
311.0815.275.6050.93Ls1
421.329.079.9949.87Ls1
527.156.038.6860.49Ls1
633.312.7112.3554.77Ls1
739.610.6311.8260.57Ls1
842.480.189.9966.06Ls1
945.170.1014.9057.54Ls1
1049.880.0511.8265.73Ls1
1152.520.0315.9060.08Ls1
1256.540.0214.1864.26Ls1
13, E163.210.0154.7717.13Ls1 + Lb2
14, D163.930.00--Lb2
a Standard uncertainties: u(T) = 0.05 K; u(P) = 2 kPa; u(mass fraction) = 0.03; Ls1, Li2SO4·H2O, Lb2, LiBr·2H2O.
Table 4. Solubilities of salts at the invariant points. In ternary system LiBr-Li2SO4-H2O at 298.15 K and 308.15 K.
Table 4. Solubilities of salts at the invariant points. In ternary system LiBr-Li2SO4-H2O at 298.15 K and 308.15 K.
Temperature/KRefsComposition of Liquid Phase/w (%)Solid Phase
LiBrLi2SO4
298.15[21]62.160.00LiBr·2H2O
61.270.07Li2SO4·H2O + LiBr·2H2O
0.0025.78Li2SO4·H2O
308.15this work63.930.00LiBr·2H2O
63.220.01Li2SO4·H2O + LiBr·2H2O
0.0025.35Li2SO4·H2O
Table 5. Solubility of KBr-K2SO4-H2O at 308.15 K and 100.5 kPa a.
Table 5. Solubility of KBr-K2SO4-H2O at 308.15 K and 100.5 kPa a.
No.Composition of Liquid Phase/w (%)Wet Solid Phase/w (%)Solid Phase
KBrK2SO4KBrK2SO4
1, C20.0012.05--Ar
23.3110.250.7281.55Ar
39.576.872.2876.11Ar
414.694.864.7070.59Ar
518.673.695.2672.95Ar
622.702.787.1668.92Ar
725.912.166.5475.88Ar
829.161.798.2772.27Ar
931.991.4610.5267.72Ar
1034.541.159.7672.09Ar
1137.730.859.5575.20Ar
1240.290.678.6378.81Ar
13, E241.770.5940.3720.21Ar + KBr
1442.030.3075.170.13KBr
15, D242.210.00--KBr
a Standard uncertainties: u(T) = 0.05 K; u(P) = 2 kPa; u(mass fraction) = 0.03; Ar, K2SO4.
Table 6. Solid-liquid composition of saturation point. In KBr-K2SO4-H2O system at different temperatures.
Table 6. Solid-liquid composition of saturation point. In KBr-K2SO4-H2O system at different temperatures.
Temperature/KRefsComposition of Liquid Phase/w (%)Solid Phase
KBrK2SO4
273.15[18]34.110.00KBr
35.540.68KBr + K2SO4
0.006.78K2SO4
308.15this work42.210.00KBr
41.770.59KBr + K2SO4
0.0012.05K2SO4
373.15[19]50.980.00KBr
49.980.34KBr + K2SO4
0.0019.40K2SO4
Table 7. Solubility of the LiBr-Li2SO4-KBr-K2SO4-H2O system at 308.15 K and 100.5 kPa a.
Table 7. Solubility of the LiBr-Li2SO4-KBr-K2SO4-H2O system at 308.15 K and 100.5 kPa a.
No.Composition of Solution/w(%)Jänecke Index J/(J)Equilibrium Solid Phases
Li+K+BrSO42−J(Li22+)J(SO42−)J(H2O)
1, A31.265.310.0015.2357.16100.002736.54Ar + Db4
21.185.153.1912.6056.4486.792859.03Ar + Db4
31.135.096.4210.1855.4872.532930.61Ar + Db4
41.114.9210.797.2355.9352.732951.30Ar + Db4
51.105.3715.005.1853.5636.502754.78Ar + Db4
61.055.6217.433.7351.3726.252707.28Ar + Db4
71.116.6623.191.9248.3712.082257.28Ar + Db4
81.077.5125.231.4944.618.922072.09Ar + Db4
9, E31.048.7928.540.8740.084.831796.40Ar + Db4 + Kb
10, C30.0013.9928.040.330.001.901788.14Ar + Kb
110.1413.3028.140.425.702.401784.31Ar + Kb
120.3512.1328.030.4814.012.751815.50Ar + Kb
130.4611.4727.810.5718.513.291841.01Ar + Kb
140.6710.4528.040.6426.653.641834.54Ar + Kb
150.809.8428.090.7231.364.111832.67Ar + Kb
161.437.5930.970.5751.432.981651.62Db4 + Kb
171.806.3132.780.4861.572.371548.54Db4 + Kb
182.344.1434.740.4176.101.931461.26Db4 + Kb
192.762.9537.260.3284.071.401331.13Db4 + Kb
20, E43.570.9642.910.0895.440.321081.07Db4 + Kb + Ls1
21, B33.201.150.0023.5794.01100.001630.50Db4 + Ls1
222.951.113.7819.5393.7789.581775.88Db4 + Ls1
23,2.711.068.1615.1893.5475.571935.24Db4 + Ls1
242.641.0214.1811.0293.5956.381940.70Db4 + Ls1
252.501.0516.918.3993.0545.232043.95Db4 + Ls1
262.381.0321.184.9792.8428.082121.04Db4 + Ls1
272.541.1126.363.1392.8016.471878.64Db4 + Ls1
282.841.0434.080.4693.892.201566.76Db4 + Ls1
293.910.9146.820.0596.040.17913.66Kb + Ls1
305.030.8259.540.0397.180.09514.64Kb + Ls1
31, E55.020.7459.260.0197.460.03523.25Kb + Ls1 + Lb2
32, F35.010.7059.050.0097.580.00529.25Kb + Lb2
33, D35.050.0058.140.01100.000.03561.16Ls1 + Lb2
344.680.4654.770.0198.780.03558.94Ls1 + Lb2
a Standard uncertainties: u(T) = 0.05 K; u(P) = 2 kPa; u(mass fraction) = 0.03; Ar, K2SO4; Db4, K2SO4·Li2SO4; Kb, KBr; Ls1, Li2SO4·H2O; Lb2, LiBr·2H2O.
Publisher’s Note: MDPI stays neutral with regard to jurisdictional claims in published maps and institutional affiliations.

Share and Cite

MDPI and ACS Style

Li, B.; Jing, X.; Yuan, J. Phase Equilibrium of the Quaternary System LiBr-Li2SO4-KBr-K2SO4-H2O at 308.15 K. Processes 2022, 10, 823. https://doi.org/10.3390/pr10050823

AMA Style

Li B, Jing X, Yuan J. Phase Equilibrium of the Quaternary System LiBr-Li2SO4-KBr-K2SO4-H2O at 308.15 K. Processes. 2022; 10(5):823. https://doi.org/10.3390/pr10050823

Chicago/Turabian Style

Li, Bin, Xinjun Jing, and Junsheng Yuan. 2022. "Phase Equilibrium of the Quaternary System LiBr-Li2SO4-KBr-K2SO4-H2O at 308.15 K" Processes 10, no. 5: 823. https://doi.org/10.3390/pr10050823

APA Style

Li, B., Jing, X., & Yuan, J. (2022). Phase Equilibrium of the Quaternary System LiBr-Li2SO4-KBr-K2SO4-H2O at 308.15 K. Processes, 10(5), 823. https://doi.org/10.3390/pr10050823

Note that from the first issue of 2016, this journal uses article numbers instead of page numbers. See further details here.

Article Metrics

Back to TopTop