Improvement of As(V) Adsorption by Reduction of Granular to Micro-Sized Ferric Hydroxide
Abstract
:1. Introduction
2. Materials and Methods
2.1. Reagents and Adsorbent Preparation
2.2. Groundwater and Synthetic Samples
2.3. Characterization of the Adsorbents
2.4. Batch Adsorption Procedures and Characterization of Samples
2.5. Isotherm and Kinetic Modeling Studies
2.5.1. Isotherm Studies
2.5.2. Kinetic Studies
3. Results and Discussion
3.1. Characterization of Sorbents
3.2. Adsorption Isotherms for the Three Adsorbents
3.3. Adsorption Isotherm for Synthetic Samples and Groundwater Samples
3.4. Adsorption Mechanism
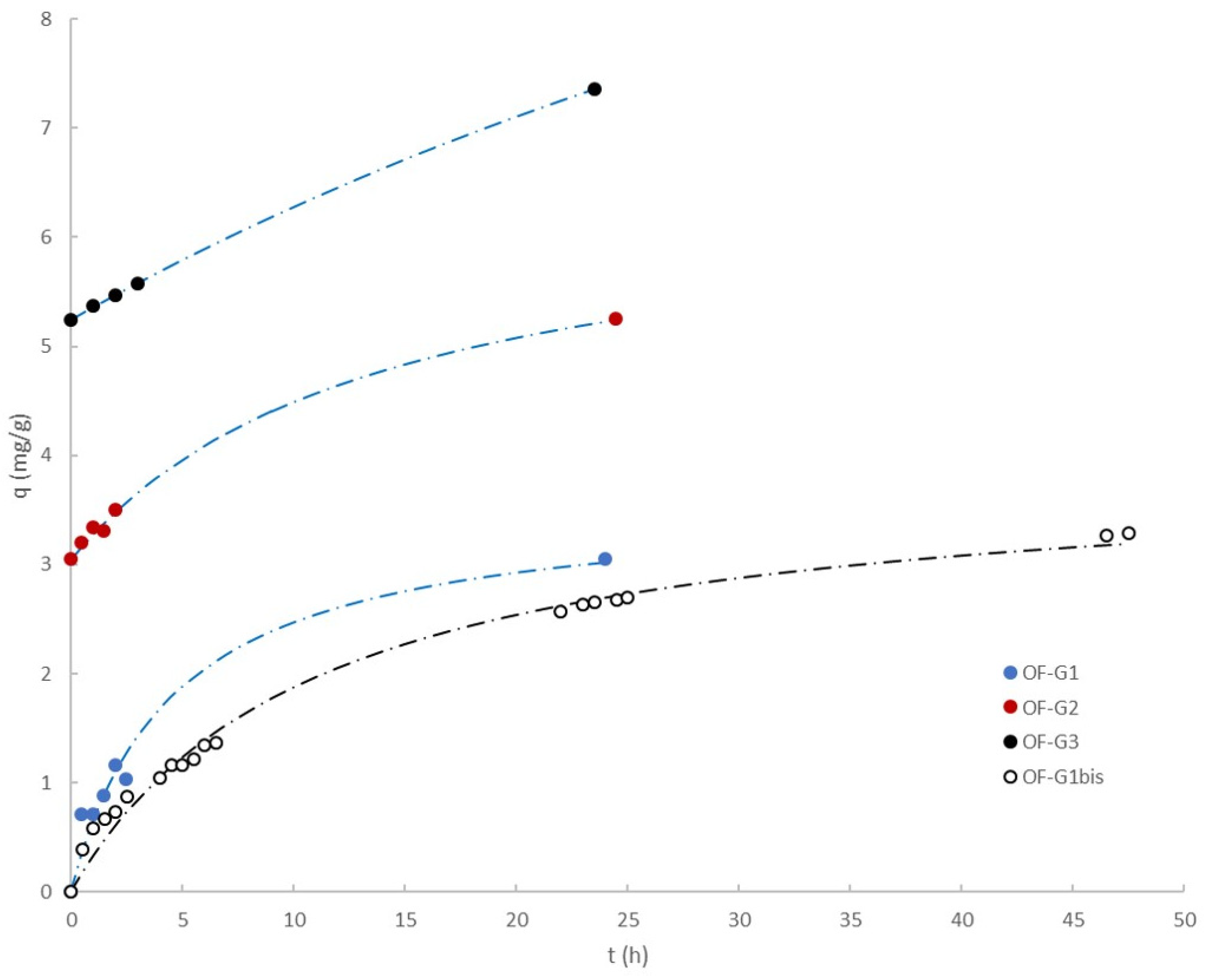
3.5. Adsorption Kinetics for the OF-G and OF-U Adsorbents
4. Conclusions
- Equilibrium studies showed that milling GFH (OF-M samples) decreased the maximum adsorption capacity and this may have resulted from the loss of the specific surface area. The results also indicated that micro-sized GFH obtained from ultrasonication (OF-U) had a 23% increase in the maximum adsorption capacity and a 23% increase in binding constant compared to the GFH. This was possibly linked to the release of an accessible internal area from GFH. The three adsorbents fitted well to the Langmuir isotherm models.
- The equilibrium adsorption results and the elimination of arsenic were not influenced by an excess of sulfate (500 mg/L) or representative matrices present in groundwater from a brownfield site. These data showed that competitive interferences in the equilibrium were not important for the three studied adsorbents.
- The kinetics of arsenic adsorption with GFH was improved when the adsorbent was ultrasonicated to micro-size levels. The nonlinear pseudo second-order was satisfactorily fitted to the results of the multi-spiking experiments. A large increase of 34-fold for arsenic adsorption (k2 ) was obtained after reducing the size of GFH using ultra-sonication. This behavior was attributed to the reduction in intraparticle diffusion in the micro-sized vs. granulated adsorbents.
Supplementary Materials
Author Contributions
Funding
Data Availability Statement
Acknowledgments
Conflicts of Interest
References
- Shakoor, M.B.; Nawaz, R.; Hussain, F.; Raza, M.; Ali, S.; Rizwan, M.; Oh, S.E.; Ahmad, S. Human health implications, risk assessment and remediation of As-contaminated water: A critical review. Sci. Total Environ. 2017, 601–602, 756–769. [Google Scholar] [CrossRef] [PubMed]
- Sarkar, A.; Paul, B. The global menace of arsenic and its conventional remediation—A critical review. Chemosphere 2016, 158, 37–49. [Google Scholar] [CrossRef] [PubMed]
- Singh, R.; Singh, S.; Parihar, P.; Singh, V.P.; Prasad, S.M. Arsenic contamination, consequences and remediation techniques: A review. Ecotoxicol. Environ. Saf. 2015, 112, 247–270. [Google Scholar] [CrossRef] [PubMed]
- Shankar, S.; Shanker, U.; Shikha. Arsenic contamination of groundwater: A review of sources, prevalence, health risks, and strategies for mitigation. Sci. World J. 2014, 2014, 1–18. [Google Scholar] [CrossRef] [PubMed]
- Li, S.; Wang, W.; Liu, Y.; Zhang, W. xian Zero-valent iron nanoparticles (nZVI) for the treatment of smelting wastewater: A pilot-scale demonstration. Chem. Eng. J. 2014, 254, 115–123. [Google Scholar] [CrossRef]
- Paikaray, S. Geochemistry of Acid Mine Drainage. Mine Water Environ. 2015, 34, 181–196. [Google Scholar] [CrossRef]
- Gallego, J.R.; Rodríguez-Valdés, E.; Esquinas, N.; Fernández-Braña, A.; Afif, E. Insights into a 20-ha multi-contaminated brownfield megasite: An environmental forensics approach. Sci. Total Environ. 2016, 563–564, 683–692. [Google Scholar] [CrossRef]
- Nicomel, N.R.; Leus, K.; Folens, K.; Van Der Voort, P.; Du Laing, G. Technologies for arsenic removal from water: Current status and future perspectives. Int. J. Environ. Res. Public Health 2015, 13, 62. [Google Scholar] [CrossRef]
- Mondal, P.; Bhowmick, S.; Chatterjee, D.; Figoli, A.; Van der Bruggen, B. Remediation of inorganic arsenic in groundwater for safe water supply: A critical assessment of technological solutions. Chemosphere 2013, 92, 157–170. [Google Scholar] [CrossRef]
- Maity, J.P.; Chen, C.Y.; Bhattacharya, P.; Sharma, R.K.; Ahmad, A.; Patnaik, S.; Bundschuh, J. Advanced application of nano-technological and biological processes as well as mitigation options for arsenic removal. J. Hazard. Mater. 2021, 405, 123885. [Google Scholar] [CrossRef]
- Mohammadian, S.; Krok, B.; Fritzsche, A.; Bianco, C.; Tosco, T.; Cagigal, E.; Mata, B.; Gonzalez, V.; Diez-Ortiz, M.; Ramos, V.; et al. Field-scale demonstration of in situ immobilization of heavy metals by injecting iron oxide nanoparticle adsorption barriers in groundwater. J. Contam. Hydrol. 2021, 237, 103741. [Google Scholar] [CrossRef] [PubMed]
- Castaño, A.; Prosenkov, A.; Baragaño, D.; Otaegui, N.; Sastre, H.; Rodríguez-Valdés, E.; Gallego, J.L.R.; Peláez, A.I. Effects of in situ Remediation With Nanoscale Zero Valence Iron on the Physicochemical Conditions and Bacterial Communities of Groundwater Contaminated With Arsenic. Front. Microbiol. 2021, 12, 643589. [Google Scholar] [CrossRef] [PubMed]
- Montalvo, D.; Vanderschueren, R.; Fritzsche, A.; Meckenstock, R.U.; Smolders, E. Efficient removal of arsenate from oxic contaminated water by colloidal humic acid-coated goethite: Batch and column experiments. J. Clean. Prod. 2018, 189, 510–518. [Google Scholar] [CrossRef]
- Siddiqui, S.I.; Naushad, M.; Chaudhry, S.A. Promising prospects of nanomaterials for arsenic water remediation: A comprehensive review. Process Saf. Environ. Prot. 2019, 126, 60–97. [Google Scholar] [CrossRef]
- Mohan, D.; Pittman, C.U. Arsenic removal from water/wastewater using adsorbents—A critical review. J. Hazard. Mater. 2007, 142, 1–53. [Google Scholar] [CrossRef]
- Akter, A.; Ali, M.H. Arsenic contamination in groundwater and its proposed remedial measures. Int. J. Environ. Sci. Technol. 2011, 8, 433–443. [Google Scholar] [CrossRef] [Green Version]
- Usman, M.; Zarebanadkouki, M.; Waseem, M.; Katsoyiannis, I.A.; Ernst, M. Mathematical modeling of arsenic (V) adsorption onto iron oxyhydroxides in an adsorption-submerged membrane hybrid system. J. Hazard. Mater. 2020, 400, 123221. [Google Scholar] [CrossRef]
- Sperlich, A.; Schimmelpfennig, S.; Baumgarten, B.; Genz, A.; Amy, G.; Worch, E.; Jekel, M. Predicting anion breakthrough in granular ferric hydroxide (GFH) adsorption filters. Water Res. 2008, 42, 2073–2082. [Google Scholar] [CrossRef]
- Badruzzaman, M.; Westerhoff, P.; Knappe, D.R.U. Intraparticle diffusion and adsorption of arsenate onto granular ferric hydroxide (GFH). Water Res. 2004, 38, 4002–4012. [Google Scholar] [CrossRef]
- Chiavola, A.; D’Amato, E.; Gavasci, R.; Sirini, P. Arsenic removal from groundwater by ion exchange and adsorption processes: Comparison of two different materials. Water Sci. Technol. Water Supply 2015, 15, 981–989. [Google Scholar] [CrossRef]
- Jageerani, S.; Balouch, A.; Addullah; Muhammad Mahar, A.; Ahmed Mustafai, F.; Rajar, K.; Tunio, A.; Sabir, S.; Samoon Muhammad, K. Arsenic Remediation by Synthetic and Natural Adsorbents. Pakistan J. Anal. Environ. Chem. 2017, 18, 18–36. [Google Scholar] [CrossRef]
- Usman, M.; Katsoyiannis, I.; Mitrakas, M.; Zouboulis, A.; Ernst, M. Performance evaluation of small sized powdered ferric hydroxide as arsenic adsorbent. Water 2018, 10, 957. [Google Scholar] [CrossRef] [Green Version]
- Banerjee, K.; Nour, S.; Selbie, M.; Prevost, M.; Blumenschein, C.D.; Chen, H.; Amy, G.L. Optimization of Process Parameters for Arsenic Treatment with Granular Ferric Hydroxide. In Proceedings of the AWWA Annual Conference, Anaheim, CA, USA, 15–19 June 2003. [Google Scholar]
- Usman, M.; Katsoyiannis, I.; Rodrigues, J.H.; Ernst, M. Arsenate removal from drinking water using by-products from conventional iron oxyhydroxides production as adsorbents coupled with submerged microfiltration unit. Environ. Sci. Pollut. Res. 2021, 28, 59063–59075. [Google Scholar] [CrossRef] [PubMed] [Green Version]
- Chiavola, A.; D’Amato, E.; Sirini, P.; Caretti, C.; Gori, R. Arsenic Removal from a Highly Contaminated Groundwater by a Combined Coagulation-Filtration-Adsorption Process. Water. Air. Soil Pollut. 2019, 230, 1–12. [Google Scholar] [CrossRef]
- Ribas, D.; Pešková, K.; Jubany, I.; Parma, P.; Černik, M.; Benito, J.A.; Martí, V. High reactive nano zero-valent iron produced via wet milling through abrasion by alumina. Chem. Eng. J. 2019, 366, 235–245. [Google Scholar] [CrossRef]
- Ribas, D.; Cernik, M.; Martí, V.; Benito, J.A. Improvements in nanoscale zero-valent iron production by milling through the addition of alumina. J. Nanopart. Res. 2016, 18, 1–11. [Google Scholar] [CrossRef] [Green Version]
- Martí, V.; Jubany, I.; Ribas, D.; Benito, J.A.; Ferrer, B. Improvement of Phosphate Adsorption Kinetics onto Ferric Hydroxide by Size Reduction. Water 2021, 13, 1558. [Google Scholar] [CrossRef]
- Kunaschk, M.; Schmalz, V.; Dietrich, N.; Dittmar, T.; Worch, E. Novel regeneration method for phosphate loaded granular ferric (hydr)oxide—A contribution to phosphorus recycling. Water Res. 2015, 71, 219–226. [Google Scholar] [CrossRef]
- Baragaño, D.; Boente, C.; Rodríguez-Valdés, E.; Fernández-Braña, A.; Jiménez, A.; Gallego, J.L.R.; González-Fernández, B. Arsenic release from pyrite ash waste over an active hydrogeological system and its effects on water quality. Environ. Sci. Pollut. Res. 2020, 27, 10672–10684. [Google Scholar] [CrossRef]
- Otaegui, N.; Cagigal, E. NanoRem pilot site—Nitrastur, Spain: Remediation of arsenic in groundwater using nanoscale zero-539 valent iron. NanoRem Bull. 2017, 12, 1–6. Available online: https://www.claire.co.uk/NanoRem (accessed on 17 April 2022).
- Mollenkopf, M.; Fritzsche, A.; Montalvo, D.; Diez-Ortiz, M.; González-Andrés, V.; Smolders, E.; Meckenstock, R.; Totsche, K.U. Exposure of humic acid-coated goethite colloids to groundwater does not affect their adsorption of metal(loid)s and their impact on Daphnid mobility. Sci. Total Environ. 2021, 797, 149153. [Google Scholar] [CrossRef] [PubMed]
- Díez, M.; Gonzalez, V.; Janer, J.; Cabellos, J. Report on Exposure Levels at Relevant Conditions. Reground H2020 EU Project, 544 Deliverable 4.2. v.1. 2017. Available online: https://www.fabiodisconzi.com/open-h2020/projects/196810/deliverables.html (accessed on 17 April 2022).
- Díez, M.; Gonzalez, V.; Janer, J.; Cabellos, J. Report on Risk Assessment under Accidental Conditions Reground H2020 EU Project, 547 Deliverable 4.4 v.2. 2018. Available online: https://www.fabiodisconzi.com/open-h2020/projects/196810/deliverables.html (accessed on 17 April 2022).
- Baragaño, D.; University of Oviedo, Oviedo, Spain. Personal communication, 2022.
- Puigdomènech, I.; Colàs, E.; Grivé, M.; Campos, I.; García, D. A tool to draw chemical equilibrium diagrams using SIT: Applications to geochemical systems and radionuclide solubility. MRS Online Proc. Libr. 2014, 1665, 111–116. [Google Scholar] [CrossRef]
- Pham, T.T.; Ngo, H.H.; Tran, V.S.; Nguyen, M.K. Removal of As (V) from the aqueous solution by a modified granular ferric hydroxide adsorbent. Sci. Total Environ. 2020, 706, 135947. [Google Scholar] [CrossRef] [PubMed]
- Yeo, K.F.H.; Li, C.; Zhang, H.; Chen, J.; Wang, W.; Dong, Y. Arsenic Removal from Contaminated Water Using Natural Adsorbents: A Review. Coatings 2021, 11, 1407. [Google Scholar] [CrossRef]
- Zhang, L.; Du, C.; Du, Y.; Xu, M.; Chen, S.; Liu, H. Kinetic and isotherms studies of phosphorus adsorption onto natural riparian wetland sediments: Linear and non-linear methods. Environ. Monit. Assess. 2015, 187, 1–11. [Google Scholar] [CrossRef]
- Draper, N.R.; Smith, H. Applied Regression Analysis; John Wiley & Sons: New York, NY, USA, 1998; ISBN 0471170828. [Google Scholar]
- Guan, X.H.; Wang, J.; Chusuei, C.C. Removal of arsenic from water using granular ferric hydroxide: Macroscopic and microscopic studies. J. Hazard. Mater. 2008, 156, 178–185. [Google Scholar] [CrossRef]
- Drever, J.I. The Geochemistry of Natural Waters, 3rd ed.; Prentice Hall: Bergen County, NJ, USA, 1997; ISBN 0132727900. [Google Scholar]






| OF-G | OF-M | OF-U | ||
|---|---|---|---|---|
| Freundlich model | ||||
| R2 | 0.8015 | 0.9449 | 0.9818 | |
| KF | (mg1−1/n·(L)1/n/g) | 8.672 | 4.035 | 9.072 |
| n | (-) | 1.406 | 2.554 | 2.209 |
| Langmuir model | ||||
| R2 | 0.9695 | 0.9763 | 0.9845 | |
| qmax | (mg/g) | 6.562 | 5.187 | 8.100 |
| b | (L/mg) | 6.713 | 4.392 | 8.259 |
| Matrix | Adsorbent Mass (mg) | Initial Conc (mg/L) | OF-G | OF-M | OF-U |
|---|---|---|---|---|---|
| DI | 25–75 | 4.22 | 74.1–97.4 | 60.5-94.9 | 91.0–98.2 |
| S | 25–75 | 4.31 | 71.9–96.0 | 58.7-92.0 | 85.3–97.5 |
| N1 | 75–100 | 2.02 | 98.9–99.3 | 99.0-99.4 | 99.6-–99.9 |
| CW3 | 75–100 | 2.72 | 98.8–99.3 | 98.8-99.3 | 99.8–99.9 |
| Matrix | n | OF-G | OF-M | OF-U | |
|---|---|---|---|---|---|
| DI | 3 | 4.303 | 1.02 ± 0.10 | 1.04 ± 0.13 | 1.03 ± 0.15 |
| S | 3 | 4.303 | 1.00 ± 0.10 | 1.00 ± 0.19 | 1.01 ± 0.08 |
| N1 | 4 | 3.182 | 1.01 ± 0.01 | 1.02 ± 0.01 | 1.01 ± 0.01 |
| CW3 | 4 | 3.182 | 1.01 ± 0.01 | 1.04 ± 0.01 | 1.01 ± 0.01 |
| Parameter | Units | OF-G1bis | OF-G1 | OF-U1 |
|---|---|---|---|---|
| Initial V | (L) | 1.5 | 1.5 | 1.5 |
| m | (g) | 1.5 | 0.75 | 1.5 |
| qo | (mg/g) | 0 | 0 | 0 |
| N | Exp. points | 19 | 7 | 16 |
| qe Langmuir | (mg/g) | 3.767 | 3.858 | 4.443 |
| qmax Langmuir | (mg/g) | 6.562 | 6.562 | 8.100 |
| qmax ratio | (-) | 1 | 1 | 1.23 |
| Pseudo second-order (nonlinear) | ||||
| qe | (mg/g) | 3.932 | 3.587 | 4.337 |
| k2 | (g/mg.h) | 0.0233 | 0.0612 | 0.793 |
| k2 ratio | (-) | 1 | 2.63 | 34.03 |
Publisher’s Note: MDPI stays neutral with regard to jurisdictional claims in published maps and institutional affiliations. |
© 2022 by the authors. Licensee MDPI, Basel, Switzerland. This article is an open access article distributed under the terms and conditions of the Creative Commons Attribution (CC BY) license (https://creativecommons.org/licenses/by/4.0/).
Share and Cite
Martí, V.; Jubany, I.; Fernández-Rojo, L.; Ribas, D.; Benito, J.A.; Diéguez, B.; Ginesta, A. Improvement of As(V) Adsorption by Reduction of Granular to Micro-Sized Ferric Hydroxide. Processes 2022, 10, 1029. https://doi.org/10.3390/pr10051029
Martí V, Jubany I, Fernández-Rojo L, Ribas D, Benito JA, Diéguez B, Ginesta A. Improvement of As(V) Adsorption by Reduction of Granular to Micro-Sized Ferric Hydroxide. Processes. 2022; 10(5):1029. https://doi.org/10.3390/pr10051029
Chicago/Turabian StyleMartí, Vicenç, Irene Jubany, Lidia Fernández-Rojo, David Ribas, José Antonio Benito, Brian Diéguez, and Ada Ginesta. 2022. "Improvement of As(V) Adsorption by Reduction of Granular to Micro-Sized Ferric Hydroxide" Processes 10, no. 5: 1029. https://doi.org/10.3390/pr10051029
APA StyleMartí, V., Jubany, I., Fernández-Rojo, L., Ribas, D., Benito, J. A., Diéguez, B., & Ginesta, A. (2022). Improvement of As(V) Adsorption by Reduction of Granular to Micro-Sized Ferric Hydroxide. Processes, 10(5), 1029. https://doi.org/10.3390/pr10051029

