Improved Foods Using Enzymes from Basidiomycetes
Abstract
:1. Introduction
2. Progress in Fermentation Processes
3. Processes Benefit from Deeper Genetic Knowledge
4. Lipolytic Processes
5. Esterolytic Processes
6. Glycolytic Processes
7. Peptidolytic Processes
8. Redox Processes
9. Formation and Degradation of Colourants
10. Formation and Degradation of Food Components
11. Formation of Volatile Flavours
12. Formation of Non-Volatile Flavours
13. Outlook
Supplementary Materials
Author Contributions
Funding
Acknowledgments
Conflicts of Interest
References
- Nurk, S.; Koren, S.; Rhie, A.; Rautiainen, M.; Bzikadze Andrey, V.; Mikheenko, A.; Vollger Mitchell, R.; Altemose, N.; Uralsky, L.; Gershman, A.; et al. The complete sequence of a human genome. Science 2022, 376, 44–53. [Google Scholar] [CrossRef] [PubMed]
 - Nordberg, H.; Cantor, M.; Dusheyko, S.; Hua, S.; Poliakov, A.; Shabalov, I.; Smirnova, T.; Grigoriev, I.V.; Dubchak, I. Basidiomycota. Available online: https://mycocosm.jgi.doe.gov/basidiomycota/basidiomycota.info.html (accessed on 8 March 2022).
 - Nordberg, H.; Cantor, M.; Dusheyko, S.; Hua, S.; Poliakov, A.; Shabalov, I.; Smirnova, T.; Grigoriev, I.V.; Dubchak, I. The genome portal of the Department of Energy Joint Genome Institute: 2014 updates. Nucleic Acids Res. 2014, 42, D26–D31. [Google Scholar] [CrossRef] [PubMed]
 - Arntzen, M.; Bengtsson, O.; Várnai, A.; Delogu, F.; Mathiesen, G.; Eijsink, V.G.H. Quantitative comparison of the biomass-degrading enzyme repertoires of five filamentous fungi. Sci. Rep. 2020, 10, 20267. [Google Scholar] [CrossRef] [PubMed]
 - Coconi Linares, N.; Fernández, F.; Loske, A.M.; Gómez-Lim, M.A. Enhanced Delignification of Lignocellulosic Biomass by Recombinant Fungus Phanerochaete chrysosporium Overexpressing Laccases and Peroxidases. J. Mol. Microbiol. Biotechnol. 2018, 28, 1–13. [Google Scholar] [CrossRef]
 - Xu, L.; Chen, B.; Geng, X.; Feng, C.; Meng, J.; Chang, M. A protease-resistant α-galactosidase characterized by relatively acid pH tolerance from the Shitake Mushroom Lentinula edodes. Int. J. Biol. Macromol. 2019, 128, 324–330. [Google Scholar] [CrossRef] [PubMed]
 - Lanfermann, I.; Linke, D.; Nimtz, M.; Berger, R.G. Manganese peroxidases from Ganoderma applanatum degrade beta-carotene under alkaline conditions. Appl. Biochem. Biotechnol. 2015, 175, 3800–3812. [Google Scholar] [CrossRef]
 - Yin, L.; Ye, J.; Kuang, S.; Guan, Y.; You, R. Induction, purification, and characterization of a thermo and pH stable laccase from Abortiporus biennis J2 and its application on the clarification of litchi juice. Biosci. Biotechnol. Biochem. 2017, 81, 1033–1040. [Google Scholar] [CrossRef] [Green Version]
 - Hu, Y.; Tian, G.; Zhao, L.; Wang, H.; Ng, T.B. A protease-resistant α-galactosidase from Pleurotus djamor with broad pH stability and good hydrolytic activity toward raffinose family oligosaccharides. Int. J. Biol. Macromol. 2017, 94, 122–130. [Google Scholar] [CrossRef] [PubMed]
 - Hu, Y.; Zhu, M.; Tian, G.; Zhao, L.; Wang, H.; Ng, T.B. Isolation of a protease-resistant and pH-stable α-galactosidase displaying hydrolytic efficacy toward raffinose family oligosaccharides from the button mushroom Agaricus bisporus. Int. J. Biol. Macromol. 2017, 104, 576–583. [Google Scholar] [CrossRef]
 - Soccol, C.R.; Costa, E.S.F.d.; Letti, L.A.J.; Karp, S.G.; Woiciechowski, A.L.; Vandenberghe, L.P.d.S. Recent developments and innovations in solid state fermentation. Biotechnol. Res. Innov. 2017, 1, 52–71. [Google Scholar] [CrossRef]
 - Marco Antonio, G.Z.; Angélica Julieta, A.R.; Esperanza, R.C.; Gerardo, B.; Gerardo, D.G.; Edson Baltazar, E.A. Evaluation of Ficus benjamina wood chip-based fungal biofiltration for the treatment of Tequila vinasses. Water Sci. Technol. 2018, 77, 1449–1459. [Google Scholar] [CrossRef] [PubMed] [Green Version]
 - Loi, M.; Glazunova, O.; Fedorova, T.; Logrieco, A.F.; Mulè, G. Fungal Laccases: The Forefront of Enzymes for Sustainability. J. Fungi 2021, 7, 1048. [Google Scholar] [CrossRef] [PubMed]
 - Tišma, M.; Žnidaršič-Plazl, P.; Šelo, G.; Tolj, I.; Šperanda, M.; Bucić-Kojić, A.; Planinić, M. Trametes versicolor in lignocellulose-based bioeconomy: State of the art, challenges and opportunities. Bioresour. Technol. 2021, 330, 124997. [Google Scholar] [CrossRef] [PubMed]
 - Omarini, A.; Dambolena, J.S.; Lucini, E.; Jaramillo Mejía, S.; Albertó, E.; Zygadlo, J.A. Biotransformation of 1,8-cineole by solid-state fermentation of Eucalyptus waste from the essential oil industry using Pleurotus ostreatus and Favolus tenuiculus. Folia Microbiol. 2016, 61, 149–157. [Google Scholar] [CrossRef]
 - Behrens, C.J.; Zelena, K.; Berger, R.G. Comparative Cold Shock Expression and Characterization of Fungal Dye-Decolorizing Peroxidases. Appl. Biochem. Biotechnol. 2016, 179, 1404–1417. [Google Scholar] [CrossRef]
 - Zhou, J.; Bai, Y.; Dai, R.; Guo, X.; Liu, Z.H.; Yuan, S. Improved Polysaccharide Production by Homologous Co-overexpression of Phosphoglucomutase and UDP Glucose Pyrophosphorylase Genes in the Mushroom Coprinopsis cinerea. J. Agric. Food Chem. 2018, 66, 4702–4709. [Google Scholar] [CrossRef]
 - Zelena, K.; Eisele, N.; Berger, R.G. Escherichia coli as a production host for novel enzymes from basidiomycota. Biotechnol. Adv. 2014, 32, 1382–1395. [Google Scholar] [CrossRef]
 - Behrens, C.J.; Linke, D.; Allister, A.B.; Zelena, K.; Berger, R.G. Variants of PpuLcc, a multi-dye decolorizing laccase from Pleurotus pulmonarius expressed in Pichia pastoris. Protein Expr. Purif. 2017, 137, 34–42. [Google Scholar] [CrossRef]
 - Wang, L.; Huang, W.; Shen, Y.; Zhao, Y.; Wu, D.; Yin, H.; Yang, S.; Yuan, Q.; Liang, W.; Wang, J. Enhancing the degradation of Aflatoxin B(1) by co-cultivation of two fungi strains with the improved production of detoxifying enzymes. Food Chem. 2022, 371, 131092. [Google Scholar] [CrossRef]
 - Xu, X.; Qu, R.; Wu, W.; Jiang, C.; Shao, D.; Shi, J. Applications of microbial co-cultures in polyketides production. J. Appl. Microbiol. 2021, 130, 1023–1034. [Google Scholar] [CrossRef]
 - Oda, S. Microbial transformation of water-insoluble substrates by two types of novel interface bioprocesses, tacky liquid-liquid interface bioreactor and non-aqueous sporular bioconversion system. World J. Microbiol. Biotechnol. 2020, 36, 57. [Google Scholar] [CrossRef] [PubMed]
 - Kupčík, R.; Zelená, M.; Řehulka, P.; Bílková, Z.; Česlová, L. Selective isolation of hydrophobin SC3 by solid-phase extraction with polytetrafluoroethylene microparticles and subsequent mass spectrometric analysis. J. Sep. Sci. 2016, 39, 717–724. [Google Scholar] [CrossRef] [PubMed]
 - Tao, T.L.; Cui, F.J.; Chen, X.X.; Sun, W.J.; Huang, D.M.; Zhang, J.; Yang, Y.; Wu, D.; Liu, W.M. Improved mycelia and polysaccharide production of Grifola frondosa by controlling morphology with microparticle Talc. Microb. Cell Fact. 2018, 17, 1. [Google Scholar] [CrossRef] [PubMed]
 - Karahalil, E.; Coban, H.B.; Turhan, I. A current approach to the control of filamentous fungal growth in media: Microparticle enhanced cultivation technique. Crit. Rev. Biotechnol. 2019, 39, 192–201. [Google Scholar] [CrossRef]
 - Ramírez, D.A.; Muñoz, S.V.; Atehortua, L.; Michel, F.C., Jr. Effects of different wavelengths of light on lignin peroxidase production by the white-rot fungi Phanerochaete chrysosporium grown in submerged cultures. Bioresour. Technol. 2010, 101, 9213–9220. [Google Scholar] [CrossRef]
 - Shim, D.; Park, S.G.; Kim, K.; Bae, W.; Lee, G.W.; Ha, B.S.; Ro, H.S.; Kim, M.; Ryoo, R.; Rhee, S.K.; et al. Whole genome de novo sequencing and genome annotation of the world popular cultivated edible mushroom, Lentinula edodes. J. Biotechnol. 2016, 223, 24–25. [Google Scholar] [CrossRef]
 - Zhang, Z.; Shah, A.M.; Mohamed, H.; Zhang, Y.; Tsiklauri, N.; Song, Y. Genomic Studies of White-Rot Fungus Cerrena unicolor SP02 Provide Insights into Food Safety Value-Added Utilization of Non-Food Lignocellulosic Biomass. J. Fungi 2021, 7, 835. [Google Scholar] [CrossRef]
 - Luo, H.; Qian, J.; Xu, Z.; Liu, W.; Xu, L.; Li, Y.; Xu, J.; Zhang, J.; Xu, X.; Liu, C.; et al. The Wolfiporia cocos Genome and Transcriptome Shed Light on the Formation of Its Edible and Medicinal Sclerotium. Genom. Proteom. Bioinform. 2020, 18, 455–467. [Google Scholar] [CrossRef]
 - Dilokpimol, A.; Mäkelä, M.R.; Varriale, S.; Zhou, M.; Cerullo, G.; Gidijala, L.; Hinkka, H.; Brás, J.L.A.; Jütten, P.; Piechot, A.; et al. Fungal feruloyl esterases: Functional validation of genome mining based enzyme discovery including uncharacterized subfamilies. N. Biotechnol. 2018, 41, 9–14. [Google Scholar] [CrossRef] [Green Version]
 - Zhang, C.; Chen, X.; Lee, R.T.C.; Maurer-Stroh, S.; Rühl, M. Bioinformatics-aided identification, characterization and applications of mushroom linalool synthases. Commun. Biol. 2021, 4, 223. [Google Scholar] [CrossRef]
 - Lin, Y.L.; Ma, L.T.; Lee, Y.R.; Shaw, J.F.; Wang, S.Y.; Chu, F.H. Differential Gene Expression Network in Terpenoid Synthesis of Antrodia cinnamomea in Mycelia and Fruiting Bodies. J. Agric. Food Chem. 2017, 65, 1874–1886. [Google Scholar] [CrossRef] [PubMed]
 - Peng, M.; Aguilar-Pontes, M.V.; Hainaut, M.; Henrissat, B.; Hildén, K.; Mäkelä, M.R.; de Vries, R.P. Comparative analysis of basidiomycete transcriptomes reveals a core set of expressed genes encoding plant biomass degrading enzymes. Fungal Genet. Biol. 2018, 112, 40–46. [Google Scholar] [CrossRef] [PubMed]
 - Orban, A.; Weber, A.; Herzog, R.; Hennicke, F.; Rühl, M. Transcriptome of different fruiting stages in the cultivated mushroom Cyclocybe aegerita suggests a complex regulation of fruiting and reveals enzymes putatively involved in fungal oxylipin biosynthesis. BMC Genom. 2021, 22, 324. [Google Scholar] [CrossRef] [PubMed]
 - Krahe, N.-K.; Berger, R.G.; Witt, M.; Zorn, H.; Omarini, A.B.; Ersoy, F. Monokaryotic Pleurotus sapidus Strains with Intraspecific Variability of an Alkene Cleaving DyP-Type Peroxidase Activity as a Result of Gene Mutation and Differential Gene Expression. Int. J. Mol. Sci. 2021, 22, 1363. [Google Scholar] [CrossRef] [PubMed]
 - Linke, D.; Omarini, A.B.; Takenberg, M.; Kelle, S.; Berger, R.G. Long-Term Monokaryotic Cultures of Pleurotus ostreatus var. florida Produce High and Stable Laccase Activity Capable to Degrade ss-Carotene. Appl. Biochem. Biotechnol. 2019, 187, 894–912. [Google Scholar] [CrossRef]
 - Mehta, A.; Guleria, S.; Sharma, R.; Gupta, R. The lipases and their applications with emphasis on food industry. In Microbial Biotechnology in Food and Health; Ray, R.C., Ed.; Academic Press: Cambridge, MA, USA, 2021; pp. 143–164. [Google Scholar]
 - Rehman, S.; Bhatti, H.N.; Bilal, M.; Asgher, M. Optimization of process variables for enhanced production of extracellular lipase by Pleurotus ostreatus IBL-02 in solid-state fermentation. Pak. J. Pharm. Sci. 2019, 32, 617–624. [Google Scholar]
 - Lan, D.; Popowicz, G.M.; Pavlidis, I.V.; Zhou, P.; Bornscheuer, U.T.; Wang, Y. Conversion of a Mono- and Diacylglycerol Lipase into a Triacylglycerol Lipase by Protein Engineering. Chembiochem 2015, 16, 1431–1434. [Google Scholar] [CrossRef]
 - Nieter, A.; Haase-Aschoff, P.; Kelle, S.; Linke, D.; Krings, U.; Popper, L.; Berger, R.G. A chlorogenic acid esterase with a unique substrate specificity from Ustilago maydis. Appl. Environ. Microbiol. 2015, 81, 1679–1688. [Google Scholar] [CrossRef] [Green Version]
 - Nieter, A.; Kelle, S.; Takenberg, M.; Linke, D.; Bunzel, M.; Popper, L.; Berger, R.G. Heterologous production and characterization of a chlorogenic acid esterase from Ustilago maydis with a potential use in baking. Food Chem. 2016, 209, 1–9. [Google Scholar] [CrossRef]
 - Nieter, A.; Kelle, S.; Linke, D.; Berger, R.G. Feruloyl esterases from Schizophyllum commune to treat food industry side-streams. Bioresour. Technol. 2016, 220, 38–46. [Google Scholar] [CrossRef]
 - Siebert, M.; Krings, U.; Gunther, T.; Fragalas, A.; Berger, R.G. Enzymatic hydrolysis of kaempferol 3-O-(2″″-O-sinapoyl-beta-sophoroside), the key bitter compound of rapeseed (Brassica napus L.) protein isolate. J. Sci. Food Agric. 2021, 102, 2179–2182. [Google Scholar] [CrossRef] [PubMed]
 - Siebert, M.; Berger, R.G.; Nieter, A. Enzymatic mitigation of 5-O-chlorogenic acid for an improved digestibility of coffee. Food Chem. 2018, 258, 124–128. [Google Scholar] [CrossRef] [PubMed]
 - Siebert, M.; Berger, R.G.; Pfeiffer, F. Hydrolysis of chlorogenic acid in apple juice using a p-coumaryl esterase of Rhizoctonia solani. J. Sci. Food Agric. 2019, 99, 6644–6648. [Google Scholar] [CrossRef] [Green Version]
 - Esparan, V.; Krings, U.; Struch, M.; Berger, R.G. A three-enzyme-system to degrade curcumin to natural vanillin. Molecules 2015, 20, 6640–6653. [Google Scholar] [CrossRef] [PubMed] [Green Version]
 - Krahe, N.K.; Berger, R.G.; Kahlert, L.; Ersoy, F. Co-Oxidative Transformation of Piperine to Piperonal and 3,4-Methylenedioxycinnamaldehyde by a Lipoxygenase from Pleurotus sapidus. Chembiochem 2021, 22, 2857–2861. [Google Scholar] [CrossRef]
 - Spier, M.R.; Behsnilian, D.; Zielinski, A.; Konietzny, U.; Greiner, R. Studies towards the stabilisation of a mushroom phytase produced by submerged cultivation. Protein J. 2015, 34, 367–379. [Google Scholar] [CrossRef] [PubMed]
 - Spier, M.R.; Siepmann, F.B.; Staack, L.; Souza, P.Z.; Kumar, V.; Medeiros, A.B.; Soccol, C.R. Impact of microbial growth inhibition and proteolytic activity on the stability of a new formulation containing a phytate-degrading enzyme obtained from mushroom. Prep. Biochem. Biotechnol. 2016, 46, 725–733. [Google Scholar] [CrossRef] [PubMed]
 - Tatsumi, E.; Konishi, Y.; Tsujiyama, S. Application of residual polysaccharide-degrading enzymes in dried shiitake mushrooms as an enzyme preparation in food processing. Biotechnol. Lett. 2016, 38, 1923–1928. [Google Scholar] [CrossRef]
 - Guo, Y.; Song, Y.; Qiu, Y.; Shao, X.; Wang, H.; Song, Y. Purification of thermostable α-galactosidase from Irpex lacteus and its use for hydrolysis of oligosaccharides. J. Basic Microbiol. 2016, 56, 448–458. [Google Scholar] [CrossRef]
 - Jang, J.M.; Yang, Y.; Wang, R.; Bao, H.; Yuan, H.; Yang, J. Characterization of a high performance α-galactosidase from Irpex lacteus and its usage in removal of raffinose family oligosaccharides from soymilk. Int. J. Biol. Macromol. 2019, 131, 1138–1146. [Google Scholar] [CrossRef]
 - Geng, X.; Fan, J.; Xu, L.; Wang, H.; Ng, T.B. Hydrolysis of oligosaccharides by a fungal α-galactosidase from fruiting bodies of a wild mushroom Leucopaxillus tricolor. J. Basic Microbiol. 2018, 58, 1043–1052. [Google Scholar] [CrossRef] [PubMed]
 - Geng, X.; Yang, D.; Zhang, Q.; Chang, M.; Xu, L.; Cheng, Y.; Wang, H.; Meng, J. Good hydrolysis activity on raffinose family oligosaccharides by a novel α-galactosidase from Tremella aurantialba. Int. J. Biol. Macromol. 2020, 150, 1249–1257. [Google Scholar] [CrossRef] [PubMed]
 - Omrane Benmrad, M.; Mechri, S.; Zaraî Jaouadi, N.; Ben Elhoul, M.; Rekik, H.; Sayadi, S.; Bejar, S.; Kechaou, N.; Jaouadi, B. Purification and biochemical characterization of a novel thermostable protease from the oyster mushroom Pleurotus sajor-caju strain CTM10057 with industrial interest. BMC Biotechnol. 2019, 19, 43. [Google Scholar] [CrossRef] [PubMed]
 - da Silva, R.R.; de Oliveira, L.C.; Juliano, M.A.; Juliano, L.; de Oliveira, A.H.; Rosa, J.C.; Cabral, H. Biochemical and milk-clotting properties and mapping of catalytic subsites of an extracellular aspartic peptidase from basidiomycete fungus Phanerochaete chrysosporium. Food Chem. 2017, 225, 45–54. [Google Scholar] [CrossRef] [PubMed]
 - Majumder, R.; Banik, S.P.; Khowala, S. Purification and characterisation of κ-casein specific milk-clotting metalloprotease from Termitomyces clypeatus MTCC 5091. Food Chem. 2015, 173, 441–448. [Google Scholar] [CrossRef] [PubMed]
 - Schulz, K.; Giesler, L.; Linke, D.; Berger, R.G. A prolyl endopeptidase from Flammulina velutipes for the possible degradation of celiac disease provoking toxic peptides in cereal proteins. Process Biochem. 2018, 73, 47–55. [Google Scholar] [CrossRef]
 - Lee, K.H.; Kim, H.K.; Kim, S.H.; Kim, K.H.; Choi, Y.M.; Jin, H.H.; Lee, S.J.; Ryu, Y.C. Effects of mushroom extract on textural properties and muscle protein degradation of bovine longissimus dorsi muscle. Biosci. Biotechnol. Biochem. 2017, 81, 558–564. [Google Scholar] [CrossRef] [Green Version]
 - Biko, O.D.V.; Viljoen-Bloom, M.; van Zyl, W.H. Microbial lignin peroxidases: Applications, production challenges and future perspectives. Enzyme Microb. Technol. 2020, 141, 109669. [Google Scholar] [CrossRef]
 - Knop, D.; Yarden, O.; Hadar, Y. The ligninolytic peroxidases in the genus Pleurotus: Divergence in activities, expression, and potential applications. Appl. Microbiol. Biotechnol. 2015, 99, 1025–1038. [Google Scholar] [CrossRef]
 - Imami, A.; Riemer, S.; Schulze, M.; Amelung, F.; Gorshkov, V.; Rühl, M.; Ammenn, J.; Zorn, H. Depolymerization of lignosulfonates by submerged cultures of the basidiomycete Irpex consors and cloning of a putative versatile peroxidase. Enzyme Microb. Technol. 2015, 81, 8–15. [Google Scholar] [CrossRef]
 - Upadhyay, P.; Shrivastava, R.; Agrawal, P.K. Bioprospecting and biotechnological applications of fungal laccase. 3 Biotech 2016, 6, 15. [Google Scholar] [CrossRef] [PubMed] [Green Version]
 - Patel, N.; Shahane, S.; Shivam; Majumdar, R.; Mishra, U. Mode of Action, Properties, Production, and Application of Laccase: A Review. Recent Pat. Biotechnol. 2019, 13, 19–32. [Google Scholar] [CrossRef] [PubMed]
 - Martínková, L.; Kotik, M.; Marková, E.; Homolka, L. Biodegradation of phenolic compounds by Basidiomycota and its phenol oxidases: A review. Chemosphere 2016, 149, 373–382. [Google Scholar] [CrossRef] [PubMed]
 - Taghizadeh, T.; Talebian-Kiakalaieh, A.; Jahandar, H.; Amin, M.; Tarighi, S.; Faramarzi, M.A. Biodegradation of bisphenol A by the immobilized laccase on some synthesized and modified forms of zeolite Y. J. Hazard. Mater. 2020, 386, 121950. [Google Scholar] [CrossRef]
 - Mayans, B.; Camacho-Arévalo, R.; García-Delgado, C.; Antón-Herrero, R.; Escolástico, C.; Segura, M.L.; Eymar, E. An assessment of Pleurotus ostreatus to remove sulfonamides, and its role as a biofilter based on its own spent mushroom substrate. Environ Sci. Pollut. Res. Int. 2021, 28, 7032–7042. [Google Scholar] [CrossRef]
 - García-Delgado, C.; Yunta, F.; Eymar, E. Bioremediation of multi-polluted soil by spent mushroom (Agaricus bisporus) substrate: Polycyclic aromatic hydrocarbons degradation and Pb availability. J. Hazard. Mater. 2015, 300, 281–288. [Google Scholar] [CrossRef]
 - Zhang, C.; Li, M.; Chen, X.; Li, M. Edible fungus degrade bisphenol A with no harmful effect on its fatty acid composition. Ecotoxicol. Environ. Saf. 2015, 118, 126–132. [Google Scholar] [CrossRef]
 - Zhou, Z.; Li, R.; Ng, T.B.; Lai, Y.; Yang, J.; Ye, X. A New Laccase of Lac 2 from the White Rot Fungus Cerrena unicolor 6884 and Lac 2-Mediated Degradation of Aflatoxin B(1). Toxins 2020, 12, 476. [Google Scholar] [CrossRef]
 - Branà, M.T.; Sergio, L.; Haidukowski, M.; Logrieco, A.F.; Altomare, C. Degradation of Aflatoxin B(1) by a Sustainable Enzymatic Extract from Spent Mushroom Substrate of Pleurotus eryngii. Toxins 2020, 12, 49. [Google Scholar] [CrossRef] [Green Version]
 - Liu, Y.; Mao, H.; Woldemariam Yohannes, K.; Wan, Z.; Cao, Y.; Tron, T.; Lin, J.; Jiang, Y.; Li, H.; Wang, J. Degradation of aflatoxin B(1) by a recombinant laccase from Trametes sp. C30 expressed in Saccharomyces cerevisiae: A mechanism assessment study in vitro and in vivo. Food Res. Int. 2021, 145, 110418. [Google Scholar] [CrossRef]
 - Yang, P.; Xiao, W.; Lu, S.; Jiang, S.; Zheng, Z.; Zhang, D.; Zhang, M.; Jiang, S.; Jiang, S. Recombinant Expression of Trametes versicolor Aflatoxin B(1)-Degrading Enzyme (TV-AFB(1)D) in Engineering Pichia pastoris GS115 and Application in AFB(1) Degradation in AFB(1)-Contaminated Peanuts. Toxins 2021, 13, 349. [Google Scholar] [CrossRef] [PubMed]
 - Tso, K.H.; Lumsangkul, C.; Ju, J.C.; Fan, Y.K.; Chiang, H.I. The Potential of Peroxidases Extracted from the Spent Mushroom (Flammulina velutipes) Substrate Significantly Degrade Mycotoxin Deoxynivalenol. Toxins 2021, 13, 72. [Google Scholar] [CrossRef] [PubMed]
 - Wang, X.; Bai, Y.; Huang, H.; Tu, T.; Wang, Y.; Wang, Y.; Luo, H.; Yao, B.; Su, X. Degradation of Aflatoxin B(1) and Zearalenone by Bacterial and Fungal Laccases in Presence of Structurally Defined Chemicals and Complex Natural Mediators. Toxins 2019, 11, 609. [Google Scholar] [CrossRef] [Green Version]
 - Khalighi, S.; Berger, R.G.; Ersoy, F. Cross-linking of fibrex gel by fungal laccase: Gel rheological and structural characteristics. Processes 2020, 8, 16. [Google Scholar] [CrossRef] [Green Version]
 - Khalighi, S.; Berger, R.G.; Ersoy, F. Cross-linking of wheat bran arabinoxylan by fungal laccases yields firm gels. Processes 2020, 8, 36. [Google Scholar] [CrossRef] [Green Version]
 - Kelle, S.; Nieter, A.; Krings, U.; Zelena, K.; Linke, D.; Berger, R.G. Heterologous production of a feruloyl esterase from Pleurotus sapidus synthesizing feruloyl-saccharide esters. Biotechnol. Appl. Biochem. 2016, 63, 852–862. [Google Scholar] [CrossRef]
 - Tian, Q.; Feng, Y.; Huang, H.; Zhang, J.; Yu, Y.; Guan, Z.; Cai, Y.; Liao, X. Production of lactobionic acid from lactose using the cellobiose dehydrogenase-3-HAA-laccase system from Pycnoporus sp. SYBC-L10. Lett. Appl. Microbiol. 2018, 67, 589–597. [Google Scholar] [CrossRef]
 - Szweda, R.T.; Schmidt, K.; Zorn, H. Bleaching of colored whey and milk by a multiple-enzyme system. Eur. Food Res. Technol. 2013, 237, 377–384. [Google Scholar] [CrossRef]
 - Kahraman, S.; Yeşilada, O. Decolorization and bioremediation of molasses wastewater by white-rot fungi in a semi-solid-state condition. Folia Microbiol. 2003, 48, 525–528. [Google Scholar] [CrossRef]
 - Rodríguez Couto, S.; Toca Herrera, J.L. Industrial and biotechnological applications of laccases: A review. Biotechnol. Adv. 2006, 24, 500–513. [Google Scholar] [CrossRef]
 - Meruvu, H.; Dos Santos, J.C. Colors of life: A review on fungal pigments. Crit. Rev. Biotechnol. 2021, 41, 1153–1177. [Google Scholar] [CrossRef] [PubMed]
 - Zschätzsch, M.; Steudler, S.; Reinhardt, O.; Bergmann, P.; Ersoy, F.; Stange, S.; Wagenführ, A.; Walther, T.; Berger, R.G.; Werner, A. Production of natural colorants by liquid fermentation with Chlorociboria aeruginascens and Laetiporus sulphureus and prospective applications. Eng. Life Sci. 2021, 21, 270–282. [Google Scholar] [CrossRef] [PubMed]
 - Verloop, A.J.; Gruppen, H.; Bisschop, R.; Vincken, J.P. Altering the phenolics profile of a green tea leaves extract using exogenous oxidases. Food Chem. 2016, 196, 1197–1206. [Google Scholar] [CrossRef] [PubMed]
 - Narai-Kanayama, A.; Uekusa, Y.; Kiuchi, F.; Nakayama, T. Efficient Synthesis of Theaflavin 3-Gallate by a Tyrosinase-Catalyzed Reaction with (-)-Epicatechin and (-)-Epigallocatechin Gallate in a 1-Octanol/Buffer Biphasic System. J. Agric. Food Chem. 2018, 66, 13464–13472. [Google Scholar] [CrossRef] [PubMed]
 - Lin, W.; Jia, G.; Sun, H.; Sun, T.; Hou, D. Genome sequence of the fungus Pycnoporus sanguineus, which produces cinnabarinic acid and pH- and thermo-stable laccases. Gene 2020, 742, 144586. [Google Scholar] [CrossRef] [PubMed]
 - Marim, R.A.; Oliveira, A.C.; Marquezoni, R.S.; Servantes, J.P.; Cardoso, B.K.; Linde, G.A.; Colauto, N.B.; Valle, J.S. Use of sugarcane molasses by Pycnoporus sanguineus for the production of laccase for dye decolorization. Genet Mol. Res. 2016, 15, gmr15048972. [Google Scholar] [CrossRef] [PubMed]
 - Detering, T.; Berger, R.G. Formation of 2,6-DMBQ in anthocyanin-rich foods. LWT 2020, 134, 110178. [Google Scholar] [CrossRef]
 - Behrens, C.J.; Krahe, N.K.; Linke, D.; Berger, R.G. BadGluc, a beta-glucosidase from Bjerkandera adusta with anthocyanase properties. Bioprocess Biosyst. Eng. 2018, 41, 1391–1401. [Google Scholar] [CrossRef]
 - Knop, D.; Levinson, D.; Makovitzki, A.; Agami, A.; Lerer, E.; Mimran, A.; Yarden, O.; Hadar, Y. Limits of Versatility of Versatile Peroxidase. Appl. Environ. Microbiol. 2016, 82, 4070–4080. [Google Scholar] [CrossRef] [Green Version]
 - Korniłłowicz-Kowalska, T.; Rybczyńska-Tkaczyk, K. Decolorization and biodegradation of melanoidin contained in beet molasses by an anamorphic strain of Bjerkandera adusta CCBAS930 and its mutants. World J. Microbiol. Biotechnol. 2020, 37, 1. [Google Scholar] [CrossRef]
 - Urlacher, V.B.; Koschorreck, K. Pecularities and applications of aryl-alcohol oxidases from fungi. Appl. Microbiol. Biotechnol. 2021, 105, 4111–4126. [Google Scholar] [CrossRef] [PubMed]
 - Serrano, A.; Carro, J.; Martínez, A.T. Reaction mechanisms and applications of aryl-alcohol oxidase. Enzymes 2020, 47, 167–192. [Google Scholar] [CrossRef] [PubMed]
 - Viña-Gonzalez, J.; Martinez, A.T.; Guallar, V.; Alcalde, M. Sequential oxidation of 5-hydroxymethylfurfural to furan-2,5-dicarboxylic acid by an evolved aryl-alcohol oxidase. Biochim. Biophys. Acta Proteins Proteom. 2020, 1868, 140293. [Google Scholar] [CrossRef] [PubMed]
 - Galperin, I.; Javeed, A.; Luig, H.; Lochnit, G.; Rühl, M. An aryl-alcohol oxidase of Pleurotus sapidus: Heterologous expression, characterization, and application in a 2-enzyme system. Appl. Microbiol. Biotechnol. 2016, 100, 8021–8030. [Google Scholar] [CrossRef]
 - Wang, Q.; Wang, F.; Xu, Z.; Ding, Z. Bioactive Mushroom Polysaccharides: A Review on Monosaccharide Composition, Biosynthesis and Regulation. Molecules 2017, 22, 955. [Google Scholar] [CrossRef] [Green Version]
 - Castañeda, M.T.; Adachi, O.; Hours, R.A. Reduction of L-phenylalanine in protein hydrolysates using L-phenylalanine ammonia-lyase from Rhodosporidium toruloides. J. Ind. Microbiol. Biotechnol. 2015, 42, 1299–1307. [Google Scholar] [CrossRef]
 - Chakraborty, M.; Shivakumar, S. Bioprospecting of the agaricomycete Ganoderma australe GPC191 as novel source for L-asparaginase production. Sci. Rep. 2021, 11, 6192. [Google Scholar] [CrossRef]
 - Bel-Rhlid, R.; Berger, R.G.; Blank, I. Bio-mediated generation of food flavors—Towards sustainable flavor production inspired by nature. Trends Food Sci. Technol. 2018, 78, 134–143. [Google Scholar] [CrossRef]
 - Krahe, N.K.; Berger, R.G.; Ersoy, F. A DyP-type peroxidase of pleurotus sapidus with alkene cleaving activity. Molecules 2020, 25, 1536. [Google Scholar] [CrossRef] [Green Version]
 - Li, W.; Wang, J.; Chen, W.; Yang, Y.; Zhang, J.; Feng, J.; Yu, H.; Li, Q. Analysis of volatile compounds of Lentinula edodes grown in different culture substrate formulations. Food Res. Int. 2019, 125, 108517. [Google Scholar] [CrossRef]
 - Wang, Y.; Yang, Z.; Chen, X.; Han, D.; Han, J.; Wang, L.; Ren, A.; Yu, H.; Zhao, M. Lenthionine, a Key Flavor Substance in Lentinula edodes, Is Regulated by Cysteine under Drought Stress. J. Agric. Food Chem. 2021, 69, 12645–12653. [Google Scholar] [CrossRef] [PubMed]
 - Li, W.; Chen, W.C.; Wang, J.B.; Feng, J.; Wu, D.; Zhang, Z.; Zhang, J.S.; Yang, Y. Screening candidate genes related to volatile synthesis in shiitake mushrooms and construction of regulatory networks to effectively improve mushroom aroma. J. Sci. Food Agric. 2021, 101, 5618–5626. [Google Scholar] [CrossRef] [PubMed]
 - Zhang, C.; Chen, X.; Orban, A.; Shukal, S.; Birk, F.; Too, H.P.; Rühl, M. Agrocybe aegerita Serves As a Gateway for Identifying Sesquiterpene Biosynthetic Enzymes in Higher Fungi. ACS Chem. Biol. 2020, 15, 1268–1277. [Google Scholar] [CrossRef] [PubMed]
 - Mischko, W.; Hirte, M.; Fuchs, M.; Mehlmer, N.; Brück, T.B. Identification of sesquiterpene synthases from the Basidiomycota Coniophora puteana for the efficient and highly selective β-copaene and cubebol production in E. coli. Microb. Cell Fact. 2018, 17, 164. [Google Scholar] [CrossRef]
 - Püth, N.; Ersoy, F.; Krings, U.; Berger, R.G. Sesquiterpene Cyclases from the Basidiomycete Cerrena unicolor. Catalysts 2021, 11, 1361. [Google Scholar] [CrossRef]
 - Grosse, M.; Strauss, E.; Krings, U.; Berger, R.G. Response of the sesquiterpene synthesis in submerged cultures of the Basidiomycete Tyromyces floriformis to the medium composition. Mycologia 2019, 111, 885–894. [Google Scholar] [CrossRef] [PubMed]
 - Kolwek, J.; Behrens, C.; Linke, D.; Krings, U.; Berger, R.G. Cell-free one-pot conversion of (+)-valencene to (+)-nootkatone by a unique dye-decolorizing peroxidase combined with a laccase from Funalia trogii. J. Ind. Microbiol. Biotechnol. 2018, 45, 89–101. [Google Scholar] [CrossRef]
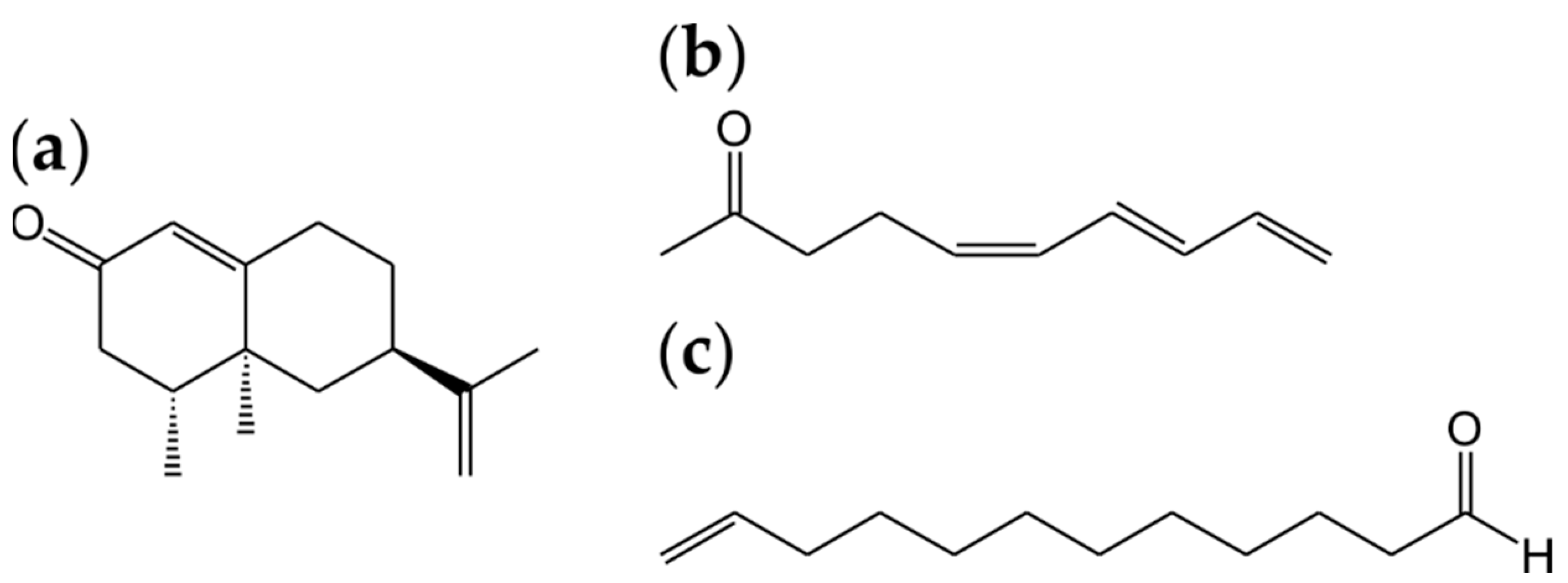
 - Grosse, M.; Pendzialeck, T.; Fohrer, J.; Berger, R.G.; Krings, U. (5E/Z,7E,9)-Decatrien-2-ones, Pineapple-like Flavors from Fomitopsis betulina-Structure Elucidation and Sensorial Properties. J. Agric. Food Chem. 2020, 68, 10329–10335. [Google Scholar] [CrossRef]
 - Grosse, M.; Wu, S.; Krings, U.; Berger, R.G. Formation of Decatrienones with a Pineapple-like Aroma from 1-(13)C-Acetate by Cell Cultures of the Birch Polypore, Fomitopsis betulina. J. Agric. Food Chem. 2020, 68, 1678–1683. [Google Scholar] [CrossRef]
 - Hammer, A.K.; Emrich, N.O.; Ott, J.; Birk, F.; Fraatz, M.A.; Ley, J.P.; Geissler, T.; Bornscheuer, U.T.; Zorn, H. Biotechnological Production and Sensory Evaluation of ω1-Unsaturated Aldehydes. J. Agric. Food Chem. 2021, 69, 345–353. [Google Scholar] [CrossRef]
 - Günther, T.; Schoppe, L.; Ersoy, F.; Berger, R.G. Alternative Routes for the Production of Natural 4-Vinylguaiacol from Sugar Beet Fiber Using Basidiomycetous Enzymes. Catalysts 2021, 11, 631. [Google Scholar] [CrossRef]
 - Detering, T.; Mundry, K.; Berger, R.G. Generation of 4-vinylguaiacol through a novel high-affinity ferulic acid decarboxylase to obtain smoke flavours without carcinogenic contaminants. PLoS ONE 2020, 15, e0244290. [Google Scholar] [CrossRef] [PubMed]
 - Hadj Saadoun, J.; Bertani, G.; Levante, A.; Vezzosi, F.; Ricci, A.; Bernini, V.; Lazzi, C. Fermentation of Agri-Food Waste: A Promising Route for the Production of Aroma Compounds. Foods 2021, 10, 707. [Google Scholar] [CrossRef] [PubMed]
 - Burger, F.; Koch, M.; Fraatz, M.A.; Omarini, A.B.; Berger, R.G.; Zorn, H. Production of an Anise- and Woodruff-like Aroma by Monokaryotic Strains of Pleurotus sapidus Grown on Citrus Side Streams. Molecules 2022, 27, 651. [Google Scholar] [CrossRef] [PubMed]
 - Zhang, Y.; Venkitasamy, C.; Pan, Z.; Liu, W.; Zhao, L. Novel Umami Ingredients: Umami Peptides and Their Taste. J. Food Sci. 2017, 82, 16–23. [Google Scholar] [CrossRef] [PubMed]
 - Zhang, Z.; Zhang, X.; Xin, G.; Gong, X.; Wang, Y.; Wang, L.; Sun, B. Umami taste and its association with energy status in harvested Pleurotus geesteranus stored at different temperatures. Food Chem. 2019, 279, 179–186. [Google Scholar] [CrossRef] [PubMed]
 - Kong, Y.; Zhang, L.L.; Zhao, J.; Zhang, Y.Y.; Sun, B.G.; Chen, H.T. Isolation and identification of the umami peptides from shiitake mushroom by consecutive chromatography and LC-Q-TOF-MS. Food Res. Int. 2019, 121, 463–470. [Google Scholar] [CrossRef]
 - Poojary, M.M.; Orlien, V.; Passamonti, P.; Olsen, K. Enzyme-assisted extraction enhancing the umami taste amino acids recovery from several cultivated mushrooms. Food Chem. 2017, 234, 236–244. [Google Scholar] [CrossRef]
 - Zhou, J.; Chen, M.; Wu, S.; Liao, X.; Wang, J.; Wu, Q.; Zhuang, M.; Ding, Y. A review on mushroom-derived bioactive peptides: Preparation and biological activities. Food Res. Int. 2020, 134, 109230. [Google Scholar] [CrossRef]
 - Harth, L.; Krah, U.; Linke, D.; Dunkel, A.; Hofmann, T.; Berger, R.G. Salt Taste Enhancing l-Arginyl Dipeptides from Casein and Lysozyme Released by Peptidases of Basidiomycota. J. Agric. Food Chem. 2018, 66, 2344–2353. [Google Scholar] [CrossRef]
 - Tamrakar, S.; Fukami, K.; Parajuli, G.P.; Shimizu, K. Antiallergic Activity of the Wild Mushrooms of Nepal and the Pure Compound Hispidin. J. Med. Food 2019, 22, 225–227. [Google Scholar] [CrossRef] [PubMed]
 - Kawai, J.; Mori, K.; Hirasawa, N. Grifola frondosa extract and ergosterol reduce allergic reactions in an allergy mouse model by suppressing the degranulation of mast cells. Biosci. Biotechnol. Biochem. 2019, 83, 2280–2287. [Google Scholar] [CrossRef] [PubMed]
 - Kang, L.; Li, Q.; Lin, J.; Guo, L. Biosynthesis of Resveratrol in Blastospore of the Macrofungus Tremella fuciformis. Mol. Biotechnol. 2015, 57, 675–684. [Google Scholar] [CrossRef] [PubMed]
 - Li, H.; Zhao, H.; Gao, Z.; Song, X.; Wang, W.; Yuan, F.; Feng, Y.; Zhang, Y.; Zhang, J.; Zhang, S.; et al. The Antioxidant and Anti-Aging Effects of Acetylated Mycelia Polysaccharides from Pleurotus djamor. Molecules 2019, 24, 2698. [Google Scholar] [CrossRef] [Green Version]
 - Liu, Z.; Jiao, Y.; Lu, H.; Shu, X.; Chen, Q. Chemical characterization, antioxidant properties and anticancer activity of exopolysaccharides from Floccularia luteovirens. Carbohydr. Polym. 2020, 229, 115432. [Google Scholar] [CrossRef]
 - Omarini, A.B.; Plagemann, I.; Schimanski, S.; Krings, U.; Berger, R.G. Crosses between monokaryons of Pleurotus sapidus or Pleurotus florida show an improved biotransformation of (+)-valencene to (+)-nootkatone. Bioresour. Technol. 2014, 171, 113–119. [Google Scholar] [CrossRef]
 - Gandia, A.; van den Brandhof, J.G.; Appels, F.V.W.; Jones, M.P. Flexible Fungal Materials: Shaping the Future. Trends Biotechnol. 2021, 39, 1321–1331. [Google Scholar] [CrossRef]
 - Grimm, D.; Wösten, H.A.B. Mushroom cultivation in the circular economy. Appl. Microbiol. Biotechnol. 2018, 102, 7795–7803. [Google Scholar] [CrossRef] [Green Version]
 - Roth-Johnson, L. Dreams of a Fungal Future. Available online: https://www.kqed.org/quest/71171/a-house-made-from-mushrooms-an-artist-dreams-of-a-fungal-future (accessed on 14 March 2022).
 - Scheuerle, S.; Landgraf, M. Cultivated Building Materials for Cities of the Future. Available online: https://www.kit.edu/kit/english/pi_2017_121_cultivated-building-materials-for-cities-of-the-future.php (accessed on 14 March 2022).
 - Frearson, A. Tower of “Grown” Bio-Bricks by the Living Opens at MoMA PS1. Available online: https://www.dezeen.com/2014/07/01/tower-of-grown-bio-bricks-by-the-living-opens-at-moma-ps1-gallery/ (accessed on 14 March 2022).
 








Publisher’s Note: MDPI stays neutral with regard to jurisdictional claims in published maps and institutional affiliations.  | 
© 2022 by the authors. Licensee MDPI, Basel, Switzerland. This article is an open access article distributed under the terms and conditions of the Creative Commons Attribution (CC BY) license (https://creativecommons.org/licenses/by/4.0/).
Share and Cite
Berger, R.G.; Ersoy, F. Improved Foods Using Enzymes from Basidiomycetes. Processes 2022, 10, 726. https://doi.org/10.3390/pr10040726
Berger RG, Ersoy F. Improved Foods Using Enzymes from Basidiomycetes. Processes. 2022; 10(4):726. https://doi.org/10.3390/pr10040726
Chicago/Turabian StyleBerger, Ralf G., and Franziska Ersoy. 2022. "Improved Foods Using Enzymes from Basidiomycetes" Processes 10, no. 4: 726. https://doi.org/10.3390/pr10040726
APA StyleBerger, R. G., & Ersoy, F. (2022). Improved Foods Using Enzymes from Basidiomycetes. Processes, 10(4), 726. https://doi.org/10.3390/pr10040726
        
                                                
