UPLC-HRMS Polyphenolic Characterization, Contents and Antioxidant Activity of Zingiber officinale Roscoe rhizomes from Costa Rica
Abstract
:1. Introduction
2. Materials and Methods
2.1. Zingiber officinale Roscoe Rhizomes, Chemicals and Reagents
2.2. Extraction of Phenolic Compounds from Z. officinale Roscoe rhizomes
2.3. Analysis of Z. officinale Extracts by UPLC-DAD and UPLC-ESI-MS
2.4. Folin–Ciocalteu Determination
2.5. DPPH Radical-Scavenging Activity
2.6. Statistical Analysis
3. Results and Discussion
3.1. Extraction from Z. officinale Rosc. rhizomes
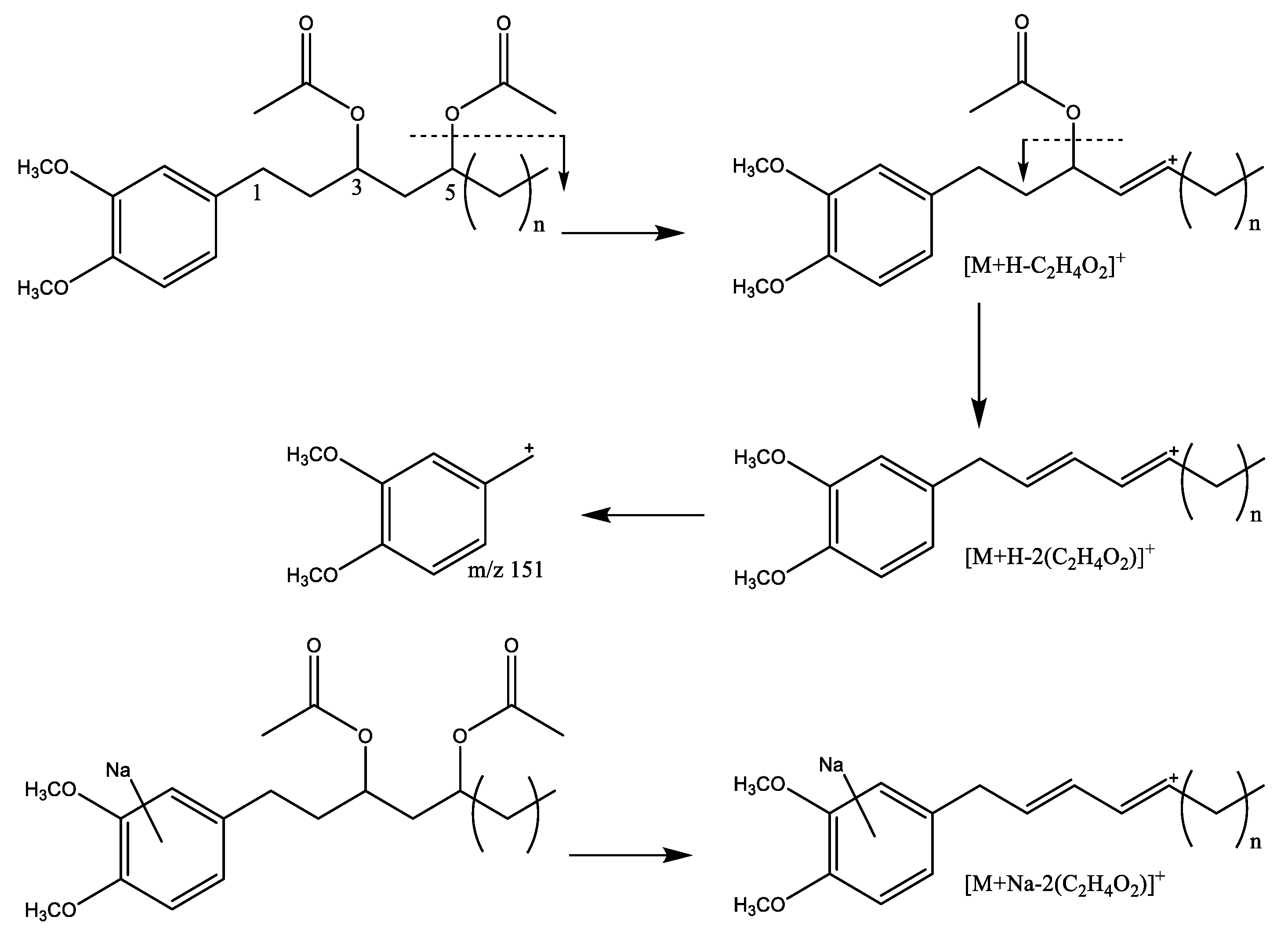
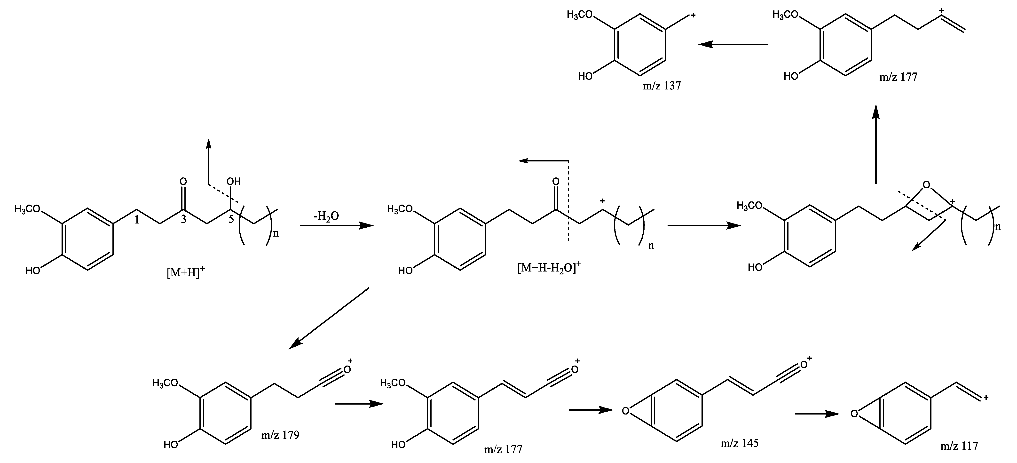
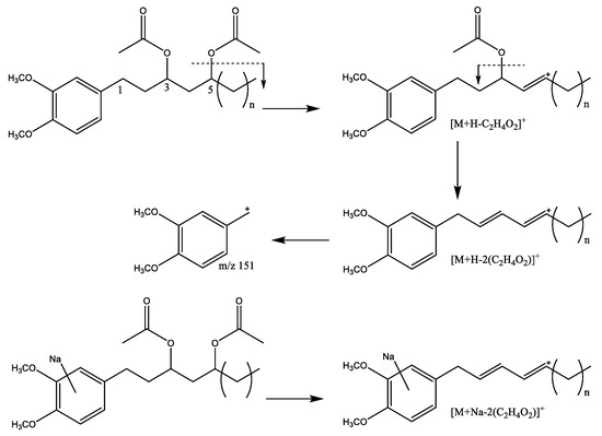
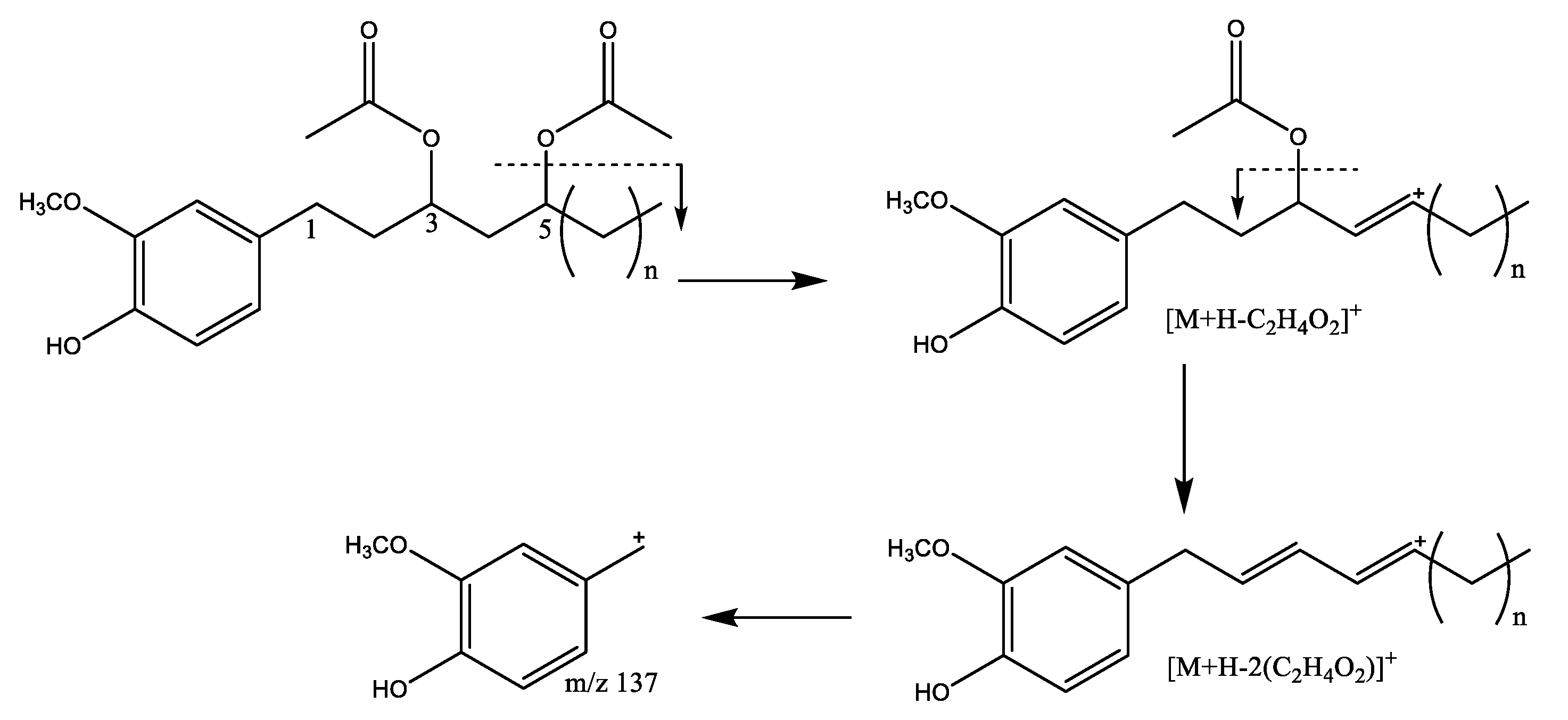
3.2. Polyphenolic Profile by UPLC-ESI-MS Analysis
3.3. Total Gingerol and Shogaol Contents in Z. officinale Extracts
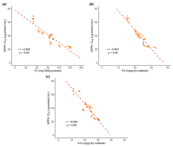
3.4. Folin–Ciocalteu Determination of Z. officinale Extracts
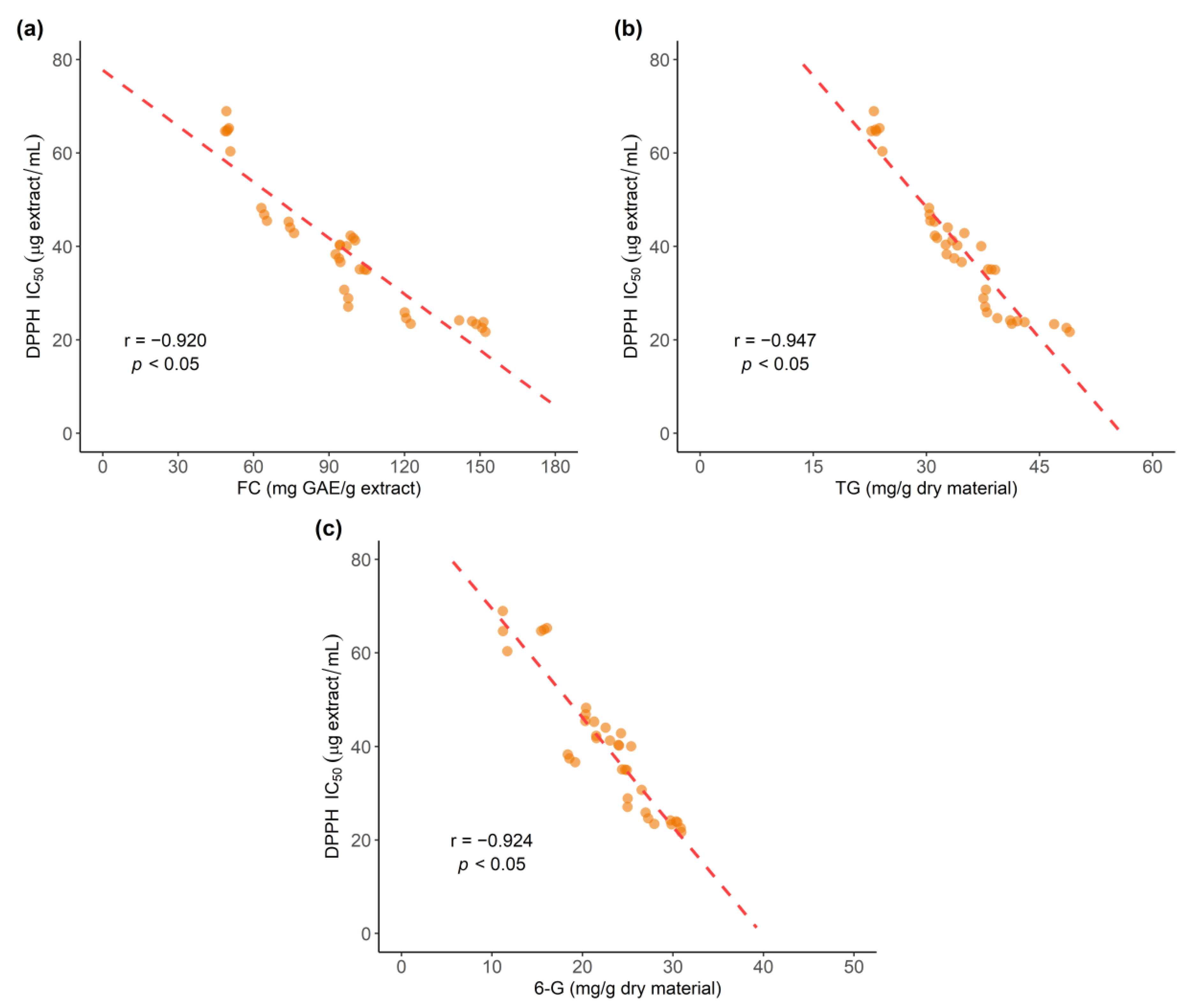
3.5. DPPH Antioxidant Activity of Z. officinale Extracts
3.6. Evaluation of Z. officinale Roscoe rhizomes from Experimental Plots
3.7. Principal Component Analysis for Polyphenolic Extracts of Z. officinale Rhizomes
4. Conclusions
Supplementary Materials
Author Contributions
Funding
Data Availability Statement
Acknowledgments
Conflicts of Interest
References
- Oladunni Balogun, F.; Tayo AdeyeOluwa, E.; Omotayo Tom Ashafa, A. Pharmacological Potentials of Ginger. In Ginger Cultivation and Its Antimicrobial and Pharmacological Potentials; Wang, H., Ed.; IntechOpen: London, UK, 2020; ISBN 978-1-83880-029-1. [Google Scholar] [CrossRef] [Green Version]
- Rehman, R.; Akram, M.; Akhtar, N.; Jabeen, Q.; Saeed, T.; Shah, A. Zingiber officinale Roscoe (pharmacological activity). J. Med. Plant Res. 2011, 5, 344–348. [Google Scholar] [CrossRef]
- Mele, M.A. Bioactive compounds and biological activity of ginger. J. Multidiscip. Sci. 2019, 1, 1–7. [Google Scholar] [CrossRef]
- Gupta, S.K.; Sharma, A. Medicinal properties of Zingiber officinale Roscoe—A Review. IOSR J. Pharm. Biol. Sci. 2014, 9, 124–129. [Google Scholar] [CrossRef]
- Srinivasan, K. Ginger rhizomes (Zingiber officinale): A spice with multiple health beneficial potentials. PharmaNutrition 2017, 5, 18–28. [Google Scholar] [CrossRef]
- Bhatt, N.; Waly, M.I.; Essa, M.M.; Ali, A. Ginger: A Functional Herb. In Food as Medicine; Nova Science Publishers, Inc.: New York, NY, USA, 2013; pp. 51–72. ISBN 978-162-417-747-7. [Google Scholar]
- Jacob, K.D.; Noren Hooten, N.; Trzeciak, A.R.; Evans, M.K. Markers of Oxidant Stress That Are Clinically Relevant in Aging and Age-Related Disease. Mech. Ageing Dev. 2013, 134, 139–157. [Google Scholar] [CrossRef] [PubMed] [Green Version]
- Tresserra-Rimbau, A.; Lamuela-Raventos, R.M.; Moreno, J.J. Polyphenols, Food and Pharma. Current Knowledge and Directions for Future Research. Biochem. Pharmacol. 2018, 156, 186–195. [Google Scholar] [CrossRef] [PubMed]
- Prasad, S.; Tyagi, A.K. Ginger and its constituents: Role in prevention and treatment of gastrointestinal cancer. Gastroenterol. Res. Pract. 2015, 2015, 142979. [Google Scholar] [CrossRef] [PubMed] [Green Version]
- Tohma, H.; Gülçin, İ.; Bursal, E.; Gören, A.C.; Alwasel, S.H.; Köksal, E. Antioxidant activity and phenolic compounds of ginger (Zingiber officinale Rosc.) determined by HPLC-MS/MS. J. Food Meas. Charact. 2017, 11, 556–566. [Google Scholar] [CrossRef]
- Jiang, H.; Sólyom, A.; Timmermann, B.; Gang, D. Characterization of gingerol-related compounds in ginger rhizome (Zingiber officinale Rosc.) by high-performance liquid chromatography/electrospray ionization mass spectrometry. Rapid Commun. Mass Spectrom. 2005, 19, 2957–2964. [Google Scholar] [CrossRef]
- Asamenew, G.; Kim, H.; Lee, S.; Kim, Y.; Cha, Y.; Yoo, S.; Kim, J. Characterization of phenolic compounds from normal ginger (Zingiber officinale Rosc.) and black ginger (Kaempferia parviflora Wall.) using UPLC–DAD–QToF–MS. Eur. Food Res. Technol. 2019, 245, 653–665. [Google Scholar] [CrossRef] [Green Version]
- Dalsasso, R.R.; Valencia, G.A.; Monteiro, A.R. Impact of drying and extractions processes on the recovery of gingerols and shogaols, the main bioactive compounds of ginger. Food Res. Int. 2022, 154, 111043. [Google Scholar] [CrossRef] [PubMed]
- Bischoff-Kont, I.; Fürst, R. Benefits of ginger and its constituent 6-shogaol in inhibiting inflammatory processes. Pharmaceuticals 2021, 14, 571. [Google Scholar] [CrossRef] [PubMed]
- Semwal, R.; Semwal, D.; Combrinck, S.; Viljoen, A. Gingerols and shogaols: Important nutraceutical principles from ginger. Phytochemistry 2015, 117, 554–568. [Google Scholar] [CrossRef]
- Jiang, H.; Timmermann, B.; Gang, D. Characterization and identification of diarylheptanoids in ginger (Zingiber officinale Rosc.) using high-performance liquid chromatography/electrospray ionization mass spectrometry. Rapid Commun. Mass Spectrom. 2007, 21, 509–518. [Google Scholar] [CrossRef]
- Upadhyaya, S.; Adhikari, R.K.; Karki, L.B.; Singh, O.P. Production and Marketing of Ginger: A Case Study in Salyan District, Nepal. Int. J. Environ. Agric. Biotechnol. 2020, 5, 1174–1182. [Google Scholar] [CrossRef]
- Abdo, M.T.; El-Ahmady, S.H.; Gad, H.A. Quality Control and Long-term Stability Study of Ginger from Different Geographical Origins Using Chemometrics. J. Sci. Food Agric. 2021, 101, 3429–3438. [Google Scholar] [CrossRef] [PubMed]
- Li, H.; Rafie, R.; Xu, Z.; Siddiqui, R.A. Phytochemical Profile and Anti-oxidation Activity Changes during Ginger (Zingiber Officinale) Harvest: Baby Ginger Attenuates Lipid Accumulation and Ameliorates Glucose Uptake in HepG2 Cells. Food Sci. Nutr. 2022, 10, 133–144. [Google Scholar] [CrossRef] [PubMed]
- United States Pharmacopeial Convention. USP29-NF24 Dietary Supplements-Botanicals; United States Pharmacopeial Convention: Beltsville, MD, USA, 2006; pp. 2331–2333. [Google Scholar]
- Navarro, M.; Sanchez, F.; Murillo, R.; Martín, P.; Zamora, W.; Monagas, M.; Bartolomé, B. Phenolic assesment of Uncaria tomentosa L. (Cat’s Claw): Leaves, stem, bark and wood extracts. Molecules 2015, 20, 22703–22717. [Google Scholar] [CrossRef] [PubMed] [Green Version]
- Navarro-Hoyos, M.; Arnáez-Serrano, E.; Quesada-Mora, S.; Azofeifa-Cordero, G.; Wilhelm-Romero, K.; Quirós-Fallas, M.I.; Alvarado-Corella, D.; Vargas-Huertas, F.; Sánchez-Kopper, A. HRMS Characterization, Antioxidant and Cytotoxic Activities of Polyphenols in Malus domestica Cultivars from Costa Rica. Molecules 2021, 26, 7367. [Google Scholar] [CrossRef] [PubMed]
- Ghasemzadeh, A.; Jaafar, H.Z.; Rahmat, A. Effects of solvent type on phenolics and flavonoids content and antioxidant activities in two varieties of young ginger (Zingiber officinale Roscoe) extracts. J. Med. Plants Res. 2011, 5, 1147–1154. [Google Scholar]
- Tao, Y.I.; Li, W.; Liang, W.; Van Breemen, R.B. Identification and quantification of gingerols and related compounds in ginger dietary supplements using high-performance liquid chromatography-tandem mass spectrometry. J. Agric. Food Chem. 2009, 57, 10014–10021. [Google Scholar] [CrossRef] [PubMed]
- Tanaka, K.; Arita, M.; Sakurai, H.; Ono, N.; Tezuka, Y. Analysis of Chemical Properties of Edible and Medicinal Ginger by Metabolomics Approach. BioMed Res. Int. 2015. [CrossRef] [PubMed] [Green Version]
- Sanwal, S.K.; Yadav, R.K.; Singh, P.K.; Buragohain, J.; Verma, M.R. Gingerol Content of Different Genotypes of Ginger (Zingiber Officinale). Indian J. Agr. Sci. 2010, 80, 258–260. [Google Scholar]
- Cherrat, S.; Boulkebache-makhlouf, L.; Iqbal, J.; Sait, S.; Walker, G. Effect of different drying temperatures on the composition and antioxidant activity of ginger powder. Ann. Univ. Dunarea Jos Galati Fascicle VI—Food Technol. 2019, 43, 125–142. [Google Scholar] [CrossRef]
- Ghasemzadeh, A.; Jaafar, H.; Rahmat, A. Variation of the Phytochemical Constituents and Antioxidant Activities of Zingiber Officinale Var. Rubrum Theilade Associated with Different Drying Methods and Polyphenol Oxidase Activity. Molecules 2016, 21, 780. [Google Scholar] [CrossRef] [PubMed] [Green Version]
- Samiulea, L. Liquid Chromatographic Determination of 6-, 8-, 10-Gingerol, and 6-Shogaol in Ginger. J. AOAC Int. 2007, 90, 1219–1226. [Google Scholar]
- Platzer, M.; Kiese, S.; Herfellner, T.; Schweiggert-Weisz, U.; Eisner, P. How Does the Phenol Structure Influence the Results of the Folin-Ciocalteu Assay? Antioxidants 2021, 10, 811. [Google Scholar] [CrossRef] [PubMed]
- Luaces, P.; Pascual, M.; Pérez, A.G.; Sanz, C. An Easy-to-Use Procedure for the Measurement of Total Phenolic Compounds in Olive Fruit. Antioxidants 2021, 10, 1656. [Google Scholar] [CrossRef] [PubMed]
- Singleton, V.L.; Orthofer, R.; Lamuela-Raventós, R.M. Analysis of total phenols and other oxidation substrates and antioxidants by means of Folin-Ciocalteu regent. Methods Enzymol. 1999, 299, 152–178. [Google Scholar]
- Prior, R.L.; Wu, X.; Schaich, K. Standardized methods for the determination of antioxidant capacity and phenolics in foods and dietary supplements. J. Agric. Food Chem. 2005, 53, 4290–4302. [Google Scholar] [CrossRef] [PubMed]
- Ali, A.M.A.; El-Nour, M.E.A.M.; Yagi, S.M. Total Phenolic and Flavonoid Contents and Antioxidant Activity of Ginger (Zingiber Officinale Rosc.) Rhizome, Callus and Callus Treated with Some Elicitors. J. Genet. Eng. Biotechnol. 2018, 16, 677–682. [Google Scholar] [CrossRef]
- An, K.; Zhao, D.; Wang, Z.; Wu, J.; Xu, Y.; Xiao, G. Comparison of different drying methods on Chinese ginger (Zingiber officinale Roscoe): Changes in volatiles, chemical profile, antioxidant properties, and microstructure. Food Chem. 2016, 197, 1292–1300. [Google Scholar] [CrossRef] [PubMed]
- Navarro-Hoyos, M.; Alvarado-Corella, D.; Moreira-Gonzalez, I.; Arnaez-Serrano, E.; Monagas-Juan, M. Polyphenolic Composition and Antioxidant Activity of Aqueous and Ethanolic Extracts from Uncaria tomentosa Bark and Leaves. Antioxidants 2018, 7, 65. [Google Scholar] [CrossRef] [Green Version]
- Navarro-Hoyos, M.; Arnáez-Serrano, E.; Quesada-Mora, S.; Azofeifa-Cordero, G.; Wilhelm-Romero, K.; Quirós-Fallas, M.I.; Alvarado-Corella, D.; Vargas-Huertas, F.; Sánchez-Kopper, A. Polyphenolic QTOF-ESI MS Characterization and the Antioxidant and Cytotoxic Activities of Prunus domestica Commercial Cultivars from Costa Rica. Molecules 2021, 26, 6493. [Google Scholar] [CrossRef] [PubMed]
- Pawar, N.; Pai, S.; Nimbalkar, M.; Dixit, G. RP-HPLC analysis of phenolic antioxidant compound 6-gingerol from different ginger cultivars. Food Chem. 2011, 126, 1330–1336. [Google Scholar] [CrossRef]
- Ghasemzadeh, A.; Jaafar, H.Z.E.; Rahmat, A. Optimization protocol for the extraction of 6-gingerol and 6-shogaol from Zingiber officinale var. rubrum Theilade and improving antioxidant and anticancer activity using response surface methodology. BMC Complement. Altern. Med. 2015, 15, 1–10. [Google Scholar] [CrossRef] [PubMed] [Green Version]
- Niki, E. Antioxidant Capacity: Which Capacity and How to Assess It? J. Berry Res. 2011, 1, 169–176. [Google Scholar] [CrossRef] [Green Version]
- Foti, M.; Daquino, C.; Geraci, C. Electron-Transfer Reaction of Cinnamic Acids and Their Methyl Esters with the DPPH• Radical in Alcoholic Solutions. J. Org. Chem. 2004, 69, 2309–2314. [Google Scholar] [CrossRef]
- Si, W.; Chen, Y.P.; Zhang, J.; Chen, Z.Y.; Chung, H.Y. Antioxidant activities of ginger extract and its constituents toward lipids. Food Chem. 2018, 239, 1117–1125. [Google Scholar] [CrossRef]
- Huang, D.; Ou, B.; Prior, R.L. The Chemistry behind Antioxidant Capacity Assays. J. Agric. Food Chem. 2005, 53, 1841–1856. [Google Scholar] [CrossRef] [PubMed]
- Lizcano, L.J.; Bakkali, F.; Ruiz-Larrea, B.; Ruiz-Sanz, J.I. Antioxidant activity and polyphenol content of aqueous extracts from Colombia Amazonian plants with medicinal use. Food Chem. 2010, 119, 1566–1570. [Google Scholar] [CrossRef]
- Lopez-Cobo, A.; Verardo, V.; Diaz-de-Cerio, E.; Segura-Carretero, A.; Fernández-Gutiérrez, A.; Gómez-Caravaca, A.M. Use of HPLC- and GC-QTOF to determine hydrophilic and lipophilic phenols in mango fruit (Mangifera indica L.) and its by-products. Food Res. Int. 2017, 100, 423–434. [Google Scholar] [CrossRef] [PubMed]
- Dudonné, S.; Vitrac, X.; Coutière, P.; Woillez, M.; Mérillon, J.M. Comparative Study of Antioxidant Properties and Total Phenolic Content of 30 Plant Extracts of Industrial Interest Using DPPH, ABTS, FRAP, SOD, and ORAC Assays. J. Agric. Food Chem. 2009, 57, 1768–1774. [Google Scholar] [CrossRef]
- Kiran, C.; Chakka, A.; Amma, K.; Menon, N.; Kumar, M.; Venugopalan, V. Influence of Cultivar and Maturity at Harvest on the Essential Oil Composition, Oleoresin and [6]-Gingerol Contents in Fresh Ginger from Northeast India. J. Agric. Food Chem. 2013, 61, 4145–4154. [Google Scholar] [CrossRef] [PubMed]
- Xu, J.; Su, X.; Li, Y.; Sun, X.; Wang, D.; Wang, W. Response of Bioactive Phytochemicals in Vegetables and Fruits to Environmental Factors. Eur. J. Nutr. Food Saf. 2019, 9, 233–247. [Google Scholar] [CrossRef]
- Parthasarathy, V.A.; Srinivasan, V.; Nair, R.R.; Zachariah, T.J.; Kumar, A.; Prasath, D. Ginger: Botany and Horticulture. Hortic. Rev. 2011, 39, 273–388. [Google Scholar]
- Sharifi-Rad, M.; Varoni, E.M.; Salehi, B.; Sharifi-Rad, J.; Matthews, K.R.; Ayatollahi, S.A.; Kobarfard, F.; Ibrahim, S.A.; Mnayer, D.; Zakaria, Z.A.; et al. Plants of the genus zingiber as a source of bioactive phytochemicals: From tradition to pharmacy. Molecules 2017, 22, 2145. [Google Scholar] [CrossRef] [Green Version]
- Mao, Q.Q.; Xu, X.Y.; Cao, S.Y.; Gan, R.Y.; Corke, H.; Beta, T.; Li, H. Bin Bioactive compounds and bioactivities of ginger (zingiber officinale roscoe). Foods 2019, 8, 185. [Google Scholar] [CrossRef] [PubMed] [Green Version]














| Experiment | Solvent | Volume (mL) | Stirring Time (hours) | TG 1,2,3 |
|---|---|---|---|---|
| 1 | Ethanol | 25 | 8 | 19.38 b ± 1.1 |
| 2 | Methanol | 50 | 24 | 27.79 a,b ± 2.0 |
| 3 | Methanol | 50 | 8 | 30.40 a ± 2.4 |
| 4 | Ethanol | 25 | 24 | 19.50 b ± 0.9 |
| 5 | Ethanol | 50 | 24 | 26.01 ab ± 2.3 |
| 6 | Ethanol | 50 | 8 | 20.16 b ± 1.5 |
| 7 | Methanol | 25 | 24 | 21.20 a,b ± 1.3 |
| 8 | Methanol | 25 | 8 | 21.93 a,b ± 1.4 |
| Product | TG (mg/g) 1,2,3 | 6-gingerol (mg/g) 1,2,3 | 8-gingerol (mg/g) 1,2,3 | 10-gingerol (mg/g) 1,2,3 | 6-gingerdiol (mg/g) 1,2,3 | Dehydro-6-gingerdione (mg/g) 1,2,3 | 6-shogaol (mg/g) 1,2,3,4 |
|---|---|---|---|---|---|---|---|
| NR-1 | 31.99 e,f ± 1.26 | 22.04 e,f ± 0.88 | 4.76 c,d ± 0.12 | 3.29 f ± 0.20 | 1.43 e,f ± 0.06 | 0.47 h ± 0.03 | 1.11 d ± 0.04 |
| NR-2 | 37.75 c,d ± 0.18 | 25.51 b,c ± 0.88 | 5.53 b,c ± 0.59 | 4.25 c,d ± 0.15 | 1.61 d,e ± 0.01 | 0.85 e,f ± 0.04 | 0.78 f ± 0.03 |
| NR-3 | 39.59 b,c ± 1.66 | 27.40 b ± 0.50 | 6.57 b ± 0.65 | 3.59 e,f ± 0.37 | 1.00 g ± 0.09 | 1.02 d ± 0.07 | 0.44 g ± 0.04 |
| NR-4 | 42.05 b ± 0.96 | 30.18 a ± 0.42 | 2.72 e ± 0.06 | 4.41 c ± 0.11 | 1.78 d,e ± 0.32 | 2.95 a ± 0.10 | 0.41 g ± 0.01 |
| NR-5 | 30.44 f ± 0.08 | 20.36 f,g ± 0.04 | 3.37 d,e ± 0.05 | 4.13 c,d ± 0.04 | 1.06 f,g ± 0.02 | 1.54 b ± 0.01 | N.Q. |
| NW-1 | 33.68 e,f ± 1.00 | 18.71 g ± 0.43 | 5.48 b,c ± 0.36 | 5.43 b ± 0.14 | 3.34 b ± 0.14 | 0.72 f,g ± 0.01 | 1.53 c ± 0.00 |
| NW-2 | 38.64 b,c ± 0.47 | 24.66 c,d ± 0.27 | 5.33 b,c ± 0.10 | 6.13 a ± 0.06 | 1.85 d ± 0.03 | 0.67 g ± 0.05 | 1.80 b ± 0.01 |
| NW-3 | 34.65 d,e ± 2.40 | 24.47 c,d ± 0.79 | 2.92 e ± 1.36 | 4.26 c,d ± 0.24 | 1.51 d,e ± 0.06 | 1.49 b ± 0.03 | N.Q. |
| SR-1 | 48.17 a ± 1.08 | 30.54 a ± 0.60 | 8.45 a ± 0.35 | 5.26 b ± 0.05 | 3.13 b ± 0.07 | 0.79 f,g ± 0.04 | 1.49 c ± 0.04 |
| WR-1 | 23.52 g ± 0.59 | 11.38 i ± 0.28 | 3.71 d,e ± 0.10 | 3.92 d,e ± 0.06 | 4.00 a ± 0.13 | 0.51 h ± 0.05 | 1.06 d ± 0.01 |
| WR-2 | 23.26 g ± 0.53 | 15.76 h ± 0.32 | 0.67 f ± 0.01 | 3.32 f ± 0.13 | 2.53 c ± 0.03 | 0.99 d,e ± 0.05 | 1.90 a ± 0.07 |
| WR-3 | 32.98 e,f ± 1.99 | 22.71 d,e ± 1.48 | 3.22 e ± 0.09 | 3.60 e,f ± 0.14 | 2.25 c ± 0.20 | 1.21 c ± 0.09 | 0.96 e ± 0.02 |
| Product | FC (mg/g) 1,2,3 | Product | FC (mg/g) 1,2,3 |
|---|---|---|---|
| NR-1 | 99.5 c,d ± 0.9 | NW-2 | 103.7 c ± 1.4 |
| NR-2 | 97.1 d,e ± 0.9 | NW-3 | 95.2 d,e ± 1.5 |
| NR-3 | 121.1 b ± 1.2 | SR-1 | 150.5 a ± 1.9 |
| NR-4 | 146.7 a ± 4.8 | WR-1 | 49.8 h ± 0.9 |
| NR-5 | 64.2 g ± 1.2 | WR-2 | 49.5 h ± 0.8 |
| NW-1 | 93.7 e ± 1.0 | WR-3 | 74.9 f ± 1.1 |
| Product | IC50 (µg/mL) 1,2,3 | Product | IC50 (µg/mL) 1,2,3 |
|---|---|---|---|
| NR-1 | 41.80 c,d ± 0.50 | NW-2 | 35.05 e ± 0.07 |
| NR-2 | 28.89 f ± 1.83 | NW-3 | 40.20 c,d ± 0.14 |
| NR-3 | 24.66 f,g ± 1.22 | SR-1 | 22.53 g ± 0.85 |
| NR-4 | 23.98 g ± 0.19 | WR-1 | 64.64 a ± 4.31 |
| NR-5 | 46.84 b ± 1.36 | WR-2 | 64.98 a ± 0.33 |
| NW-1 | 37.47 d,e ± 0.82 | WR-3 | 44.06 b,c ± 1.22 |
| Product | Cultivar | Harvest (weeks) | Growth Environment |
|---|---|---|---|
| NR-5 | GC | 40 | Open-field |
| NR-6 | GC | 20 | Open-field |
| NR-7 | GC | 40 | High tunnel |
| NR-8 | GC | 20 | High tunnel |
| NR-9 | HW | 40 | High tunnel |
| NR-10 | HW | 20 | High tunnel |
| Sample | TG (mg/g) 1,2,3 | 6-gingerol (mg/g) 1,2,3 | 8-gingerol (mg/g) 1,2,3 | 10-gingerol (mg/g) 1,2,3 | 6-gingerdiol (mg/g) 1,2,3 | 6-dehydrogin-gerdione (mg/g) 1,2,3 | 6-shogaol (mg/g) 1,2,3 |
|---|---|---|---|---|---|---|---|
| NR-5 | 30.44 e ± 0.08 | 20.36 d ± 0.04 | 3.37 d ± 0.05 | 4.13 d ± 0.04 | 1.06 c ± 0.02 | 1.54 e ± 0.01 | N.Q. 4 |
| NR-6 | 38.91 d ± 0.82 | 26.12 c ± 0.08 | 2.50 e ± 0.34 | 6.13 c ± 0.17 | 1.85 a,b ± 0.14 | 2.31 d ± 0.09 | 1.76 c ± 0.07 |
| NR-7 | 51.84 c ± 1.37 | 35.60 b ± 0.62 | 4.32 c ± 0.10 | 5.54 c ± 0.45 | 2.13 a ± 0.17 | 4.26 b ± 0.04 | 1.83 c ± 0.12 |
| NR-8 | 54.67 b,c ± 0.98 | 36.94 b ± 0.54 | 3.59 d ± 0.28 | 10.24 b ± 0.01 | 1.65 b ± 0.11 | 2.27 d ± 0.04 | 0.67 d ± 0.05 |
| NR-9 | 56.91 b ± 0.62 | 36.32 b ± 0.13 | 5.61 b ± 0.10 | 9.99 b ± 0.09 | 1.56 b ± 0.16 | 3.45 c ± 0.15 | 2.86 b ± 0.06 |
| NR-10 | 73.89 a ± 1.71 | 45.94 a ± 1.01 | 7.49 a ± 0.21 | 13.16 a ± 0.34 | 1.76 b ± 0.05 | 5.55 a ± 0.12 | 3.20 a ± 0.05 |
| Product | FC (mgGAE/g) 1,2,3 | DPPH IC50 (µg/mL) 2,3,4 |
|---|---|---|
| NR-5 | 64.20 f ± 1.15 | 46.84 a ± 1.36 |
| NR-6 | 109.70 e ± 1.70 | 34.19 b ± 0.21 |
| NR-7 | 156.98 c ± 3.25 | 22.38 d ± 0.48 |
| NR-8 | 141.89 d ± 2.83 | 25.02 c ± 0.35 |
| NR-9 | 178.02 b ± 0.20 | 18.15 e ± 1.00 |
| NR-10 | 202.65 a ± 2.06 | 15.56 f ± 1.22 |
Publisher’s Note: MDPI stays neutral with regard to jurisdictional claims in published maps and institutional affiliations. |
© 2022 by the authors. Licensee MDPI, Basel, Switzerland. This article is an open access article distributed under the terms and conditions of the Creative Commons Attribution (CC BY) license (https://creativecommons.org/licenses/by/4.0/).
Share and Cite
Navarro-Hoyos, M.; Acuña-Quirós, M.; Quirós-Fallas, M.I.; Vargas-Huertas, F.; Wilhelm-Romero, K.; Vásquez-Castro, F.; Alvarado-Corella, D.; Sánchez-Kopper, A. UPLC-HRMS Polyphenolic Characterization, Contents and Antioxidant Activity of Zingiber officinale Roscoe rhizomes from Costa Rica. Processes 2022, 10, 691. https://doi.org/10.3390/pr10040691
Navarro-Hoyos M, Acuña-Quirós M, Quirós-Fallas MI, Vargas-Huertas F, Wilhelm-Romero K, Vásquez-Castro F, Alvarado-Corella D, Sánchez-Kopper A. UPLC-HRMS Polyphenolic Characterization, Contents and Antioxidant Activity of Zingiber officinale Roscoe rhizomes from Costa Rica. Processes. 2022; 10(4):691. https://doi.org/10.3390/pr10040691
Chicago/Turabian StyleNavarro-Hoyos, Mirtha, Mónica Acuña-Quirós, María Isabel Quirós-Fallas, Felipe Vargas-Huertas, Krissia Wilhelm-Romero, Felipe Vásquez-Castro, Diego Alvarado-Corella, and Andrés Sánchez-Kopper. 2022. "UPLC-HRMS Polyphenolic Characterization, Contents and Antioxidant Activity of Zingiber officinale Roscoe rhizomes from Costa Rica" Processes 10, no. 4: 691. https://doi.org/10.3390/pr10040691
APA StyleNavarro-Hoyos, M., Acuña-Quirós, M., Quirós-Fallas, M. I., Vargas-Huertas, F., Wilhelm-Romero, K., Vásquez-Castro, F., Alvarado-Corella, D., & Sánchez-Kopper, A. (2022). UPLC-HRMS Polyphenolic Characterization, Contents and Antioxidant Activity of Zingiber officinale Roscoe rhizomes from Costa Rica. Processes, 10(4), 691. https://doi.org/10.3390/pr10040691

