Research on the Prediction Method of the Areas of Fluorine Chemical Pipeline Susceptible to Erosion
Abstract
:1. Introduction
- (1)
- Electrochemical analysis method [6,7]: This method is an important way to analyze kinetic information of the electrochemical corrosion process. This method is an important way to analyze the kinetic information of electrochemical corrosion processes. This method predicts the corrosion of materials by analyzing the corrosion pattern of CO2 on steel in the environment of oil and gas aggregation, the corrosion rate of metallic steel, and the electrochemical characteristics of corrosion of steel materials under the influence of temperature CO2. However, this method only considers the corrosion effect of CO2 and material, ignoring the influence of other corrosive media on pipelines, which is not applicable to the fluorine chemical process.
- (2)
- (3)
- Probability statistics method [10,11]: This method is based on the assumption of linear development of long-term erosion rates and introduces normal and non-normal distributions among the variables associated with erosion defects. The pipeline erosion data were analyzed by probability statistics, and a reasonable mathematical model of random variables was established to obtain the probability distribution. Statistics, analysis and calculation of erosion-related parameters are performed.
- (4)
- Artificial neural network method [12]: The BP network is used to judge and predict the hazardous media pipelines. The known sample set of this method consists of various corrosion factors and corrosion test results of pipelines in long-term operation. Through the self-learning habit of neural networks, knowledge is acquired and then predicted for the unknown system, which eventually leads to the number of years that the new system can be used. However, the use of artificial neural network technology is difficult, the judgment process is complex and the operability is poor.
- (5)
- Gray system theory method [13,14]: By fitting the actual statistics of erosion rate and erosion depth of hazardous media pipelines dynamically, the corresponding gray differential method and gray time correspondence function are established to discover the law of pipeline erosion rate and erosion depth change with time. However, due to the small sampling volume and simple calculation, the analytical parameters can only yield the relationship between erosion rate and erosion depth.
- (1)
- The initial wall thickness of the pipe: In the actual industrial pipelines, elbow, tee and other pipe fittings due to the impact of processing links, the initial wall thickness distribution is not uniform. For example, the initial wall thickness of the outside of the elbow processed using the hot-drawing process is the smallest, while the initial wall thickness of the elbow is measured inside the largest; the initial wall thickness of the straight pipe of the tee is smaller on both sides of the connection with the branch pipe. The above-mentioned areas are often mistaken for the smaller initial wall thickness of the erosion thinning serious areas. In addition, the same number of different areas of the industrial pipelines often have a different wall thickness, in the judgment of the wall thinning at the need and erosion rate comprehensive consideration. Therefore, if the initial wall thickness of the pipe is not consistent, it is necessary to make a comprehensive judgment. In the prediction of industrial pipeline vulnerable parts, the same specification of the pipe (such as comparison of the pipe to ensure that the pipe is the same specification, comparison of the elbow at the same time than the same part of the elbow, etc.), the reference significance of the erosion calculation results more significant.
- (2)
- The effect of an erosion etching mechanism: The erosion distribution maps provided in the following sections are mainly based on impact velocity calculations. Impact angle on the impact rate of erosion the impact angle is to cause the thinning position of small-scale offset. In the case of elbows, for example, the high impact rate and near-optimal impact angle at the exit of the elbow make it a hazardous point. Although the impact angle has an effect on the erosion distribution based on the impact velocity, this effect only leads to a small-scale shift in the thinning location, which is limited to the vicinity of the tube being analyzed. Therefore, the trade-off between inspection and calculation costs is that the erosion calculation identifies as few limited areas on critical fittings as possible, and that these areas are inspected in detail by the inspector to compensate for the calculation bias caused by the high calculation costs.
- (3)
- The influence of the calculation method: pipelines flow field calculation can be used for transient multiphase flow, steady-state two-phase flow coupling, steady-state two-phase flow discrete, steady-state single-phase flow and other calculation methods; the calculation accuracy and calculation of the consumption time in order to reduce.
2. Numerical Calculation Method
2.1. Theories of Erosion
2.2. Modeling Method
2.2.1. Basic Control Equations
2.2.2. Turbulence Models
2.3. Simulation Calculation Method Verification
2.3.1. Modeling and Meshing
2.3.2. Boundary Condition Setting
2.3.3. Simulation Calculation Method Verification
2.4. Prediction Study of Erosion-Prone Areas of the Reducer
2.4.1. Modeling and Meshing
2.4.2. Boundary Condition Setting
2.4.3. Results of Numerical Simulation Calculations
2.4.4. Analysis of the Results
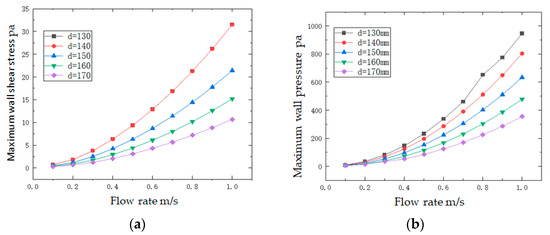
- (1)
- when the outlet pipe diameter (taper) and other conditions do not change, with the increase in flow rate, the maximum wall shear stress and maximum pressure are increased;
- (2)
- when the flow rate is constant, the maximum wall shear stress and pressure are reduced as the outlet diameter increases, i.e., the taper of the conical tube decreases;
- (3)
- the larger the inlet flow rate, the greater the difference between the maximum wall shear stress and pressure corresponding to the different outlet pipe diameters of the reducer
2.4.5. Prediction of Erosion-Prone Areas of the Reducer
- (1)
- From the wall shear stress cloud, along the direction of fluid flow, wall shear stress in the inlet section of the pipe diameter decreases before the basic unchanged, and the value is small; when the pipe diameter decreases (the left side of the tapered tube), wall shear stress and the size of the outlet pipe diameter is inversely proportional; when the pipe diameter decreases to the same diameter as the outlet pipe (the right end of the tapered tube), the wall shear stress at this location reaches its maximum value.
- (2)
- From the velocity cloud, in the inlet section of the reducer, the velocity size is the minimum and basically constant throughout the process; when the fluid flows into the diameter change region, with the diameter of the pipe decreases, the velocity increases; when the fluid reaches the outlet section, the velocity increases to the maximum value, the velocity basically remains the same.
- (3)
- From the pressure cloud, in the entrance section of the reducer, because the wall is not smooth, the fluid flow in the pipe needs to overcome friction resistance, so the size of the pressure in the direction of fluid flow gradually decreases; when the fluid reaches the pipe diameter reduction (the left end of the tapered pipe), according to Bernoulli’s equation, with the reduction of the pipe diameter, the flow rate increases and the pressure decreases; in the outlet section of the pipe, the pressure again with the fluid flow; in the outlet section of the pipe, the pressure decreases with the direction of fluid flow.
2.5. Prediction Study of Erosion-Prone Areas of the Tee
2.5.1. Modeling and Meshing
2.5.2. Boundary Condition Setting
2.5.3. Results of Numerical Simulation Calculations
2.5.4. Analysis of the Results
- (1)
- The size of the maximum wall shear stress under each pipe diameter is proportional to the flow rate, the wall shear stress growth rate is proportional to the flow rate; that is, with the increase in medium flow rate, the risk of erosion of the tee pipe is also increased.
- (2)
- Comparing the magnitude of wall shear stress of different pipe diameters under any flow, it can be obtained that the vertical outlet pipe diameter of the tee pipe is inversely proportional to the maximum wall shear stress; that is, the risk of erosion of the tee pipe is subsequently reduced.
- (3)
- With the increase in flow rate, the difference in the size of the maximum wall shear stress of different pipe diameters is also greater; that is, the greater the flow rate, the more obvious the effect of pipe diameter on the risk of erosion.
2.5.5. Prediction of Erosion-Prone Areas of the Tee
- (1)
- Horizontal direction, the inlet pipe section direction of wall shear stress with the direction of fluid flow gradually decreases. The tee pipe branch, near the entrance side of the horizontal pipe and vertical pipe junction wall shear stress increased significantly; located in the vertical outlet of the tee pipe near the horizontal outlet side of the tee pipe wall shear stress is the largest position, after the maximum wall shear stress position, along the vertical branch fluid flow direction, wall shear stress is gradually reduced; horizontal wall shear stress in the direction of fluid flow gradually reduced.
- (2)
- From the velocity cloud, we can get that the velocity of the inlet pipe section remains basically unchanged, and the flow velocity increases where the wall shear stress increases, and the velocity reaches the maximum in the area of the vertical branch pipe near the horizontal direction side, which is the same as the wall shear stress position.
- (3)
- From the pressure cloud, the pressure throughout the inlet section of the pipe is basically constant. In the direction of the vertical vertical branch pipe, the pressure reaches a minimum value at the position of maximum velocity. After this position, the pressure increases in the direction of vertical pipe fluid flow, increases to a certain value and then remains unchanged; in the direction of the horizontal branch pipe, the pressure increases at the intersection of the three pipes, increases to a certain value and then remains unchanged.
2.6. Prediction Study of Erosion-Prone Areas of the Valve
2.6.1. Modeling and Meshing
2.6.2. Boundary Condition Setting
2.6.3. Results of Numerical Simulation Calculations
2.6.4. Analysis of the Results
2.6.5. Prediction of Erosion-Prone Areas of the Tee
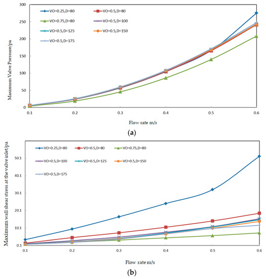
- (1)
- When the valve flow rate, pipe diameter and other factors remain unchanged, the maximum pressure on the valve decreases with the increase in the opening degree; the wall shear stress on the valve decreases sharply with the increase in the opening degree.
- (2)
- Analysis of pressure changes, the valve opening increases, the cross-sectional area available for fluid through the increase, the flow pattern tends to flatten, the valve itself, the pressure distribution, so the maximum pressure under the valve is reduced.
- (3)
- Analysis of the change in shear stress, the opening increases, the fluid passing at the gate valve slows down, the flow rate decreases, the boundary layer at some locations increases, and the valve is subjected to a sharp decrease in wall shear stress under the combined effect of both.
3. Database Establishment Method
3.1. System Characteristics
3.2. System Functions
- (1)
- Basic data management layer: the interface between basic data management layer and ERP system can update the basic information of pipeline and vessel according to the ERP information according to the equipment number. It can also read ERP related information into EXCEL table according to equipment number for further processing. The basic data management layer supports data import in the form of EXCEL tables or, if the ERP system provides a Web Service interface, the necessary ERP file data can be imported into the file database, avoiding duplicate data input and improving work efficiency.
- (2)
- Pipeline scouring corrosion parts legend database layer: the content includes typical pipe fittings based on the flow field analysis of the scouring corrosion parts diagram, covering different structural characteristics of the pipe model, the database diagram example Figure 25.
- (3)
- Pipeline scouring corrosion GIS platform layer: users can browse the PFD diagram of the relevant device through the system and can carry out the basic browsing operation of the diagram + m. Users can also quickly locate the easy and pipeline in the device diagram by pulling the box with the mouse, and the system will query the relevant information of the function and pipeline according to the current function status.
- (4)
- System background management: Three role types are used, including system administrator, branch administrator and non-administrator. Users without role type have different authority to realize the secondary management of main plant and branch plant.
4. Case Application
4.1. Case Overview
4.2. Numerical Simulation
4.3. Prediction of Erosion-Prone Areas of Pipeline 01-EA002/1
4.4. Prediction of Erosion-Prone Areas of Pipeline 01-EA002/1
4.5. Database Establishment
5. Conclusions
Author Contributions
Funding
Institutional Review Board Statement
Informed Consent Statement
Data Availability Statement
Acknowledgments
Conflicts of Interest
References
- Chen, M.G. Fireball modeling and thermal hazards analysis of leaked 1,1-difluoroethane in fluorine chemical industry based on FDS. Therm. Anal. Calorim. 2020, 146, 1–12. [Google Scholar] [CrossRef]
- Yao, Q.; Diao, J. Resource utilization of “three wastes” in fluorine chemical industry. Environ. Prot. Chem. Ind. 2017, 37, 289–293. [Google Scholar]
- Guo, T.; Wu, J. State-dependent numerical simulation study of the reactive distillation process of 1-chloro-1,1-difluoroethane. Chem. React. Eng. Processes 2004, 20, 205–207. [Google Scholar]
- Zeng, L.; Zhang, G.A.; Guo, X.P. Erosion–corrosion at different locations of X65 carbon steel elbow. Corros. Sci. 2014, 85, 318–330. [Google Scholar] [CrossRef]
- Launder, B.E.; Spalding, D.B. The Numerical Computation of Turbulent Flows; Elsevier Sequoia, S.A.: Amsterdam, The Netherlands, 1990. [Google Scholar]
- Zhao, M.Q. Principle and application of electrochemical method for determining corrosion rate of metals. Chem. Clean. 1992, 8, 1–5. [Google Scholar]
- Li, C.H.F.; Zhang, Y.; Wang, B. Electrochemical study on CO2 corrosion of X56 steel oil and gas gathering pipeline. Nat. Gas Ind. 2004, 24, 145–147. [Google Scholar]
- Ahammed, M. Probabilistic Estimation of Remaining Life of a Pipeline in the Presence of Active Corrosion Defects. Press. Vessel. Pip. 1998, 75, 321–329. [Google Scholar] [CrossRef]
- Wang, L.; Li, F. Probabilistic statistical analysis of pitting data of buried steel gas pipelines. Gas Heat 2004, 24, 657–659. [Google Scholar]
- Li, T.J.; An, W.G. Reliability analysis of corroded pipes based on artificial neural network. Mech. Eng. 2005, 6, 106–107. [Google Scholar]
- Xie, Y.; Yuan, Z.M. Application of gray dynamic model in predicting corrosion of gas transmission pipelines. J. Southwest Pet. Inst. 1999, 21, 50–51. [Google Scholar]
- Su, X.; Yuan, Z.M. Corrosion prediction of gas pipeline based on “series grey prediction”. J. Southwest Pet. Inst. 2006, 28, 82–83. [Google Scholar]
- Jones, D.; Dawson, J. Risk Assessment Approach to Pipeline Life Management. Pipes Pipelines 1998, 43, 5–18. [Google Scholar]
- Zhai, Y.H.; Guo, X.P.; Qu, L.S. Corrosion evaluation and remaining life prediction of gathering and transmission pipelines. Oil Gas Field Surf. Eng. 2006, 25, 47–48. [Google Scholar]
- Hou, Y.H.; Li, Y.P. Effects of cold working on corrosion resistance of Co-modified Ni–16Cr–15Mo alloy in hydrofluoric acid solution. Corros. Sci. 2014, 89, 258–267. [Google Scholar] [CrossRef]
- Hu, W. Fluorine Chemical Production Technology; Science Press: Beijing, China, 2010. [Google Scholar]
- Wang, X.F. Analysis of HF acid regeneration tower wall corrosion defects and safety evaluation. Petrochem. Corros. Prot. 2013, 30, 52–54. [Google Scholar]
- Wu, S. Corrosion failure analysis of alkyl benzene HF regeneration tower feed heater. Mechatron. Prod. Dev. Innov. 2010, 23, 78–79. [Google Scholar]
- Zhang, W. Study of HF acid corrosion behavior of regeneration tower of alkyl benzene plant. Pipeline Technol. Equip. 2008, 2, 56–58. [Google Scholar]
- Lv, E.W.; Li, W.C. Application of graphite lining technology in fluorine chemical projects. Chem. Des. 2017, 4, 19–23. [Google Scholar]
- Zheng, G.T. Simulation study and optimization of vinylidene fluoride production process. Chem. Prod. Technol. 2011, 18, 11–14. [Google Scholar]
- Xu, M.L. Process design of a production plant for monochlorodifluoroethane. Chem. Eng. Equip. 2015, 10, 53–62. [Google Scholar]
- Jiang, H.L. Study on the optimization of hexafluoropropylene (HFP) distillation process. Chem. Manag. 2018, 502, 202–203. [Google Scholar]
- Fang, Z.; Chen, R.X.; Wang, Z. Prediction method and application case analysis of dangerous parts of pipelines in petrochemical plants. In Proceedings of the ASME 2014 Pressure Vessels & Piping Conference, Virtual, Online, 13–15 July 2021. [Google Scholar]
- Du, M.J.; Zhang, Z.T.; Zhang, C.Y. Analysis of erosion fracture stress of 90° elbow in multi-phase mixed transmission pipeline. Oil Gas Storage Transp. 2011, 30, 427–430. [Google Scholar]
- Fang, Z.; Jia, G.D.; Liu, D.Y. Study on carburizing inspection of cracking furnace tube using acoustic emission technique. In Proceedings of the ASME 2014 Pressure Vessels & Piping Conference, Anaheim, CA, USA, 20–24 July 2014. [Google Scholar]
































| No. | Specific Content | Temperature (°C) | Pressure (MPa) | Material | Flow Rate | References |
|---|---|---|---|---|---|---|
| 1 | Acetylene pipeline (96% acetylene) of a fluorine chemical plant in Changshu, China | Room temperature | 0.3 | 304 stainless steel | / | [15] |
| 2 | Reflux tower condenser of a fluorochemical plant in Changshu, China | Shell range 35/tube range 15 | Shell range 0.7/tube range 2.11 | Shell course 16 MnDR/tube course 304L | / | [15] |
| 3 | AHF production process | Phase I: 100~120 Phase II: 160~200 | / | / | / | [16] |
| 4 | HF acid regeneration tower (alkylation) | 150 | 0.45 | Monel400 | / | [17] |
| 5 | Alkyl benzene HF acid regeneration tower heater (shell process for hot oil, tube process for HF plus hydrocarbon) | 215~265 | / | Monel400 | Operation flow rate: 16.520 m3/h | [18] |
| 6 | Alkyl benzene HF regeneration tower | 200 | / | Monel400 | 3.173 kg/cm2 | [19] |
| 7 | Sodium fluorosilicate to sodium fluoride method | 8495 | ≤0.148 | / | Agitator stirring rate: 4 m/s | [16] |
| 8 | Hydrogen fluoride cooling crystallization kettle | In-vessel: <90/ In-jacket: 32 | Inside the container: 0/Inside the jacket: 0.02~0.03 | / | / | [20] |
| 9 | Soda ash production method of sodium fluoride | Temperature of reactor: 84~95 | ≤0.148 | / | / | [16] |
| 10 | Melt production of iodine pentafluoride | Fine iodine melting temperature: 113~150 | Temperature of fine iodine melting. 300 kpa | / | / | [16] |
| 11 | Steel can packaging for fluorine gas | 21 | ≤2.86 (in China: ≤0.5) | / | / | [16] |
| 12 | Packaging of sulfur hexafluoride | 21.1 | 4 | 30 CrMo or aluminum alloy | / | [16] |
| 13 | Electrolytic production process of nitrogen trifluoride | 126~160 | Atmospheric pressure ~0.3445 (gauge pressure) | / | / | [16] |
| 14 | Electrochemical production process of ammonia fluoride | 95~150 | 0.1 | / | / | [16] |
| 15 | Showa Denko Co. CF4 preparation process by two-stage cyclic reaction method | First, second reactor: 370 | First, second reactor: 1.5 | / | / | [16] |
| 16 | Membrane Separation Method for Perfluorocarbon Production at Air Liquide USA | Adsorption temperature 30~100 | Adsorption pressure: 0.3~2.0 | / | / | [16] |
| 17 | Production of vinylidene fluoride by deHCL of HCFC-142b | VDF distillation column condensing temperature −15 | / | / | / | [21] |
| 18 | Production of HCFC-22 | Temperature of the reactor 30 | Operating pressure: 0.8 | / | Water flow velocity 1.5 m/s; F152a flow rate 15 m/s | [18] |
| 19 | Hexafluoropropylene distillation column | T-1: −16 T-2: 5 T-3: 27 T-4: 20 T-5: 17 | T-1: 1.3 T-2: 1 T-3: 0.75 T-4: 0.55 T-5: 0.35 | / | Feed volume 516.4 kg/h | [19] |
| 20 | Production process of PTFE | HCFC-22: Predicted temperature | / | Iconel | / | [20] |
| 21 | R142b non-diluted thermal cracking | 700~900 | 1 | Stainless Steel | Feed volume: 650~800 mL/min | [21] |
| 22 | 1-Chloro-1,1-dichloroethane reaction distillation process | Temperature of the tower kettle: 130 | Pressure at the top of the tower: 1.6 | / | VDC: 0.22 HCFC-141b: 159.9 kg/h HCFC-142b: 502.0 kg/h HFC-143a: 37.69 kg/h HCL: 205.3 kg/h HF: 104.3 kg/h | [22] |
| 23 | Production process of hexafluoropropylene | Sensitive version shows temperature: 313~320 | / | / | Feed volume: 174 kmol/h | [23] |
| Inlet flow rate | 1.5 m/s | Outlet pressure | 0 MPa |
| Turbulence model | Standard K-ε | Temperature | −1 °C |
| Liquid density | 998 kg/m3 | Liquid viscosity | 0.001003 pa*s |
| Gas density | 0.554 kg/m3 | Gas viscosity | 0.00025 pa*s |
| Oil density | 875.153 kg/m3 | Oil viscosity | 27.87121 pa*s |
| Oil water content | 28% | Oil gas content | 2% |
| Mixed phase density | 847.663 kg/m3 | Mixed phase viscosity | 0.02 pa*s |
| Density of the Medium in the Pipe kg/m3 | Viscosity of the Medium in the Pipe Pa*s | Pressure of the Medium at the Inlet Pa |
|---|---|---|
| 1480 | 0.00053 | 1,000,000 |
| Flow Rate m/s | Turbulence Intensity % |
|---|---|
| 0.1 | 4.0808 |
| 0.2 | 3.7412 |
| 0.3 | 3.5572 |
| 0.4 | 3.4315 |
| 0.5 | 3.3371 |
| 0.6 | 3.2619 |
| 0.7 | 3.1997 |
| 0.8 | 3.1467 |
| 0.9 | 3.1007 |
| 1.0 | 3.0602 |
| Flow Rate m/s | Turbulence Intensity % |
|---|---|
| 0.1 | 4.2302 |
| 0.2 | 3.8791 |
| 0.3 | 3.6874 |
| 0.4 | 3.5572 |
| 0.5 | 3.4593 |
| 0.6 | 3.3814 |
| 0.7 | 3.3168 |
| 0.8 | 3.2619 |
| 0.9 | 3.2143 |
| 1.0 | 3.1722 |
| Valve Number | Valve Opening | D mm | L1 mm | L2 mm | L3 mm |
|---|---|---|---|---|---|
| 1 | 0.25 | 80 | 400 | 47.5 | 400 |
| 2 | 0.5 | 80 | 400 | 47.5 | 400 |
| 3 | 0.75 | 80 | 400 | 47.5 | 400 |
| 4 | 0.5 | 100 | 500 | 52.5 | 500 |
| 5 | 0.5 | 125 | 625 | 55.5 | 625 |
| 6 | 0.5 | 150 | 750 | 67.5 | 750 |
| 7 | 0.5 | 175 | 875 | 67.5 | 875 |
| Flow Rate m/s | Turbulence Intensity % |
|---|---|
| 0.1 | 4.5759 |
| 0.2 | 4.1962 |
| 0.3 | 3.9888 |
| 0.4 | 3.8479 |
| 0.5 | 3.7420 |
| 0.6 | 3.6577 |
| Name of chemical plant | I distillation gasoline line | Pipe name | Gasoline line |
| Pipe number | 01-EA002/1 | Pipeline level | GC2 |
| starting point | C-1001 | End position | E-1001/1-4 |
| Work pressure | 0.13 | Operating temperature | 100 |
| Working medium | gasoline | Pipe material | 20# |
| Pipe specification (Outer diameter mm × Wall thickness mm) | |||
| Name of chemical plant | I distillation gasoline line | Pipe name | Gasoline line |
| Pipe number | 01-EA002/2 | Pipeline level | GC2 |
| starting point | E-1001/1-4 | End position | E-1001/1-4 |
| Work pressure | 0.11 | Operating temperature | 80 |
| Working medium | gasoline | Pipe material | 20# |
| Pipe specification (Outer diameter mm × Wall thickness mm) | |||
Publisher’s Note: MDPI stays neutral with regard to jurisdictional claims in published maps and institutional affiliations. |
© 2022 by the authors. Licensee MDPI, Basel, Switzerland. This article is an open access article distributed under the terms and conditions of the Creative Commons Attribution (CC BY) license (https://creativecommons.org/licenses/by/4.0/).
Share and Cite
Fang, Z.; Shi, P.; Fu, J.; Song, C.; Yuan, J.; Deng, J. Research on the Prediction Method of the Areas of Fluorine Chemical Pipeline Susceptible to Erosion. Processes 2022, 10, 657. https://doi.org/10.3390/pr10040657
Fang Z, Shi P, Fu J, Song C, Yuan J, Deng J. Research on the Prediction Method of the Areas of Fluorine Chemical Pipeline Susceptible to Erosion. Processes. 2022; 10(4):657. https://doi.org/10.3390/pr10040657
Chicago/Turabian StyleFang, Zhou, Puan Shi, Junjie Fu, Ce Song, Jun Yuan, and Jin Deng. 2022. "Research on the Prediction Method of the Areas of Fluorine Chemical Pipeline Susceptible to Erosion" Processes 10, no. 4: 657. https://doi.org/10.3390/pr10040657
APA StyleFang, Z., Shi, P., Fu, J., Song, C., Yuan, J., & Deng, J. (2022). Research on the Prediction Method of the Areas of Fluorine Chemical Pipeline Susceptible to Erosion. Processes, 10(4), 657. https://doi.org/10.3390/pr10040657

