Abstract
Quality changes of protein and non-protein nitrogen compounds during industrial fishmeal processing of fatty pelagic species (mackerel/herring rest material blend, MHB) and lean fish (whole blue whiting, BW) were studied to identify processing steps that require optimization to allow production of products for human consumption. Samples from protein-rich processing streams throughout the fishmeal production were analyzed for proximate composition, salt soluble protein content (SSP), biogenic amines (BA), total volatile basic nitrogen (TVB-N), trimethylamine (TMA), and dimethylamine (DMA). Mass flows throughout processing were balanced based on the total mass and proximate composition data. The quality of the final fishmeal products was highly dependent on the fish species being processed, indicating that the processes require optimization towards each raw material. The chemical composition changed in each processing step, resulting in different properties in each stream. Most of the non-protein nitrogen compounds (including BA, TVB-N, TMA, and DMA) followed the liquid streams. However, the concentrate contributed less than 20% to the produced fishmeal quantity. Mixing of this stream into the fishmeal processing again, as currently carried out, should thus be avoided. Furthermore, the cooking, separating, and drying steps should be optimized to improve the water and lipid separation and avoid the formation of undesired nitrogen compounds to produce higher-value products intended for human consumption.
1. Introduction
Fish is a nutrient-dense food containing high-quality proteins with a well-balanced amino acid composition, long-chain polyunsaturated fatty acids (LC PUFA), and micronutrients [1,2]. In 2015, fish contributed to about 17% of the human intake of animal proteins and 7% of the world’s total protein consumption [3]. Global fish production reached about 179 million tons in 2018, of which approximately 88% went to human consumption [3]. Nevertheless, fish is a limited resource, and the depletion of marine fisheries resources and growing environmental challenges are global issues that require action [3]. At the same time, the growing global human population will increase the need for fish and fishery products [1,4]. It is predicted that more than 10% of the world’s human population could face micronutrient and fatty acids deficiencies due to the reduced availability of fish over the coming decades [1]. Many underutilized fish species and protein-rich rest materials are used for low-value fishmeal intended for aquaculture or other animal feed. Most small fish species caught on an industrial scale are used for fishmeal and fish oil production rather than for direct human consumption [3,5,6]. The Food and Agriculture Organization of the United Nations (FAO) suggests that more attention should be paid to utilizing low-value nutrient-rich fish species, such as small pelagic fish, for human food. Decreasing the use of wild fish for fishmeal and fish oil production and redirecting fish reduction facilities towards the processing of fish protein for human consumption can be a valuable step in meeting the future human protein demand [4,5,6]. Small-sized fish species, which have a valuable source of essential micronutrients and high-quality protein [7], can be used for human consumption or as a start feed in aquaculture or agriculture if the processes are updated and optimized. Fish protein products from underutilized species can also be used in functional food or ready-to-eat products, which has encouraged food manufacturers to develop new methods to process fish protein powders [8,9].
Fish muscle is, however, highly perishable and susceptible to degradation during handling, processing, and storage. Protein stability is one of the most important characteristics of processed fish products, affecting the nutritional, digestive, and sensory quality. Protein changes can lead to the loss of essential amino acids, an overall decrease in nutritional value, and protein functionality and digestibility [10,11,12,13]. Several studies have shown a loss of salt soluble proteins (SSP) in refrigerated, frozen, and salted fish during processing and storage [10,11,12,14]. However, there is little information available on protein changes driven by heat and drying treatment during fishmeal processing.
Non-protein nitrogen compounds formed during the degradation of proteins play a significant role in determining the taste and smell of fishery products. Free amino acids, peptides, purine bases, urea, and trimethylamine oxide (TMAO) are the main components of this chemical group [15]. Post-catch handling and processing may cause changes in proteins due to the formation of undesirable non-protein nitrogen compounds such as biogenic amines, total volatile basic nitrogen (TVB-N), trimethylamine (TMA), dimethylamine (DMA), and ammonia [13]. Therefore, it is important to control and minimize the formation of these compounds if the products are intended for human consumption.
Globally, 65–75% of the fishmeal and fish oil is produced from small pelagic fish [3,6,16]. Pelagic fish species constitute a large part of the captured fish in Iceland and made up 51% of the total catch in 2020. Blue whiting (Micromesistius poutassou), Atlantic mackerel (Scomber scombrus), and Atlantic herring (Clupea harengus) are the three dominant pelagic species, accounting for 42% of the total catch. However, these species only accounted for about 13% of the total value [17]. Therefore, much can be gained from developing higher-value products from these species. In Iceland, most of the herring and mackerel catches are processed for human consumption as frozen, headed, and gutted or filleted fish. The side streams (cut-offs, heads, guts, viscera, backbone, etc.) are collected and used for fishmeal and fish oil production, along with any bycatch [18,19]. The mackerel and herring seasons overlap, and these species are thus often processed into fishmeal and oil simultaneously. Mackerel and herring are histidine-rich species [20,21], and fish guts are rich in a wide variety of enzymes and bacteria. Biogenic amines are generated from the decarboxylation of free amino acids by endogenous enzymes of raw material or by bacterial activities. Biogenic amines, such as histamine, tyramine, putrescine, and cadaverine, are a potential health risk because of their toxic characteristics [22,23]. It is thus of high importance to limit the formation of biogenic amines during production. This is one of the main challenges when producers want to optimize the utilization of side streams from mackerel and herring fishmeal processing for human consumption into the development of other high-value-added products.
Blue whiting made up about 50% of the pelagic catch around Iceland in 2020 [17]. This species is used primarily for fish meal production and is generally not considered tasty enough for direct human consumption. Blue whiting is a lean fish of the gadoid family, with high trimethylamine oxide (TMAO) and TMAOase levels [24]. During post-catch handling and processing, TMAO may be broken down by spoilage bacteria into trimethylamine (TMA), generating pungent and undesirable fishy flavours and odours. Moreover, TMAO may be split into dimethylamine (DMA) and formaldehyde (FA) under TMAOase catalysis. It has been shown that TMAO decomposition plays an important role in the total volatile base nitrogen (TVB-N) production in this species [24].
Traditional fishmeal/oil products have been processed with the same technology for decades, forming low-quality products of relatively low economic value. These production processes are primarily purposed toward water removal. Meanwhile, the protein quality, lipid removal, and separation of unwanted non-protein nitrogen compounds have not been considered in detail [16,25]. Furthermore, the processes are not optimized towards variations in the raw materials or the processing of different species.
This study therefore aimed to indicate how proteins and unwanted non-protein nitrogen compounds change and/or separate during processing from the initial raw materials to the final products during processing of different pelagic species. Evaluating changes in protein characteristics during each step of the current fishmeal processes is crucial in order to systematically change these processes towards producing high-quality, protein-rich products for human consumption. The changes in protein and non-protein nitrogen compounds during traditional processing of fatty pelagic fish species and leaner fish were investigated to identify necessary improvements towards the production of protein products for human consumption, as affected by species and raw material characteristics.
2. Material and Methods
2.1. Raw Material and Sampling
2.1.1. Raw Materials
Raw materials were collected on two occasions to compare the efficiency of a fishmeal factory during the processing of a fatty (a mackerel/herring blend, MHB) raw material and lean raw material (blue whiting, BW).
The Atlantic mackerel/herring was caught from 3 September to 7 September 2017, off the southeast coast of Iceland, by midwater trawling. The mackerel and herring were mechanically headed and gutted (Baader 221: Automatic Pelagic Processing Line) upon arrival to the processing facility. The cut-offs were collected along with the bycatch, and the material was pumped into the fishmeal processing facilities, where it was stored in a receiver tank and kept at 3 ± 1.5 °C until processed 1–3 days upon arrival to shore. The raw materials for the MHB fishmeal production contained 58% of Atlantic mackerel (Scomber scombrus) cut-offs, 37% of Atlantic herring (Clupea harengus) cut-offs, 4.5% of blue whiting (Micromesistius poutassou), and about 0.5% of bycatch species.
The blue whiting was caught on 30 April 2019, south of the Faroe Islands, by midwater trawls. The BW was refrigerated at 2 ± 2 °C on board for 24 h before being transferred to the fishmeal processing facility, where it was processed in the same way as the MHB as described in the following section. More detailed information about the raw materials and their handling were described by Hilmarsdottir et al. [16].
2.1.2. Sampling during Industrial Fishmeal and Oil Processing
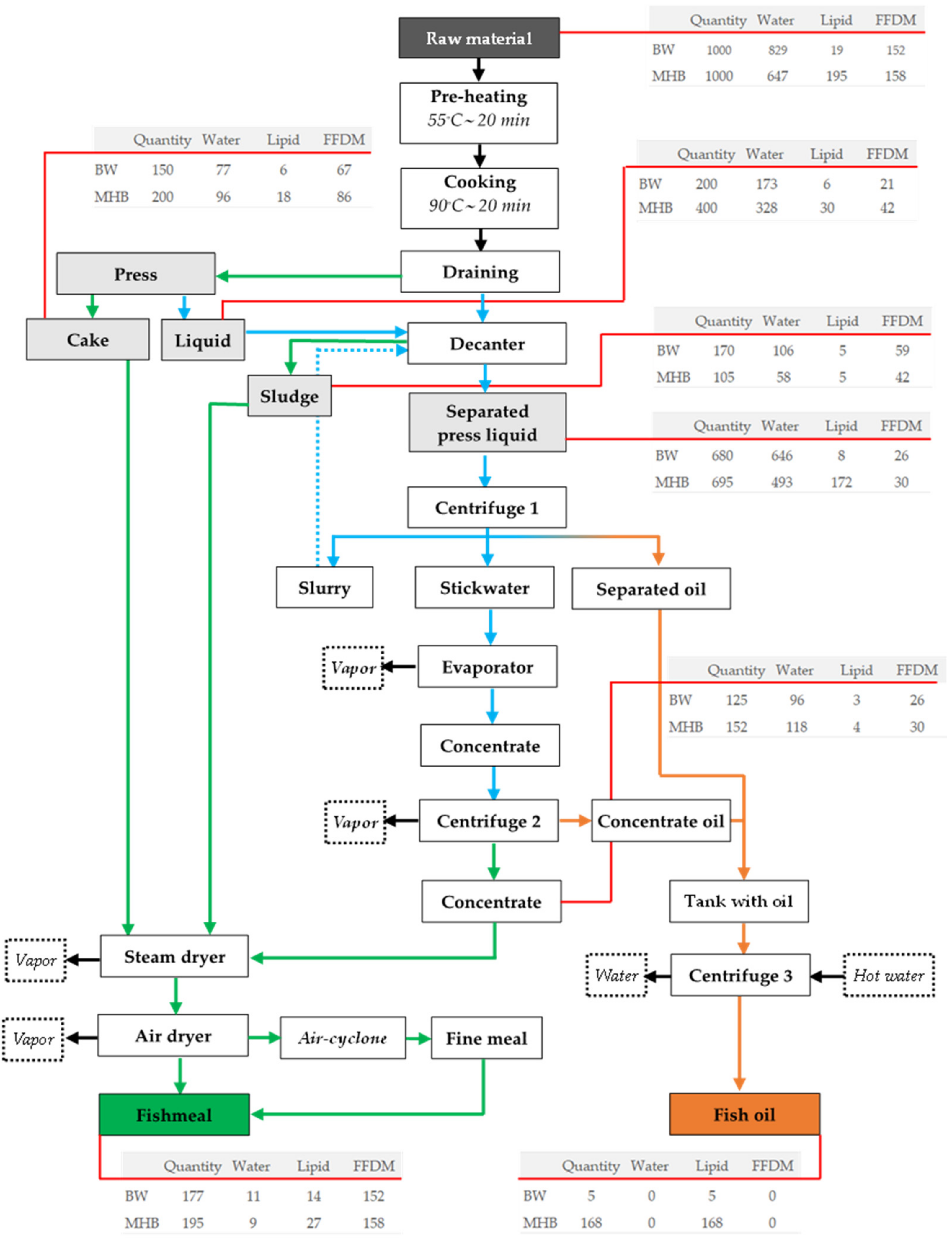
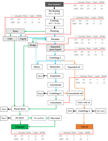
A detailed flow chart of the industrial fishmeal and oil production processes is presented in Figure 1. Upon arrival at the factory, the raw material was preheated for 20 min at 55 °C. Next, the mixture entered a cooking step at 85–95 °C for 20 min before being drained and pressed to remove excess water. Then, the press liquid and drained liquid were transferred to a decanter, forming a liquid mixture called separated press liquid. The separated press liquid entered centrifuges and evaporators to separate the fish oil from the solid processing streams. The liquid streams were led through two evaporators to produce a concentrate, which was combined with the press cake and sludge before drying.
Figure 1.
Industrial fishmeal and fish oil production process. The green colour indicates the solid streams throughout the process, the blue represents the liquid streams, and the yellow colour expresses the oil streams. Mass balance from 1000 kg of raw material was calculated for blue whiting (BW) and mackerel/herring blend (MHB), shown by red lines. The quantity of each processing stream and the amounts of water, lipid, and fat-free dry matters (FFDM) in each stream are shown in kg. The flow chart was adapted from Hilmarsdottir et al. [18].
The first drying step was performed in a rotary disc steam dryer for 30 ± 5 min (steam temperature of 160 °C, drying temperature of 95 °C), reducing the moisture content of the material to approximately 40–50%. The material underwent a second drying step in a Hetland air dryer for 16 ± 2 min (maximum input air temperature 450 °C, drying temperature 150 °C at the middle of the dryer, wet bulb temperature of about 65 °C). Some fine particle meal (fine meal) was blown out through the air duct during the air drying. This meal was recovered and combined with the rest of the dried meal, forming the final fishmeal, which had a moisture content of 5–10%.
Samples were collected at key locations throughout the processing, as indicated in Figure 1. After collecting, the samples were cooled overnight to 0 ± 2 °C and transported the following morning to the laboratory. The samples were then stored at −25 °C until analysis, which took up to six months for the MHB and three months for the BW. Prior to analysis, samples were left to thaw at 0–4 °C for 12–36 h. Three samples (n = 3) were collected at each location, and chemical analyses were performed in duplicate for each individual sample. In order to assess the effectiveness and quality changes occurring during processing, a combination of well-known and/or accredited analytical methods, which are commonly applied during food production, were applied. The same analytical methods were furthermore applied to both raw materials, as that allows quantitative and qualitative comparisons of processing of the two raw materials. The applied analytical methods are described in detail in Section 2.2, Section 2.3 and Section 2.4.
2.1.3. Chemicals
All chemicals used in the study were of analytical grade and purchased from the Sigma-Aldrich Company (Missouri, TX, USA).
2.2. Proximate Composition Changes during Processing
Water content was measured according to ISO 6496:1999. About 5.0 g of sample was weighed and placed in a small porcelain bowl. The bowls were left to dry for 4 h at 104 ± 2 °C and allowed to cool to ambient temperature in a desiccator for 30 min before being weighed again.
Crude protein content of the samples was measured according to ISO 5983-2 (2009). About 2 g of homogenized sample was digested in 17.5 mL concentrated H2SO4 in the presence of two Kjeldahl tablets (each tablet contains 0.4 g CuSO4 and 3.5 g K2SO4) as an oxidative catalyst at approximately 420 °C for 2.5 h. The digested sample was made alkaline by adding NaOH, and the nitrogen distilled off as NH3. The NH3 was then “trapped” in a 1% boric acid solution. The amount of ammonia nitrogen in the solution was quantified by titration with a standardized H2SO4 solution. The nitrogen content was multiplied by 6.25 to obtain the ratio of crude protein.
Lipids were extracted from 25 g samples with 50 mL of chloroform, 50 mL of methanol, and 25 mL or 0.88% KCl according to the Bligh and Dyer method [26]. After homogenizing for 4 min, the mixture was centrifuged at 2500 rpm for 20 min at 4 °C. The lower chloroform phase, containing the lipid fraction, was collected and filtrated on a glass microfiber filter paper under vacuum suction. The extracts were then removed from the upper phase and filled with chloroform to reach a volume of 50 mL. Exactly 2 mL of the chloroform phase was pipetted in a glass tube and blown by a nitrogen jet at 55 °C to remove the solvent. The remaining solution was weighed to determine the total lipid content.
Ash was defined as the remaining components of the dry matter. The ash content was calculated as the total wet weight (100%) after removing the water, lipid, and crude protein contents. Fat-fee dry matter (FFDM) was calculated as the total wet weight (100%) minus the water and the lipid contents. The water, crude protein, lipid, and ash content were expressed as a percentage of wet weight.
2.3. Mass Balances during Processing
Material balances are essential for effective process development in the food industry [27] and aid in assessment of the quantity of products and side streams.
As the fishmeal and fish oil production was assessed under steady-state conditions, the mass of the raw materials entering the process facilities equalled the mass of the products and other exiting processing streams [28]. The raw materials are composed of three major components: solids (FFDM), lipids, and water. The primary purpose of the fishmeal process lies in the separation of these major components [13]. The mass balances were established throughout the production, and the quantity of side streams was estimated based on changes in these components after each processing step. The overall mass balances were calculated based on an input of 1000 kg of raw materials. When fitting the mass balance between operation steps, average values were used on an FFDM base.
2.4. Protein Changes during Processing
2.4.1. Salt Soluble Protein Content (SSP)
Salt soluble proteins (SSP) were extracted from the samples with a NaCl buffer (1 M NaCl and 0.02 Na2CO3, pH 7.0) according to the method described by Kelleher and Hultin [29]. Exactly 190 mL of buffer solution was added to 10 g sample, and the mixture was homogenized in an Ultra-Turrax homogenizer (Ika Laborttechnik, T25 basic, Staufen, Germany) for 1 min. The mixture was incubated on ice for an hour before being centrifuged at 4 °C for 15 min at 10,000 rpm (Avanti Centrifuge J.10, Beckmann Coulter, Fullerton, CA, USA). The SSP were measured by quantifying the amount of solubilized protein in the supernatant based on the Bradford method [30]. The diluted supernatant and the Bradford reactive solution were placed in a 96-well microplate, and the absorbance read at 595 nm (Sunrise Microplate Reader, Tecan GmbH, A-5082 Grodig, Austria). The SSP were calculated based on a calibration curve made with bovine serum albumin with concentrations ranging between 0.1–1.4 mg/mL. Results were expressed as a percentage of the wet weight.
2.4.2. Biogenic Amines (BA)
Samples were tested for biogenic amines, including tyramine, putrescine, cadaverine, and histamine, using a method developed by Olajos [31]. About 5 g of the sample was homogenized with 45 mL of 0.6 M perchloric acid using an Ultra-Turrax homogenizer for 1 min. The homogenate was then filtered through a Whatman pleated filter paper 113 V. The filtrate was pressed using a disposable syringe assembled into a membrane filter (pore size 0.45 µm). This extract was then used for the measurement by using liquid chromatography (LC-30/20 AD with two low-pressure pumps high-performance liquid chromatography (HPLC) system) (Shimadzu, Kyoto, Japan). The BA were separated on a reversed-phase column (Zorbax Eclipse Plus C 18 4.6 × 250 mm, 5 µm), and after online derivatization (post-column derivatization) using ortho-phthalaldehyde, they were measured by fluorescence detection. A standard curve was made using a mixture of standard solutions, including tyramine hydrochloride, putrescine dihydrochloride, cadaverine dihydrochloride, and histamine dihydrochloride solutions, spanning a range of 2.5–100 mg/L. The BA contents were calculated and expressed as g/kg wet weight (ww).
2.4.3. Total Volatile Basic Nitrogen (TVB-N), Trimethylamine (TMA) and Dimethylamine (DMA)
TVB-N was determined using the steam distillation method described by Malle and Poumeyrol [32]. Approximately 50 g of sample was homogenized with 100 mL of 7.5% aqueous trichloroacetic acid solution. The blend was filtrated through a Whatman pleated filter paper 113 V. Then, 25 mL of the extract was transferred into a distillation flask with 6 mL of 10% NaOH solution. Steam distillation was then performed using a Kjeldahl-type distillatory, and the TVB-N was collected under a condenser into a beaker containing 10 mL solution of 4% boric acid and indicators (0.04 mL of methyl red and bromocresol green), which turned green when alkalinized by the TVB-N. The alkalized mixture was titrated with a standardized H2SO4 (0.037 N) solution using a 0.05 mL graduated burette. Complete neutralization was achieved when the colour turned pink on addition of a further drop of sulphuric acid solution.
The TMA and DMA were measured according to the liquid chromatography–mass spectrometry method described by Baliño-Zuazo and Barranco [33]. About 2.5 g of sample was homogenized with 50 mL of 10 mM acetic acid solution and centrifuged at 13,400 rpm at 4 °C. Twenty µL of the supernatant of the extract was mixed with 480 µL of tetraethylammonium chloride hydrate 3.2 µg/mL in acetonitrile/water (6:4), 20 µL of 0.5 M bicarbonate buffer, and 1 mL of tert-butyl bromoacetate (5 mg/mL in acetonitrile). The mixture was incubated in a water bath for 1 h at 60 °C for a derivatization reaction. The derivatized samples were analyzed using a Luna HILIC column (150 × 2 mm I.D., 3 µm) (Phenomenex Torrance, CA, USA) in a Dionex Ultimate 3000 HPLC (Thermo Fisher Scientific, Waltham, MA, USA) coupled to a TSQ Quantiva mass spectrometer (Thermo Fisher Scientific, Waltham, MA, USA). The TVB-N, TMA, and DMA were calculated and indicated as mg N/100 g ww.
2.5. Statistical Analysis
All data summaries and statistical analyses were performed using the IBM SPSS Statistics software (Version 22, IBM, 1 New Orchard Road, Armonk, New York, NC 10504-1722, USA) and Microsoft Office Excel 2013 (Microsoft Inc., Redmond, WA, USA). One-way analysis of variance (ANOVA), Tukey’s HSD tests, and Student t-tests were performed on means of the variables. Significant difference was set at the 5% level (p < 0.05) for all statistical analyses.
3. Results and Discussion
3.1. Changes in Proximate Composition during Processing
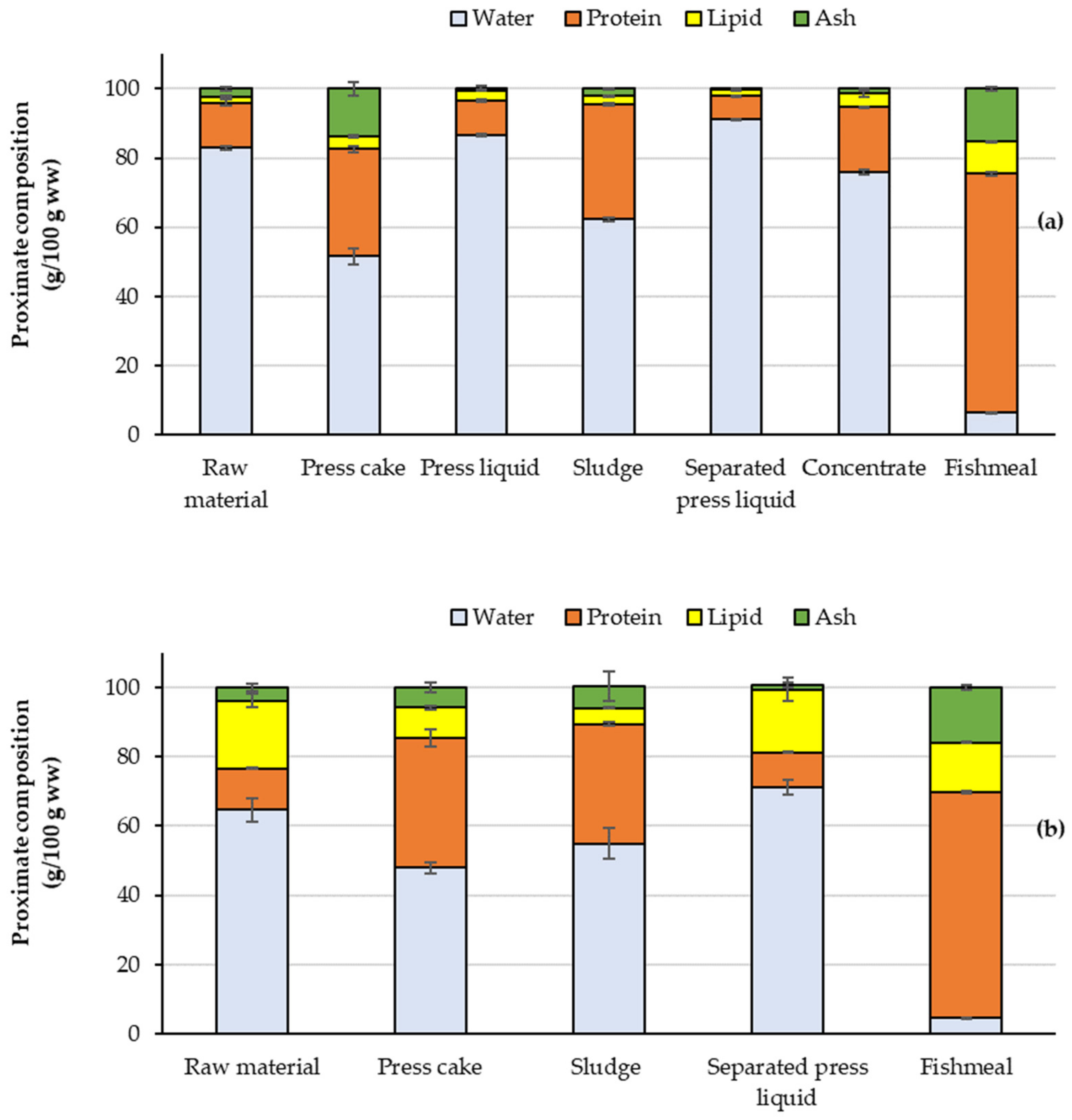
The water content of the blue whiting (82.9 ± 0.6%) was significantly higher than in the mackerel/herring blend (64.6 ± 3.3%) (p < 0.05). By contrast, the MHB had a significantly higher lipid content (19.5 ± 2.0%) than the BW (1.8 ± 0.1%). The difference in water and lipid contents between the different raw materials agrees with the species-dependent lipid content, as water and lipid content have an inverse linear relationship in fish muscle [34,35]. The BW had slightly higher water and lower crude protein content than the blue whiting reported by Egerton et al. [34], which had lipid, crude protein, and water contents ranging between 3–5%, 16–18%, and 75–80%, respectively. These differences can mainly be explained by different location and time of fishing [36].
Water content decreased significantly during pressing to 51.5 ± 2.3% and 47.9 ± 1.6% in the BW and MHB press cakes, respectively (Figure 2). The water content of the sludge was 62.4 ± 0.6% and 56.3 ± 0.9% in the BW and MHB, respectively, which was significantly lower than the water content in the separated press liquid (91.1 ± 0.0% and 71.2 ± 2.1%). These results confirm that the press and decanter play an important role in water removal. Water content is an important quality parameter of fishmeal. Low water content can inhibit protein browning and bacterial-caused deterioration. However, too low water activity increases the risk of lipid oxidation and loss of protein solubility [37]. Therefore, a water content of 5–12% is generally recommended for fishmeal [13,25]. The final BW and MHB fishmeal had water contents close to the suggested range (6.4 ± 0.1% and 4.6 ± 0.2%, respectively) and are comparable to earlier published results for these species [38,39].
Figure 2.
Proximate composition (%, g/100 g ww) in BW (a) and the MHB (b) fishmeal products during industrial processing.
Most of the lipids followed the liquid processing streams after the separation steps, resulting in increased crude protein and decreased lipid content in the press cake and sludge (Figure 1 and Figure 2), more so in the MHB processing due to the higher lipid content in the raw material. The MHB press cake had a crude protein content of 37.5 ± 2.4% and a lipid content of 8.8 ± 0.6%, compared to 12.0 ± 0.3% crude protein and 19.5 ± 2.0% lipid content in the raw material. Similarly, after passing the decanter, the sludge contained 34.6 ± 0.7% protein and 4.7 ± 0.2% lipid, compared to 10.0 ± 0.2% protein and 18.2 ± 3.3% lipid in the separated press liquid. The crude protein content significantly increased while the lipid content decreased in the final MHB fishmeal (65.2 ± 0.3% protein and 14.3 ± 0.2% lipid) compared to the raw material (Figure 2b). Both the proportional protein and lipid contents were significantly higher in the final BW fishmeal than in the raw material, mainly due to water removal. The BW fishmeal had a similar crude protein content to the BW fishmeal in earlier studies (68–70.5%) [38,40]. The protein contents of the fishmeal were comparable to fishmeal made from other pelagic species reported in the literature [38,41,42] and higher than the protein content in fishmeal made from both cod and saithe (61.9%) [39] and tuna cut-offs (56.2–59.1%) [43]. The lipid content of fishmeal from pelagic fish is typically between 6–10% [39,41]. The MHB fishmeal had a considerably higher lipid content and lower protein content than the BW fishmeal, reflecting the different composition of the raw materials used [13]. Lipid separation is thus of special importance during processing of fatty fish species. However, both the BW and MHB fishmeal had a high lipid content and were thus classified as type C fishmeal and should not be used for human food under current processing conditions [13,18,25]. The high lipid content indicates inefficiency in lipid separation and removal during processing of both species. The processes thus require optimization with regards to the lipid separation if the fishmeal is intended for human consumption. However, the optimal processing changes might be different while processing the two different species. Hilmarsdottir et al. [18] suggested that optimization of early processing steps, including the heating steps, would improve lipid separation during fishmeal processing of a mackerel–herring blend. Furthermore, their study suggested that drying the press cake, the sludge, and the latter concentrate individually could result in more flexibility in processing and process control, ultimately leading to the production of higher-quality products.
The press cake of both raw materials contained higher amounts of ash than other intermediate stages of processing or 13.7 ± 1.9% and 5.7 ± 1.5% in the BW and MHB, respectively. The high ash content of the press cake reflects that the bones of the fish were mainly left in the press cake. This was especially evident in the BW processing. After entering the decanter, the remaining ash content remained in the sludge, resulting in a lower ash content in the separated press liquid (0.3 ± 0.0% in BW and 1.3 ± 0.8% in MHB). The water and lipid removal led to a relative increase of ash content in both the BW and MHB fishmeal (15.6 ± 0.4% and 15.9 ± 0.7%, respectively), of which results are comparable with values observed in anchovy fishmeal (15.0%) [41] but lower than those seen in fishmeal made from cod and saithe off-cuts (22.4%) [39].
3.2. Mass Balances during Processing
The factory produces fishmeal and fish oil from around 1200 tons of raw material per hour when operating at full capacity [18]. However, to ease the assessment of yield and size of processing streams, a basis of 1000 kg of raw materials was set for the mass balance calculations. The different raw materials resulted in very different proportions of mass flow through the press cake, sludge, and concentrate, as well as differences in the yield of fishmeal and oil (Figure 1), but processing yields are highly dependent on the chemical composition of the raw materials [13]. The ratios between the press cake and separated press liquid were approximately 3:4 and 1:2 for the BW and MHB, respectively, indicating that the chemical composition had a high impact on the balance between the liquid and solid streams during processing, and thus the effectiveness of the process. The obtained ratios between the press cake and press liquid furthermore indicate that the pressing was more efficient in the MHB than in the BW. In agreement with this, the MHB, which had higher FFDM and lipid content in the raw material, resulted in a higher production yield of both fishmeal and oil than the BW (Figure 1).
Although most of the lipids followed the separated press liquid, a significant amount of lipids remained in the press cake (approximately 4% and 9% in the BW and MHB, respectively) and sludge (3% and 5% in the BW and MHB, respectively). After evaporation of the press liquid, the concentrate was mixed with the sludge and press cake prior to entering the drying steps. The press cake contributed the biggest proportion (44% and 54%) of the total mass in the combined solid stream, followed by the sludge (39% and 27%), and the smallest proportion originated from the concentrate (17% and 19%) during the BW and MHB fishmeal productions, respectively. The press cake was the highest contributor of lipids (39% in BW and 67% in MHB) in the fishmeal. In BW, the highest contributor to water was the sludge (38%), whereas the concentrate was the highest contributor of water to the MHB fishmeal (44%). The different contributions of the solid streams towards the composition of the final fishmeal during processing of the two different raw materials are of high concern and highlight the importance of adjusting the processing towards the optimal efficiency and quality of each raw material. The high water content in the BW production indicates that the decanter did not operate properly, potentially due to overload, leaving a higher water proportion in the BW sludge (38%) compared to the MHB sludge (21%) (Figure 1). Overload of the decanter should thus be avoided. Assessment of the fishmeal composition, furthermore, identified the high importance of efficient lipid separation, both from the BW sludge and the MHB press cake, indicating that the initial processing steps require optimization for the removal of lipids during processing of both species.
Most of the lipids present in the separated press liquid were effectively extracted with the two centrifuges, forming the final fish oils and decreasing the lipid content of the fishmeal. However, only 26% of the lipid content of the BW raw material was extracted to form the BW fish oil, whereas 86% of the MHB lipid content in the MHB raw material was extracted to form the MHB fish oil. This could partially be dependent on differences in the total lipid content as well as the lipid composition and availability of lipid classes between the species [16]. Improving the lipid separation from the solid streams and directing them toward the liquid streams would therefore not only increase the fishmeal quality but also increase the oil yield. The different efficiency of the processing steps due to the variation in chemical compositions of the different raw materials indicate that further optimizations of the processing of each species are necessary.
The BW and MBH fishmeal could both be classified as type C fish protein concentrate (FPC), according to their lipid content. For a type A FPC, the lipid content should be lower than 0.75% [13,25]. Substantial changes are thus required during processing of both species to obtain a type A FPC classification of the products. However, as the solid streams differ in proximate composition (Figure 1), a suitable end product needs to be aligned with the properties of each raw material and each processing stream, including the quality of the proteins, which are discussed in the following section.
3.3. Protein Quality Changes during Processing
3.3.1. Salt Soluble Protein Content (SSP)
Salt soluble protein content (SSP) decreased significantly during processing, from 5.7 ± 0.7% to 0.9 ± 0.0% in the BW and from 6.1 ± 0.5% to 0.9 ± 0.0% in the MHB (Figure 3a,b), indicating substantial protein denaturation and associated loss of protein solubility during the processing of both species. Generally, the total protein content in fish muscle ranges from 11–24% wet weight, in which SSP account for 85–90% [2,44]. Low SSP content was expected in this study due to the high content of connective tissues (stroma protein) in the raw material [45]. Moreover, the low SSP in both BW and MHB raw materials may be due to protein denaturation during cold storage before processing and the frozen storage of the samples until they were analyzed. The SSP content in the BW was slightly higher than in the blue whiting studied by Derkach et al. [46], which had an SSP content of 5.2%.
Figure 3.
Salt soluble proteins (%, g SSP/100 g ww) in chosen BW (a) and MHB processing samples during industrial fishmeal production (b). Lowercase letters indicate significant differences in SSP between sampling locations, while uppercase letters indicate significant differences between two types of raw materials at the same processing step. Statistical significance levels were set to p < 0.05 for all analyses.
The SSP significantly decreased right after the cooking steps and remained stable during the following steps, reflecting that the proteins were already mostly denatured during cooking. This is in agreement with earlier studies, which have shown that protein denaturation occurs mainly during the cooking step as cell membranes break down, and the fat depots rupture, separating the oil and water from the fish muscle [13]. Heating thus causes irreversible changes to the protein structure, such as protein unfolding, exposing previously hidden hydrophobic groups, or heat-induced aggregation, resulting in decreased content of salt soluble proteins [45,47]. The very low SSP content after the cooking step indicates that most myofibrillar proteins denatured, and sarcoplasmic proteins precipitated during the heat treatment. These protein changes can furthermore decrease protein digestibility in vitro [48]. Actin, myosin, and sarcoplasmic proteins account for 85–95% of total fish proteins [44]. Fish myosin begins to denature at around 35 °C; sarcoplasmic proteins are denatured at around 44 °C, while actin is denatured in the temperature range of 58–68 °C [49,50,51]. Most fish proteins have thus denatured at temperatures around 75 °C [13]. Significant decreases in protein solubility due to heat processing have also been reported earlier [52,53]. A proportional increase was observed in SSP in the final fishmeal compared to the solid streams entering the dryers. Although some further protein denaturation is expected to occur during the drying step, this increase in SSP can mainly be explained by the removal of water and lipids during drying.
SSP content is related to protein solubility, which is considered the first functional characteristic during the development and testing of a new protein ingredient. Protein solubility is the primary property of proteins used in liquid foods [45]. The low SSP in the fishmeal hence limit their practical uses. The heat treatment applied in the current fishmeal processing appears to be too rough. For the products to be fit for human consumption, the heating step thus requires changing. Adding a suitable amount of polyphosphate or sucrose could potentially protect the proteins from denaturation during drying, as suggested by Shaviklo [8]. In addition, potential alternative processing solutions could involve the reduction of the temperature but extending the heating step duration both during cooking and drying or use tailored enzymes (proteases) to facilitate more effective protein breakdown without losing the SSP. The use of enzymes may decrease the processing time, lower the energy input, and increase the economic effectiveness as shown in various industrial food processing, such as fish protein concentrate or hydrolysate production [54]. Protein hydrolysates are good nutritional supplements since they have high bioavailability and can be utilized for various metabolic activities [55]. The enzymatic process could be performed at a temperature range from 45–60 °C [56,57] for an extended time. However, these temperature conditions can also promote microbial, biochemical, and chemical spoilage during processing [58,59,60] and should thus be applied with care. The products derived from an enzymatic protein hydrolysis can have a bitter taste, which is one of the key issues that limits its application in food products [57]. However, this showcases the wide potential that lies in pelagic fish processing and high-quality product development and innovation.
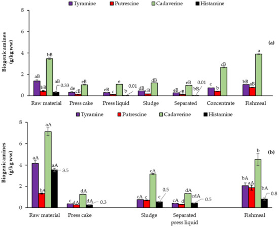
3.3.2. Biogenic Amines (BA)
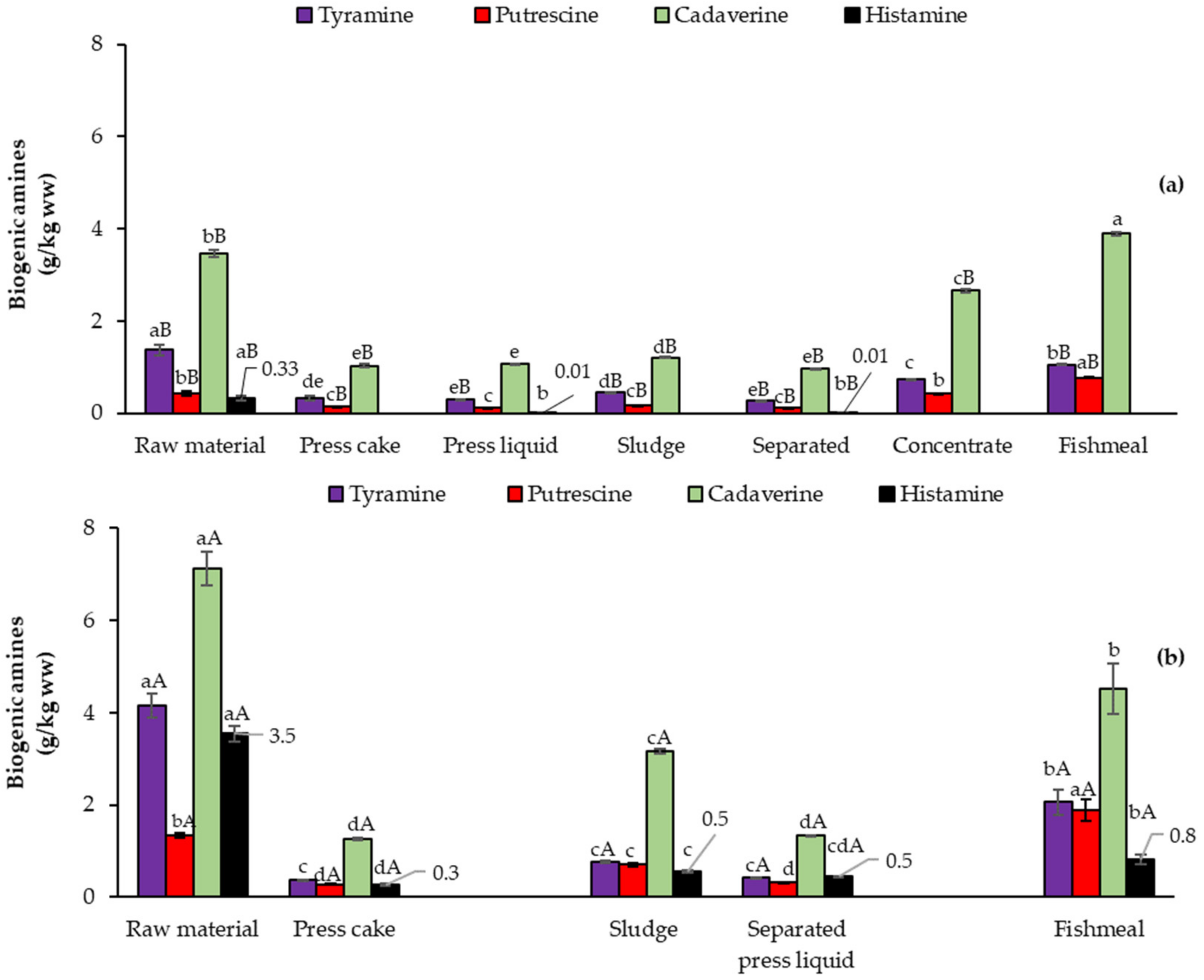
The four BA, tyramine, putrescine, cadaverine, and histamine, decreased during processing and were more strongly indicated in the MHB than in the BW processing (Figure 4a,b). Cadaverine was the most abundant biogenic amine in all sampling locations during processing of both BW and MHB. In the BW process, histamine was only detected in the raw material (0.3 ± 0.1 g/kg ww) and the liquid streams (press liquid and separated press liquid, each with the content of 0.01 g/ kg ww). No histamine was detected in the BW fishmeal, indicating that the histamine was successfully removed during the processing. The histamine level in the initial MHB raw material was 3.5 ± 0.2 g/kg ww and decreased to 0.8 ± 0.1 g/kg ww in the final fishmeal. However, higher histamine levels were detected in all processing streams in the MHB processing than what is acceptable for human food (<0.2 g/kg ww), as established by the European Commission Regulation No 2073/2005. The histamine in the raw materials was higher than the acceptable level for human consumption but was at acceptable levels for fishmeal in BW (<1 g/kg ww) [61]. High BA levels in the BW and MHB raw materials may have resulted from bacterial activity during the delay between catching and processing [13,18]. Since both mackerel and herring are histidine-rich species, and the raw material used for fishmeal processing contained a large ratio of viscera and dark muscle, the risk of bacterial growth is high [62]. Furthermore, the generation of BA in mackerel and herring has been shown to occur even when stored at low temperatures, such as 2 °C [21].
Figure 4.
Biogenic amines (BA) (g/kg ww) obtained during fishmeal and oil processing from BW (a) and MHB (b). Within each BA type, lowercase letters indicate a significant difference between sampling locations, while uppercase letters show significant differences between raw materials at the same processing step. Statistical significance levels were set to p < 0.05 for all analyses.
The BA content was significantly higher in the MHB than the BW raw material, and the same trend was seen in the corresponding fishmeal. This indicates that the BA formation is species specific [63,64]. Histidine, the precursor to histamine, exists in abundance in the dark muscle of fish. Thus, dark-muscle-rich fish species generally contain more histidine than leaner species [59,63]. Furthermore, there is a positive correlation between the amino acid histidine and the amount of histamine formed [65]. Tuna and mackerel, which belong to the scombroid family, thus often have high histidine levels [60,64], resulting in high histamine contents in products from these species. This is in good agreement with the different BA levels in the species in the current study, but no histamine was found in the BW fishmeal, while a histamine content of 0.8 g/kg ww was obtained in the MHB.
Several previous studies have indicated that BA are thermally stable even during boiling [66,67] and are thus not likely to be primarily affected by the thermal steps. However, in this study, significant decreases were observed in the BA after the cooking and pressing steps, during which the total content of the four studied BA went from 5.6 g/kg ww in the raw material to 1.5 g/kg ww in both the press cake and press liquid of the BW and from 16.2 g/kg ww in the raw material to 2.2 g/kg ww in the press cake for the MHB. Overall, about 82% and 89% of the total BA content in the raw materials was removed during the BW and MHB processing, respectively (Figure 1 and Figure 4). These overall decreases in BA content after processing could possibly be explained by their complex decomposition into other volatile compounds under heating [67]. BA are of low molecular weight and mostly water-soluble [60,68] and are thus released into the liquid streams rather than the oil and solid streams. This results in a higher BA amount in the press liquid than press cake (in the BW) and higher BA in the separated press liquid than the sludge (BW and MHB). Mixing the liquid streams back into the fishmeal processing, as is currently carried out, could thus cause problems when processing raw materials with high BA content and should be avoided, at least for histamine-rich species such as mackerel. However, the effect of the BA levels of other species, such as BW, should not be neglected since high levels of individual BAs (such as cadaverine) can cause problems when adapting the processes towards human consumption. The relative increase in total BA observed in the concentrate (BW) and both fishmeal products (BW and MHB) may then be due to the water and lipid removal during processing, as discussed above.
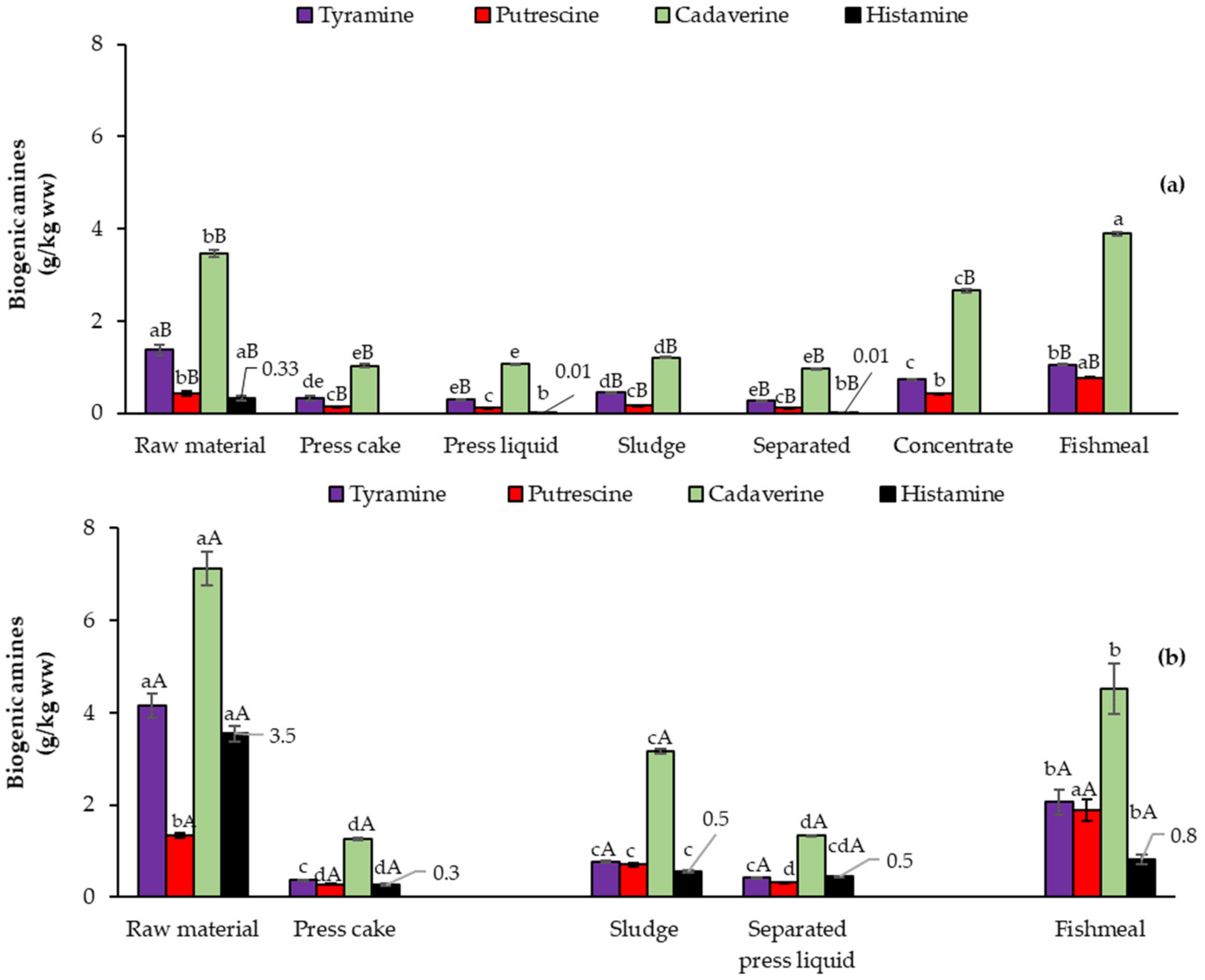
3.3.3. Total Volatile Basic Nitrogen (TVB-N), Trimethylamine, and Dimethylamine
TVB-N in fish and fishery products primarily includes ammonia, TMA, and DMA [13]. TVB-N levels are often used as a quality criterion for the freshness of raw materials destined for fishmeal processing. Threshold values are set to not exceed 60 mg N/100 g in the raw material if the products are intended for human consumption (European Commission Implementing Regulation No 2019/627) [13] and should be less than 80 mg N/100 g in the raw material for fishmeal production [13]. High TVB-N and TMA levels were observed in the raw materials (with TVB-N contents of 83.9 ± 0.6 and 68.1 ± 3.4 mg N/100 g ww in the BW and MHB, respectively, and TMA content of 60.3 ± 5.3 and 35.8 ± 4.6 mg N/100 g ww in the BW and the MHB, respectively. These values indicate spoilage in the raw material during the delay between catch and processing, in agreement with the observation of the BA formation in the raw material prior to processing. Furthermore, the raw materials contain viscera, which have a high content of bacteria and enzymes that can promote spoilage during the transport and storage of the fish on board the fishing vessel before entering the fishmeal processing [13,24]. The TVB-N level of the BW was higher than the recommended level for the raw material and substantially higher than reported values in the light muscle of blue whiting, even after six days of storage on ice at 0 °C (22.7 ± 1.6 mg N/100 g ww) [69]. The DMA level of the BW (11.9 ± 1.1 mg N/100 g ww) was higher than in the light muscle of blue whiting as studied by Rey-Mansilla et al. [24], who detected DMA levels of only 4 mg N/100 g ww after seven days of iced storage. The TVB-N, TMA, and DMA were significantly higher in the BW raw material than in the MHB. This may be due to the BW being a gadoid fish, which has high level TMAO and TMAase enzyme [24,70]. According to the study by Mizuguchi et al. [70] DMA is formed faster in dark muscle than light gadoid muscle, and that DMA formation was triggered by two main factors, i.e., nonheme iron and taurine levels, which are both abundant in gadoid dark muscle. DMA formation is therefore of special concern during processing of BW cut-offs, which contain a high proportion of dark muscle. Furthermore, the TMAO may already have partially decomposed into DMA in the raw material during the delay between catch and processing, explaining high DMA levels in the BW raw material, as discussed earlier.
The TVB-N levels decreased during the fishmeal processing of both the BW and MHB before the drying steps (Figure 5). The water removal during drying may have resulted in a relative increase in the TVB-N content in both final products, in a similar manner as seen in the BA and SSP results. About 81% and 62% of the TVB-N in the raw material evaporated during BW and MHB processing, respectively (Figure 1 and Figure 5). TMA levels showed similar trends as the TVB-N levels during processing (Figure 5), indicating that TMA is a dominant component of the TVB-N, as shown by Howgate [71]. Since TMA is a volatile amine [72], a part of the TMA content that existed in the raw material may have evaporated during the cooking and pressing steps, resulting in lower TMA content in both the press cake and press liquid (in BW). More than 90% of the TMA in the raw materials was removed during both BW and MHB processing (Figure 1 and Figure 5). However, the same trend was not as clearly indicated in the DMA changes. The DMA content was stable before entering the centrifugation step. After evaporation and centrifugation, the removal of water and oil led to significantly higher levels of DMA, TMA, and TVB-N in the concentrate than the separated press liquid in BW (Figure 5a). TVB-N, TMA, and DMA are water-soluble compounds; thus, they are mainly dispersed into the liquid phases during processing, resulting in a significantly higher amount in the liquid streams (BW press liquid and BW- and MHB-separated press liquid) than in the solid ones (BW press cake and BW and MHB sludge, respectively). TMAO is decomposed into TMA, DMA, and formaldehyde (FA) during thermal processing [73]. Therefore, the remaining TMA and DMA in the products may result from two concurrent processes, the generation from TMAO decomposition and loss due to volatilization. Rapid DMA non-enzymatic formation was observed in fish muscle dried at 90 °C by Spinelli and Koury [74]. This may explain why the DMA was not lost during the fishmeal processing in this study in the same manner as the TVB-N and TMA (Figure 5). DMA levels increased significantly during evaporation in the BW fishmeal processing, from 11.0 ± 0.5 mg N/kg ww in the separated press liquid to 30.2 ± 0.6 mg N/kg ww in the concentrate. During the drying step, a large part of the water was removed, which could lead to a relative increase in the TMA such as other dry matter components. However, the TMA in the final fishmeal products was lower than during processing (press cake, sludge, and concentrate). This indicates that the TMA was removed in the drying steps, probably mainly due to the removal of water.
Figure 5.
Volatile nitrogen content (mg N/100 g ww) in streams from the industrial BW fishmeal production (a) and MHB fishmeal production (b). Within each parameter, lowercase letters investigate significant differences between sampling locations, uppercase letters show significant differences between raw materials at the sample processing step. Statistical significance levels were set to p < 0.05 for all analyses.
Although the TVB-N contents in the raw material and intermediate processing streams were generally higher in the BW than the corresponding MHB samples, the MHB fishmeal had a significantly higher TVB-N level than the BW fishmeal. Meanwhile, the TMA and DMA were higher in the BW than in the MHB fishmeal. This could be due to potentially higher ammonia formation during the pre-processing delay of the MHB by-product blend than in the BW due to a higher proportion of viscera in the MHB raw materials. Viscera, which are rich in enzymes and bacteria, can promote protein changes and spoilage, forming amino acids and ammonia [72], resulting in the formation of undesirable odours and flavours. Ammonia generation during thermal degradation of protein and amino acids has also been observed in earlier studies [75,76].
The fact that the non-protein nitrogen compounds followed the liquid streams, resulting in lower values in the solid streams (the press cake and sludge), indicates that processing these streams individually could lead to lower volatile nitrous compounds in the final products, especially if the BA-rich liquid streams are not redirected into the process. This is in agreement with the observations of Hilmarsdottir et al. [18], who identified inefficient water removal during the draining and concentration steps and that the lipid separation from the fishmeal was insufficient for the production of high-quality products, such as for human consumption or even fish feed. Hilmarsdottir et al. [18] thus recommended that the main streams entered to final fishmeal (press cake, sludge, and latter concentrate) should be processed separately. This would allow production of higher-quality protein products from the press cake, while the sludge and concentrate could contribute to lower value products. The current observations on BA, TVB-N, and TMA content support this notion as well. However, the sludge had a high protein ratio (88 g/100 g dry matter (DM) in BW and 78 g/100 g DM in MHB) and a low lipid and ash proportion, comparable with the proximate composition of fish protein hydrolysates [9]. This stream, therefore, could potentially be used to produce high-value products, such as special feeds, animal feed enrichments, or nutritional supplements and healthy foods for human consumption, such as fish protein hydrolysates or fish protein concentrates [8,9]. These potential uses may bring more economic value than traditional fishmeal production. However, to develop high-quality products for humans, other quality properties of this part, such as TVB-N and biogenic amines of the sludge, need to comply with safety requirements. Processing should thus primarily be optimized to reduce these unwanted non-protein nitrogen compounds. Adding membrane filtration at appropriate settings to the processing could potentially provide a solution to this problem.
4. Conclusions
Chemical characteristics of the protein-rich processing streams in two industrial fishmeal processes of BW and MHB were evaluated in this study. The raw materials and processing samples were collected at the fishmeal factory. With an input of 1200 tons of raw materials per day, the quality of raw materials entering the factory can be highly variable. The fishmeal production processes were conducted three days post-catch to ensure enough raw materials to fulfil the capacity criteria of the factory. However, this pre-processing delay resulted in considerable heterogeneity and quality degradation in the raw material. In addition, the analysis showed that processing conditions at each step could fluctuate significantly, and the processing efficiency was highly dependent on the species being processed. These variations furthermore influenced the chemical properties of the samples and the quality of the resulting fishmeal products.
Large amounts of non-protein nitrogen compounds were observed in the raw materials, probably due to the three-day pending time from catch to entering the fishmeal processing. Removing the viscera and proper collecting, handling, stable cooling, and storing of the raw materials before processing would improve the safety and quality of the final protein products. This can widen the utilization of the final protein products, potentially even for human consumption, and simultaneously bring more economic benefits of the production.
The BW fishmeal had a higher protein content (69.1 ± 0.5%) than typical fishmeal (64–67%), and BA and TVB-N levels were within acceptable thresholds for fishmeal. The MHB fishmeal had a protein content of 65.2 ± 0.3% and a histamine content below 1 g/kg, currently making it acceptable for animal feed. However, the histamine (0.8 ± 0.1 g/kg) and TVB-N (131.4 ± 7.3 mg N/100 g) in the fishmeal were higher than acceptable for human consumption. These two products can thus be graded as type C fishmeal with lipid contents above 3%.
Soluble protein content and non-protein nitrogen compounds were readily released into the liquid processing streams together with most of the water and lipids, while high-molecular-weight proteins were retained in the solid streams. Most undesirable non-protein nitrogen compounds were removed during the processing of both species, especially during the drying step. The lipid quality was also highly affected by heating in this step, as described earlier by Hilmarsdottir et al. [18]. This indicates that the drying step requires optimization. Spray drying of the processing streams could potentially provide milder drying and higher quality. Other unoptimized processing steps, such as pressing and concentration, were also identified, which need to be improved in order to produce high-quality products in the future. The testing of alternative processing is left for future studies. Comparison between the two species, moreover, showed that the processes need to be adapted to each raw material for higher-value product production.
In both industrial fishmeal processes (BW and MHB), the press cake had high protein contents and low contents of non-protein nitrogen compounds, making the press cake a promising material for the development of higher-value products. Furthermore, separate processing of the solid streams (press cake, sludge, concentrate) thus shows promising potential for production of a wider range of products, including high-value products for human consumption. However, to be used as human food, the products from the optimized processes should be studied further regarding amino acid profiles, digestibility, and sensory attributes. It would also be of interest to study applications of the optimized products as ingredients for the development of other value-added products included for human consumption.
Author Contributions
Conceptualization, H.T.N., G.S.H., T.T., S.A. and M.G.; methodology, H.T.N., G.S.H., S.A. and M.G.; software, H.T.N.; validation, H.T.N.; formal analysis, H.T.N. and G.S.H.; investigation, H.T.N.; resources, S.A. and M.G.; data curation, H.T.N. and G.S.H.; writing—original draft preparation, H.T.N.; writing—review and editing, H.T.N., G.S.H., T.T., S.A. and M.G.; visualization, H.T.N., G.S.H., T.T., S.A. and M.G.; supervision, S.A. and M.G.; project administration, S.A. and M.G.; funding acquisition, S.A. and M.G. All authors have read and agreed to the published version of the manuscript.
Funding
This research was funded by the AVS (the Added Value of Seafood) fund of the Ministry of Fisheries and Agriculture in Iceland (grant number: R18 031-18). The PhD scholarship was funded by the UNESCO affiliated GRÓ Fisheries Training Programme.
Acknowledgments
The authors thank Sildarvinnslan ohf. (Iceland) for access to their facilities, assistance, and raw materials for the study and the staff at Matís ohf, Food and Biotech R&D, for their assistance with analytical measurements.
Conflicts of Interest
The authors declare no conflict of interest.
References
- Golden, C.D.; Allison, E.H.; Cheung, W.W.L.; Dey, M.M.; Halpern, B.S.; McCauley, D.J.; Smith, M.; Vaitla, B.; Zeller, D.; Myers, S.S. Nutrition: Fall in fish catch threatens human health. Nature 2016, 534, 317–320. [Google Scholar] [CrossRef]
- Sikorski, Z.E.; Bonnie, S.P.; Fereidoon, S. Seafood Proteins; Springer: New York, NY, USA, 1995. [Google Scholar]
- FAO. The State of World Fisheries and Aquaculture 2020: Sustainability in Action; FAO: Rome, Italy, 2020. [Google Scholar]
- Merino, G.; Barange, M.; Blanchard, J.L.; Harle, J.; Holmes, R.; Allen, I.; Allison, E.H.; Badjeck, M.C.; Dulvy, N.K.; Holt, J.; et al. Can marine fisheries and aquaculture meet fish demand from a growing human population in a changing climate? Glob. Environ. Change 2012, 22, 795–806. [Google Scholar] [CrossRef]
- Béné, C.; Barange, M.; Subasinghe, R.; Pinstrup-Andersen, P.; Merino, G.; Hemre, G.I.; Williams, M. Feeding 9 billion by 2050—Putting fish back on the menu. Food Secur. 2015, 7, 261–274. [Google Scholar] [CrossRef] [Green Version]
- Cashion, T.; Le Manach, F.; Zeller, D.; Pauly, D. Most fish destined for fishmeal production are food-grade fish. Fish Fish. 2017, 18, 837–844. [Google Scholar] [CrossRef]
- Abbey, L.; Glover-Amengor, M.; Atikpo, M.O.; Atter, A.; Toppe, J. Nutrient content of fish powder from low value fish and fish byproducts. Food Sci. Nutr. 2016, 5, 374–379. [Google Scholar] [CrossRef]
- Shaviklo, A.R. Development of fish protein powder as an ingredient for food applications: A review. J. Food Sci. Technol. 2015, 52, 648–661. [Google Scholar] [CrossRef] [Green Version]
- Chalamaiah, M.; Dinesh kumar, B.; Hemalatha, R.; Jyothirmayi, T. Fish protein hydrolysates: Proximate composition, amino acid composition, antioxidant activities and applications: A review. Food Chem. 2012, 135, 3020–3038. [Google Scholar] [CrossRef]
- Barraza, F.A.A.; León, R.A.Q.; Álvarez, P.X.L. Kinetics of protein and textural changes in Atlantic salmon under frozen storage. Food Chem. 2015, 182, 120–127. [Google Scholar] [CrossRef]
- Soladoye, O.P.; Juárez, M.L.; Aalhus, J.L.; Shand, P.; Estévez, M. Protein oxidation in processed meat: Mechanisms and potential implications on human health. Compr. Rev. Food Sci. Food Saf. 2015, 14, 106–122. [Google Scholar] [CrossRef]
- Sikorski, Z.E.; Kolakowska, A. Changes in protein in frozen stored fish. In Seafood Proteins; Springer: New York, NY, USA, 1994; pp. 99–112. [Google Scholar]
- FAO. The Production of Fishmeal and Oil; FAO: Rome, Italy, 1986. [Google Scholar]
- Nguyen, M.V.; Thorarinsdottir, K.A.; Gudmundsdottir, A.; Thorkelsson, G.; Arason, S. The effects of salt concentration on conformational changes in cod (Gadus morhua) proteins during brine salting. Food Chem. 2011, 125, 1013–1019. [Google Scholar] [CrossRef]
- Lozano, G.; Hardisson, A. Fish|Fish as Food. In Encyclopedia of Food Sciences and Nutrition, 2nd ed.; Caballero, B., Ed.; Academic Press: Oxford, UK, 2003; pp. 2417–2423. [Google Scholar] [CrossRef]
- Hilmarsdottir, G.S.; Ogmundarson, Ó.; Arason, S.; Gudjónsdóttir, M. Efficiency of fishmeal and fish oil processing of different pelagic fish species: Identification of processing steps for potential optimization toward protein production for human consumption. J. Food Process. Preserv. 2021, 45, e15294. [Google Scholar] [CrossRef]
- Statistics Iceland. Profitability in Fishing and Fish Processing 2020; Statistics Iceland: Reykjavik, Iceland, 2021. [Google Scholar]
- Hilmarsdottir, G.S.; Ogmundarson, O.; Arason, S.; Gudjónsdóttir, M. The effects of varying heat treatments on lipid composition during pelagic fishmeal production. Processes 2020, 8, 1142. [Google Scholar] [CrossRef]
- Sveinsdóttir, H.I.; Karlsdóttir, M.G.; Arason, S.; Stefánsson, G.; Sone, I.; Skåra, T.; Rustad, T.; Larsson, K.; Undeland, I.; Gudjonsdottir, M. Effect of antioxidants on the sensory quality and physicochemical stability of Atlantic mackerel (Scomber scombrus) fillets during frozen storage. Food Chem. 2020, 321, 126744. [Google Scholar] [CrossRef]
- Karovičová, J.; Kohajdová, Z. Biogenic amines in food. Chem. Pap. 2005, 59, 70–79. [Google Scholar]
- Klausen, N.K.; Lund, E. Formation of biogenic amines in herring and mackerel. Z. Lebensm. Unters. Forsch. 1986, 182, 459–463. [Google Scholar] [CrossRef]
- Ruiz-Capillas, C.; Herrero, A.M. Impact of biogenic amines on food quality and safety. Foods 2019, 8, 62. [Google Scholar] [CrossRef] [Green Version]
- Visciano, P.; Schirone, M.; Paparella, A. An overview of histamine and other biogenic amines in fish and fish products. Foods 2020, 9, 1795. [Google Scholar] [CrossRef]
- Rey-Mansilla, M.; Sotelo, C.G.; Gallardo, J.M. Decomposition of trimethylamine oxide during iced storage of blue whiting (Micromesistius poutassou). Z. Lebensm. Unters. Forsch. 1999, 208, 267–269. [Google Scholar] [CrossRef]
- Einarsson, M.I.; Jokumsen, A.; Bæk, A.; Jacobsen, C.; Pedersen, S.A.; Samuelsen, T.A.; Pálsson, J.; Eliasen, O.; Flesland, O. Nordic Centre of Excellence Network in Fishmeal and Fish Oil, 1670–7192; Matís Ohf/Matis—Food Research, Innovation & Safety: Reykjavik, Iceland, 2019. [Google Scholar]
- Bligh, E.G.; Dyer, W.J. A rapid method of total lipid extraction and purification. Can. J. Biochem. Physiol. 1959, 37, 911–917. [Google Scholar] [CrossRef]
- Valentas, K.J.; Rotstein, E.; Singh, R.P. Handbook of Food Engineering Practice; CRC Press: New York, NY, USA, 1997. [Google Scholar]
- Fellows, P.J. Food Processing Technology: Principles and Practice; Elsevier: Amsterdam, The Netherlands, 2009. [Google Scholar]
- Kelleher, S.D.; Hultin, H.O. Lithium chloride as a preferred extractant of fish muscle proteins. J. Food Sci. 1991, 56, 315–317. [Google Scholar] [CrossRef]
- Bradford, M.M. A rapid and sensitive method for the quantitation of microgram quantities of protein utilizing the principle of protein-dye binding. Anal. Biochem 1976, 72, 248–254. [Google Scholar] [CrossRef]
- Olajos, I. Implementation and Verification of an Analytical Method for the Quantification of Biogenic Amines in Seafood Products. Master’s Thesis, University of Iceland, Reykjavik, Iceland, 2015. [Google Scholar]
- Malle, P.; Poumeyrol, M. A new chemical criterion for the quality control of fish: Trimethylamine/total volatile basic nitrogen (%). J. Food Prot. 1989, 52, 419–423. [Google Scholar] [CrossRef] [PubMed]
- Baliño-Zuazo, L.; Barranco, A. A novel liquid chromatography–mass spectrometric method for the simultaneous determination of trimethylamine, dimethylamine and methylamine in fishery products. Food Chem. 2016, 196, 1207–1214. [Google Scholar] [CrossRef] [PubMed]
- Egerton, S.; Mannion, D.; Culloty, S.; Whooley, J.; Stanton, C.; Ross, R.P. The proximate composition of three marine pelagic fish: Blue whiting (Micromesistius poutassou), boarfish (Capros aper) and Atlantic herring (Clupea harengus). Irish J. Agric. Food Res. 2020, 185–200. [Google Scholar] [CrossRef]
- Yeannes, M.I.; Almandos, M.E. Estimation of fish proximate composition starting from water content. J. Food Compos. Anal. 2003, 16, 81–92. [Google Scholar] [CrossRef]
- Romotowska, P.E.; Karlsdóttir, M.G.; Gudjónsdóttir, M.; Kristinsson, H.G.; Arason, S. Seasonal and geographical variation in chemical composition and lipid stability of Atlantic mackerel (Scomber scombrus) caught in Icelandic waters. J. Food Compos. Anal. 2016, 49, 9–18. [Google Scholar] [CrossRef]
- Sun, Q.; Senecal, A.; Chinachoti, P.; Faustman, C. Effect of water activity on lipid oxidation and protein solubility in freeze-dried beef during storage. J. Food Sci. 2002, 67, 2512–2516. [Google Scholar] [CrossRef]
- Ariyawansa, S. The Evaluation of Functional Properties of Fish Meal; United Nations University, Fisheries Training Programme: Reykjavik, Iceland, 2000. [Google Scholar]
- Ween, O.; Stangeland, J.K.; Fylling, T.S.; Aas, G.H. Nutritional and functional properties of fishmeal produced from fresh by-products of cod (Gadus morhua L.) and saithe (Pollachius virens). Heliyon 2017, 3, e00343. [Google Scholar] [CrossRef] [Green Version]
- Cozzolino, D.; Chree, A.; Scaife, J.R.; Murray, I. Usefulness of near-infrared reflectance (NIR) spectroscopy and chemometrics to discriminate fishmeal batches made with different fish species. J. Agric. Food Chem. 2005, 53, 4459–4463. [Google Scholar] [CrossRef]
- Cho, J.H.; Kim, I.H. Fish meal–nutritive value. J. Anim. Physiol. Anim. Nutr. 2011, 95, 685–692. [Google Scholar] [CrossRef]
- de Koning, A.J. Quantitative quality tests for fish meal. II. An investigation of the quality of South African fish meals and the validity of a number of chemical quality indices. Int. J. Food Prop. 2002, 5, 495–507. [Google Scholar] [CrossRef]
- Kasmiran, B.; Suvveb, N.V.; Jónsson, A. Comparison and Evaluation of the Quality of Fish Oil and Fishmeal Extracted from the Heads of Yellowfin Tuna (Thunnus albacares) and Albacore Tuna (Thunnus alalunga); Final Project; Nations University Fisheries Training Programme: Reykjavik, Iceland, 2016. [Google Scholar]
- Ustunol, Z. Applied Food Protein Chemistry; John Wiley & Sons: Hoboken, NJ, USA, 2014. [Google Scholar]
- Zayas, J.F. Functionality of Proteins in Food; Springer Science & Business Media: Berlin/Heidelberg, Germany, 2012. [Google Scholar]
- Derkach, S.R.; Grokhovsky, V.A.; Kuranova, L.K.; Volchenko, V.I. Nutrient analysis of underutilized fish species for the production of protein food. Foods Raw Mater. 2017, 5, 15–23. [Google Scholar] [CrossRef]
- Yada, R.Y. Proteins in Food Processing; Woodhead Publishing: Cambridge, UK, 2004. [Google Scholar]
- Gulati, P.; Li, A.; Holding, D.; Santra, D.; Zhang, Y.; Rose, D.J. Heating reduces proso millet protein digestibility via formation of hydrophobic aggregates. J. Agric. Food Chem. 2017, 65, 1952–1959. [Google Scholar] [CrossRef]
- Skipnes, D.; Van der Plancken, I.; Van Loey, A.; Hendrickx, M.E. Kinetics of heat denaturation of proteins from farmed Atlantic cod (Gadus morhua). J. Food Eng. 2008, 85, 51–58. [Google Scholar] [CrossRef]
- Yu, X.; Llave, Y.; Fukuoka, M.; Sakai, N. Estimation of color changes in fish surface at the beginning of grilling based on the degree of protein denaturation. J. Food Eng. 2014, 129, 12–20. [Google Scholar] [CrossRef]
- Vieira, S.; Franco, A.R.; Fernandes, E.M.; Amorim, S.; Ferreira, H.; Pires, R.A.; Reis, R.L.; Martins, A.; Neves, N.M. Fish sarcoplasmic proteins as a high value marine material for wound dressing applications. Colloids Surf. B Biointerfaces 2018, 167, 310–317. [Google Scholar] [CrossRef] [Green Version]
- Ghelichpour, M.; Shabanpour, B. The investigation of proximate composition and protein solubility in processed mullet fillets. Int. Food Res. J. 2011, 18, 1343. [Google Scholar]
- Xu, Y.; Obielodan, M.; Sismour, E.; Arnett, A.; Alzahrani, S.; Zhang, B. Physicochemical, functional, thermal and structural properties of isolated Kabuli chickpea proteins as affected by processing approaches. Int. J. Food Sci. 2017, 52, 1147–1154. [Google Scholar] [CrossRef]
- Singh, R.; Kumar, M.; Mittal, A.; Mehta, P.K. Microbial enzymes: Industrial progress in 21st century. 3 Biotech 2016, 6, 1–15. [Google Scholar] [CrossRef] [Green Version]
- Clemente, A. Enzymatic protein hydrolysates in human nutrition. Trends Food Sci. Technol. 2000, 11, 254–262. [Google Scholar] [CrossRef]
- Fernandes, P. Enzymes in fish and seafood processing. Front. Bioeng. Biotechnol. 2016, 4, 59. [Google Scholar] [CrossRef] [Green Version]
- Nilsang, S.; Lertsiri, S.; Suphantharika, M.; Assavanig, A. Optimization of enzymatic hydrolysis of fish soluble concentrate by commercial proteases. J. Food Eng. 2005, 70, 571–578. [Google Scholar] [CrossRef]
- Sikorski, Z.E.; Kotakowski, E. Endogenous enzyme activity and seafood quality: Influence of chilling, freezing, and other environmental factors. In Seafood Enzymes Utilization and Influence on Postharvest Seafood Quality; Marcel Dekker: New York, NY, USA, 2000; pp. 451–488. [Google Scholar]
- Bulushi, I.A.; Poole, S.; Deeth, H.C.; Dykes, G.A. Biogenic amines in fish: Roles in intoxication, spoilage, and nitrosamine formation—A review. Crit. Rev. Food Sci. Nutr. 2009, 49, 369–377. [Google Scholar] [CrossRef] [PubMed]
- Halász, A.; Baráth, A.; Simon-Sarkadi, L.; Holzapfel, W. Biogenic amines and their production by microorganisms in food. Trends Food Sci. Technol. 1994, 5, 42–49. [Google Scholar] [CrossRef]
- Pike, I.H.; Hardy, R.W. Standards for assessing quality of feed ingredients. In Crustacean Nutrition—Advances in World Aquaculture; D’Abramo, L., Conclin, D., Akiyama, D., Eds.; World Aquaculture Society: Sorrento, LA, USA, 1997; Volume 6, pp. 473–492. [Google Scholar]
- Wu, T.H.; Nigg, J.D.; Stine, J.J.; Bechtel, P.J. Nutritional and chemical composition of by-product fractions produced from wet reduction of individual red salmon (Oncorhynchus nerka) heads and viscera. J. Aquat. Food Prod. Technol. 2011, 20, 183–195. [Google Scholar] [CrossRef]
- Prester, L. Biogenic amines in fish, fish products and shellfish: A review. Food Addit. Contam. 2011, 28, 1547–1560. [Google Scholar] [CrossRef] [PubMed]
- Santos, M.H.S. Biogenic amines: Their importance in foods. Int. J. Food Microbiol. 1996, 29, 213–231. [Google Scholar] [CrossRef]
- Ruiz-Capillas, C.; Moral, A. Free amino acids and biogenic amines in red and white muscle of tuna stored in controlled atmospheres. Amino Acids 2004, 26, 125–132. [Google Scholar] [CrossRef]
- Naila, A.; Flint, S.; Fletcher, G.; Bremer, P.; Meerdink, G. Control of biogenic amines in food—Existing and emerging approaches. J. Food Sci. 2010, 75, 139–150. [Google Scholar] [CrossRef] [Green Version]
- Köse, S.; Quantick, P.; Hall, G. Changes in the levels of histamine during processing and storage of fish meal. Anim. Feed Sci. Technol. 2003, 107, 161–172. [Google Scholar] [CrossRef]
- Mih, H.; Lacherai, A. Nutritional properties of fish meal produced from fresh by-products of Sardina pilchardus. J. Fish. Environ. 2020, 44, 16–23. [Google Scholar]
- Aubourg, S.P.; Medina, I.; Gallardo, J.M. Quality assessment of blue whiting (Micromesistius poutassou) during chilled storage by monitoring lipid damages. J. Agric. Food Chem. 1998, 46, 3662–3666. [Google Scholar] [CrossRef] [Green Version]
- Mizuguchi, T.; Kumazawa, K.; Yamashita, S.; Safey, J. Factors that accelerate dimethylamine formation in dark muscle of three gadoid species during frozen storage. Fish Sci. 2011, 77, 143–149. [Google Scholar] [CrossRef]
- Howgate, P. A critical review of total volatile bases and trimethylamine as indices of freshness of fish. Part 2. Formation of the bases, and application in quality assurance. Electron. J. Environ. Agric. Food Chem. 2010, 9, 58–88. [Google Scholar]
- Wu, T.H.; Bechtel, P.J. Ammonia, dimethylamine, trimethylamine, and trimethylamine oxide from raw and processed fish by-products. J. Aquat. Food Prod. Technol. 2008, 17, 27–38. [Google Scholar] [CrossRef]
- Lin, J.K.; Hurng, D.C. Thermal conversion of trimethylamine-N-oxide to trimethylamine and dimethylamine in squids. Food Chem. Toxicol. 1985, 23, 579–583. [Google Scholar] [CrossRef]
- Spinelli, J.; Koury, B. Nonenzymic formation of dimethylamine in dried fishery products. J. Agric. Food Chem. 1979, 27, 1104–1108. [Google Scholar] [CrossRef]
- Sohn, M.; Ho, C.T. Ammonia generation during thermal degradation of amino acids. J. Agric. Food Chem. 1995, 43, 3001–3003. [Google Scholar] [CrossRef]
- Biswal, B.K.; Huang, H.; Dai, J.; Chen, G.H.; Wu, D. Impact of low-thermal pretreatment on physicochemical properties of saline waste activated sludge, hydrolysis of organics and methane yield in anaerobic digestion. Bioresour. Technol. 2020, 297, 122423. [Google Scholar] [CrossRef]
Publisher’s Note: MDPI stays neutral with regard to jurisdictional claims in published maps and institutional affiliations. |
© 2022 by the authors. Licensee MDPI, Basel, Switzerland. This article is an open access article distributed under the terms and conditions of the Creative Commons Attribution (CC BY) license (https://creativecommons.org/licenses/by/4.0/).




