On-Farm Spatial Composition, Management Practices and Estimated Productivity of Urban Farms in the San Francisco Bay Area
Abstract
:1. Introduction
1.1. On-Farm Composition
1.2. On-Farm Management Practices
1.3. Productivity and Crop Biodiversity
1.4. Research Efforts
2. Methods
2.1. Study Design
2.2. On-Farm Composition
2.3. Productivity and Distribution
2.4. Crop Diversity and Weed Occurrence
2.5. Management Practices
2.6. Data Analysis
3. Results
3.1. On-Farm Composition
3.2. On-Farm Management Practices
3.2.1. Crop and Non-Crop Diversity
3.2.2. Weed Occurrence
3.2.3. Management Practices and Estimated Productivity
3.2.4. Disposition of Harvest
4. Discussion
4.1. Spatial Composition and Potential Productivity of Urban Farms
4.2. Agroecological Management Practices on Urban Farms
5. Conclusions
Funding
Institutional Review Board Statement
Informed Consent Statement
Data Availability Statement
Conflicts of Interest
Appendix A
| Scheme. Survey Questions. |
|---|
|
|
|
|
|
|
|
|
|
|
|
|
|
|
|
|
|
|
|
|
|
|
|
|
|
|
|
|
|
|
|
|
|
|
|
|
|
|
|
|
|
|
|
|
|
|
|
|
|
|
|
|
|
|
| Farm Participation (n = 29) | |||||||
|---|---|---|---|---|---|---|---|
| Survey | Production Area | Size | Impervious Surface (%) | Yield | Weeds | Ground Cover | Crop Biodiversity |
| 25 | 25 | 25 | 12 | 17 | 15 | 13 | 13 |
| 86% | 86% | 86% | 41% | 58% | 51% | 44% | 44% |
| Inter-cropping | Growing of two or more crops simultaneously in close proximity |
| Mulch | Using organic matter, often fallen leaves or wood chips, to cover bare soil in production areas |
| Crop rotations | Spatially shifting cultivation of particular crop families seasonally |
| Green manure | Incorporating green crop residues into the soil |
| Double-digging | Method of incorporating organic matter into garden beds through hand-tillage. The method is typically attributed to the French-intensive style of gardening. |
| No-till | Soil management practices that reduce disturbance of soils. This technique is regionally associated with soil management practices similar to those implemented at Singing Frog Farms in Sebastopol, California |
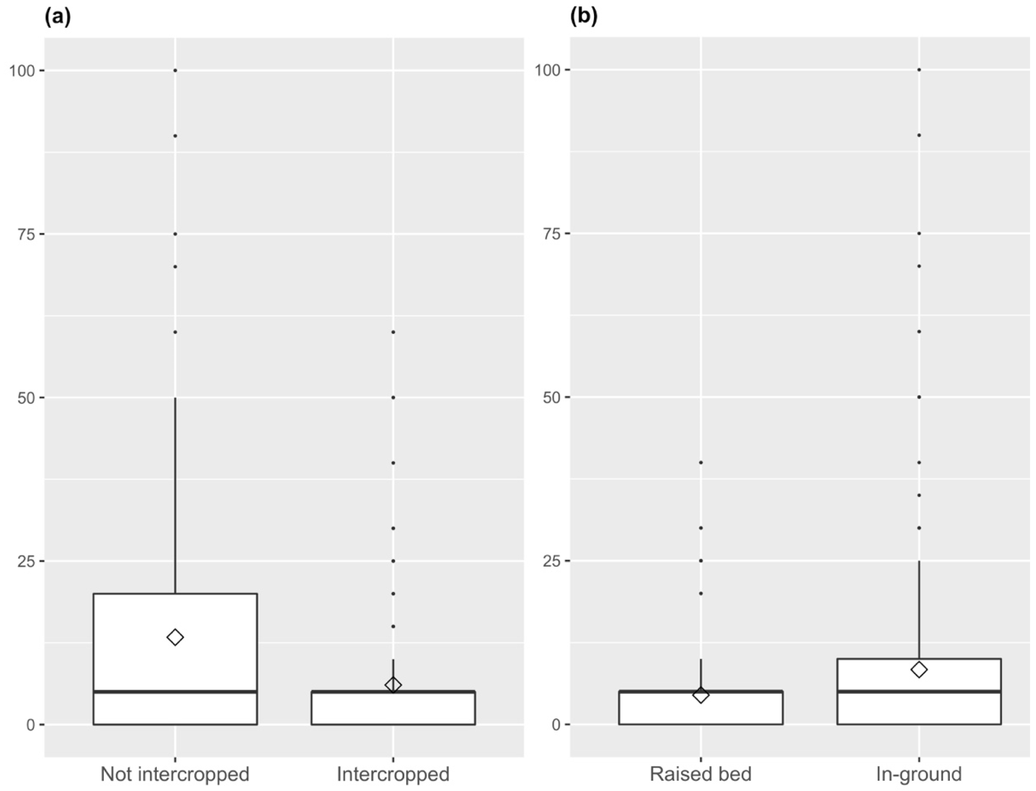
| Descriptive Statistics, Kruskal–Wallis Test (Weed %/m2) | ||||||||||
|---|---|---|---|---|---|---|---|---|---|---|
| H | DF | p-Value | Z | n | Mean | sd | Min | Max | % zero | |
| 30.434 | 1 | 3.45 × 10−8 | −5.516696 | - | - | - | - | - | - | |
| Raised bed production | - | - | - | - | 372 | 4.47 | 6.95 | 0 | 40 | 0.48 |
| In-ground production | - | - | - | - | 560 | 8.36 | 12.79 | 0 | 100 | 0.34 |
| 7.1671 | 1 | 7.43 × 10−3 | 2.677151 | - | - | - | - | - | - | |
| Not intercropped | - | - | - | - | 97 | 13.350516 | 20.26802 | 0 | 100 | 0.38 |
| Intercropped | - | - | - | - | 835 | 6.053892 | 9.080811 | 0 | 60 | 0.4 |
References
- Caruso, C.C.; McClintock, N.; Myers, G.; Weissman, E.; Herrera, H.; Block, D.; Reynolds, K. Beyond the Kale: Urban Agriculture and Social Justice Activism in New York City. The AAG Review of Books 2016, 4, 234–243. [Google Scholar] [CrossRef] [Green Version]
- Lawson, L.J. City Bountiful: A Century of Community Gardening in America; University of California Press: Berkeley, CA, USA, 2005. [Google Scholar]
- Lin, B.B.; Philpott, S.M.; Jha, S. The Future of Urban Agriculture and Biodiversity-Ecosystem Services: Challenges and next Steps. Basic Appl. Ecol. 2015, 16, 189–201. [Google Scholar] [CrossRef]
- McClintock, N. Why Farm the City? Theorizing Urban Agriculture through a Lens of Metabolic Rift. Camb. J. Reg. Econ. Soc. 2010, 3, 191–207. [Google Scholar] [CrossRef] [Green Version]
- Mougeot, L.J. Urban Agriculture: Definition, Presence, Potentials and Risks, and Policy Challenges; Cities Feeding People Series; Report 31; International Development Research Centre: La Habana, Cuba, 1999. [Google Scholar]
- Zezza, A.; Tasciotti, L. Urban Agriculture, Poverty, and Food Security: Empirical Evidence from a Sample of Developing Countries. Food Policy 2010, 35, 265–273. [Google Scholar] [CrossRef]
- Arnold, J.E.; Egerer, M.; Daane, K.M. Local and Landscape Effects to Biological Controls in Urban Agriculture—A Review. Insects 2019, 10, 215. [Google Scholar] [CrossRef] [PubMed] [Green Version]
- Tscharntke, T.; Tylianakis, J.M.; Rand, T.A.; Didham, R.K.; Fahrig, L.; Batáry, P.; Bengtsson, J.; Clough, Y.; Crist, T.O.; Dormann, C.F.; et al. Landscape Moderation of Biodiversity Patterns and Processes—Eight Hypotheses. Biol. Rev. 2012, 87, 661–685. [Google Scholar] [CrossRef] [PubMed]
- Faeth, S.H.; Bang, C.; Saari, S. Urban Biodiversity: Patterns and Mechanisms: Urban Biodiversity. Ann. N. Y. Acad. Sci. 2011, 1223, 69–81. [Google Scholar] [CrossRef] [PubMed] [Green Version]
- Gaertner, M.; Wilson, J.R.U.; Cadotte, M.W.; MacIvor, J.S.; Zenni, R.D.; Richardson, D.M. Non-Native Species in Urban Environments: Patterns, Processes, Impacts and Challenges. Biol. Invasions 2017, 19, 3461–3469. [Google Scholar] [CrossRef] [Green Version]
- Kruess, A.; Tscharntke, T. Habitat Fragmentation, Species Loss. And Biological-Control. Science 1994, 264, 1581–1584. [Google Scholar] [CrossRef] [PubMed]
- Tscharntke, T.; Klein, A.M.; Kruess, A.; Steffan-Dewenter, I.; Thies, C. Landscape Perspectives on Agricultural Intensification and Biodiversity—Ecosystem Service Management. Ecol. Lett. 2005, 8, 857–874. [Google Scholar] [CrossRef]
- Burks, J.M.; Philpott, S.M. Local and Landscape Drivers of Parasitoid Abundance, Richness, and Composition in Urban Gardens. Environ. Entomol. 2017, 46, 201–209. [Google Scholar] [CrossRef] [PubMed] [Green Version]
- Christie, F.J.; Hochuli, D.F. Responses of Wasp Communities to Urbanization: Effects on Community Resilience and Species Diversity. J. Insect Conserv. 2009, 13, 213–221. [Google Scholar] [CrossRef]
- Egerer, M.H.; Arel, C.; Otoshi, M.D.; Quistberg, R.D.; Bichier, P.; Philpott, S.M. Urban Arthropods Respond Variably to Changes in Landscape Context and Spatial Scale. J. Urban Ecol. 2017, 3, 1–10. [Google Scholar] [CrossRef] [Green Version]
- Egerer, M.H.; Bichier, P.; Philpott, S.M. Landscape and Local Habitat Correlates of Lady Beetle Abundance and Species Richness in Urban Agriculture. Ann. Entomol. Soc. Am. 2017, 110, 97–103. [Google Scholar] [CrossRef]
- Fenoglio, M.S.; Salvo, A.; Estallo, E.L. Effects of Urbanisation on the Parasitoid Community of a Leafminer. Acta Oecol. 2009, 35, 318–326. [Google Scholar] [CrossRef]
- Fenoglio, M.S.; Videla, M.; Salvo, A.; Valladares, G. Beneficial Insects in Urban Environments: Parasitism Rates Increase in Large and Less Isolated Plant Patches via Enhanced Parasitoid Species Richness. Biol. Conserv. 2013, 164, 82–89. [Google Scholar] [CrossRef]
- Lagucki, E.; Burdine, J.D.; McCluney, K.E. Urbanization Alters Communities of Flying Arthropods in Parks and Gardens of a Medium-Sized City. PeerJ 2017, 5, e3620. [Google Scholar] [CrossRef] [Green Version]
- Matteson, K.C.; Langellotto, G.A. Small Scale Additions of Native Plants Fail to Increase Beneficial Insect Richness in Urban Gardens: Native Plant Additions in Urban Gardens. Insect Conserv. Divers. 2011, 4, 89–98. [Google Scholar] [CrossRef]
- Morales, H.; Ferguson, B.; Marín, L.; Gutiérrez, D.; Bichier, P.; Philpott, S. Agroecological Pest Management in the City: Experiences from California and Chiapas. Sustainability 2018, 10, 2068. [Google Scholar] [CrossRef] [Green Version]
- Otoshi, M.D.; Bichier, P.; Philpott, S.M. Local and Landscape Correlates of Spider Activity Density and Species Richness in Urban Gardens. Environ. Entomol. 2015, 44, 1043–1051. [Google Scholar] [CrossRef] [Green Version]
- Philpott, S.M.; Cotton, J.; Bichier, P.; Friedrich, R.L.; Moorhead, L.C.; Uno, S.; Valdez, M. Local and Landscape Drivers of Arthropod Abundance, Richness, and Trophic Composition in Urban Habitats. Urban Ecosyst. 2014, 17, 513–532. [Google Scholar] [CrossRef] [Green Version]
- Smith, N. The New Urban Frontier, Gentrification and the Revanchist City; 11 New Fetter Lane, London EC4P 4EE; Routledge: London, UK, 1996. [Google Scholar]
- Sperling, C.D.; Lortie, C.J. The Importance of Urban Backgardens on Plant and Invertebrate Recruitment: A Field Microcosm Experiment. Urban Ecosyst. 2010, 13, 223–235. [Google Scholar] [CrossRef]
- Egerer, M.H.; Liere, H.; Bichier, P.; Philpott, S.M. Cityscape Quality and Resource Manipulation Affect Natural Enemy Biodiversity in and Fidelity to Urban Agroecosystems. Landsc. Ecol. 2018, 33, 985–998. [Google Scholar] [CrossRef] [Green Version]
- Egerer, M.H.; Liere, H.; Lin, B.B.; Jha, S.; Bichier, P.; Philpott, S.M. Herbivore Regulation in Urban Agroecosystems: Direct and Indirect Effects. Basic Appl. Ecol. 2018, 29, 44–54. [Google Scholar] [CrossRef] [Green Version]
- Mace-Hill, K.C. Understanding, Using, and Promoting Biological Control: From Commercial Walnut Orchards to School Gardens. Ph.D. Dissertation, University of California Berkeley, Berkeley, CA, USA, 2015. [Google Scholar]
- Lowenstein, D.M.; Minor, E.S. Herbivores and Natural Enemies of Brassica Crops in Urban Agriculture. Urban Ecosyst. 2018, 21, 519–529. [Google Scholar] [CrossRef]
- Lowenstein, D.M.; Gharehaghaji, M.; Wise, D.H. Substantial Mortality of Cabbage Looper (Lepidoptera: Noctuidae) From Predators in Urban Agriculture Is Not Influenced by Scale of Production or Variation in Local and Landscape-Level Factors. Environ. Entomol. 2016, 46. [Google Scholar] [CrossRef] [PubMed]
- Smith, R.M.; Warren, P.H.; Thompson, K.; Gaston, K.J. Urban Domestic Gardens (VI): Environmental Correlates of Invertebrate Species Richness. Biodivers. Conserv. 2006, 15, 2415–2438. [Google Scholar] [CrossRef]
- Qian, Y.; Zhou, W.; Yu, W.; Pickett, S.T.A. Quantifying Spatiotemporal Pattern of Urban Greenspace: New Insights from High Resolution Data. Landsc. Ecol. 2015, 30, 1165–1173. [Google Scholar] [CrossRef]
- Haan, N.L.; Zhang, Y.; Landis, D.A. Predicting Landscape Configuration Effects on Agricultural Pest Suppression. Trends Ecol. Evol. 2020, 35, 175–186. [Google Scholar] [CrossRef] [PubMed] [Green Version]
- Horst, M.; McClintock, N.; Hoey, L. The Intersection of Planning, Urban Agriculture, and Food Justice: A Review of the Literature. J. Am. Plan. Assoc. 2017, 83, 277–295. [Google Scholar] [CrossRef] [Green Version]
- Siegner, A.; Sowerwine, J.; Acey, C. Does Urban Agriculture Improve Food Security? Examining the Nexus of Food Access and Distribution of Urban Produced Foods in the United States: A Systematic Review. Sustainability 2018, 10, 2988. [Google Scholar] [CrossRef] [Green Version]
- Wortman, S.E.; Lovell, S.T. Environmental Challenges Threatening the Growth of Urban Agriculture in the United States. J. Environ. Qual. 2013, 42, 1283. [Google Scholar] [CrossRef] [PubMed]
- Lehmann, A.; Stahr, K. Nature and Significance of Anthropogenic Urban Soils. J. Soils Sediments 2007, 7, 247–260. [Google Scholar] [CrossRef]
- White, C.S.; McDonnell, M.J. Nitrogen Cycling Processes and Soil Characteristics in an Urban versus Rural Forest. Biogeochemistry 1988, 5, 243–262. [Google Scholar] [CrossRef]
- Casey, J.; James, P.; Cushing, L.; Jesdale, B.; Morello-Frosch, R. Race, Ethnicity, Income Concentration and 10-Year Change in Urban Greenness in the United States. Int. J. Environ. Res. Public Health 2017, 14, 1546. [Google Scholar] [CrossRef] [PubMed] [Green Version]
- Heynen, N. Green Urban Political Ecologies: Toward a Better Understanding of Inner-City Environmental Change. Environ. Plan. A 2006, 38, 499–516. [Google Scholar] [CrossRef]
- Loper, S.; Shober, A.L.; Wiese, C.; Denny, G.C.; Stanley, C.D.; Gilman, E.F. Organic Soil Amendment and Tillage Affect Soil Quality and Plant Performance in Simulated Residential Landscapes. HortScience 2010, 45, 1522–1528. [Google Scholar] [CrossRef] [Green Version]
- Bowles, T.M.; Mooshammer, M.; Socolar, Y.; Calderón, F.; Cavigelli, M.A.; Culman, S.W.; Deen, W.; Drury, C.F.; Garcia y Garcia, A.; Gaudin, A.C.M.; et al. Long-Term Evidence Shows That Crop-Rotation Diversification Increases Agricultural Resilience to Adverse Growing Conditions in North America. One Earth 2020, 2, 284–293. [Google Scholar] [CrossRef]
- Feng, H.; Sekaran, U.; Wang, T.; Kumar, S. On-Farm Assessment of Cover Cropping Effects on Soil C and N Pools, Enzyme Activities, and Microbial Community Structure. J. Agric. Sci. 2021, 159, 216–226. [Google Scholar] [CrossRef]
- Sharma, P.; Singh, A.; Kahlon, C.S.; Brar, A.S.; Grover, K.K.; Dia, M.; Steiner, R.L. The Role of Cover Crops towards Sustainable Soil Health and Agriculture—A Review Paper. Am. J. Plant Sci. 2018, 9, 1935–1951. [Google Scholar] [CrossRef] [Green Version]
- Taha, H. Urban Climates and Heat Islands: Albedo, Evapotranspiration, and Anthropogenic Heat. Energy Build. 1997, 25, 99–103. [Google Scholar] [CrossRef] [Green Version]
- Dale, A.G.; Frank, S.D. Urban Warming Trumps Natural Enemy Regulation of Herbivorous Pests. Ecol. Appl. 2014, 24, 1596–1607. [Google Scholar] [CrossRef] [PubMed] [Green Version]
- Dale, A.G.; Frank, S.D. Urban Plants and Climate Drive Unique Arthropod Interactions with Unpredictable Consequences. Curr. Opin. Insect Sci. 2018, 29, 27–33. [Google Scholar] [CrossRef] [PubMed]
- Parsons, S.E.; Frank, S.D. Urban Tree Pests and Natural Enemies Respond to Habitat at Different Spatial Scales. J. Urban Ecol. 2019, 5, juz010. [Google Scholar] [CrossRef]
- Turrini, T.; Sanders, D.; Knop, E. Effects of Urbanization on Direct and Indirect Interactions in a Tri-Trophic System. Ecol. Appl. 2016, 26, 664–675. [Google Scholar] [CrossRef] [PubMed]
- Landis, D.A.; Wratten, S.D.; Gurr, G.M. Habitat Management to Conserve Natural Enemies of Arthropod Pests in Agriculture. Annu. Rev. Entomol. 2000, 45, 175–201. [Google Scholar] [CrossRef] [PubMed]
- Letourneau, D.K.; Armbrecht, I.; Rivera, B.S.; Lerma, J.M.; Rrez, C.G.; Rangel, J.H.; Rivera, L.; Saavedra, C.A.; Torres, A.M.; Trujillo, A.R. Does Plant Diversity Benefit Agroecosystems? A Synthetic Review. Ecol. Appl. 2011, 21, 13. [Google Scholar] [CrossRef] [PubMed]
- Liebman, M.; Davis, A.S. Integration of Soil, Crop and Weed Management in Low-External-Input Farming Systems. Weed Res. 2000, 40, 27–47. [Google Scholar] [CrossRef] [Green Version]
- Lundgren, J.G. Ground Beetles as Weed Control Agents: Effects of Farm Management on Granivory. Am. Entomol. 2005, 51, 224–226. [Google Scholar] [CrossRef] [Green Version]
- Sarabi, V. Factors That Influence the Level of Weed Seed Predation: A Review. Weed Biol. Manag. 2019, 19, 61–74. [Google Scholar] [CrossRef]
- Arnold, J.; Rogé, P. Indicators of Land Insecurity for Urban Farms: Institutional Affiliation, Investment, and Location. Sustainability 2018, 10, 1963. [Google Scholar] [CrossRef] [Green Version]
- Clinton, N.; Stuhlmacher, M.; Miles, A.; Uludere Aragon, N.; Wagner, M.; Georgescu, M.; Herwig, C.; Gong, P. A Global Geospatial Ecosystem Services Estimate of Urban Agriculture. Earth’s Futur. 2018, 6, 40–60. [Google Scholar] [CrossRef]
- Martellozzo, F.; Landry, J.-S.; Plouffe, D.; Seufert, V.; Rowhani, P.; Ramankutty, N. Urban Agriculture: A Global Analysis of the Space Constraint to Meet Urban Vegetable Demand. Environ. Res. Lett. 2014, 9, 064025. [Google Scholar] [CrossRef]
- Colasanti, K.; Litjens, C.; Hamm, M. Growing Food in the City: The Production Potential of Detroit’s Vacant Land; The CS Mott Group for Sustainable Food Systems at Michigan State University: East Lansing, MI, USA,, 2010. [Google Scholar]
- Gittleman, M.; Jordan, K.; Brelsford, E. Using Citizen Science to Quantify Community Garden Crop Yields. Cities Environ. (CATE) 2012, 5, 4. [Google Scholar]
- McDougall, R.; Kristiansen, P.; Rader, R. Small-Scale Urban Agriculture Results in High Yields but Requires Judicious Management of Inputs to Achieve Sustainability. Proc. Natl. Acad. Sci. USA 2019, 116, 129–134. [Google Scholar] [CrossRef] [PubMed] [Green Version]
- Wekerle, G.R.; Classens, M. Food Production in the City: (Re)Negotiating Land, Food and Property. Local Environ. 2015, 20, 1175–1193. [Google Scholar] [CrossRef]
- UC Berkeley Committee for Protection of Human Subjects. Available online: https://cphs.berkeley.edu/eprotocol.html (accessed on 17 December 2021).
- Jeavons, J. How to Grow More Vegetables: (And Fruits, Nuts, Berries, Grains, and Other Crops) than You Ever Thought Possible on Less Land than You Can Imagine, 8th ed.; Ten Speed Press: Berkeley, CA, USA, 2012. [Google Scholar]
- Altieri, M.A.; Nicholls, C.I. Agroecología Urbana: Diseño de Granjas Urbanas Ricas En Biodiversidad, Productivas y Resilientes. Agrosur 2018, 46, 49–60. [Google Scholar] [CrossRef] [Green Version]
- Ackerman, K. (Ed.) The Potential for Urban Agriculture in New York City. Growing Capacity, Food Security, & Green Infrastructure; Urban Design Lab at the Earth Institute, Columbia University: New York, NY, USA, 2012; p. 118. [Google Scholar]
- Vitiello, D.; Nairn, M.; Planning, P. Community Gardening in Philadelphia 2008 Harvest Report; Penn Planning and Urban Studies, University of Pennsylvania: Philadelphia, PA, USA, 2009; p. 68. [Google Scholar]
- Therneau, T.; Atkinson, B.; port, B.R. (producer of the initial R.; maintainer 1999–2017). Rpart: Recursive Partitioning and Regression Trees, 2022.
- Grewal, S.S.; Grewal, P.S. Can Cities Become Self-Reliant in Food? Cities 2012, 29, 1–11. [Google Scholar] [CrossRef]
- Daftary-Steel, S.; Herrera, H.; Porter, C. The Unattainable Trifecta of Urban Agriculture. J. Agric. Food Syst. Community Dev. 2015, 6, 19–32. [Google Scholar] [CrossRef] [Green Version]




| Farm Size and Land Use Composition (n = 19) | |||||||
|---|---|---|---|---|---|---|---|
| Site | Total size (m2) | Production (m2) | Non-crop (m2) | Infrastructure (m2) | Production (%) | Non-Crop (%) | Infrastructure (%) |
| 1 | 95 | 10.6 | 12 | 72.4 | 0.11 | 0.13 | 0.76 |
| 2 | 117 | 31.3 | 31 | 54.7 | 0.27 | 0.26 | 0.47 |
| 3 | 140 | 24.1 | 24 | 91.9 | 0.17 | 0.17 | 0.66 |
| 4 | 175 | 58.36 | 30 | 86 | 0.33 | 0.17 | 0.49 |
| 5 | 394 | 255 | 12 | 127 | 0.65 | 0.03 | 0.32 |
| 6 | 522 | 296.72 | 100 | 125.28 | 0.57 | 0.19 | 0.24 |
| 7 | 537 | 25 | 25 | 487 | 0.05 | 0.05 | 0.91 |
| 8 | 566 | 42 | 0 | 524 | 0.07 | 0.00 | 0.93 |
| 9 | 664 | 300 | 49 | 315 | 0.45 | 0.07 | 0.47 |
| 10 | 728 | 136 | 119.75 | 472.25 | 0.19 | 0.16 | 0.65 |
| 11 | 778 | 96.5 | 106.7 | 574.8 | 0.12 | 0.14 | 0.74 |
| 12 | 964 | 184 | 0 | 780 | 0.19 | 0.00 | 0.81 |
| 13 | 1367 | 867 | 90 | 410 | 0.63 | 0.07 | 0.30 |
| 14 | 2348 | 760 | 188 | 1400 | 0.32 | 0.08 | 0.60 |
| 15 | 2443 | 511 | 200 | 1732 | 0.21 | 0.08 | 0.71 |
| 16 | 2603 | 405.18 | 440 | 1757.82 | 0.16 | 0.17 | 0.68 |
| 17 | 3105 | 973.5 | 800 | 1331.5 | 0.31 | 0.26 | 0.43 |
| 18 | 4477 | 966 | 595 | 2916 | 0.22 | 0.13 | 0.65 |
| 19 | 8016 | 7775 | 0 | 241 | 0.97 | 0.00 | 0.03 |
| Average | 1581 | 722 | 149 | 710 | 0.32 | 0.11 | 0.57 |
| On-Farm Management Practices (n = 29) | ||||||
|---|---|---|---|---|---|---|
| Agricultural practices | ||||||
| Inter-Cropping | Cover-Cropping | Mulch | Rotations | Green manure | Double-Dig | No-Till |
| 27 | 25 | 19 | 18 | 7 | 6 | 1 |
| 93% | 86% | 65% | 62% | 24% | 20% | 3% |
| Soil management | ||||||
| Compost | Manure | Fish emulsion | Compost tea | Worm Castings | Minerals | - |
| 24 | 11 | 10 | 9 | 5 | 3 | - |
| 82% | 38% | 34% | 31% | 17% | 10% | - |
| Animal Integration | ||||||
| Bees | Chickens | Worms | Goats | Fish | Ducks | Rabbits |
| 10 | 7 | 4 | 3 | 2 | 1 | 1 |
| 34% | 24% | 14% | 10% | 6% | 3% | 3% |
| Weeds (%/m2), n = 933 | |
|---|---|
| Average weed coverage (m2)—all quadrats | 7% |
| Quadrats with only broadleaf weeds | 31% |
| Quadrats with only grass weeds | 8% |
| Quadrats with mixed weeds (both broadleaf and grass weeds) | 21% |
| No weeds present | 40% |
Publisher’s Note: MDPI stays neutral with regard to jurisdictional claims in published maps and institutional affiliations. |
© 2022 by the author. Licensee MDPI, Basel, Switzerland. This article is an open access article distributed under the terms and conditions of the Creative Commons Attribution (CC BY) license (https://creativecommons.org/licenses/by/4.0/).
Share and Cite
Arnold, J.E. On-Farm Spatial Composition, Management Practices and Estimated Productivity of Urban Farms in the San Francisco Bay Area. Processes 2022, 10, 558. https://doi.org/10.3390/pr10030558
Arnold JE. On-Farm Spatial Composition, Management Practices and Estimated Productivity of Urban Farms in the San Francisco Bay Area. Processes. 2022; 10(3):558. https://doi.org/10.3390/pr10030558
Chicago/Turabian StyleArnold, Joshua Earl. 2022. "On-Farm Spatial Composition, Management Practices and Estimated Productivity of Urban Farms in the San Francisco Bay Area" Processes 10, no. 3: 558. https://doi.org/10.3390/pr10030558
APA StyleArnold, J. E. (2022). On-Farm Spatial Composition, Management Practices and Estimated Productivity of Urban Farms in the San Francisco Bay Area. Processes, 10(3), 558. https://doi.org/10.3390/pr10030558

