A Study on Spatial-Temporal Differentiation and Influencing Factors of Agricultural Water Footprint in the Main Grain-Producing Areas in China
Abstract
1. Introduction
2. Research Methods and Data
2.1. Theoretical Framework
2.2. Study Region
2.3. Agricultural Water Footprint
2.3.1. Agricultural Production Water Footprint
2.3.2. Agricultural Virtual Water Net Exports
2.4. Spatial Analysis Methods
2.4.1. Spatial Autocorrelation Method
2.4.2. Spatial Dubin Model
2.5. Variable Selection and Data Sources
3. Empirical Results and Analysis
3.1. Spatial-Temporal Differentiation Analysis of Agricultural Water Footprint in the Main Grain-Producing Areas
3.1.1. Calculation of Unit Production Water Footprint of Main Grain Crops in Main Grain-Producing Areas
3.1.2. Time Series Variation Characteristics of the Agricultural Water Footprint in the Main Grain-Producing Areas
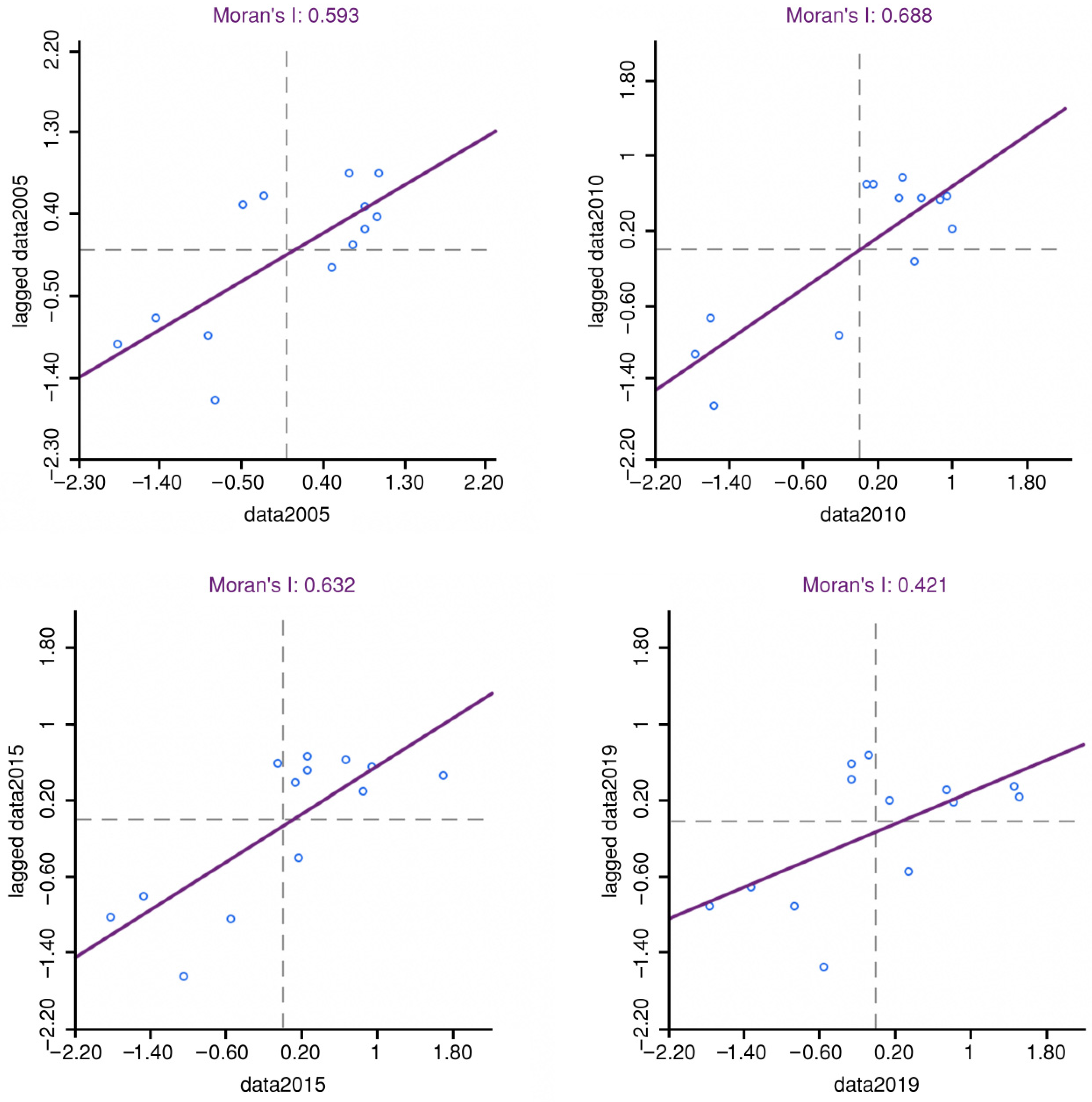
3.1.3. Spatial Distribution Differences of Agricultural Water Footprint in the Main Grain-Producing Regions
3.2. Analysis of Influencing Factors of Agricultural Water Footprint in the Main Grain-Producing Areas
3.2.1. Model Test
3.2.2. Estimation Results and Analysis
3.2.3. Decomposition Effect Analysis
4. Conclusions and Implications
4.1. Main Conclusions
- (1)
- Judging from the time series features of the agricultural water footprint in the major grain-producing regions, it shows a fluctuating downward trend in an inverted N shape. From 2000 to 2019, the agricultural water footprint in the main grain-producing regions was polarized. The internal differences narrowed from an overall aspect, and the low-value provinces and regions were developing rapidly.
- (2)
- Based on the spatial distribution differences of the agricultural water footprint in the major grain-producing regions, the agricultural water footprint is significantly positively spatially autocorrelated from the whole, and it shows high–high and low–low spatial aggregation characteristics in local areas, with a distinct polarization trend. For example, the northeast region presents low–low aggregation while the Huang-Huai-Hai region presents high–high aggregation. From 2000 to 2019, there was strong spatial dependence, spatial barriers, and path-locking characteristics for the agricultural water footprint in most areas of the main grain-producing regions.
- (3)
- On basis of the influencing factors of the agricultural water footprint in the main grain-producing areas, policy factors, water-saving technologies, social development, economic development, and industrial restructuring could dramatically restrain the increase in the agricultural water footprint. The negative spatial spillover effect of water-saving technologies and industrial structure is strong, and the positive spatial spillover effect of agricultural production and natural factors is powerful, both of which could significantly affect the agricultural water footprint in the adjacent areas.
4.2. Policy implications
- (1)
- Promoting the development of the agricultural economy with a rational and optimized industrial structure. Industrial restructuring with the proportion of agricultural output value to regional GDP as a proxy variable is helpful to inhibit the agricultural water footprint. It is necessary to control water consumption from the source of agricultural production to realize the sustainable use of agricultural water resources. In the aspect of industrial restructuring, the main grain-producing areas must adjust their internal agricultural cropping structure, decreasing the production of crops with higher water consumption and lower economic value. They also need to adjust the external agricultural industrial structure and vigorously promote other agricultural industries with strong value-added capabilities.
- (2)
- Strengthening the management and control of water resources via a regional-linked management mechanism. The agricultural water footprint in the main grain-producing areas presents high–high and low–low spatial aggregation characteristics, and there is stable spatial dependence for the agricultural water footprint in most provinces. All major grain-producing provinces and regions should improve the agricultural water footprint assessment system, establish regionally linked agricultural water resources management mechanisms, and reform significant methods for agricultural water resources management in order to break the spatial barriers and path locking of the agricultural water footprint, drive the reduction in the agricultural water footprint from low-value areas to adjacent areas, and eventually achieve low-value aggregation of the agricultural water footprint in global areas.
- (3)
- Popularizing water-saving irrigation with complete and efficient water conservancy facilities and technologies. Increasing the proportion of water-saving irrigation areas in arable land, popularizing the application of water-saving technologies, and increasing expenditure on irrigation and water conservancy facilities are all beneficial to curb the agricultural water footprint in major grain-producing regions. The major grain production provinces and regions should provide financial support for the construction of farmland water-saving irrigation facilities and the promotion of high-efficiency water-saving technologies by making full use of the agricultural water-saving project funds provided by the government, and actively guiding the non-governmental funds at the same time. They must enhance the construction of inter-regional and cross-regional farmland water conservancy facilities to establish a “powerful framework” for the development of water-saving agriculture. Meanwhile, they need to positively promote new and efficient water-saving irrigation technologies to “soften the veins” for the development of water-saving agriculture.
Author Contributions
Funding
Data Availability Statement
Conflicts of Interest
References
- Orimoloye, I.R.; Belle, J.A.; Olusola, A.O.; Busayo, E.T.; Ololade, O.O. Spatial assessment of drought disasters, vulnerability, severity and water shortages: A potential drought disaster mitigation strategy. Nat. Hazards 2020, 105, 2735–2754. [Google Scholar] [CrossRef]
- Tian, J.; Liu, J.; Wang, J.; Li, C.; Nie, H.; Yu, F. Trend analysis of temperature and precipitation extremes in major grain producing area of China: Trends of climate extremes in major grain production area of China. Int. J. Climatol. 2016, 37, 672–687. [Google Scholar] [CrossRef]
- Song, C.-X.; Liu, R.-F.; Oxley, L.; Ma, H.-Y. Do farmers care about climate change? Evidence from five major grain producing areas of China. J. Integr. Agric. 2019, 18, 1402–1414. [Google Scholar] [CrossRef]
- Li, M.; Xu, W.; Zhu, T. Agricultural water allocation under uncertainty: Redistribution of water shortage risk. Am. J. Agric. Econ. 2018, 101, 134–153. [Google Scholar] [CrossRef]
- Murphy, E.; De Boer, I.J.; Van Middelaar, C.E.; Holden, N.M.; Shalloo, L.; Curran, T.P.; Upton, J. Water footprinting of dairy farming in Ireland. J. Clean. Prod. 2017, 140, 547–555. [Google Scholar] [CrossRef]
- Wichelns, D. Advising Morocco: Adopting recommendations of a water footprint assessment would increase risk and impair food security for the country and its farmers. Water Int. 2018, 43, 762–784. [Google Scholar] [CrossRef]
- Abdullah, M.; Zehra, A. Spatial analysis of blue and green water footprints of agricultural crop patterns: Turkey. Water Manag. 2021, 174, 291–308. [Google Scholar]
- Chapagain, A.K.; Hoekstra, A.Y. Water footprints of nations. J. Bank. Financ. 2004, 27, 1427–1453. [Google Scholar]
- Boulay, A.-M.; Bouchard, C.; Bulle, C.; Deschênes, L.; Margni, M. Categorizing water for LCA inventory. Int. J. Life Cycle Assess. 2011, 16, 639–651. [Google Scholar] [CrossRef]
- Rodriguez, C.I.; Galarreta de Ruiz, V.A.; Kruse, E.E. Analysis of water footprint of potato production in the pam-pean region of Argentina. J. Clean. Prod. 2015, 90, 91–96. [Google Scholar] [CrossRef]
- Abdullah, M.; Emre, I.; Ertug, E. Water resources management of large hydrological basins in semi-arid regions: Spatial and temporal variability of water footprint of the Upper Euphrates River basin. Sci. Total Environ. 2022, 846, 157396. [Google Scholar]
- Zhou, Y.; Liu, K.; Harrison, M.T.; Fahad, S.; Gong, S.; Zhu, B.; Liu, Z. Shifting rice cropping systems mitigates ecological footprints and enhances grain yield in central China. Front. Plant Sci. 2022, 13, 895402. [Google Scholar] [CrossRef] [PubMed]
- Tamea, S.; Tuninetti, M.; Soligno, I.; Laio, F. Virtual water trade and water footprint of agricultural goods: The 1961–2016 CWASI database. Earth Syst. Sci. Data 2021, 13, 2025–2051. [Google Scholar] [CrossRef]
- Deihimfard, R.; Rahimi-Moghaddam, S.; Collins, B.; Azizi, K. Future climate change could reduce irrigated and rainfed wheat water footprint in arid environments. Sci. Total Environ. 2021, 807, 150991. [Google Scholar] [CrossRef] [PubMed]
- Hossain, I.; Imteaz, M.A.; Khastagir, A. Water footprint: Applying the water footprint assessment method to Australian agriculture. J. Sci. Food Agric. 2020, 101, 4090–4098. [Google Scholar] [CrossRef]
- Bocchiola, D. Impact of potential climate change on crop yield and water footprint of rice in the Po valley of Italy. Agric. Syst. 2015, 139, 223–237. [Google Scholar] [CrossRef]
- Cao, X.; Huang, X.; Huang, H.; Liu, J.; Guo, X.; Wang, W.; She, D. Changes and driving mechanism of water footprint scarcity in crop production: A study of Jiangsu Province, China. Ecol. Indic. 2018, 95, 444–454. [Google Scholar] [CrossRef]
- Ababaei, B.; Etedali, H.R. Estimation of water footprint components of Iran’s wheat production: Comparison of global and national scale estimates. Environ. Processes 2014, 1, 193–205. [Google Scholar] [CrossRef]
- Rao, J.H.; Hardaha, M.K.; Vora, H.M. The water footprint assessment of agriculture in Banjar river watershed. Curr. World Environ. 2019, 14, 476–488. [Google Scholar] [CrossRef]
- Munro, S.A.; Fraser, G.C.; Snowball, J.D.; Pahlow, M. Water footprint assessment of citrus production in South Africa: A case study of the Lower Sundays River Valley. J. Clean. Prod. 2016, 135, 668–678. [Google Scholar] [CrossRef]
- Shtull-Trauring, E.; Bernstein, N. Virtual water flows and water-footprint of agricultural crop production, import and export: A case study for Israel. Sci. Total Environ. 2018, 622–623, 1438–1447. [Google Scholar] [CrossRef] [PubMed]
- Mekonnen, M.M.; Hoekstra, A.Y. The green, blue and grey water footprint of crops and derived crop products. Hydrol. Earth Syst. Sci. Discuss 2011, 8, 763–809. [Google Scholar] [CrossRef]
- Le Roux, B.; Van der Laan, M.; Gush, M.B.; Bristow, K.L. Comparing the usefulness and applicability of different water footprint methodologies for sustainable water management in agriculture. Irrig. Drain. 2018, 67, 790–799. [Google Scholar] [CrossRef]
- Barbosa, E.A.; Matsura, E.E.; dos Santos, L.N.; Gonçalves, I.Z.; Nazário, A.A.; Feitosa, D.R. Water footprint of sugarcane irrigated with treated sewage and freshwater under subsurface drip irrigation, in Southeast Brazil. J. Clean. Prod. 2017, 153, 448–456. [Google Scholar] [CrossRef]
- Hu, L.; Chun, Y.; Griffith, D.A. Uncovering a positive and negative spatial autocorrelation mixture pattern: A spatial analysis of breast cancer incidences in Broward County, Florida, 2000–2010. J. Geogr. Syst. 2020, 22, 291–308. [Google Scholar] [CrossRef]
- Song, J.; Geng, L.; Fahad, S.; Liu, L. Fiscal decentralization and economic growth revisited: An empirical analysis of poverty governance. Environ. Sci. Pollut. Res. 2022, 29, 28020–28030. [Google Scholar] [CrossRef]
- Qi, R.; Geng, Y.; Zhu, Q.H. Evaluation of regional water resources utilization based on water footprint method. J. Nat. Resour. 2011, 26, 486–495. [Google Scholar]







| Type | Index | Statement | Symbol | Unit | Data Source |
|---|---|---|---|---|---|
| dependent variable | agricultural water footprint | 100 million m3 | calculated in former part of this paper | ||
| Independe-nt variable | policy factors | proportion of irrigation and water conservancy expenditure in the total amount of water conservancy investment | X1 | 100 million CNY | related Yearbook |
| water-saving technologies | proportion of water-saving irrigation areas in the whole arable land | X2 | 1000 hectares | related Yearbook | |
| agricultural production | total power of agricultural machinery | X3 | 10,000 KW | related Yearbook | |
| social development | urbanization rate | X4 | % | related Yearbook | |
| natural factors | annual precipitation amount | X5 | mm | related Platform | |
| economic development | per Capita GDP | X6 | CNY/person | China Statistical Yearbook | |
| industry structure | proportion of agricultural output value in total regional output value | X7 | % | China Statistical Yearbook |
| Crops | Green Water Footprint | Blue Water Footprint | Grey Water Footprint | Total Water Footprint |
|---|---|---|---|---|
| Grain Crops | 0.92 | 0.41 | 0.26 | 1.59 |
| Rices | 0.69 | 0.31 | 0.23 | 1.23 |
| Wheats | 1.53 | 0.67 | 0.24 | 2.44 |
| Corns | 0.93 | 0.41 | 0.24 | 1.58 |
| Beans | 2.61 | 1.14 | 0.09 | 3.84 |
| Year | I | E (I) | sd (I) | z | p-Value |
|---|---|---|---|---|---|
| 2000 | 0.563 | −0.083 | 0.197 | 3.288 | 0.001 |
| 2001 | 0.576 | −0.083 | 0.198 | 3.333 | 0.001 |
| 2002 | 0.622 | −0.083 | 0.200 | 3.520 | 0.000 |
| 2003 | 0.576 | −0.083 | 0.201 | 3.276 | 0.001 |
| 2004 | 0.517 | −0.083 | 0.203 | 2.958 | 0.003 |
| 2005 | 0.599 | −0.083 | 0.199 | 3.431 | 0.001 |
| 2006 | 0.582 | −0.083 | 0.200 | 3.328 | 0.001 |
| 2007 | 0.569 | −0.083 | 0.199 | 3.273 | 0.001 |
| 2008 | 0.520 | −0.083 | 0.198 | 3.050 | 0.002 |
| 2009 | 0.480 | −0.083 | 0.196 | 2.880 | 0.004 |
| 2010 | 0.742 | −0.083 | 0.195 | 4.229 | 0.000 |
| 2011 | 0.609 | −0.083 | 0.197 | 3.514 | 0.000 |
| 2012 | 0.423 | −0.083 | 0.196 | 2.576 | 0.010 |
| 2013 | 0.578 | −0.083 | 0.196 | 3.382 | 0.001 |
| 2014 | 0.589 | −0.083 | 0.195 | 3.451 | 0.001 |
| 2015 | 0.575 | −0.083 | 0.194 | 3.403 | 0.001 |
| 2016 | 0.518 | −0.083 | 0.196 | 3.067 | 0.002 |
| 2017 | 0.489 | −0.083 | 0.191 | 2.998 | 0.003 |
| 2018 | 0.513 | −0.083 | 0.196 | 3.036 | 0.002 |
| 2019 | 0.386 | −0.083 | 0.196 | 2.399 | 0.016 |
| Test Type | Test Content | Statistical Value | p-Value | Conclusion |
|---|---|---|---|---|
| LM Test | LM (SEM) test | 7.319 | 0.007 | choose the SDM model |
| Robust LM (SEM) test | 12.343 | 0.000 | ||
| LM (SAR) test | 21.326 | 0.000 | ||
| Robust LM (SAR) test | 26.349 | 0.000 | ||
| Hausman Test | Hausman test | 36.790 | 0.000 | choose the SDM model and reject random effect |
| Fixed Effect Test | LR (ind or both) test | 58.660 | 0.000 | choose the SDM model, reject region fixed effect and time fixed effect, it is better with both fixed time and space |
| LR (time or both) test | 220.080 | 0.000 | ||
| Wald Test | Wald test SAR | 26.080 | 0.000 | choose the SDM model |
| Wald test SEM | 28.330 | 0.000 | ||
| LR Test | LR test SAR | 24.900 | 0.000 | SDM model cannot be degraded to SAR model |
| LR test SEM | 26.760 | 0.000 | SDM model cannot be degraded to SEM model |
| Variable | Main Grain-Producing Areas | Northern Region | Southern Region | |||
|---|---|---|---|---|---|---|
| Coefficient | p-Value | Coefficient | p-Value | Coefficient | p-Value | |
| lnX1 | −0.027 | 0.031 | −0.038 | 0.020 | −0.030 | 0.054 |
| lnX2 | −0.043 | 0.053 | −0.076 | 0.012 | −0.101 | 0.031 |
| lnX3 | 0.173 | 0.000 | −0.079 | 0.383 | 0.222 | 0.000 |
| lnX4 | −0.215 | 0.000 | −0.349 | 0.000 | −0.215 | 0.000 |
| lnX5 | 0.260 | 0.001 | 0.312 | 0.001 | 0.307 | 0.000 |
| lnX6 | −0.424 | 0.000 | −0.654 | 0.001 | 0.169 | 0.692 |
| lnX7 | −0.211 | 0.000 | −0.127 | 0.226 | −0.586 | 0.000 |
| W × lnX1 | −0.001 | 0.969 | 0.040 | 0.287 | −0.022 | 0.451 |
| W × lnX2 | −0.086 | 0.063 | −0.179 | 0.003 | −0.114 | 0.185 |
| W × lnX3 | 0.210 | 0.036 | 0.217 | 0.405 | 0.515 | 0.000 |
| W × lnX4 | −0.092 | 0.079 | −0.330 | 0.046 | −0.059 | 0.104 |
| W × lnX5 | 0.296 | 0.017 | 0.198 | 0.263 | −0.146 | 0.312 |
| W × lnX6 | −0.200 | 0.361 | −1.050 | 0.007 | −0.507 | 0.001 |
| W × lnX7 | −0.289 | 0.010 | −0.338 | 0.080 | 0.008 | 0.972 |
| Region | Variable | Direct Effect | Indirect Effect | Total Effect | |||
|---|---|---|---|---|---|---|---|
| Coefficient | p-Value | Coefficient | p-Value | Coefficient | p-Value | ||
| Main Grain- producing Regions | lnX1 | −0.027 | 0.038 | 0.001 | 0.971 | −0.026 | 0.400 |
| lnX2 | −0.042 | 0.075 | −0.082 | 0.048 | −0.123 | 0.014 | |
| lnX3 | 0.168 | 0.000 | 0.198 | 0.029 | 0.366 | 0.000 | |
| lnX4 | −0.211 | 0.000 | −0.073 | 0.113 | −0.284 | 0.000 | |
| lnX5 | 0.255 | 0.001 | 0.268 | 0.024 | 0.523 | 0.000 | |
| lnX6 | −0.419 | 0.000 | −0.155 | 0.483 | −0.574 | 0.033 | |
| lnX7 | −0.202 | 0.000 | −0.264 | 0.019 | −0.466 | 0.002 | |
| Northern Region | lnX1 | −0.040 | 0.017 | 0.045 | 0.169 | 0.005 | 0.889 |
| lnX2 | −0.065 | 0.033 | −0.153 | 0.002 | −0.218 | 0.000 | |
| lnX3 | −0.099 | 0.279 | 0.229 | 0.332 | 0.130 | 0.570 | |
| lnX4 | −0.329 | 0.000 | −0.232 | 0.118 | −0.561 | 0.002 | |
| lnX5 | 0.303 | 0.002 | 0.124 | 0.467 | 0.427 | 0.002 | |
| lnX6 | −0.595 | 0.001 | −0.840 | 0.013 | −1.435 | 0.003 | |
| lnX7 | −0.103 | 0.293 | −0.283 | 0.108 | −0.385 | 0.138 | |
| South Region | lnX1 | −0.029 | 0.067 | −0.015 | 0.495 | −0.043 | 0.139 |
| lnX2 | −0.096 | 0.038 | −0.083 | 0.211 | −0.179 | 0.088 | |
| lnX3 | 0.205 | 0.000 | 0.396 | 0.000 | 0.601 | 0.000 | |
| lnX4 | −0.212 | 0.000 | −0.0287 | 0.205 | −0.240 | 0.000 | |
| lnX5 | 0.312 | 0.000 | −0.141 | 0.211 | 0.170 | 0.070 | |
| lnX6 | 0.192 | 0.646 | −0.399 | 0.004 | −0.206 | 0.612 | |
| lnX7 | −0.581 | 0.000 | 0.064 | 0.738 | −0.517 | 0.037 | |
Publisher’s Note: MDPI stays neutral with regard to jurisdictional claims in published maps and institutional affiliations. |
© 2022 by the authors. Licensee MDPI, Basel, Switzerland. This article is an open access article distributed under the terms and conditions of the Creative Commons Attribution (CC BY) license (https://creativecommons.org/licenses/by/4.0/).
Share and Cite
Wang, Y.; Su, Z.; Zhang, Q. A Study on Spatial-Temporal Differentiation and Influencing Factors of Agricultural Water Footprint in the Main Grain-Producing Areas in China. Processes 2022, 10, 2105. https://doi.org/10.3390/pr10102105
Wang Y, Su Z, Zhang Q. A Study on Spatial-Temporal Differentiation and Influencing Factors of Agricultural Water Footprint in the Main Grain-Producing Areas in China. Processes. 2022; 10(10):2105. https://doi.org/10.3390/pr10102105
Chicago/Turabian StyleWang, Yun, Zhaoxian Su, and Qingqing Zhang. 2022. "A Study on Spatial-Temporal Differentiation and Influencing Factors of Agricultural Water Footprint in the Main Grain-Producing Areas in China" Processes 10, no. 10: 2105. https://doi.org/10.3390/pr10102105
APA StyleWang, Y., Su, Z., & Zhang, Q. (2022). A Study on Spatial-Temporal Differentiation and Influencing Factors of Agricultural Water Footprint in the Main Grain-Producing Areas in China. Processes, 10(10), 2105. https://doi.org/10.3390/pr10102105
