Abstract
In recent years there has been a growing concern about environmental pollution linked to the generation of agroindustrial waste. The wine industry generates approximately 8.49 million tons of grape pomace per year worldwide; this residue can be used to obtain compounds with biological activity. Grape pomace is a source of anthocyanins, pigments that have antioxidant properties and help prevent cardiovascular disease. The development of sustainable extraction, purification and identification techniques constitutes an important step in adding value to this waste. Therefore, the present research has focused on presenting a review of works carried out in the last years.
1. Introduction
Grape cultivation reaches a world production of approximately 60 million tons per year. They are rich in polyphenolic compounds, with 75% being found in the husk and seeds [1,2,3]. A large part of the crop is used for wine production, an activity that involves the generation of organic waste, wastewater and greenhouse gases, which represents a serious pollution problem. [3,4,5,6]. Grape pomace is the main solid residue from the maceration and fermentation stages, reaching values of approximately 8.49 million tons per year worldwide [7,8,9,10]. Like wines, grape pomace is a complex matrix made up of different groups of polyphenolic compounds, including simple molecules such as hydroxycinnamic and hydroxybenzoic acids and more complex molecules such as flavonoids [4,5,11,12]. However, its valorization has focused on its use as fertilizer or its sale to distilleries for the production of ethanol, losing potential bioactive compounds in the process [13,14]. With emphasis on the food industry, the potential of these by-products is based on the content of phenolic compounds and their relationship with the prevention of various diseases [4,9,13,14,15,16,17,18]. The high percentage of polyphenols in grape pomace is due to incomplete extraction during vinification and its variation in concentration is straightforward associated with the grape variety and the variables that control the wine-making process. Transfer phenomena will depend on the affinity of the substances between the two phases involved [12,19,20,21,22,23,24,25,26]. A determining factor is solubility since it varies for the different groups of monomeric anthocyanins. It is possible to transfer 60% of the total phenolic compounds present in grapes to wine, in contrast, only 38% of monomeric anthocyanins can be transferred. In this sense, the extraction of phenolics from grape pomace has a double purpose: on the one hand, to reduce pollution and, on the other, to recover high-value compounds, since they have the potential for their development as substitutes for artificial colors [9,27,28]. There are different studies on the positive impacts of grape marc extracts, however, most of them focus on white grape marc and, consequently, the amount of anthocyanins and other compounds in red grape marc is less well documented [8,29,30,31,32,33,34,35]. Despite the advantages that anthocyanins offer as possible substitutes for artificial colors, their incorporation into food matrices is limited due to their low stability during processing and storage. Its stability is determined by its molecular structure, pH, temperature, oxygen in the medium, pigment concentration and matrix water activity [36,37,38]. In this sense, research focus on three main steps: extraction, identification and stabilization. Extraction mechanisms are divided into at least 2 groups: classical processes and modern procedures, although so far there is no standard method [28,39,40,41,42,43]. Due to the polarity of anthocyanins, conventional solid-liquid extraction using water, methanol, ethanol and acetone is commonly used [26,44,45]. Conventional processes have long extraction times, high solvent consumption and could cause degrading of biologically active components. Further extraction and separation techniques need to be studied to comply with the principles of green chemistry and thus obtain higher quality extracts with minimal impact on the structure of the target molecules.
2. Composition of Grape Pomace
Grape marc is one of the principal subproducts of vinification and represents between 10% and 20% of the total grape processed [45]. It is composed of seeds, pulp, husks, stalks, and leafs, with 30% of cellulose, xyloglucan, arabinan, mannan and xylan, 20% of pectic acids, 15% of proanthocyanidins, proteins, and phenolics [24]. It is characterized by its high phenol content due to its low extraction during wine production. The diffusion of compounds during vinification depends mainly on the process parameters. The principal phenolic components of grape marc are anthocyanins, flavanols and stilbenes [1,14,16]. The total extractable phenols are about 60–70% in the seeds, 30–35% in the husk and 10% or lower in the pulp [3,46]. It has a total polyphenol content between 0.68–0.75 mg GAE/100 g (dw) and an anthocyanin content that varies from 84.4–131 mg/100 g (dw) [47].
The principal anthocyanins found in grape skins are: 3-O-glucosides of malvidin, petunidin, cyanidin, peonidin and delphinidin, nevertheless, certain aspects such as varietal, maturity and environment can modify the appearance of these compounds [10].
3. The Chemistry of Polyphenols
Polyphenols belong to a complex set of molecules that are mostly linked to plant cell walls. The basic monomer is the phenolic ring and its chemical complexity varies from simple compounds like phenolic acids to higher molecular weight compounds for example tannins [17,48]. In function of the quantity of phenolic rings they have as well as their structure, there are two groups: flavonoids and non-flavonoids, where flavonoids constitute the most significant group. Non-flavonoids are classified into hydroxybenzoic acids, hydroxycinnamic acids, stilbenes, lignans and coumarins [49,50,51,52]. Anthocyanins are anthocyanidin glycosides, belonging to the flavonoid family, which consist of two aromatic rings (A, B) joined with a heterocycle (C) [37]. They provide color to grapes and wine, a characteristic defined by their degree of hydroxylation, methylation and glycosylation [50,53,54,55].
They are mainly found as glycosides, and very rarely in its aglycone form. Glycosides can be found in two forms: as O-glucosides with carbohydrates linked through oxygen atoms, or as C-glucosides with carbohydrates linked through carbon-carbon bonds, with O-glucosides being the majority. Glycosylation occurs mainly at position 3 of ring C or at positions 5 and 7 of ring A. Glycosylation of positions 3′, 4′ and 5′ of ring B is also possible, although this occurs less frequently. The categorization of these molecules is according to the oxidation state of the heterocyclic ring as well as the substitution of the B-ring. Within each family there are a great variety of compounds, differentiated by the quantity and position of hydroxyl groups, as well as the different functional groups that they can present (methyls, sugars and organic acids) (Figure 1, Table 1) [56].
Figure 1.
Basic structure of anthocyanidins.
Table 1.
Substitution patterns in anthocyanidins.
The hydroxyl groups of the aglycone can be substituted by sugar residues, mainly glucose and rhamnose, which can be attached to additional sugars via glycosidic or acylated linkages, where the most common are p-coumaric, caffeic and ferulic acids, gallic, p-hydroxybenzoic and aliphatic acids like malonic, acetic or malic acids via ester links. Glycosylation (increment water solubility) and acylation (drop off water solubility) change molecular size and polarity. Furthermore, glycosylation increases the stability of anthocyanins by forming an intramolecular network of hydrogen bonds [50,54,57,58].
Anthocyanins show different forms in equilibrium depending on the pH; for values lower than 2, the pigment is in its form of an intense red flavillium cation, at higher values there is a loss of the proton and the insertion of water at the C2, which causes an equilibrium between the pseudobase carbinol or hemiketal and the chalcone form, which are colorless and unstable forms. For pH greater than 7, purple quinoidal forms are present [59]. They differ mainly in the alternative arrangement in the B-ring, nature of the sugar and additional molecules that make up the glycosylated segment. [4,53]. They are extremely reactive due to their electron deficiency, which is why they are considered natural antioxidants. They present low or no toxicity and are considered safe when consumed at higher doses compared to synthetic dyes [35,59,60]. However, they are relatively unstable under different processing conditions and are easily oxidized, which limits their use as natural colorants in food. The factors that have the greatest impact on the stability of these molecules are pH, the presence of oxygen, light, temperature and their own structure [52,58,61,62].
3.1. Anthocyanins and Anthocyanin Derivatives
The color of red grapes is given by the presence of anthocyanins, located mainly in the skin. Similarly, they produce the red color of red wines in their early years [56] and the change to an orange tone during the winemaking and aging process, due to the evolution towards more complex derivative compounds. So far it is supposed that the derivatives are not found in fresh grapes, but in wines [30,63,64,65,66,67]. The special focus of these dyes is the greater color stability to pH changes and SO2 bleaching than native anthocyanin, with pyranoanthocyanins being the most stable [68,69,70,71].
The direct anthocyanin-flavanol interaction is explained by two main mechanisms positionally related to flavanol. The condensation reaction anthocyanin-flavanol is produced by an attack of the nucleophilic C8 or C6 of a flavanol on the electrophilic C4 of the flavylium cation, producing a colorless adduct with the possibility of being oxidized to red flavylium and then to a xanthylium salt [65].
For the flavanol-anthocyanin condensation mechanism, the process takes place when the acidic breakdown of the interflavanic bond of a procyanidin occurs, a carbocation (electrophile) is generated, reacting via C4 with the C6 or C8 of the of the hydrated anthocyanin. These carbocations can also react with other flavanols, generating new proanthocyanidin molecules [65,66,72].
3.1.1. Pyranoanthocyanins
In the case of pyranoanthocyanins, these are produced by the cycloaddition reaction of certain substances in wine with the flavylium cation, which causes the formation of a new pyran ring. Pyranoanthocyanins induce hypochromatic changes at the maximum visible absorption with respect to the precursor, so that the color of the wine changes to a brick-red hue [73].
These compounds can be generated from the reaction of anthocyanins with acetaldehyde, acetoacetic acid, pyruvic acid, vinylphenol, vinylguaiacol and vinylcatechol. At the same time, it includes dissimilar compounds that can react again where the precursors are those derived from anthocyanins [70,74].
Depending on the molecule that produces the cycloaddition, it is grouped into vitisin-type pyranoanthocyanins; phenyl-pyranoanthocyanins; vinylflavanol-pyranoanthocyanins and vinyl-pyranoanthocyanins [68,75,76]. In 1998, Fulcrand et al. [68] proposed the following scheme (Figure 2) based on the mechanism of formation of pyranoanthocyanins specifically vitisins. The reaction starts by adding metabolites to the C4 and C5 of the anthocyanins, followed by dehydration and oxidation to obtain the additional ring.
Figure 2.
Reaction mechanism involving malvidin-3- O -glucoside and carbonyl compounds.
3.1.2. Vitisins
Vitisins are generated as a result of the reaction of anthocyanins with metabolites (pyruvic acid, acetoacetic acid and acetaldehyde) [68,75,77].
The mechanism of formation initiates by cycloaddition of these metabolites at C4 and C5, then dehydration and subsequent oxidation to give rise to a new pyran-type ring. Type A Vitisin stands out in this family, formed by a reaction involving the enol form of pyruvic acid and malvidin-3-O-glucoside. Stable against nucleophilic attack, which allows it to remain in wines for up to 15 years [64,78,79,80].
There are type B vitisins, with a structural similarity to type A vitisins. These are obtained from the cycloaddition of an acetaldehyde on a preferably acylated anthocyanin. These only differ from vitisin A by the absence of the carboxyl group at C10 of the D ring [78]. The maximum generation of type A vitisins (Figure 3 [67,75]) is reached when the pyruvic acid concentration is maximum, low pH and low temperature. Once the fermentation has concluded, the formation speed decreases as the medium is exhausted and at this time the formation of vitisin B (Figure 3 [67,75]) prevails [68].
Figure 3.
Chemical structure of Vitisin A and Vitisin B.
There is scientific evidence of the formation of pyranoanthocyanins in wine, Mateus et al., 2001 [77] identified by HPLC-MS and NMR analysis a malvidin-pyruvic acid adduct and its acetylated and p-coumaroylated derivatives in 1-year-old Port wines. These pigments cause the color of wine to change from brilliant red to a less intense brick color. Mateus also [81] stated that in wine most of the pigments identified are related structures with orange-red pyranoanthocyanins, however, in their study they found a unique type of blue pigment. They explain that the derivatives found are due to involving anthocyanin-pyruvic acid adducts and vinyl flavonoids.
Alcalde-Eon et al., 2004 [82] established a fractionation method by size exclusion chromatography for the identification of derived pigments. Two fractions were obtained (A and B), which were characterized and analyzed by mass spectrometry and UV-visible. Their results showed the identification of 30 compounds in fraction A, mainly pyranoanthocyanins such as vitisins. Likewise, in fraction B, they managed to identify 29 compounds, highlighting the anthocyanin monoglycosides.
Pissarra et al., 2004 [83] studied the condensation reaction in model solutions. While other researchers profiled individual anthocyanins in Cabernet Sauvignon wines by means of LC-MS/MS and elucidated the mechanisms of transformation [84]. The structural characterization of the derivatives was carried out using nuclear magnetic resonance, mass spectrometry and UV-visible. The formation of the derivative malvidin- 3-O-glucoside-isobutylcatechin, malvidin-3-O-glucoside-benzylcatechin and malvidin-3-O-glucoside-3-methylbutylcatechin was observed.
Sánchez-Ilárduya et al., 2012 [74] established different patterns of fragmentation by mass spectrometry to make it possible to properly detect anthocyanin derivatives and their structural characterization in aged red wines from Rioja. They also identified dimers of (+)-catechin or (+)-gallocatechin and cyanidin-3-O-glucoside, which had not been stated before.
Dipalmo et al., 2016 [85] detected over fifty anthocyanin-derivatives in young and two-year-old Primitivo wines. They identified for the first time malvidin 3-O-acetyl-4-vinyl-procyanidin, malvidin 3-O-glucoside-di(epi)-catechin and peonidin type A and malvidin-3-O-glucoside-(epi) catechin. Also Zhang et al., 2021 [86] analyzed a total of 37 anthocyanin derivatives and supplied chromatographic and mass spectral data.
3.1.3. Flavanyl-Pyranoanthocyanins
Flavanyl pyranoanthocyanins are naturally found in red wines or are synthesized in model solutions by acetaldehyde-mediated reactions. They show great stability against changes in pH and have a stronger orange color compared to the original anthocyanins. Its formation mechanism is similar to that of vitisins. These compounds were described by Francia-Aricha et al., 1997 [87] in model solutions, then corroborated [75,88] in experimental and commercial wines (Figure 4 [89]).
Figure 4.
Structure of pyranomalvidin-3-O -glucoside-flavan-3-ol.
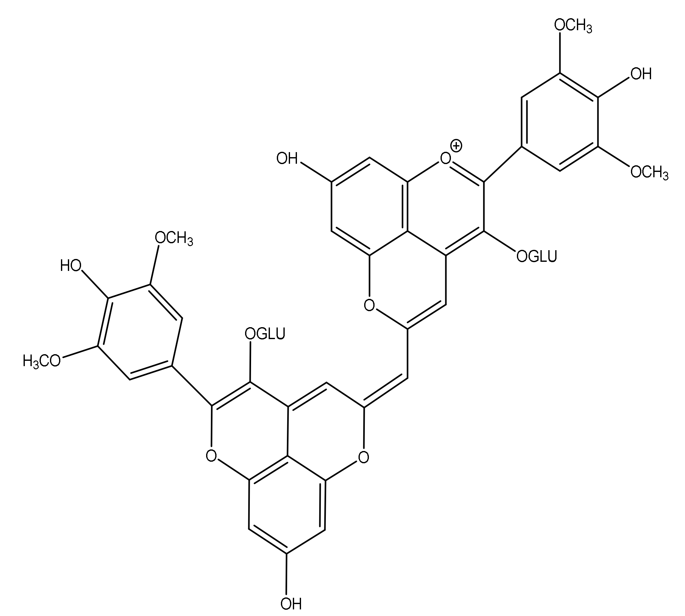
3.1.4. Pyranoanthocyanin Dimers
Pyranoanthocyanin dimers (Figure 5) are formed by reaction between carboxypyranoanthocyanins and methylpyranoanthocyanins. They were detected [90] in 9-year-old Port wines and later synthesized and analyzed in model solutions.
Figure 5.
Structure of pyranoanthocyanin dimers.
3.1.5. Polymeric Anthocyanins
These derivates result through direct polymerization of anthocyanins and flavanols. They have greater stability than monomeric anthocyanins against nucleophilic attack, resistance to oxidation reactions and sulfur dioxide bleaching. Two mechanisms have been proposed for the generation of these pigments [65,91,92].
(a) Direct anthocyanin-flavanol (A-F) reaction: starting with the nucleophilic attack of the C-8 or C-6 flavanol to the C4 (electrophilic) flavylium cation, a flavene is generated, which can be oxidized to flavylium cation and dehydrated to a xanthylium salt, or to a colorless bicyclic condensation product (Figure 6a).
Figure 6.
Derivative Flavanol-Anthocyanin (6a), Anthocyanin-Flavanol (6b) by direct condensation and condensation mediated by acetaldehyde (6c).
(b) Direct flavanol-anthocyanin (F-A) condensation reaction: carbocations formed from cleavage of the interflavanic bond react with the C6 or C8 of the hydrated hemiketal form of the anthocyanin, resulting in a colorless dimer that can be dehydrated to a flavylium cation (Figure 6b).
(c) Acetaldehyde-mediated reaction of anthocyanins and flavonoids. The mechanism was first described by Timberlake and Bridle, 1976 [93], it begins with the condensation of acetaldehyde with flavanols, which causes the formation of an intermediate carbocation that can react with another flavanol or an anthocyanin (hydrated form) [94]. These molecules has been identified by Es-Safi et al., 1999 [95] and Pissarra et al., 2003 [96] in models solutions. Likewise, Salas et al., 2005 [97] identified the compound (epi) cat-ethyl-mv3glc using UV-visible in wines made with Cabernet Sauvignon (60%) and Tannat (40%) cultivars (Figure 6c).
Tannin-anthocyanin (T-A) derivatives (direct condensation) in the wine fractions before and after thiolysis has been demonstrated by HPLC- MS methods. During T-A pigment formation, anthocyanin is bound by C6 or C8 as a terminal unit in the original pigment and is the precursor of the malvidin-3-O-glucoside released among the products of thiolysis. Two peaks were observed which were related to a flavene or to a bicyclic anthocyanin-tannin (A-T) structure, which is the result of a direct reaction between malvidin-3-O-glucoside (linked by the C4) and catechin [98]. Likewise, both pyranoanthocyanins and direct condensation pigments in red wine fractions were identified by UV-visible and MS [83,99,100].
Salas et al., 2004 [65] demonstrated that the formation of flavanol-anthocyanin adducts in wine occurs through the mechanism of acid-catalyzed cleavage of proanthocyanidins and then occurs the addition of anthocyanin to the carbocation. Production of catechin-malvidin-3-O-glucoside (cat-mv3glc) and epicatechin-malvidin-3-O-glucoside (ec-mv3glc) (FA) was developed using two different processes and to corroborate this procedure, the reactions between mv3glc and ec-(4-8)-ec-3-O-gallate were evaluated in a model solution at pH 2. The results obtained were equivalent to the pigments detected in the wine.
Anthocyanin derivatives and tannins have been confirmed to start forming immediately after anthocyanin extraction. Likewise, direct condensation adducts present greater stability than those derived from mediated condensation [101]. Although larger condensed tannins can also be generated, they precipitate rapidly and their condensation with anthocyanins is more difficult than with the smaller proanthocyanidins [78].
Oliveira et al., 2013 [80] identified for the first time a trimeric pigment derived from flavylium, which was structurally characterized. Figure 7 shows the structure of the pigment which comprises a molecule of malvidin-3-O-glucoside (terminal unit) connected to two other anthocyanins (extension units) through type A bonds.
Figure 7.
Trimeric anthocyanin compounds.
A factor that influences the composition and quality of the wine is the degree of maturity of the grape. Malvidin-catechin derivatives, anthocyanin-pyruvic acid adducts and vinyl-flavonoids were identified in Tinto Fino and Cabernet Sauvignon wines, aged one year in barrels and then aged for 6 months in bottle [102].
The identification of 18 groups of polyphenols in red wine, within which there are 50 individual monomeric pigments and proanthocyanidin-malvidin oligomeric adducts, was possible using UPLC-MS/MS [103].
LC-MS analysis allowed the detection and identification of different derivatives, as well as the tentative identification of two new aldehyde-flavanol-ethylpyranoanthocyanin derivates as part of the study of the effect of the oxygen dosage of wines in barrels [104].
4. Factors Influencing the Stability of Anthocyanins
The anthocyanin heterocycle has a positive charge at the C2 and C4 positions. This is why nucleophilic attack reactions predominate, the most important being the attack of water on the C2 of the flavylium cation. On the other hand, anthocyanins (in their hydrated form) can also react with electrophiles via hydroxyl groups and C6 or C8. Ring A (floroglucinol type) has two nucleophilic sites activated by three hydroxyl groups, two located in the ortho position and one in the para position [105].
4.1. Effect of pH
Red color of anthocyanins is attributable to their flavylium cation, also dependent on the conditions of the environment, where they are in equilibrium with the anthocyanin’s different forms. The balance shifts towards the different species present as a dependence of the pH. In acidic pH values the flavylium form predominates, at pH close to neutrality the predominant form is the quinoidal base with a bluish-violet color, and with a pH between 3 and 6 colorless carbinol pseudobases are formed, and in equilibrium with these colorless or slightly yellowish chalcone pseudobases, when they undergo oxidation, they go irreversibly towards colorless phenolic acids, producing a color decrease. Chalcones evolution is identified as the initial phase in the degradation of anthocyanins [30,59,106].
4.2. Effect of Concentration
The increase in the concentration of anthocyanins provides greater stability and color intensity through self-association processes that protect against the attack of water. Self-association phenomena can occur between two flavylium cations, two hemicetal forms, two quinoidal bases, as well as a quinoidal base and a flavylium cation [37].
4.3. Effect of Temperature
Anthocyanin thermal breakdown occurs according to first-order kinetics [107]. Its stability decreases over the course of treatments and storing as the temperature increases. The rise in breakdown is associated with a shift in equilibrium towards the trans-chalcone form. At high temperatures, the glycosylating sugar is lost in the C3 position of the molecule and the opening of the ring with the consequent production of colorless chalcones [22,37,60].
4.4. Light Effect
Light also accelerates the breakdown of anthocyanins. It has been shown that the photochemical degradation products are equal to those obtained by the effect of temperature [108].
4.5. Effect of Oxygen
Oxygen enhances the incidence of other breakdown processes. It can occur by a direct oxidative mechanism or by the action of enzymes. Enzymes including polyphenoloxidase catalyze the oxidation of chlorogenic acid to the O-quinone. This quinone reacts with anthocyanins to form brown condensation products [109].
4.6. Effect of Co-Pigmentation
In co-pigmentation molecular combinations are formed, causing a change or increase in the intensity of the color [110,111]. Co-pigmentation can be considered as the main color stabilization mechanism in plants. Co-pigments are π-electron rich systems that can associate with flavylium ions. This association protects against water attack at the C2 of the flavylium. Co-pigments combination with anthocyanins in solution causes a hyperchromic effect and a bathochromic shift in the UV-visible absorption spectra. Co-pigment-anthocyanin interaction can occur in five possible routes in accordance with the type of species that are involved. If the co-pigment is another anthocyanin, intramolecular self-association or co-pigmentation occurs [112]; when the interaction is with a metal, complexation takes place; if there are co-pigments with pairs of free electrons, intermolecular co-pigmentation occurs; if the co-pigment is a different phenolic compound, the association is short-lived due to the absence of bonds [60,113,114].
According to Dangles et al., 1992 [110] The resulting co-pigmentation is based on two effects: formation of the π-π complex affecting the spectral properties of the flavylium ion, with hyperchromic effect and bathochromic change; secondly, stabilization of the flavylium ion with displacement of the equilibrium and increase of the red color.
5. Bioactive Compound Extraction Methods
Extraction is a critical step in the isolation and identification of phenolic compounds in grape pomace. They are separated into two groups: traditional extraction techniques and alternative extraction techniques [40]. Traditional processes include maceration and solvent extraction actions. These procedures imply time-consuming, are expensive mostly due to the amount of solvents used, low yield of the analytes of interest due to thermal degradation, as well as inadequate solvent disposal and recycling practices [115,116]. However, modern techniques include ultrasound-assisted extraction, supercritical fluid extraction, pressurized liquid extraction, pulsed electric fields, accelerated solvent extraction and extraction with natural deep eutectic solvents (NADES). These techniques are more efficient, require less extraction time, cost less and provide a superior purity of the extracted molecules. Nevertheless, there are different problems inherent to conventional and modern methods, namely solvent toxicity, polarity of the molecules, solubility, low selectivity and separation of bioactive components from the solvent [42,117,118]. Polyphenols exhibit variations in their solubility and yield of recuperation, which makes its selective extraction difficult. Higher efficiency solvents, for example, supercritical fluid extraction or ultrasound-assisted extraction with eutectic solvents [119] have been described in an attempt to improve the efficiency [4,120,121]. Table 2 shows different studies performed for the extraction of phenolic compounds using different extraction methods.
Table 2.
Extraction techniques to obtain polyphenolic compounds.
5.1. Solid-Liquid Extraction
The usual procedure for extracting polyphenols from grape pomace is solid-liquid extraction with mechanical stirring. Because of their polar nature, they are solubilized in polar protic solvents which include ethanolic or methanolic solutions. These techniques result in the loss of compounds related to hydrolysis and oxidation. Factors related to its efficient performance, such as solvent type, solvent/sample ratio, particle size, temperature and extraction time, determine optimal extraction. Ethanol (EtOH) provides great extraction efficiency, but is not specific for the different kinds of polyphenols. Another solvent used is methanol (MeOH), but the toxicity associated limits its utilization to experimental procedures. For this reason EtOH has been recognized as safe by the European Food Safety Authority and the FAO/WHO Expert Committee on Food Additives [4,28,117,129,137].
5.2. Ultrasound Assisted Extraction (UAE)
There are different frequency ranges for ultrasound, such as power ultrasound (20–100 kHz) used in cleaning, plastic welding and extraction processes; the extended range (100 kHz–2 MHz), applied in sonochemistry; and the high-frequency range (2–10 MHz), which is often used in medical imaging. Power ultrasound is used in the extraction of polyphenols. Low frequencies induce big cavitation bubbles in the extraction media. Bubbles implode violently, which cause higher shear leading to superior cell damage, a greater solvent penetration and a higher extraction rate [6,138,139]. The power supplied for the extraction from fruit and vegetable by-products depends on the specific molecule to be extracted and the matrix selected, and varies in the range of 20 to 700 W [140].
Different studies reported the extraction of bioactive compounds using ultrasound. Zheng et al., 2010 [61] evaluated the extraction of anthocyanins from grape skins. To carry out this study they used an orthogonal design with 4 factors and 3 levels. The factors evaluated were solvent (methanol/formic acid: 95, 98 and 100%), extraction time (30, 60, 90 min), extraction temperature (25, 30, 35 °C) and ultrasound time (0, 10, 20 min). Optimal anthocyanin extraction was obtained with formic acid/methanol solvent (95%), with ultrasound for 10 min, extraction temperature at 25 °C, and extraction time for 1.5 h. The values achieved under these conditions for total monomeric anthocyanins 1442.7 ± 136.6 mg/100 g skin-dw, total acylated anthocyanins 663.1 ± 66.1 mg/100 g skin-dw and total polymeric anthocyanins 30.4 ± 3.1 mg/100 g skin-dw. The application of ultrasound provides a favorable impact on the extraction of anthocyanins, as it causes the physical rupture of the cell walls and cell membrane, which facilitates the solvent to penetrate effectively into the cell tissue.
Da Porto et al., 2015 [128] decided to evaluate ultrasound extraction followed by supercritical fluid extraction. Ultrasound extraction was carried out at a frequency of 20 kHz and 80 W for 4, 7 and 10 min. Under the conditions evaluated, higher polyphenol content was found at 80 °C and 4 min, reaching a value of 2336 ± 7 mg GAE 100 g DM−1.
Drosou et al., 2015 [129] evaluated several extraction and pretreatment methods with respect to yield and recovery of phenolic compounds. In the case of ultrasound extraction, water or water: ethanol (1:1) was used as solvent, at a frequency of 25 kHz, power of 300 W and temperature of 20 °C for a total duration of 60 min. The phenolic compounds reaching a value up to 438,984 ± 4034 ppm GAE in the dry extract with high antiradical activity 0.36 ± 0.01 to 0.91 ± 0.02 mg/mL. They also reported a value of 34,188 ± 362 mg equivalents of malvidin-3-O-glucoside per g of grape skin dw total anthocyanins for air-dried grape pomace, higher than solar drying or untreated.
As evidenced ultrasound extraction can improve the extraction of heat-sensitive bioactive compounds by lower processing temperatures. Precisely the main advantages compared to conventional extraction are the reduction of processing time and solvent volume.
5.3. Microwave Assisted Extraction (MAE)
Microwaves are electromagnetic radiations (0.001 m to 1 m) that can be transmitted in the shape of a wave. When microwaves pass through the sample, their energy is absorbed and transformed in thermal energy. Microwave heating is based on ionic conduction and dipolar rotation [141].
MAE has been found useful in obtaining short-chain polyphenols such as phenolic acids and flavonoids; however, it is used sparingly when dealing with polymeric polyphenols, such as anthocyanins and tannins, due to the possibility of destroying polyphenols with several hydroxyl-type substituents and heat-sensitive ones, such as anthocyanins [142].
Microwave-assisted extraction is affected by different factors such as microwave power and frequency, duration of microwave radiation, moisture in the sample and the particle size, solvent polarity, solid/liquid ratio, temperature, pressure, and number of extraction cycles. The solvent is considered one of the critical parameters as it affects the solubility of the target components and microwave energy absorption [143].
Liazid et al., 2011 [27] evaluated the extraction of anthocyanins from grape skin. The variables studied were: solvent (50–80% methanol in water), magnetic stirring, temperature (50–100 °C), time (5–20 min), power (100–500 W) and solvent volume (25–50 mL). The optimum extraction conditions were at 50 °C, 50% methanol, 20 min extraction time, 100 W power without agitation.
Caldas et al., 2018 [28] focused on the recovery of phenolic compounds from grape skins. Specifically for microwave-assisted extraction they worked with a frequency of 2458 MHz, power density u1000 W/L and ethanol solvent. The extraction time was of 30 min, reaching a total polyphenol value of 104 mg GAE g−1. Malvidin-3-O-glucoside, quercetin, rutin, catechin and epicatechin were detected as the principal phenolic compounds in grape marc extracts.
5.4. Supercritical Fluid Extraction (SFE)
Supercritical fluid extraction basically involves two steps: first, extraction of the soluble compounds from the solid, followed by separation of the target analytes from the solvent. Factors influencing the efficiency of supercritical extraction include: appropriate selection of supercritical fluids, use of modifiers, temperature and pressure conditions [16,144]. Carbon dioxide (CO2) in supercritical conditions is the most widely used as a solvent in food applications. It is low cost and is easily eliminated by simple expansion at ambient pressure values, which favors obtaining extracts with high purity. Supercritical CO2 dissolves non-polar or low polar compounds. Extraction with supercritical fluids is performed without light and air, minimizing the risk of deterioration reactions that are common in conventional methods. Supercritical CO2 has a limited ability to dissolve polyphenols in grape residues. To compensate for this difficulty, a polar modifier (ethanol, water) is usually introduced as a co-solvent to increase its solvating power. As a polar food grade solvent, ethanol is one of the most widely used. The solvent consumption during the modified CO2 method is lower compared to traditional methods where the percentage of ethanol fluctuates between 5–15%. During the supercritical fluid extraction process, a moderate extraction temperature (30 °C) is used, thus avoiding the degradation of these analytes [123,145,146,147].
Pinelo et al., 2007 [122] developed two methods: conventional extraction and supercritical fluid extraction. For the conventional process, stirring speed was 140 rpm, temperature 25–50 °C and solid-liquid ratios 1:1, 5:1. For supercritical method, temperature was 35–50 °C, pressure 80–350 bar and the modifier ranged 0–8%. Higher extraction yields were obtained when ethanol was used as a co-solvent. An extraction yield between 2.5 and 30% was obtained, where the highest value corresponds to 8% modifier and high pressure. Extracts obtained by supercritical fluid showed higher phenolic concentration and antiradical activity than those obtained by the conventional method.
Ghafoor et al., 2010 [2] studied SFE. An orthogonal array design was used for experimental development. CO2 and modifier flow rates were set at 2 mL/min, extraction was performed for 30 min in each experimental series. Temperatures tested 37, 40, 43 and 46 °C; pressures 140, 150, 160 and 170 kg cm−2, modifiers 5, 6, 7 and 8% ethanol. The optimum conditions found: 45–46 °C temperature, 160–165 kg cm−2 pressure and 6–7% ethanol. A maximum yield of 12.31%, 2.156 mg GAE/100 mL total polyphenols and 1.176 mg/mL total anthocyanins were obtained.
5.5. Natural Deep Eutectic Solvents Extraction (NADES)
Eutectic mixtures with a low melting point, where systems that have a glass transition could be included, are obtained by heating two or more immiscible solids in a certain proportion, which causes a solid-liquid phase change at a certain temperature, called the eutectic point, behaving for these purposes as if it were a pure liquid [148]. They have acceptable costs, are simple and inexpensive to prepare and have low toxicity. However, their use is limited by their high viscosity and low vapor pressure [119,133,136,149]. Eutectic solvents commonly have various functional groups, such as hydroxyls, carboxyls or amines, which have the ability to form intermolecular hydrogen bonds, giving rise to viscous liquids [150].
The formation of eutectic solvents is directly linked to the molar ratio of their components. The eutectic mixture will not form if the molar ratio is incorrect. Therefore, the optimization of this parameter is critical when synthesizing [151]. In the case of solvents that include choline chloride as a hydrogen bond acceptor (HBA), the molar ratio 1:2 (HBA/HBD) is commonly used, and in other cases 1:1, 1:3 and 1:4 [152,153]. On the other hand, the temperature range is between 80–100 °C [154].
Panić et al., 2019 [134] investigated the scale-up of NADES-assisted extraction and the successful separation of the compounds from the solvent. They performed the study in stages, first selecting the appropriate NADES, then selecting the technology and performing the optimization of extraction parameters; and finally studying the recovery of target compounds and recycling of NADES. The study included the analysis of eight NADES, which were choline chloride-citric acid (2:1), choline chloride-malic acid (1:1), choline-proline-malic acid (1:1:1), proline-malic acid (1:1), betaine-malic acid (1:1), betaine-citric acid (1:1), malic acid-glucose-glycerol (1:1:1:1) and malic acid-glucose (1:1). NADES were synthesized using the stirring and heating method. Following the specified molar ratio, they were mixed with 10, 10, 25, 30 or 50% (v/v) of water, stirred and heated at 50 °C for 2 h. For the extraction process, ultrasound and microwaves were used. Ultrasonic extraction was carried out at 65 °C, for 50 min, 100 W power and a solid/NADES ratio of 0.03 g/mL. Microwave extraction was performed for 10 min with 40 kHz, 50 W irradiation and solid/NADES ratio 0.03 g/mL. The highest total anthocyanin content was extracted with the choline chloride-citric acid mixture, which did not differ from the proline-malic acid mixture or the ethanol. Values oscillated between 0.28 to 0.92 eq mg of malvidin-3-O-glucoside per g of dry weight indicating a large variation in NADES extraction efficiency. They explained that viscosity impacts extraction yield using organic acid-based NADES; extraction yield increases as viscosity decreases. They found that the choline chloride-citric acid mixture had the highest stabilizing capacity at 4 °C and −18 °C, where only 10% of anthocyanins were degraded. Total anthocyanin concentration was higher with increasing power and increased with ascending water content (10 to 30%). However, a higher water concentration caused a decrease in total anthocyanin content. They also performed the study on a larger scale, as well as the recycling of NADES. The recycling yield for citric acid was 77.91%, and the recovery of anthocyanins was about 90%.
Bosiljkov et al., 2017 [131] investigated eutectic solvents in combination with high-efficiency ultrasound-assisted extraction. NADES were synthesized in specific proportions of choline chloride and hydrogen donor (citric acid, malic acid, oxalic acid, glucose, fructose, xylose, glycerol). The mixtures were shaken in a flask at 80 °C for 2 h to 6 h, until a colorless liquid was formed. To determine the optimum NADES, a stirred extraction was performed at room temperature for 3 h with a solute/solvent ratio of 33.3 mg/mL. To compare the extraction efficiencies of NADES versus conventional solvents (ethanol/water/formic acid) under the same conditions. Highest extraction efficiency was obtained with choline chloride-malic acid, followed choline chloride-oxalic acid and choline chloride-citric acid. Total anthocyanins in the extracts obtained ranged from 2.89 eq mg malvidin-3-O-glucoside g−1 dw to 6.42 eq mg malvidin-3-O-glucoside g−1 dw. This is evidence that NADES with organic acids were the best solvents, because they are naturally more acidic than sugars or polyols. The addition of water improved the extraction efficiency, reduced the viscosity and increased the mass transfer rate. Nevertheless, values above 50% impacted negatively, presumably due to weakened interactions NADES—compounds of interest.
Min et al., 2015 [126] also evaluated the use of eutectic solvents for the extraction of anthocyanins. The NADES were synthesized by mixing the appropriate molar ratios and dissolved in a minimum volume of water for dissolution. Mixtures of choline chloride and as hydrogen bond donor malic acid (1:1), citric acid (1:1), glycerol (1:1), glucose (5:2), fructose (5:2), galactose (5:2), ribose (5:2), sucrose (1:1), maltose (4:1) were prepared. The mixture was then lyophilized for 24 h until the weight remained constant. Ultrasonic extraction was performed at room temperature for 45 min. Also, extraction was performed with conventional solvents (water, 100% methanol, 100% ethanol, 80% (v/v) methanol, and 70% (v/v) ethanol). The NADES with the exception of choline-sucrose chloride (1:1), showed extraction efficiencies comparable to methanol. The choline chloride-citric acid mixture (1:1) showed a higher extraction of anthocyanins than the reference, reaching a value of approximately 25 equivalents mg cyanidin-3,5-diglucoside per g grape skin.
Table 3 shows different eutectic mixtures that have been used for the extraction of anthocyanins.
Table 3.
Anthocyanin extraction using NADES.
5.6. Pressurized Liquid Extraction (PLE)
Pressurized liquid extraction uses solvents at high temperatures and sufficient pressure to keep them in a liquid state. Temperature is one of the key parameters to optimize in a PLE, as solvent properties change with increasing temperature. It also affects mass transfer by changing the surface tension, diffusivity and viscosity of the solvent. On the other hand, the use of high temperatures is limited when the compounds of interest are thermolabile. Unlike temperature, pressure has a limited impact on the characteristics of the solvent in the liquid state. A pressure of 5–15 MPa is normally used, except when the solvent saturation pressure is selected. PLE can be in continuous or static flow mode, for each, different designs are needed [158].
The most commonly used solvent in this technique is ethanol and the temperature would be in the range of 40–60 °C and 75–220 °C for thermolabile and thermostable phenolic compounds, respectively.
Pereira et al., 2018 [158] evaluated high-pressure extraction using the dynamic method. Temperatures of 40, 60, 80 and 100 °C were evaluated, using pure ethanol, water-ethanol (50% v/v), water-ethanol pH = 2.0 (50% v/v) and acidified water (pH = 2.0) as solvents, pressure constant at 10.0 ± 0.5 MPa and mass flow rate 5.0 g/min. For sequential method, phase one extraction was carried out at 40 °C, water/ethanol (50% v/v) y pH 2.0 and phase two at 100 °C, water/ethanol (50% v/v). The best anthocyanin extraction condition was ethanol-water (50% v/v), pH 2.0 and 40 °C. Fifteen anthocyanins were identified and quantified; five of them constitute over 78% of the total.
6. Beneficial Effects of Anthocyanins
The health benefits of polyphenolic compounds are well known. They stand out for their cardioprotective capacity, mainly due to their antioxidant properties. They are compounds that have vasodilatory and vasoprotective, as well as antithrombotic, antilipemic, antiatherosclerosis, anti-inflammatory and antiapoptotic actions [50,159,160].
7. Conclusions
The reviewed studies demonstrate the application of different extraction techniques in obtaining polyphenolic compounds. They are varied and have great potential, however there is a need to continue their study to achieve a selective extraction of the components with special interest in those that have greater color stability, these being anthocyanin derivatives. Therefore, future investigations should be focused on the development of selective extraction and fractionation processes.
Author Contributions
All authors contribute equally. All authors have read and agreed to the published version of the manuscript.
Funding
Doctoral scholarship was funded by CONACYT.
Institutional Review Board Statement
Not applicable.
Informed Consent Statement
Not applicable.
Conflicts of Interest
The authors declare no conflict of interest.
References
- Kammerer, D.; Claus, A.; Carle, R.; Schieber, A. Polyphenol screening of pomace from red and white grape varieties (Vitis vinifera L.) by HPLC-DAD-MS/MS. J. Agric. Food Chem. 2004, 52, 4360–4367. [Google Scholar] [CrossRef] [PubMed]
- Ghafoor, K.; Park, J.; Choi, Y. Optimization of supercritical fluid extraction of bioactive compounds from grape (Vitis labrusca B.) peel by using response surface methodology. Innov. Food Sci. Emerg. Technol. 2010, 11, 485–490. [Google Scholar] [CrossRef]
- Sirohi, R.; Tarafdar, A.; Singh, S.; Negi, T.; Gaur, V.K.; Gnansounou, E.; Bharathiraja, B. Green processing and biotechnological potential of grape pomace: Current trends and opportunities for sustainable biorefinery. Bioresour. Technol. 2010, 314, 123771. [Google Scholar] [CrossRef] [PubMed]
- Teixeira, A.; Baenas, N.; Dominguez-Perles, R.; Barros, A.; Rosa, E.; Moreno, D.A.; Garcia-Viguera, C. Natural bioactive compounds from winery by-products as health promoters: A review. Int. J. Mol. Sci. 2014, 15, 15638. [Google Scholar] [CrossRef] [Green Version]
- Lima, A.; Soares, C.M.F.; Paltram, R.; Halbwirth, H.; Bica, K. Extraction and consecutive purification of anthocyanins from grape pomace using ionic liquid solutions. Fluid Phase Equilibria 2017, 451, 68–78. [Google Scholar] [CrossRef]
- Bonfigli, M.; Godoy, E.; Reinheimer, M.A.; Scenna, N.J. Comparison between conventional and ultrasound-assisted techniques for extraction of anthocyanins from grape pomace. Experimental results and mathematical modeling. J. Food Eng. 2017, 207, 56–72. [Google Scholar] [CrossRef]
- Christ, K.L.; Burritt, R.L. Critical environmental concerns in wine production: An integrative review. J. Clean. Prod. 2013, 53, 232–242. [Google Scholar] [CrossRef]
- Boonchu, T.; Utama-Ang, N. Optimization of extraction and microencapsulation of bioactive compounds from red grape (Vitis vinifera L.) pomace. J. Food Sci. Technol. 2013, 52, 784–792. [Google Scholar] [CrossRef] [Green Version]
- Meini, M.R.; Cabezudo, I.; Boschetti, C.E.; Romanini, D. Recovery of phenolic antioxidants from Syrah grape pomace through the optimization of an enzymatic extraction process. Food Chem. 2019, 283, 257–264. [Google Scholar] [CrossRef]
- Beres, C.; Costa, G.N.S.; Cabezudo, I.; da Silva-James, N.K.; Teles, A.S.C.; Cruz, A.P.; Mellinger-Silva, C.; Tonon, R.V.; Cabral, L.M.C.; Freitas, S.P. Towards integral utilization of grape pomace from winemaking process: A review. Waste Manag. 2017, 68, 581–594. [Google Scholar] [CrossRef]
- Cheynier, V. Phenolic compounds: From plants to foods. Phytochem. Rev. 2012, 11, 153–177. [Google Scholar] [CrossRef]
- Rockenbach, I.I.; Gonzaga, L.V.; Rizelio, V.M.; Gonçalves, A.E.D.S.S.; Genovese, M.I.; Fett, R. Phenolic compounds and antioxidant activity of seed and skin extracts of red grape (Vitis vinifera and Vitis labrusca) pomace from Brazilian winemaking. Food Res. Int. 2011, 44, 897–901. [Google Scholar] [CrossRef]
- Oliveira, J.; da Silva, M.A.; Teixeira, N.; de Freitas, V.; Salas, E. Screening of Anthocyanins and Anthocyanin-Derived Pigments in Red Wine Grape Pomace Using LC-DAD/MS and MALDI-TOF Techniques. J. Agric. Food Chem. 2015, 63, 7636–7644. [Google Scholar] [CrossRef] [PubMed]
- Sousa, E.C.; Uchôa-Thomaz, A.M.A.; Carioca, J.O.B.; De Morais, S.M.; De Lima, A.; Martins, C.G.; Alexandrino, C.D.; Ferreira, P.A.T.; Rodrigues, A.L.M.; Rodrigues, S.P.; et al. Chemical composition and bioactive compounds of grape pomace (Vitis vinifera L.), Benitaka variety, grown in the semiarid region of Northeast Brazil. Food Sci. Technol. 2014, 34, 135–142. [Google Scholar] [CrossRef] [Green Version]
- Mendes, J.A.S.; Prozil, S.O.; Evtuguin, D.V.; Cruz, L.P. Towards comprehensive utilization of winemaking residues: Characterization of grape skins from red grape pomaces of variety Touriga Nacional. Ind. Crop. Prod. 2013, 43, 25–32. [Google Scholar] [CrossRef]
- Fontana, A.R.; Antoniolli, A.; Bottini, R. Grape pomace as a sustainable source of bioactive compounds: Extraction, characterization, and biotechnological applications of phenolics. J. Agric. Food Chem. 2013, 61, 8987–9003. [Google Scholar] [CrossRef]
- Abbas, M.; Saeed, F.; Anjum, F.M.; Tufail, T.; Bashir, M.S.; Ishtiaq, A. Natural polyphenols: An overview Natural polyphenols: An overview. Int. J. Food Prop. 2017, 20, 1689–1699. [Google Scholar] [CrossRef] [Green Version]
- Brezoiu, A.M.; Matei, C.; Deaconu, M.; Stanciuc, A.-M.; Trifan, A.; Gaspar, A.; Berger, D. Polyphenols extract from grape pomace. Characterization and valorisation through encapsulation into mesoporous silica-type matrices. Food Chem. Toxicol. 2019, 133, 110787. [Google Scholar] [CrossRef]
- Lu, Y.; Foo, L.Y. The polyphenol constituents of grape pomace. Food Chem. 1999, 65, 1–8. [Google Scholar] [CrossRef]
- Amico, V.; Napoli, E.M.; Renda, A.; Ruberto, G.; Spatafora, C.; Tringali, C. Constituents of grape pomace from the Sicilian cultivar ‘Nerello Mascalese’. Food Chem. 2004, 88, 599–607. [Google Scholar] [CrossRef]
- Boussetta, N.; Lanoisellé, J.; Bedel-cloutour, C.; Vorobiev, E. Extraction of soluble matter from grape pomace by high voltage electrical discharges for polyphenol recovery: Effect of sulphur dioxide and thermal treatments. J. Food Eng. 2009, 95, 192–198. [Google Scholar] [CrossRef]
- Vega, D.B. Formación y Evolución de Pigmentos de Tipo Pironoantociano en la Elaboración de Vinos Tintos y Rosados. PhD Thesis, Universidad de Castilla-La Mancha, Ciudad Real, Spain, 2013. [Google Scholar]
- Pina, F.; Oliveira, J.; de Freitas, V. Anthocyanins and derivatives are more than flavylium cations. Tetrahedron 2015, 71, 3107–3114. [Google Scholar] [CrossRef]
- Goula, A.M.; Thymiatis, K.; Kaderides, K. Valorization of grape pomace: Drying behavior and ultrasound extraction of phenolics. Food Bioprod. Process. 2016, 100, 132–144. [Google Scholar] [CrossRef]
- Bordiga, M.; Travaglia, F.; Locatelli, M. Valorisation of grape pomace: An approach that is increasingly reaching its maturity—A review. Int. J. Food Sci. Technol. 2019, 54, 933–942. [Google Scholar] [CrossRef]
- Zhao, X.; Zhang, S.; Zhang, X.; He, F.; Duan, C. An effective method for the semi-preparative isolation of high-purity anthocyanin monomers from grape pomace. Food Chem. 2020, 310, 125830. [Google Scholar] [CrossRef]
- Liazid, A.; Guerrero, R.F.; Cantos, E.; Palma, M.; Barroso, C.G. Microwave assisted extraction of anthocyanins from grape skins. Food Chem. 2011, 124, 1238–1243. [Google Scholar] [CrossRef]
- Caldas, T.W.; Mazza, K.E.L.; Teles, A.S.C.; Mattos, G.N.; Brígida, A.I.S.; Conte-Junior, C.A.; Borguini, R.G.; Godoy, R.L.O.; Cabral, L.M.C.; Tonon, R.V. Phenolic compounds recovery from grape skin using conventional and non-conventional extraction methods. Ind. Crops Prod. 2018, 111, 86–91. [Google Scholar] [CrossRef]
- Vidal, S.; Hayasaka, Y.; Meudec, E.; Cheynier, V.; Skouroumounis, G. Fractionation of Grape Anthocyanin Classes Using Multilayer Coil Countercurrent Chromatography with Step Gradient Elution. J. Agric. Food Chem. 2004, 52, 713–719. [Google Scholar] [CrossRef]
- Garrido, J.; Borges, F. Wine and grape polyphenols—A chemical perspective. Food Res. Int. 2013, 54, 1844–1858. [Google Scholar] [CrossRef] [Green Version]
- Li, Y.; Ma, R.; Xu, Z.; Wang, J.; Chen, T.; Chen, F.; Wang, Z. Identification and quantification of anthocyanins in Kyoho grape juice-making pomace, Cabernet Sauvignon grape winemaking pomace and their fresh skin. J. Sci. Food Agric. 2013, 93, 1404–1411. [Google Scholar] [CrossRef]
- West, M.E.; Mauer, L.J. Color and Chemical Stability of a Variety of Anthocyanins and Ascorbic Acid in Solution and Powder Forms. J. Agric. Food Chem. 2013, 61, 4169–4179. [Google Scholar] [CrossRef] [PubMed]
- Shiraz, L.; Giacosa, S.; Marengo, F.; Guidoni, S.; Rolle, L.; Hunter, J.J. Anthocyanin yield and skin softening during maceration, as affected by vineyard row orientation and grape ripeness of Vitis vinifera. Food Chem. 2015, 174, 8–15. [Google Scholar] [CrossRef]
- Cortez, R.; Luna-vital, D.A.; Margulis, D.; de Mejia, E.G. Natural Pigments: Stabilization Methods of Anthocyanins for Food Applications. Compr. Rev. Food Sci. Food Saf. 2017, 16, 180–198. [Google Scholar] [CrossRef] [PubMed]
- Khoo, H.E.; Azlan, A.; Tang, S.T.; Lim, S.M. Anthocyanidins and anthocyanins: Colored pigments as food, pharmaceutical ingredients, and the potential health benefits. Food Nutr. Res. 2017, 61, 1–16. [Google Scholar] [CrossRef] [Green Version]
- de Souza, V.B.; Thomazini, M.; César, J.; Balieiro, D.C.; Fávaro-trindade, C.S. Effect of spray drying on the physicochemical properties and color stability of the powdered pigment obtained from vinification byproducts of the Bordo grape (Vitis labrusca). Food Bioprod. Process. 2013, 93, 39–50. [Google Scholar] [CrossRef]
- Garzón, G.A. Anthocyanins as Natural Colorants and Bioactive Compounds. A Review. Acta Biol. Colomb. 2008, 13, 27–36. [Google Scholar]
- Fernandes, A.; Brás, N.F.; Mateus, N.; de Freitas, V. A study of anthocyanin self-association by NMR spectroscopy. New J. Chem. 2015, 39, 2602–2611. [Google Scholar] [CrossRef]
- Spigno, G.; de Faveri, D.M. Antioxidants from grape stalks and marc: Influence of extraction procedure on yield, purity and antioxidant power of the extracts. J. Food Eng. 2007, 78, 793–801. [Google Scholar] [CrossRef]
- Wang, W.; Jung, J.; Tomasino, E.; Zhao, Y. Optimization of solvent and ultrasound-assisted extraction for different anthocyanin rich fruit and their effects on anthocyanin compositions. LWT—Food Sci. Technol. 2016, 72, 229–238. [Google Scholar] [CrossRef] [Green Version]
- Ameer, K.; Shahbaz, H.M.; Kwon, J.H. Green Extraction Methods for Polyphenols from Plant Matrices and Their Byproducts: A Review. Compr. Rev. Food Sci. Food Saf. 2017, 16, 295–315. [Google Scholar] [CrossRef] [Green Version]
- Ongkowijoyo, P.; Luna-Vital, D.A.; de Mejia, E.G. Extraction techniques and analysis of anthocyanins from food sources by mass spectrometry: An update. Food Chem. 2018, 250, 113–126. [Google Scholar] [CrossRef] [PubMed]
- Madureira, J.; Barros, L.; Verde, S.C.; Margaça, F.M.A.; Santos-Buelga, C.; Ferreira, I.C.F.R. Ionizing Radiation Technologies to Increase the Extraction of Bioactive Compounds from Agro-Industrial Residues: A Review. J. Agric. Food Chem. 2020, 68, 11054–11067. [Google Scholar] [CrossRef] [PubMed]
- Brahim, M.; Gambier, F.; Brosse, N. Optimization of polyphenols extraction from grape residues in water medium. Ind. Crops Prod. 2014, 52, 18–22. [Google Scholar] [CrossRef]
- Friedman, M. Antibacterial, antiviral, and antifungal properties of wines and winery byproducts in relation to their flavonoid content. J. Agric. Food Chem. 2014, 62, 6025–6042. [Google Scholar] [CrossRef]
- Guerrero, R.F.; Smith, P.; Bindon, K.A. Application of insoluble fibers in the fining of wine phenolics. J. Agric. Food Chem. 2013, 61, 4424–4432. [Google Scholar] [CrossRef] [PubMed]
- Kannampilly, N.J.; Devadas, C.T. Kinetic modelling of anthocyanin extraction from grape (Vitis vinifera) using response surface methodology. Int. J. Innov. Technol. Explor. Eng. 2019, 8, 3015–3019. [Google Scholar] [CrossRef]
- Kondratyuk, T.P.; Pezzuto, J.M. Natural product polyphenols of relevance to human health. Pharm. Biol. 2004, 42, 46–63. [Google Scholar] [CrossRef] [Green Version]
- El Gharras, H. Polyphenols: Food sources, properties and applications—A review. Int. J. Food Sci. Technol. 2009, 44, 2512–2518. [Google Scholar] [CrossRef]
- Quiñones, M.; Aleixandre, M.M.A. Los polifenoles, compuestos de origen natural con efectos saludables sobre el sistema cardiovascular. Nutr. Hosp. 2012, 27, 76–89. [Google Scholar] [CrossRef]
- Li, A.N.; Li, S.; Zhang, Y.J.; Xu, X.R.; Chen, Y.M.; Li, H.B. Resources and biological activities of natural polyphenols. Nutrients 2014, 6, 6020. [Google Scholar] [CrossRef]
- Valencia-Avilés, E.; Ignacio-Figueroa, I.; Sosa-Martínez, E.; Bartolomé-Camacho, M.C. Polyphenols: Antioxidant and toxicological properties. Rev. Fac. Cienc. Químicas 2017, 31, 15–29. [Google Scholar]
- Pervaiz, T.; Faghihi, F.; Salman, H.M.; Fang, J. Naturally occurring anthocyanin, structure, functions and biosynthetic pathway in fruit plants. J. Plant Biochem. 2017, 5, 1–9. [Google Scholar] [CrossRef]
- He, J.; Giusti, M.M. Anthocyanins: Natural colorants with health-promoting properties. Annu. Rev. Food Sci. Technol. 2010, 1, 163–187. [Google Scholar] [CrossRef]
- Tsao, R. Chemistry and biochemistry of dietary polyphenols. Nutrients 2010, 2, 1231. [Google Scholar] [CrossRef] [PubMed]
- Ribéreau-Gayon, P. Les composés phénoliques du raisin et du vin II. Les flavonosides et les anthocyanosides. Ann. Physiol. Végétale 1964, 3, 211–242. [Google Scholar]
- Hayasaka, Y.; Asenstorfer, R. Screening for potential pigments derived from anthocyanins in red wine using nanoelectrospray tandem mass spectrometry. J. Agric. Food Chem. 2002, 50, 756–761. [Google Scholar] [CrossRef] [PubMed]
- Sigurdson, G.T.; Tang, P.; Giusti, M.M. Natural Colorants: Food colorants from natural sources. Annu. Rev. Food Sci. Technol. 2017, 8, 261–280. [Google Scholar] [CrossRef] [PubMed]
- Brouillard, R.; Delaporte, B. Chemistry of anthocyanin pigments. Kinetic and thermodynamic study of proton transfer, hydration, and tautomeric reactions of malvidin 3-glucoside. J. Am. Chem. Soc. 1977, 99, 8461–8468. [Google Scholar] [CrossRef]
- Castañeda-Ovando, A.; Pacheco-Hernández, M.D.; Páez-Hernández, M.E.; Rodríguez, J.A.; Galán-Vidal, C.A. Chemical studies of anthocyanins: A review. Food Chem. 2009, 113, 859–871. [Google Scholar] [CrossRef]
- Zheng, L.; Qiuhong, P.; Cui, X.; Duan, C. Optimization on anthocyanins extraction from wine grape skins using orthogonal test design. Food Sci. Biotechnol. 2010, 19, 1047–1053. [Google Scholar] [CrossRef]
- Giusti, M.; Wrolstad, R. Acylated anthocyanins from edible sources and their applications in food systems. Biochem. Eng. J. 2003, 14, 217–225. [Google Scholar] [CrossRef]
- Horbowicz, M.; Kosson, R.; Grzesiuk, A.; Dębski, H. Anthocyanins of fruits and vegetables-their occurrence, analysis and role in human nutrition. Vegetable Crops Research Bulletin. 2008, 68, 5–22. [Google Scholar] [CrossRef]
- González-Paramás, A.M.; da Silva, F.L.; Martín-López, P.; Macz-Pop, G.; Manzano, S.G.; Alcalde-Eon, C.; Pérez-Alonso, J.J.; Escribano-Bailon, M.T.; Rivas-Gonzalo, J.-C.; Santos-Buelga, C. Flavanol-anthocyanin condensed pigments in plant extracts. Food Chem. 2006, 94, 428–436. [Google Scholar] [CrossRef]
- Salas, E.; Atanasova, V.; Poncet-Legrand, C.; Meudec, E.; Mazauric, J.P.; Cheynier, V. Demonstration of the occurrence of flavanol-anthocyanin adducts in wine and in model solutions. Anal. Chim. Acta 2004, 513, 325–332. [Google Scholar] [CrossRef]
- Salas, E.; le Guernevé, C.; Fulcrand, H.; Poncet-Legrand, C.; Cheynier, V. Structure determination and colour properties of a new directly linked flavanol-anthocyanin dimer. Tetrahedron Lett. 2004, 45, 8725–8729. [Google Scholar] [CrossRef]
- Nave, F.; Teixeira, N.; Mateus, N.; de Freitas, V. The fate of flavanol-anthocyanin adducts in wines: Study of their putative reaction patterns in the presence of acetaldehyde. Food Chem. 2010, 121, 1129–1138. [Google Scholar] [CrossRef]
- Fulcrand, H.; Benabdeljalil, C.; Rigaud, J.; Cheynier, V.; Moutounet, M. A new class of wine pigments generated by reaction between pyruvic acid and grape anthocyanins. Phytochemistry 1998, 47, 1401–1407. [Google Scholar] [CrossRef]
- He, J.; Santos-Buelga, C.; Mateus, N.; de Freitas, V. Isolation and quantification of oligomeric pyranoanthocyanin-flavanol pigments from red wines by combination of column chromatographic techniques. J. Chromatogr. A 2006, 1134, 215–225. [Google Scholar] [CrossRef]
- Marquez, A.; Serratosa, M.P.; Merida, J. Pyranoanthocyanin derived pigments in wine: Structure and formation during winemaking. J. Chem. 2013, 2013, 1–15. [Google Scholar] [CrossRef]
- Revilla, I.; Perez-Magarino, S.; Gonzalez-SanJose, M.L. Identification of anthocyanin derivatives in grape skin extracts and red wines by liquid chromatography with diode array and mass spectrometric detection. J. Chromatogr. A 1999, 847, 83–90. [Google Scholar] [CrossRef]
- Salas, E.; Fulcrand, H.; Poncet-Legrand, C.; Meudec, E.; Kohler, N.; Winterhalter, P.; Cheynier, V. Isolation of flavanol-anthocyanin adducts by countercurrent chromatography. J. Chromatogr. Sci. 2005, 43, 488–493. [Google Scholar] [CrossRef] [Green Version]
- Sánchez-Ilárduya, M.; Sánchez-Fernández, C.; Viloria-Bernal, M.; López-Márquez, D.; Berrueta, L.; Gallo, B.; Vicente, F. Mass spectrometry fragmentation pattern of coloured flavanol-anthocyanin and anthocyanin-flavanol derivatives in aged red wines of Rioja. Aust. J. Grape Wine Res. 2012, 18, 203–214. [Google Scholar] [CrossRef]
- Oliveira, J.; de Freitas, V.; Silva, A.M.S.; Mateus, N. Reaction between hydroxycinnamic acids and anthocyanin-pyruvic acid adducts yielding new portisins. J. Agric. Food Chem. 2007, 55, 6349–6356. [Google Scholar] [CrossRef]
- Vivar-Quintana, A.M.; Santos-Buelga, C.; Rivas-Gonzalo, J.C. Anthocyanin-derived pigments and colour of red wines. Anal. Chim. Acta 2002, 458, 147–155. [Google Scholar] [CrossRef]
- Oliveira, J.; Mateus, N.; Silva, A.M.S.; de Freitas, V. Equilibrium forms of vitisin B pigments in an aqueous system studied by NMR and visible spectroscopy. J. Phys. Chem. B 2009, 113, 11352–11358. [Google Scholar] [CrossRef]
- Mateus, N.; de Freitas, V. Evolution and stability of anthocyanin-derived pigments during port wine aging. J. Agric. Food Chem. 2001, 49, 5217–5222. [Google Scholar] [CrossRef]
- He, F.; Liang, N.-N.; Mu, L.; Pan, Q.-H.; Wang, J.; Reeves, M.J.; Duan, C.-Q. Anthocyanins and their variation in red wines II. Anthocyanin derived pigments and their color evolution. Molecules 2012, 17, 1483. [Google Scholar] [CrossRef] [Green Version]
- Mateus, N.; Silva, A.M.S.; Vercauteren, J.; de Freitas, V. Occurrence of anthocyanin-derived pigments in red wines. J. Agric. Food Chem. 2001, 49, 4836–4840. [Google Scholar] [CrossRef]
- Oliveira, J.; da Silva, M.A.; Parola, A.J.; Mateus, N.; Brás, N.F.; Ramos, M.J.; de Freitas, V. Structural characterization of a A-type linked trimeric anthocyanin derived pigment occurring in a young Port wine. Food Chem. 2013, 141, 1987–1996. [Google Scholar] [CrossRef]
- Mateus, N.; Silva, A.M.S.; Rivas-Gonzalo, J.C.; Santos-Buelga, C.; de Freitas, V. A new class of blue anthocyanin-derived pigments isolated from red wines. J. Agric. Food Chem. 2003, 51, 1919–1923. [Google Scholar] [CrossRef]
- Alcalde-Eon, C.; Escribano-Bailón, M.T.; Santos-Buelga, C.; Rivas-Gonzalo, J.C. Separation of pyranoanthocyanins from red wine by column chromatography. Anal. Chim. Acta 2004, 513, 305–318. [Google Scholar] [CrossRef]
- Pissarra, J.; Lourenço, S.; González-Paramás, A.M.; Mateus, N.; Santos-Buelga, C.; de Freitas, V. Formation of new anthocyanin-alkyl/aryl-flavanol pigments in model solutions. Anal. Chim. Acta 2004, 513, 215–221. [Google Scholar] [CrossRef]
- Wang, H.; Race, E.J.; Shrikhande, A.J. Anthocyanin transformation in Cabernet Sauvignon wine during aging. ACS Symp. Ser. 2004, 886, 198–216. [Google Scholar] [CrossRef]
- Dipalmo, T.; Crupi, P.; Pati, S.; Clodoveo, M.L.; di Luccia, A. Studying the evolution of anthocyanin-derived pigments in a typical red wine of Southern Italy to assess its resistance to aging. LWT—Food Sci. Technol. 2016, 71, 1–9. [Google Scholar] [CrossRef]
- Zhang, X.K.; Lan, Y.B.; Huang, Y.; Zhao, X.; Duan, C.Q. Targeted metabolomics of anthocyanin derivatives during prolonged wine aging: Evolution, color contribution and aging prediction. Food Chem. 2021, 339, 127795. [Google Scholar] [CrossRef]
- Francia-Aricha, E.M.; Guerra, M.T.; Rivas-Gonzalo, J.C.; Santos-Buelga, C. New anthocyanin pigments formed after condensation with flavanols. J. Agric. Food Chem. 1997, 45, 2262–2266. [Google Scholar] [CrossRef]
- Cruz, L.; Teixeira, N.; Silva, A.M.S.; Mateus, N.; Borges, J.; de Freitas, V. Role of vinylcatechin in the formation of pyranomalvidin-3-glucoside-(+)- catechin. J. Agric. Food Chem. 2008, 56, 10980–10987. [Google Scholar] [CrossRef]
- de Freitas, V.; Mateus, N. Formation of pyranoanthocyanins in red wines: A new and diverse class of anthocyanin derivatives. Anal. Bioanal. Chem. 2011, 401, 1467–1477. [Google Scholar] [CrossRef]
- Oliveira, J.; Azevedo, J.; Silva, A.M.S.; Teixeira, N.; Cruz, L.; Mateus, N.; De Freitas, V. Pyranoanthocyanin dimers: A new family of turquoise blue anthocyanin-derived pigments found in port wine. J. Agric. Food Chem. 2010, 58, 5154–5159. [Google Scholar] [CrossRef]
- Jurd, L.; Somers, T.C. The formation of xanthylium salts from proanthocyanidins. Phytochemistry 1970, 9, 419–427. [Google Scholar] [CrossRef]
- Somers, T.C. The polymeric nature of wine pigments. Phytochemistry 1971, 10, 2175–2186. [Google Scholar] [CrossRef]
- Timberlake, C.F.; Bridle, P. Interactions Between Anthocyanins, Phenolic Compounds, and Acetaldehyde and Their Significance in Red Wines. Am. J. Enol. Vitic. 1976, 27, 97–105. [Google Scholar]
- Atanasova, V.; Fulcrand, H.; Cheynier, V.; Moutounet, M. Effect of oxygenation on polyphenol changes occurring in the course of wine-making. Anal. Chim. Acta 2002, 458, 15–27. [Google Scholar] [CrossRef]
- Es-Safi, N.E.; Fulcrand, H.; Cheynier, V.; Moutounet, M. Studies on the acetaldehyde-induced condensation of (-)-epicatechin and malvidin 3-O-glucoside in a model solution system. J. Agric. Food Chem. 1999, 47, 2096–2102. [Google Scholar] [CrossRef]
- Pissarra, J.; Mateus, N.; Rivas-Gonzalo, J.; Buelga, C.S.; de Freitas, V. Reaction between malvidin 3-glucoside and (+)-catechin in model solutions containing different aldehydes. J. Food Sci. 2003, 68, 476–481. [Google Scholar] [CrossRef]
- Salas, E.; Dueñas, M.; Schwarz, M.; Winterhalter, P.; Cheynier, V.; Fulcrand, H. Characterization of pigments from different high speed countercurrent chromatography wine fractions. J. Agric. Food Chem. 2005, 53, 4536–4546. [Google Scholar] [CrossRef]
- Remy, S.; Fulcrand, H.; Labarbe, B.; Cheynier, V.; Moutounet, M. First confirmation in red wine of products resulting from direct anthocyanin-tannin reactions. J. Sci. Food Agric. 2000, 80, 745–751. [Google Scholar] [CrossRef]
- Alcalde-Eon, C.; Escribano-Bailón, M.T.; Santos-Buelga, C.; Rivas-Gonzalo, J.C. Changes in the detailed pigment composition of red wine during maturity and ageing: A comprehensive study. Anal. Chim. Acta 2006, 563, 238–254. [Google Scholar] [CrossRef]
- Boido, E.; Alcalde-Eon, C.; Carrau, F.; Dellacassa, E.; Rivas-Gonzalo, J.C. Aging effect on the pigment composition and color of Vitis vinifera L. Cv. Tannat wines. Contribution of the main pigment families to wine color. J. Agric. Food Chem. 2006, 54, 6692–6704. [Google Scholar] [CrossRef]
- Berrueta, L.A.; Rasines-Perea, Z.; Prieto-Perea, N.; Asensio-Regalado, C.; Alonso-Salces, R.M.; Sánchez-Ilárduya, M.B.; Gallo, B. Formation and evolution profiles of anthocyanin derivatives and tannins during fermentations and aging of red wines. Eur. Food Res. Technol. 2020, 246, 149–165. [Google Scholar] [CrossRef]
- Pérez-Magariño, S.; González-San José, M.L. Evolution of Flavanols, Anthocyanins, and Their Derivatives during the Aging of Red Wines Elaborated from Grapes Harvested at Different Stages of Ripening. J. Agric. Food Chem. 2004, 52, 1181–1189. [Google Scholar] [CrossRef]
- Laitila, J.E.; Suvanto, J.; Salminen, J.P. Liquid chromatography–tandem mass spectrometry reveals detailed chromatographic fingerprints of anthocyanins and anthocyanin adducts in red wine. Food Chem. 2019, 294, 138–151. [Google Scholar] [CrossRef]
- Prat-García, S.; Oliveira, J.; Alamo-sanza, M.; de Freitas, V.; Nevares, I.; Mateus, N. Characterization of Anthocyanins and Anthocyanin-Derivatives in Red Wines during Ageing in Custom Oxygenation Oak Wood Barrels. Molecules 2021, 26, 64. [Google Scholar] [CrossRef]
- Fulcrand, H.; Atanasova, V.; Salas, E.; Cheynier, V. The fate of anthocyanins in wine: Are there determining factors? ACS Symp. Ser. 2004, 886, 68–88. [Google Scholar] [CrossRef]
- Jurd, L. Anthocyanidins and related compounds-XVI-The dimerization of flavylium salts in aqueus solutions. Tetrahedron 1972, 28, 493–504. [Google Scholar] [CrossRef]
- Cemeroglu, B.; Velioglu, S.; Isik, S. Degradation Kinetics of Anthocyanins in Sour Cherry Juice and Concentrate. J. Food Sci. 1994, 59, 1216–1218. [Google Scholar] [CrossRef]
- Patras, A.; Brunton, N.P.; O’Donnell, C.; Tiwari, B.K. Effect of thermal processing on anthocyanin stability in foods mechanisms and kinetics of degradation. Trends Food Sci. Technol. 2010, 21, 3–11. [Google Scholar] [CrossRef]
- Dangles, O.; Brouillard, R. Polyphenol interactions. The copigmentation case: Thermodynamic data from temperature variation and relaxation kinetics. Medium effect. Can. J. Chem. 1992, 70, 2174–2189. [Google Scholar] [CrossRef]
- Dangles, O.; Brouillard, R. A Spectroscopic method based on the anthocyanin copigmentation interaction and applied to the quantitative study of molecular complexes. J. Chem. Soc. Perkin Trans. 1992, 2, 247–257. [Google Scholar] [CrossRef]
- Dangles, O.; Saito, N.; Brouillard, R. Anthocyanin intramolecular copigment effect. Phytochemistry 1993, 34, 119–124. [Google Scholar] [CrossRef]
- Trouillas, P.; Sancho-García, J.C.; de Freitas, V.; Gierschner, J.; Otyepka, M.; Dangles, O. Stabilizing and modulating color by copigmentation: Insights from theory and experiment. Chem. Rev. 2016, 116, 4937–4982. [Google Scholar] [CrossRef] [PubMed] [Green Version]
- Oliveira, J.; Brás, N.F.; da Silva, M.A.; Mateus, N.; Parola, A.J.; de Freitas, V. Grape anthocyanin oligomerization: A putative mechanism for red color stabilization? Phytochemistry 2014, 105, 178–185. [Google Scholar] [CrossRef] [PubMed]
- Týskiewicz, K.; Konkol, M.; Rój, E. The application of supercritical fluid extraction in phenolic compounds isolation from natural plant materials. Molecules 2018, 23, 2625. [Google Scholar] [CrossRef] [PubMed] [Green Version]
- Drevelegka, I.; Goula, A.M. Recovery of grape pomace phenolic compounds through optimized extraction and adsorption processes. Chem. Eng. Process. Process Intensif. 2020, 149, 107845. [Google Scholar] [CrossRef]
- Wang, M.; Wang, J.; Zhang, Y.; Xia, Q.; Bi, W.; Yang, X.; Chen, D.D.Y. Fast environment-friendly ball mill-assisted deep eutectic solvent-based extraction of natural products. J. Chromatogr. A 2016, 1443, 262–266. [Google Scholar] [CrossRef]
- Zainal-Abidin, M.H.; Hayyan, M.; Hayyan, A.; Jayakumar, N.S. New horizons in the extraction of bioactive compounds using deep eutectic solvents: A review. Anal. Chim. Acta 2017, 979, 1–23. [Google Scholar] [CrossRef]
- Bubalo, M.C.; Vidović, S.; Redovniković, I.R.; Jokić, S. New perspective in extraction of plant biologically active compounds by green solvents. Food Bioprod. Process. 2018, 109, 52–73. [Google Scholar] [CrossRef]
- Da Porto, C.; Natolino, A.; Decorti, D. Extraction of proanthocyanidins from grape marc by supercritical fluid extraction using CO2 as solvent and ethanol—Water mixture as co-solvent. J. Supercrit. Fluids 2014, 87, 59–64. [Google Scholar] [CrossRef]
- Barba, F.J.; Zhu, Z.; Koubaa, M.; Sant’Ana, A.S.; Orlien, V. Green alternative methods for the extraction of antioxidant bioactive compounds from winery wastes and by-products: A review. Trends Food Sci. Technol. 2016, 49, 96–109. [Google Scholar] [CrossRef]
- Pinelo, M.; Ruiz-Rodríguez, A.; Sineiro, J.; Señoráns, F.J.; Reglero, G.; Núñez, M.J. Supercritical fluid and solid-liquid extraction of phenolic antioxidants from grape pomace: A comparative study. Eur. Food Res. Technol. 2007, 226, 199–205. [Google Scholar] [CrossRef]
- Spigno, G.; Tramelli, L.; de Faveri, D.M. Effects of extraction time, temperature and solvent on concentration and antioxidant activity of grape marc phenolics. J. Food Eng. 2007, 81, 200–208. [Google Scholar] [CrossRef]
- Casazza, A.A.; Aliakbarian, B.; Mantegna, S.; Cravotto, G.; Perego, P. Extraction of phenolics from Vitis vinifera wastes using non-conventional techniques. J. Food Eng. 2010, 100, 50–55. [Google Scholar] [CrossRef]
- González-Centeno, M.R.; Comas-Serra, F.; Femenia, A.; Rosselló, C.; Simal, S. Effect of power ultrasound application on aqueous extraction of phenolic compounds and antioxidant capacity from grape pomace (Vitis vinifera L.): Experimental kinetics and modeling. Ultrason. Sonochem. 2015, 22, 506–514. [Google Scholar] [CrossRef] [PubMed] [Green Version]
- Jeong, K.M.; Zhao, J.; Jin, Y.; Heo, S.R.; Han, S.Y.; Yoo, D.E.; Lee, J. Highly efficient extraction of anthocyanins from grape skin using deep eutectic solvents as green and tunable media. Arch. Pharm. Res. 2015, 38, 2143–2152. [Google Scholar] [CrossRef]
- Bubalo, M.C.; Ćurko, N.; Tomašević, M.; Ganić, K.K.; Redovnikovic, I.R. Green extraction of grape skin phenolics by using deep eutectic solvents. Food Chem. 2016, 200, 159–166. [Google Scholar] [CrossRef] [PubMed]
- Da Porto, C.; Natolino, A.; Decorti, D. The combined extraction of polyphenols from grape marc: Ultrasound assisted extraction followed by supercritical CO2 extraction of ultrasound-raffinate. LWT 2015, 61, 98–104. [Google Scholar] [CrossRef] [Green Version]
- Drosou, C.; Kyriakopoulou, K.; Bimpilas, A.; Tsimogiannis, D.; Krokida, M. A comparative study on different extraction techniques to recover red grape pomace polyphenols from vinification byproducts. Ind. Crops Prod. 2015, 75, 141–149. [Google Scholar] [CrossRef]
- Fontana, A.; Antoniolli, A. Phenolics profiling of pomace extracts from different grape varieties cultivated in Argentina. RSC Adv. 2017, 7, 29446–29457. [Google Scholar] [CrossRef] [Green Version]
- Bosiljkov, T.; Dujmić, F.; Bubalo, M.C.; Hribar, J.; Vidrih, R.; Brnčić, M.; Zlatic, E.; Redovniković, I.R.; Jokić, S. Natural deep eutectic solvents and ultrasound-assisted extraction: Green approaches for extraction of wine lees anthocyanins. Food Bioprod. Process. 2017, 102, 195–203. [Google Scholar] [CrossRef]
- Pintać, D.; Majkić, T.; Torovic, L.; Orčić, D.; Beara, I.; Simin, N.; Mimica–Dukić, N.; Lesjak, M. Solvent selection for efficient extraction of bioactive compounds from grape pomace. Ind. Crops Prod. 2018, 111, 379–390. [Google Scholar] [CrossRef]
- Panić, M.; Radić, M.; Kraljić, K.; Škevin, D.; Radojčić, I. Ready-to-use green polyphenolic extracts from food by-products. Food Chem. 2019, 283, 628–636. [Google Scholar] [CrossRef] [PubMed]
- Panić, M.; Gunjević, V.; Cravotto, G.; Redovniković, I.R. Enabling technologies for the extraction of grape-pomace anthocyanins using natural deep eutectic solvents in up-to-half-litre batches extraction of grape-pomace anthocyanins using NADES. Food Chem. 2019, 300, 125185. [Google Scholar] [CrossRef] [PubMed]
- Šuković, D.; Knežević, B.; Gašić, U.; Sredojević, M.; Ćirić, I.; Todić, S.; Mutić, J.; Tešić, Ž. Phenolic profiles of leaves, grapes and wine of grapevine variety vranac (Vitis vinifera L.) from Montenegro. Foods 2020, 9, 138. [Google Scholar] [CrossRef] [PubMed] [Green Version]
- Loarce, L.; Oliver-Simancas, R.; Marchante, L.; Díaz-Maroto, M.C.; Alañón, M.E. Modifiers based on natural deep eutectic mixtures to enhance anthocyanins isolation from grape pomace by pressurized hot water extraction. LWT 2021, 149, 111889. [Google Scholar] [CrossRef]
- Monrad, J.K.; Suárez, M.; Motilva, M.J.; King, J.W.; Srinivas, K.; Howard, L.R. Extraction of anthocyanins and flavan-3-ols from red grape pomace continuously by coupling hot water extraction with a modified expeller. Food Res. Int. 2014, 65, 77–87. [Google Scholar] [CrossRef]
- Dzah, C.S.; Duan, Y.; Zhang, H.; Wen, C.; Zhang, J.; Chen, G.; Ma, H. The effects of ultrasound assisted extraction on yield, antioxidant, anticancer and antimicrobial activity of polyphenol extracts: A review. Food Biosci. 2020, 35, 100547. [Google Scholar] [CrossRef]
- Panja, P. Green extraction methods of food polyphenols from vegetable materials. Curr. Opin. Food Sci. 2018, 23, 173–182. [Google Scholar] [CrossRef]
- Kumar, K.; Srivastav, S.; Sharanagat, V.S. Ultrasound assisted extraction (UAE) of bioactive compounds from fruit and vegetable processing by-products: A review. Ultrason. Sonochem. 2021, 70, 105325. [Google Scholar] [CrossRef]
- Eskilsson, C.S.; Bjorklund, E. Analytical-scale microwave-assisted extraction. J. Chromatogr. A 2000, 902, 227–250. [Google Scholar] [CrossRef]
- Alara, O.R.; Abdurahman, N.H.; Ukaegbu, C.I. Extraction of phenolic compounds: A review. Curr. Res. Food Sci. 2021, 4, 200–214. [Google Scholar] [CrossRef]
- Zhang, H.F.; Yang, X.H.; Wang, Y. Microwave assisted extraction of secondary metabolites from plants: Current status and future directions. Trends Food Sci. Technol. 2011, 22, 672–688. [Google Scholar] [CrossRef]
- Kalli, E.; Lappa, I.; Bouchagier, P.; Tarantilis, P.A.; Skotti, E. Novel application and industrial exploitation of winery by-products. Bioresour. Bioprocess. 2018, 5, 46. [Google Scholar] [CrossRef]
- Brunner, G. Supercritical fluids: Technology and application to food processing. Food Eng. 2005, 67, 21–33. [Google Scholar] [CrossRef]
- Farías-Campomanes, A.M.; Rostagno, M.A.; Meireles, A.A. Production of polyphenol extracts from grape bagasse using supercritical fluids: Yield, extract composition and economic evaluation. J. Supercrit. Fluids 2013, 77, 70–78. [Google Scholar] [CrossRef]
- Ignat, I.; Volf, I.; Popa, V.I. A critical review of methods for characterisation of polyphenolic compounds in fruits and vegetables. Food Chem. 2011, 126, 1821–1835. [Google Scholar] [CrossRef] [PubMed]
- Alonso, D.A.; Baeza, A.; Chinchilla, R.; Gómez Lucas, C.; Guillena, G.; Marset, X.; Pastor, I.M.; Ramón, D.J.; Ros Ñíguez, D.; Saavedra, B. Mezclas eutécticas como alternativa sostenible a los disolventes convencionales en Química Orgánica. An. Química 2018, 114, 79–87. [Google Scholar]
- Cunha, S.C.; Fernandes, J.O. Extraction techniques with deep eutectic solvents. Trends Anal. Chem. 2018, 105, 225–239. [Google Scholar] [CrossRef]
- Dai, Y.; van Spronsen, J.; Witkamp, G.-J.; Verpoorte, R.; Choi, Y.H. Natural deep eutectic solvents as new potential media for green technology. Anal. Chim. Acta 2013, 766, 61–68. [Google Scholar] [CrossRef]
- Farajzadeh, M.A.; Mogaddam, M.R.A.; Feriduni, B. Simultaneous synthesis of a deep eutectic solvent and its application in liquid-liquid microextraction of polycyclic aromatic hydrocarbons from aqueous samples. RSC Adv. 2016, 6, 47990–47996. [Google Scholar] [CrossRef]
- Wei, Z.; Qi, X.; Li, T.; Luo, M.; Wang, W.; Zu, Y.; Fu, Y. Application of natural deep eutectic solvents for extraction and determination of phenolics in Cajanus cajan leaves by ultra performance liquid chromatography. Sep. Purif. Technol. 2015, 149, 237–244. [Google Scholar] [CrossRef]
- Zhao, B.Y.; Xu, P.; Yang, F.X.; Wu, H.; Zong, M.H.; Lou, W.Y. Biocompatible Deep Eutectic Solvents Based on Choline Chloride: Characterization and Application to the Extraction of Rutin from Sophora japonica. ACS Sustain. Chem. Eng. 2015, 3, 2746–2755. [Google Scholar] [CrossRef]
- Socas-Rodríguez, B.; Santana-Mayor, Á.; Herrera-Herrera, A.V.; Rodríguez-Delgado, M.Á. Deep eutectic solvents. In Green Sustainable Process for Chemical and Environmental Engineering and Science: Ionic Liquids as Green Solvents; Elsevier Inc.: Amsterdam, The Netherlands, 2019; pp. 123–177. [Google Scholar]
- Alvarez-Rivera, G.; Bueno, M.; Ballesteros-Vivas, D.; Mendiola, J.A.; Ibañez, E. Pressurized liquid extraction. In Liquid-Phase Extraction; Elsevier Inc.: Amsterdam, The Netherlands, 2019; pp. 375–398. [Google Scholar]
- Alañón, E.; Ivanovićd, M.; Pimentel-Morab, S.; Borrás-Linaresc, I.; Arráez-Román, D.; Segura-Carreterob, A. A novel sustainable approach for the extraction of value-added compounds from Hibiscus sabdariffa L. calyces by natural deep eutectic solvents. Food Res. Int. 2020, 137, 109646. [Google Scholar] [CrossRef] [PubMed]
- da Silva, D.T.; Pauletto, R.; Cavalheiro, S.D.S.; Bochi, V.C.; Rodrigues, E.; Weber, J.; Silva, C.D.B.D.; Morisso, F.D.P.; Barcia, M.T.; Emanuelli, T. Natural deep eutectic solvents as a biocompatible tool for the extraction of blueberry anthocyanins. J. Food Compos. Anal. 2020, 89, 103470. [Google Scholar] [CrossRef]
- Radošević, K.; Ćurko, N.; Srček, V.G.; Bubalo, M.C.; Tomašević, M.; Ganić, K.K.; Redovniković, I.R. Natural deep eutectic solvents as beneficial extractants for enhancement of plant extracts bioactivity. LWT-Food Sci. Technol. 2016, 73, 45–51. [Google Scholar] [CrossRef]
- Pereira, D.T.V.; Tarone, A.G.; Cazarin, C.B.B.; Barbero, G.F.; Martínez, J. Pressurized liquid extraction of bioactive compounds from grape marc. J. Food Eng. 2019, 240, 105–113. [Google Scholar] [CrossRef]
- De Oliveira, L.D.L.; de Carvalho, M.V.; Melo, L. Health promoting and sensory properties of phenolic compounds in food. Rev. Ceres 2014, 61, 764–779. [Google Scholar] [CrossRef] [Green Version]
- Yu, J.; Ahmedna, M. Functional components of grape pomace: Their composition, biological properties and potential applications. Int. J. Food Sci. Technol. 2013, 48, 221–237. [Google Scholar] [CrossRef]
Publisher’s Note: MDPI stays neutral with regard to jurisdictional claims in published maps and institutional affiliations. |
© 2022 by the authors. Licensee MDPI, Basel, Switzerland. This article is an open access article distributed under the terms and conditions of the Creative Commons Attribution (CC BY) license (https://creativecommons.org/licenses/by/4.0/).






