Aqueous Two-Phase Extraction, Antioxidant and Renal Protective Effects of Polysaccharides from Spores of Cordyceps cicadae
Abstract
:1. Introduction
2. Materials and Methods
2.1. Materials and Chemicals
2.2. ATPE of Polysaccharides
2.2.1. Phase Diagram of ATPS
2.2.2. ATPE Process
2.2.3. Single-Factor Test
2.2.4. Box–Behnken Design
2.3. Hot Water Extraction
2.4. Purification of Polysaccharides
2.5. In Vitro Antioxidant Activity Assays
2.5.1. DPPH Radical Scavenging Ability
2.5.2. Hydroxyl Radical Scavenging Ability
2.5.3. Reducing Power
2.5.4. Chelating Ability against Ferrous Ions
2.6. Renal Protective Effect of CCSP-2
2.6.1. Animal Treatment
2.6.2. Determination of Wet Weight/Dry Weight Ratio of Kidney Tissue
2.6.3. Determination of Serum Biochemical Indicators and Cytokines
2.6.4. Determination of Antioxidase and Oxidative Damage Product Levels in Kidney Tissue
2.7. Statistical Analysis
3. Results
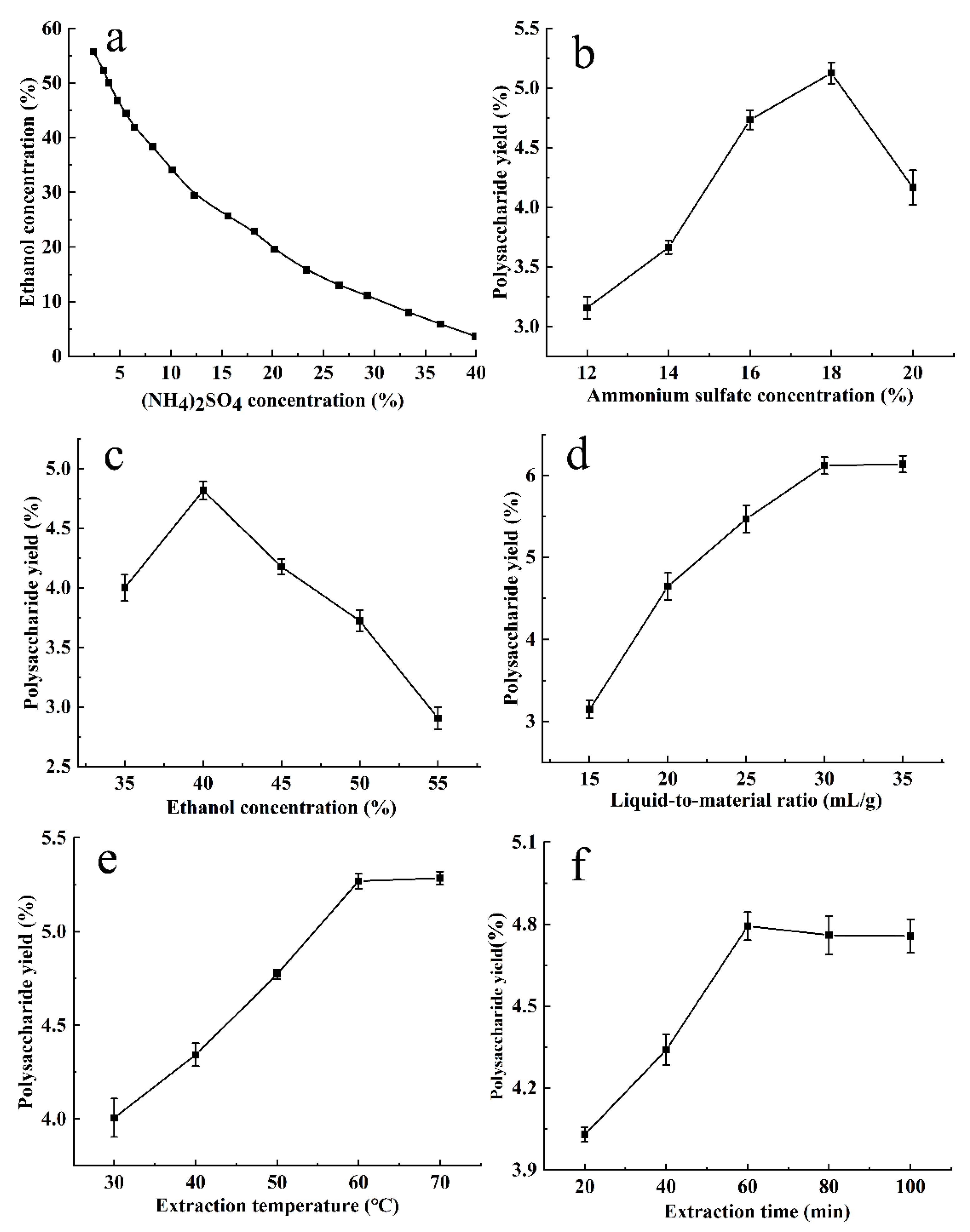
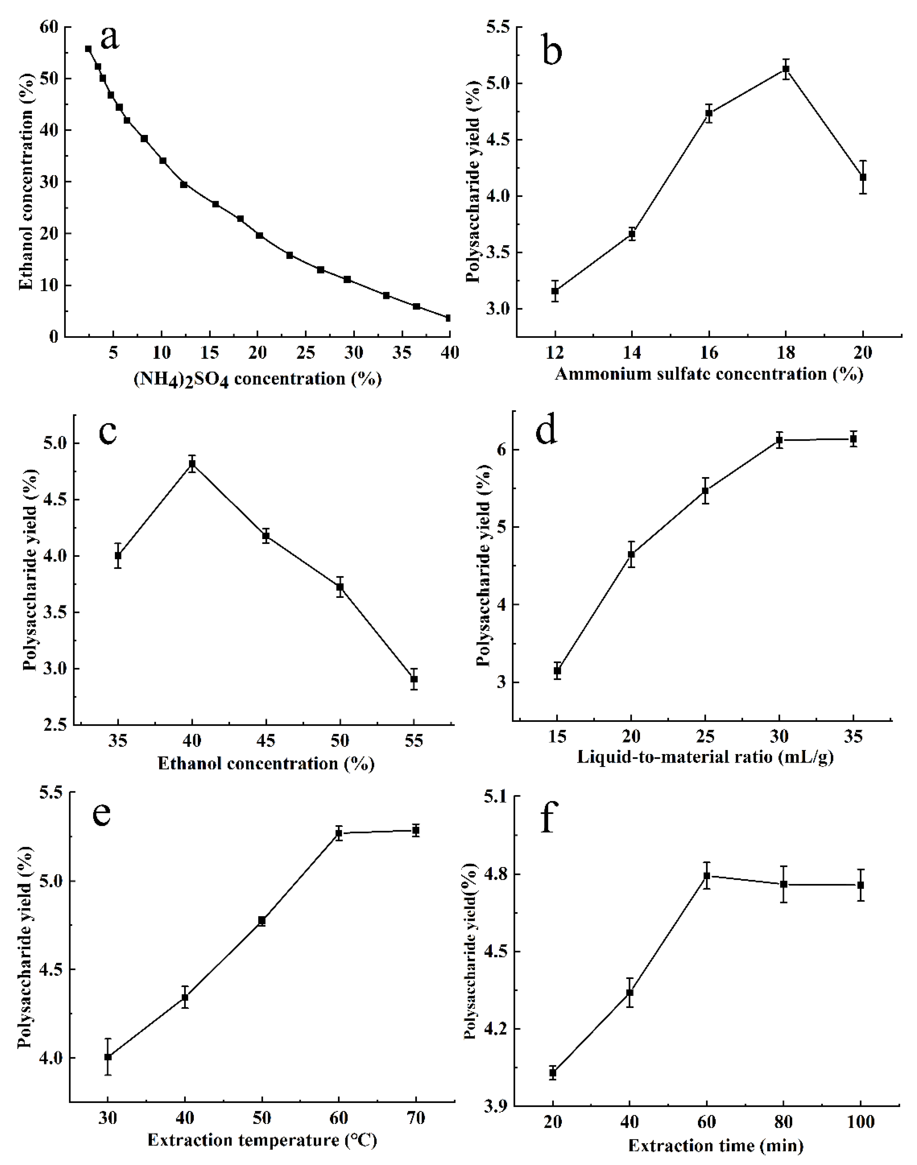
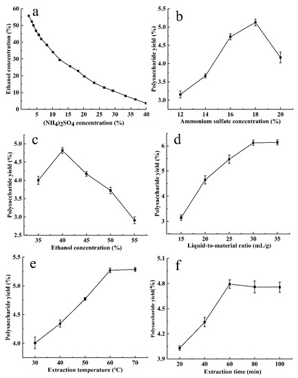
3.1. Phase Diagram of ATPS
3.2. Single-Factor Test
3.2.1. Effect of Ammonium Sulfate Concentration on the Yield of CCSPs
3.2.2. Effect of Ethanol Concentration on the Yield of CCSPs
3.2.3. Effect of Liquid-to-Material Ratio on the Yield of CCSPs
3.2.4. Effect of Extraction Temperature on the Yield of CCSPs
3.2.5. Effect of Extraction Time on the Yield of CCSPs
3.3. Optimization of ATPE Process of CCSPs
3.3.1. Statistical Analysis and Model Fitting
3.3.2. Interactive Effect Analysis
3.3.3. Verification of Predictive Model
3.4. Comparison with HWE
3.5. Antioxidant Activities of Purified Polysaccharide Fractions
3.5.1. DPPH Radical Scavenging Ability
3.5.2. Hydroxyl Radical Scavenging Assay
3.5.3. Reducing Power
3.5.4. Chelating Ability against Ferrous Ions
3.6. Renal Protective Effect of CCSP-2
3.6.1. Effect of CCSP-2 on Kidney Wet Weight/Dry Weight Ratio
3.6.2. Effect of CCSP-2 on 24-h Urine Protein
3.6.3. Effect of CCSP-2 on BUN and SCr Levels
3.6.4. Effect of CCSP-2 on Serum Cytokine Levels
3.6.5. Effect of CCSP-2 on Kidney Antioxidase Activities and Oxidative Damage Product Levels
4. Discussion
5. Conclusions
Author Contributions
Funding
Institutional Review Board Statement
Informed Consent Statement
Data Availability Statement
Conflicts of Interest
References
- Chu, Z.B.; Chang, J.; Zhu, Y.; Sun, X. Chemical constituents of Cordyceps cicadae. Nat. Prod. Commun. 2015, 10, 2145–2146. [Google Scholar] [CrossRef] [PubMed] [Green Version]
- Nxumalo, W.; Elateeq, A.A.; Sun, Y.F. Can Cordyceps cicadae be used as an alternative to Cordyceps militaris and Cordyceps sinensis?—A review. J. Ethnopharmacol. 2020, 257, 112879. [Google Scholar] [CrossRef] [PubMed]
- Yang, N.N.; Jiang, N.; Ma, Q.Y.; Kong, F.D.; Xie, Q.Y.; Zhou, L.M.; Yu, Z.F.; Zhao, Y.X. Chemical study of the strain Cordyceps spp. from cell fusion between Cordyceps militaris and Cordyceps cicadae. J. Asian Nat. Prod. Res. 2019, 21, 449–455. [Google Scholar] [CrossRef] [PubMed]
- Zhu, Y.L.; Yu, X.F.; Ge, Q.; Li, J.; Wang, D.J.; Wei, Y.; Ouyang, Z. Antioxidant and anti-aging activities of polysaccharides from Cordyceps cicadae. Int. J. Biol. Macromol. 2020, 157, 394–400. [Google Scholar] [CrossRef]
- Yang, C.H.; Su, C.H.; Liu, S.C.; Ng, L.T. Isolation, anti-inflammatory activity and physicochemical properties of bioactive polysaccharides from fruiting bodies of cultivated Cordyceps cicadae (Ascomycetes). Int. J. Med. Mushrooms 2019, 21, 995–1006. [Google Scholar] [CrossRef]
- Xu, Z.; Lin, R.; Hou, X.; Wu, J.; Zhao, W.; Ma, H.; Fan, Z.; Li, S.; Zhu, Y.; Zhang, D. Immunomodulatory mechanism of a purified polysaccharide isolated from Isaria cicadae Miquel on RAW264.7 cells via activating TLR4-MAPK-NF-kappaB signaling pathway. Int. J. Biol. Macromol. 2020, 164, 4329–4338. [Google Scholar] [CrossRef]
- Xu, Z.; Yan, X.; Song, Z.; Li, W.; Zhao, W.; Ma, H.; Du, J.; Li, S.; Zhang, D. Two heteropolysaccharides from Isaria cicadae Miquel differ in composition and potentially immunomodulatory activity. Int. J. Biol. Macromol. 2018, 117, 610–616. [Google Scholar] [CrossRef]
- Zhang, Q.; Olatunji, O.J.; Chen, H.; Tola, A.J.; Oluwaniyi, O.O. Evaluation of the Anti-Diabetic Activity of Polysaccharide from Cordyceps cicadae in Experimental Diabetic Rats. Chem. Amp. Biodivers. 2018, 15, e1800219. [Google Scholar] [CrossRef]
- Zhang, Y.; Wu, Y.T.; Zheng, W.; Han, X.X.; Jiang, Y.H.; Hu, P.L.; Tang, Z.X.; Shi, L.E. The antibacterial activity and antibacterial mechanism of a polysaccharide from Cordyceps cicadae. J. Funct. Foods 2017, 38, 273–279. [Google Scholar] [CrossRef]
- Olatunji, O.J.; Feng, Y.; Olatunji, O.O.; Tang, J.; Wei, Y.; Ouyang, Z.; Su, Z.L. Polysaccharides purified from Cordyceps cicadae protects PC12 cells against glutamate-induced oxidative damage. Carbohydr. Polym. 2016, 153, 187–195. [Google Scholar] [CrossRef]
- Yang, J.; Dong, H.; Wang, Y.; Jiang, Y.; Zhang, W.; Lu, Y.; Chen, Y.; Chen, L. Cordyceps cicadae polysaccharides ameliorated renal interstitial fibrosis in diabetic nephropathy rats by repressing inflammation and modulating gut microbiota dysbiosis. Int. J. Biol. Macromol. 2020, 163, 442–456. [Google Scholar] [CrossRef] [PubMed]
- Sun, Y.F.; Wink, M.; Wang, P.; Lu, H.F.; Zhao, H.X.; Liu, H.T.; Wang, S.X.; Sun, Y.; Liang, Z.S. Biological characteristics, bioactive components and antineoplastic properties of sporoderm-broken spores from wild Cordyceps cicadae. Phytomedicine 2017, 36, 217–228. [Google Scholar] [CrossRef] [PubMed]
- Chong, K.Y.; Brooks, M.S.-L. Effects of recycling on the aqueous two-phase extraction of bioactives from haskap leaves. Sep. Purif. Technol. 2021, 255, 117755. [Google Scholar] [CrossRef]
- Yau, Y.K.; Ooi, C.W.; Ng, E.-P.; Lan, J.C.-W.; Ling, T.C.; Show, P.L. Current applications of different type of aqueous two-phase systems. Bioresour. Bioprocess. 2015, 2, 49. [Google Scholar] [CrossRef] [Green Version]
- Huang, Y.X.; Wu, X.H.; Zhou, S.Y.; Lin, Y.Y.; Zhang, W.; Fu, C.J.; Luo, L.C.; Wang, K.; Xie, X.J.; Fan, H.J. Biphasic extraction of different polysaccharides from Radix Sophorae Tonkinensis by microwave-assisted aqueous two-phase extraction: Process optimization, structural characterization and mechanism exploration. Sep. Purif. Technol. 2018, 207, 187–198. [Google Scholar] [CrossRef]
- Lin, Y.Y.; Zeng, H.Y.; Wang, K.; Lin, H.; Li, P.F.; Huang, Y.X.; Zhou, S.Y.; Zhang, W.; Chen, C.; Fan, H.J. Microwave-assisted aqueous two-phase extraction of diverse polysaccharides from Lentinus edodes: Process optimization, structure characterization and antioxidant activity. Int. J. Biol. Macromol. 2019, 136, 305–315. [Google Scholar] [CrossRef]
- Zhu, L.N.; Lu, Y.; Sun, Z.; Han, J.; Tan, Z.J. The application of an aqueous two-phase system combined with ultrasonic cell disruption extraction and HPLC in the simultaneous separation and analysis of solanine and Solanum nigrum polysaccharide from Solanum nigrum unripe fruit. Food Chem. 2020, 304, 125383. [Google Scholar] [CrossRef]
- Wang, W.; Liu, J. Efficient extraction, antioxidant activities and anti-inflammation of polysaccharides from Notopterygium franchetii Boiss. Carbohydr. Polym. 2020, 248, 116783. [Google Scholar] [CrossRef]
- Zhao, M.M.; Bai, J.W.; Bu, X.Y.; Tang, Y.; Han, W.Q.; Li, D.L.; Wang, L.B.; Yang, Y.; Xu, Y.Q. Microwave-assisted aqueous two-phase extraction of phenolic compounds from Ribes nigrum L. and its antibacterial effect on foodborne pathogens. Food Control 2021, 119, 107449. [Google Scholar] [CrossRef]
- Enriquez-Ochoa, D.; Sánchez-Trasviña, C.; Hernández-Sedas, B.; Mayolo-Deloisa, K.; Zavala, J.; Rito-Palomares, M.; Valdez-García, J.E. Aqueous two-phase extraction of phenolic compounds from Sedum dendroideum with antioxidant activity and anti-proliferative properties against breast cancer cells. Sep. Purif. Technol. 2020, 251, 117341. [Google Scholar] [CrossRef]
- Odabaş, H.İ.; Koca, I. Simultaneous separation and preliminary purification of anthocyanins from Rosa pimpinellifolia L. fruits by microwave assisted aqueous two-phase extraction. Food Bioprod. Processing 2021, 125, 170–180. [Google Scholar] [CrossRef]
- Prowle, J.R.; Bellomo, R. Sepsis-associated acute kidney injury: Macrohemodynamic and microhemodynamic alterations in the renal circulation. Semin. Nephrol. 2015, 35, 64–74. [Google Scholar] [CrossRef] [PubMed]
- Wu, Q.; Liu, L.T.; Wang, X.Y.; Lang, Z.F.; Meng, X.H.; Guo, S.F.; Yan, B.; Zhan, T.; Zheng, H.Z.; Wang, H.W. Lycium barbarum polysaccharides attenuate kidney injury in septic rats by regulating Keap1-Nrf2/ARE pathway. Life Sci. 2020, 242, 117240. [Google Scholar] [CrossRef] [PubMed]
- Liu, M.; Li, S.S.; Wang, X.X.; Zhu, Y.F.; Zhang, J.J.; Liu, H.; Jia, L. Characterization, anti-oxidation and anti-inflammation of polysaccharides by Hypsizygus marmoreus against LPS-induced toxicity on lung. Int. J. Biol. Macromol. 2018, 111, 121–128. [Google Scholar] [CrossRef]
- Xu, X.Y.; Rui, S.Z.; Chen, C.; Zhang, G.C.; Li, Z.; Wang, J.H.; Luo, Y.P.; Zhu, H.P.; Ma, X.M. Protective effects of astragalus polysaccharide nanoparticles on septic cardiac dysfunction through inhibition of TLR4/NF-kappa B signaling pathway. Int. J. Biol. Macromol. 2020, 153, 977–985. [Google Scholar] [CrossRef]
- Feng, Y.C.; Weng, H.B.; Ling, L.J.; Zeng, T.; Zhang, Y.Y.; Chen, D.F.; Li, H. Modulating the gut microbiota and inflammation is involved in the effect of Bupleurum polysaccharides against diabetic nephropathy in mice. Int. J. Biol. Macromol. 2019, 132, 1001–1011. [Google Scholar] [CrossRef]
- Chen, D.D.; Xu, R.; Zhou, J.Y.; Chen, J.Q.; Wang, L.; Liu, X.S.; Liang, C.L.; Liu, B.H.; Lu, R.R.; Wu, J.B.; et al. Cordyceps militaris polysaccharides exerted protective effects on diabetic nephropathy in mice via regulation of autophagy. Food Funct. 2019, 10, 5102–5114. [Google Scholar] [CrossRef]
- Han, C.Y.; Sun, T.T.; Liu, Y.W.; Fan, G.T.; Zhang, W.J.; Liu, C.Y. Protective effect of Polygonatum sibiricum polysaccharides on gentamicin-induced acute kidney injury in rats via inhibiting p38 MAPK/ATF2 pathway. Int. J. Biol. Macromol. 2020, 151, 595–601. [Google Scholar] [CrossRef]
- Ma, Q.; Xu, Y.; Tang, L.M.; Yang, X.Q.; Chen, Z.J.; Wei, Y.H.; Shao, X.H.; Shao, X.G.; Xin, Z.X.; Cai, B.; et al. Astragalus polysaccharide attenuates cisplatin-induced acute kidney injury by suppressing oxidative damage and mitochondrial dysfunction. Biomed Res. Int. 2020, 2020, 2851349. [Google Scholar] [CrossRef]
- Su, D.Y.; Li, S.; Zhang, W.; Wang, J.; Wang, J.J.; Lv, M.H. Structural elucidation of a polysaccharide from Lonicera japonica flowers, and its neuroprotective effect on cerebral ischemia-reperfusion injury in rat. Int. J. Biol. Macromol. 2017, 99, 350–357. [Google Scholar] [CrossRef]
- Zhao, W.; Zeng, X.; Meng, F.; Bi, X.; Xu, D.; Chen, X.; Li, Q.; Han, Y. Structural characterization and in vitro–in vivo evaluation of effect of a polysaccharide from Sanguisorba officinalis on acute kidney injury. Food Funct. 2019, 10, 7142–7151. [Google Scholar] [CrossRef] [PubMed]
- Shi, Q.; Lang, W.; Wang, S.; Li, G.; Bai, X.; Yan, X.; Zhang, H. Echinacea polysaccharide attenuates lipopolysaccharide-induced acute kidney injury via inhibiting inflammation, oxidative stress and the MAPK signaling pathway. Int. J. Mol. Med. 2021, 47, 243–255. [Google Scholar] [CrossRef] [PubMed]
- Sun, J.; Wei, S.; Zhang, Y.; Li, J. Protective Effects of Astragalus Polysaccharide on Sepsis-Induced Acute Kidney Injury. Anal. Cell. Pathol. 2021, 2021, 7178253. [Google Scholar] [CrossRef] [PubMed]
- Huang, Y.S.; Wang, X.; Feng, Z.; Cui, H.; Zhu, Z.; Xia, C.; Han, X.; Liu, W.J.; Liu, Y.N. Cordyceps cicadae Prevents Renal Tubular Epithelial Cell Apoptosis by Regulating the SIRT1/p53 Pathway in Hypertensive Renal Injury. Evid.-Based Complement. Altern. Med. 2020, 2020, 7202519. [Google Scholar] [CrossRef] [PubMed]
- Deng, J.; Jiang, W.; Chen, C.; Lee, L.; Li, P.; Huang, W.; Liao, J.; Chen, H.; Huang, S.; Huang, G. Cordyceps cicadae mycelia ameliorate cisplatin-induced acute kidney injury by suppressing the TLR4/NF-κB/MAPK and activating the HO-1/Nrf2 and Sirt-1/AMPK pathways in mice. Oxid. Med. Cell. Longev. 2020, 2020, 7912763. [Google Scholar] [CrossRef] [Green Version]
- Dubois, M.; Gilles, K.A.; Hamilton, J.K.; Rebers, P.A.; Smith, F.J.A.C. Colorimetric method for determination of sugars and related substances. Anal. Chem. 1956, 28, 350–356. [Google Scholar] [CrossRef]
- Zheng, Y.; Wang, W.D.; Li, Y. Antitumor and immunomodulatory activity of polysaccharide isolated from Trametes orientalis. Carbohydr. Polym. 2015, 131, 248–254. [Google Scholar] [CrossRef]
- Wu, H.; Chen, H.; Shiau, C. Free amino acids and peptides as related to antioxidant properties in protein hydrolysates of mackerel (Scomber austriasicus). Food Res. Int. 2003, 36, 949–957. [Google Scholar] [CrossRef]
- Yen, G.C.; Hsieh, P.P. Antioxidative activity and scavenging effects on active oxygen of xylose-lysine maillard reaction products. J. Sci. Food Agric. 1995, 67, 415–420. [Google Scholar] [CrossRef]
- Oraiza, M. Studies on product of browning reaction prepared from glucosamine. Jpn. J. Nutr. 1986, 44, 307–315. [Google Scholar]
- Decker, E.A.; Welch, B. Role of ferritin as a lipid oxidation catalyst in muscle food. J. Agric. Food Chem. 1990, 38, 674–677. [Google Scholar] [CrossRef]
- Li, X.; Chen, H.; Zha, X.; Chen, S.; Pan, L.; Li, Q.; Luo, J. Prevention and possible mechanism of a purified Laminaria japonica polysaccharide on adriamycin-induced acute kidney injury in mice. Int. J. Biol. Macromol. 2020, 148, 591–600. [Google Scholar] [CrossRef] [PubMed]
- Rübig, E.; Stypmann, J.; Van Slyke, P.; Dumont, D.J.; Spieker, T.; Buscher, K.; Reuter, S.; Goerge, T.; Pavenstädt, H.; Kümpers, P. The synthetic Tie2 agonist peptide vasculotide protects renal vascular barrier function in experimental acute kidney injury. Sci. Rep. 2016, 6, 22111. [Google Scholar] [CrossRef] [PubMed] [Green Version]
- Cao, C.; Huang, Q.; Zhang, B.; Li, C.; Fu, X. Physicochemical characterization and in vitro hypoglycemic activities of polysaccharides from Sargassum pallidum by microwave-assisted aqueous two-phase extraction. Int. J. Biol. Macromol. 2018, 109, 357–368. [Google Scholar] [CrossRef]
- Chen, G.; Fang, C.; Ran, C.; Tan, Y.; Yu, Q.; Kan, J. Comparison of different extraction methods for polysaccharides from bamboo shoots (Chimonobambusa quadrangularis) processing by-products. Int. J. Biol. Macromol. 2019, 130, 903–914. [Google Scholar] [CrossRef]
- He, L.; Yan, X.; Liang, J.; Li, S.; He, H.; Xiong, Q.; Lai, X.; Hou, S.; Huang, S. Comparison of different extraction methods for polysaccharides from Dendrobium officinale stem. Carbohydr. Polym. 2018, 198, 101–108. [Google Scholar] [CrossRef]
- Chen, S.; Shang, H.; Yang, J.; Li, R.; Wu, H. Effects of different extraction techniques on physicochemical properties and activities of polysaccharides from comfrey (Symphytum officinale L.) root. Ind. Crops Prod. 2018, 121, 18–25. [Google Scholar] [CrossRef]
- Chen, G.; Chen, X.; Yang, B.; Yu, Q.; Wei, X.; Ding, Y.; Kan, J. New insight into bamboo shoot (Chimonobambusa quadrangularis) polysaccharides: Impact of extraction processes on its prebiotic activity. Food Hydrocoll. 2019, 95, 367–377. [Google Scholar] [CrossRef]
- Chen, G.T.; Ma, X.M.; Liu, S.T.; Liao, Y.L.; Zhao, G.Q. Isolation, purification and antioxidant activities of polysaccharides from Grifola frondosa. Carbohydr. Polym. 2012, 89, 61–66. [Google Scholar] [CrossRef]
- Fan, L.; Li, J.; Deng, K.; Ai, L. Effects of drying methods on the antioxidant activities of polysaccharides extracted from Ganoderma lucidum. Carbohydr. Polym. 2012, 87, 1849–1854. [Google Scholar] [CrossRef]
- Wu, G.H.; Hu, T.; Li, Z.Y.; Huang, Z.L.; Jiang, J.G. In vitro antioxidant activities of the polysaccharides from Pleurotus tuber-regium (Fr.) Sing. Food Chem. 2014, 148, 351–356. [Google Scholar] [CrossRef] [PubMed]
- Chen, H.; Ju, Y.; Li, J.; Yu, M. Antioxidant activities of polysaccharides from Lentinus edodes and their significance for disease prevention. Int. J. Biol. Macromol. 2012, 50, 214–218. [Google Scholar] [CrossRef] [PubMed]
- Mzoughi, Z.; Abdelhamid, A.; Rihouey, C.; Le Cerf, D.; Bouraoui, A.; Majdoub, H. Optimized extraction of pectin-like polysaccharide from Suaeda fruticosa leaves: Characterization, antioxidant, anti-inflammatory and analgesic activities. Carbohydr. Polym. 2018, 185, 127–137. [Google Scholar] [CrossRef] [PubMed]
- Wang, Z.; Jia, S.; Cui, J.; Qu, J.; Yue, Y.; Sun, Q.; Zhang, H. Antioxidant activity of a polysaccharide produced by Chaetomium globosum CGMCC 6882. Int. J. Biol. Macromol. 2019, 141, 955–960. [Google Scholar] [CrossRef] [PubMed]
- Rozi, P.; Abuduwaili, A.; Mutailifu, P.; Gao, Y.H.; Rakhmanberdieva, R.; Aisa, H.A.; Yili, A. Sequential extraction, characterization and antioxidant activity of polysaccharides from Fritillaria pallidiflora Schrenk. Int. J. Biol. Macromol. 2019, 131, 97–106. [Google Scholar] [CrossRef]
- Su, Y.; Li, L. Structural characterization and antioxidant activity of polysaccharide from four auriculariales. Carbohydr. Polym. 2020, 229, 115407. [Google Scholar] [CrossRef]
- Dejager, L.; Pinheiro, I.; Dejonckheere, E.; Libert, C. Cecal ligation and puncture: The gold standard model for polymicrobial sepsis? Trends Microbiol. 2011, 19, 198–208. [Google Scholar] [CrossRef]
- Ramesh, G.; Reeves, W.B. TNF-α mediates chemokine and cytokine expression and renal injury in cisplatin nephrotoxicity. J. Clin. Investig. 2002, 110, 835–842. [Google Scholar] [CrossRef]
- Akcay, A.; Nguyen, Q.; Edelstein, C.L. Mediators of Inflammation in Acute Kidney Injury. Mediat. Inflamm. 2009, 2009, 137072. [Google Scholar] [CrossRef]
- Al-Harbi, N.O.; Nadeem, A.; Ahmad, S.F.; Alanazi, M.M.; Aldossari, A.A.; Alasmari, F. Amelioration of sepsis-induced acute kidney injury through inhibition of inflammatory cytokines and oxidative stress in dendritic cells and neutrophils respectively in mice: Role of spleen tyrosine kinase signaling. Biochimie 2019, 158, 102–110. [Google Scholar] [CrossRef]
- Mir, S.M.; Ravuri, H.G.; Pradhan, R.K.; Narra, S.; Kumar, J.M.; Kuncha, M.; Kanjilal, S.; Sistla, R. Ferulic acid protects lipopolysaccharide-induced acute kidney injury by suppressing inflammatory events and upregulating antioxidant defenses in Balb/c mice. Biomed. Pharmacother. 2018, 100, 304–315. [Google Scholar] [CrossRef] [PubMed]
- Barichello, T.; Fortunato, J.J.; Vitali, Â.M.; Feier, G.; Reinke, A.; Moreira, J.C.F.; Quevedo, J.; Dal-Pizzol, F. Oxidative variables in the rat brain after sepsis induced by cecal ligation and perforation. Crit. Care Med. 2006, 34, 886–889. [Google Scholar] [CrossRef] [PubMed]






| Independent Variables | Symbol | Levels | ||
|---|---|---|---|---|
| −1 | 0 | 1 | ||
| Extraction temperature (°C) | A | 50 | 60 | 70 |
| Ammonium sulfate concentration (%) | B | 16 | 18 | 20 |
| Ethanol concentration (%) | C | 35 | 40 | 45 |
| Liquid-to-material ratio (mL/g) | D | 25 | 30 | 35 |
| Run | Extraction Temperature (A, °C) | Ammonium Sulfate Concentration (B, %) | Ethanol Concentration (C, %) | Liquid-to- Material Ratio (D, mL/g) | CCSPs Yield (Y, %) |
|---|---|---|---|---|---|
| 1 | 60 | 20 | 35 | 30 | 4.98 |
| 2 | 60 | 18 | 40 | 30 | 6.85 |
| 3 | 70 | 18 | 40 | 25 | 5.92 |
| 4 | 60 | 20 | 40 | 25 | 5.19 |
| 5 | 60 | 16 | 40 | 25 | 5.94 |
| 6 | 60 | 18 | 40 | 30 | 6.75 |
| 7 | 60 | 20 | 45 | 30 | 5.83 |
| 8 | 60 | 18 | 35 | 35 | 6.31 |
| 9 | 50 | 18 | 35 | 30 | 5.58 |
| 10 | 50 | 16 | 40 | 30 | 5.97 |
| 11 | 70 | 18 | 45 | 30 | 5.45 |
| 12 | 70 | 20 | 40 | 30 | 5.63 |
| 13 | 60 | 18 | 45 | 35 | 6.01 |
| 14 | 60 | 18 | 40 | 30 | 6.72 |
| 15 | 50 | 18 | 40 | 35 | 6.21 |
| 16 | 70 | 16 | 40 | 30 | 6.18 |
| 17 | 60 | 18 | 35 | 25 | 5.62 |
| 18 | 60 | 20 | 40 | 35 | 5.69 |
| 19 | 60 | 16 | 45 | 30 | 5.36 |
| 20 | 60 | 18 | 45 | 25 | 5.19 |
| 21 | 60 | 16 | 40 | 35 | 6.46 |
| 22 | 50 | 20 | 40 | 30 | 5.13 |
| 23 | 60 | 18 | 40 | 30 | 6.61 |
| 24 | 70 | 18 | 40 | 35 | 6.47 |
| 25 | 60 | 18 | 40 | 30 | 6.93 |
| 26 | 50 | 18 | 40 | 25 | 5.65 |
| 27 | 70 | 18 | 35 | 30 | 5.72 |
| 28 | 50 | 18 | 45 | 30 | 5.23 |
| 29 | 60 | 16 | 35 | 30 | 5.71 |
| Source | Sum of Squares | df | Mean Square | F-Value | Prob > F | Significance |
|---|---|---|---|---|---|---|
| Model | 8.0467 | 14 | 0.5748 | 12.5971 | <0.0001 | ** |
| A | 0.2133 | 1 | 0.2133 | 4.6756 | 0.0484 | * |
| B | 0.8374 | 1 | 0.8374 | 18.3535 | 0.0008 | ** |
| C | 0.0602 | 1 | 0.0602 | 1.3196 | 0.2699 | |
| D | 1.1041 | 1 | 1.1041 | 24.1994 | 0.0002 | ** |
| AB | 0.0210 | 1 | 0.0210 | 0.4608 | 0.5083 | |
| AC | 0.0016 | 1 | 0.0016 | 0.0351 | 0.8541 | |
| AD | 2.5 × 10−5 | 1 | 2.5 × 10−5 | 0.0005 | 0.9817 | |
| BC | 0.3600 | 1 | 0.3600 | 7.8901 | 0.0139 | * |
| BD | 0.0001 | 1 | 0.0001 | 0.0022 | 0.9633 | |
| CD | 0.0042 | 1 | 0.0042 | 0.0926 | 0.7654 | |
| A2 | 1.4313 | 1 | 1.4313 | 31.3708 | <0.0001 | ** |
| B2 | 2.3625 | 1 | 2.3625 | 51.7781 | <0.0001 | ** |
| C2 | 3.5376 | 1 | 3.5376 | 77.5341 | <0.0001 | ** |
| D2 | 0.5076 | 1 | 0.5076 | 11.1258 | 0.0049 | ** |
| Residual | 0.6388 | 14 | 0.0456 | |||
| Lack-of-fit | 0.5783 | 10 | 0.0578 | 3.8247 | 0.1040 | NS |
| Pure error | 0.0605 | 4 | 0.0151 | |||
| Cor total | 8.6855 | 28 |
| Extraction Method | Polysaccharide Yield (%) | Extraction Time (min) | Carbohydrate (%) | Protein (%) | Total Phenols (%) |
|---|---|---|---|---|---|
| ATPE | 6.96 ± 0.11 | 60 | 86.15 ± 4.34 | 3.46 ± 0.07 | 1.05 ± 0.04 |
| HWE | 6.56 ± 0.12 | 180 | 61.27 ± 3.72 | 17.27 ± 0.14 | 4.62 ± 0.08 |
Publisher’s Note: MDPI stays neutral with regard to jurisdictional claims in published maps and institutional affiliations. |
© 2022 by the authors. Licensee MDPI, Basel, Switzerland. This article is an open access article distributed under the terms and conditions of the Creative Commons Attribution (CC BY) license (https://creativecommons.org/licenses/by/4.0/).
Share and Cite
Zheng, Y.; Li, S.; Li, C.; Shao, Y.; Chen, A. Aqueous Two-Phase Extraction, Antioxidant and Renal Protective Effects of Polysaccharides from Spores of Cordyceps cicadae. Processes 2022, 10, 348. https://doi.org/10.3390/pr10020348
Zheng Y, Li S, Li C, Shao Y, Chen A. Aqueous Two-Phase Extraction, Antioxidant and Renal Protective Effects of Polysaccharides from Spores of Cordyceps cicadae. Processes. 2022; 10(2):348. https://doi.org/10.3390/pr10020348
Chicago/Turabian StyleZheng, Yi, Shiying Li, Chuang Li, Ying Shao, and Anhui Chen. 2022. "Aqueous Two-Phase Extraction, Antioxidant and Renal Protective Effects of Polysaccharides from Spores of Cordyceps cicadae" Processes 10, no. 2: 348. https://doi.org/10.3390/pr10020348
APA StyleZheng, Y., Li, S., Li, C., Shao, Y., & Chen, A. (2022). Aqueous Two-Phase Extraction, Antioxidant and Renal Protective Effects of Polysaccharides from Spores of Cordyceps cicadae. Processes, 10(2), 348. https://doi.org/10.3390/pr10020348
