Abstract
To study the distribution characteristics of typical pollutants in soil aggregates using different sieving methods, urban and arable soils were collected from Beijing and separated to different sizes by dry and wet sieving methods, to analyze present concentrations of inorganic chlorine and nine typical heavy metals (Cr, Mn, Co, Ni, Cu, Zn, Cd, As, and Pb). Results revealed that the distribution of wet-sieved aggregates was biased towards microaggregates (<250 μm), while the contrary result was found for the dry sieving method. Inorganic chlorine was more likely to be enriched in <53 μm fractions attained by both sieving methods. However, the content of inorganic chlorine in wet-sieved aggregates was significantly lower than in those that were dry sieved, which means the water’s effect on soluble ions was more pronounced. Heavy metals in urban soils were preferentially enriched in microaggregates no matter what kind of sieving method was applied. As for Mn and As found in agricultural soils using the dry sieving method, they were preferentially enriched in the fractions of 1000–2000 μm and 250–1000 μm, while the other seven heavy metals were preferentially enriched in <53 μm fractions, indicating that Mn and As in agricultural soils were easily transferred in aggregates with different particle sizes. Samples with particle sizes <53 μm showed the highest distribution factors for all heavy metals when the wet sieving method was applied. The dry sieving method resulted in a higher mass loading of heavy metals in coarser fractions and lower proportions in finer fractions. Results of a potential ecological risk analysis showed that the ecological risk () value of Cd found in aggregates by the different sieving methods was significantly different (p < 0.05). The findings suggest that different sieving methods could result in different occurrence patterns of pollutants in the soil aggregates of different land use types.
1. Introduction
Aggregate is the basic structure of soil and affects many of its physicochemical properties []. The spatial heterogeneity of pollutants in soil microenvironments is controlled by the distribution and transformation of soil aggregates. The composition and specific surface area of soil aggregates at various particle sizes are different, and their binding modes and amounts with heavy metals and water-soluble ions are also different. Moreover, previous studies have shown that the adsorption characteristics of environmental pollutants in various particle sizes of soil aggregates are also significantly different [,]. Therefore, it is important to assess the distribution of contaminants in the soil environment at the aggregate level.
Dry and wet sieving methods are two widely used methods to separate soil particles into different aggregates [,,]. Water-stable aggregates in soil reflect the soil’s potential water erosion resistance. However, the wet sieving process could lead to the exclusion of water-soluble compounds from aggregates, the potential destruction of microbial habitat during wet sieving, and potential changes in microbial community composition, activity, and abundance [,]. Since there is less damage to the transient and temporary organic cementing materials in soils by dry sieving, the method was used to determine the contents of mechanically stable aggregates in undisturbed soil, which may more accurately reflect the distribution characteristics of soil aggregates in a natural state. The dry sieving method was mainly used to obtain force-stable soil aggregates that were resistant to mechanical dispersion and represented the state of soil aggregates disturbed by field tillage or other mechanical forces. The water-stable aggregates with resistance to hydraulic dispersion were obtained by a wet sieving method, which could represent the stable state of soil aggregates under the action of precipitation, surface runoff and other water movement and migration.
Previous studies have found that the adsorption and distribution of heavy metals in soil particles with different particle sizes were significantly different, and heavy metals tended to accumulate in fine soil particles [,]. However, some researchers have also found that heavy metals were more enriched in soil aggregates with larger particle sizes [,]. This was caused by the different properties of the soils studied and the different fractionation and separation methods used. Open questions remain about whether these fine, highly contaminated fractions were successfully separated by the dry sieving methods used in those studies. The effects of aggregate separation methods on aggregate composition and occurrence characteristics of pollutants in soils of different land use types are also not well defined.
The environmental behavior of stable nuclide chlorine in soil has become a hot topic of research in recent years with increasing interest in hazard assessment of the radionuclide 36Cl [,]. Chloride ion in soil coexists in soil solutions and is transported by water flux due to its high solubility [,]. At a certain temperature, the diffusion coefficient of chlorine increases with the incensement of soil moisture []. In fact, heavy metals in general are converted into active and bioavailable ionic forms when environmental conditions change, and heavy metal pollution is insidious, persistent and irreversible []. Furthermore, soil is the source and sink of metal pollutants in terrestrial environments, even though anthropogenic heavy metals could be stabilized by soil through adsorption, precipitation and complexation []. Microaggregates are easily transferred to the atmosphere by cultivation and other factors. Additionally, they can migrate to deep soil and groundwater with heavy metals. Therefore, this poses a strong environmental hazard and must be given sufficient attention.
As an important part of the urban ecosystem, urban soil suffers the continuous accumulation of pollutants [], especially toxic heavy metals. Urban and agricultural soils have different land use patterns, and the structure and microbial carbon content of the soils are significantly different. The heavy metal fugacity characteristics and turnover patterns are affected by the main physicochemical properties of the two soil environments. As a result, the distribution of trace metals in soils of different land use types is of great significance to the risk assessment of soil pollution in those areas. It is assumed that the soil sieving method may change the structure of soil aggregates and further affect the occurrence characteristics of pollutants in the aggregates.
Urban road soils and agriculture arable soils in Beijing were collected and different particle sizes of soil aggregates were separated by dry and wet sieving methods, respectively. The influence of two different separation methods on the occurrence characteristics of two kinds of typical pollutants, inorganic chlorine and heavy metals, were studied through the distribution factors (DF), mass loading (GSF) and potential ecological risk index (RI). This study provides a scientific basis for evaluating the effects of aggregate separation methods on the occurrence characteristics of soil pollutants in different land use types and provides a theoretical basis for the further use of appropriate environmental control measures to manage soil pollutants.
2. Materials and Methods
2.1. Study Area and Sampling
During a field investigation, surface soils were collected from urban road areas (39°54.4931′ N, 116°14.8082′ E) as well as suburban farmlands (40°05.5634′ N, 116°11.5498′ E) in Beijing. About 1 kg of surface soil samples (0–20 cm) were collected from each sampling site. Soil samples were air-dried, and coarse roots and small stones were removed before further treatment and analysis. The physicochemical properties of bulk soil samples from the two sites were analyzed and the results are shown in Table 1.

Table 1.
Physicochemical parameters of two bulk soil samples from two sites.
2.2. Soil Particle Size Fractionation
Soil samples were fractionated into six aggregates (>2000 μm, 1000–2000 μm, 250–1000 μm, 53–250 μm, and <53 μm) by dry and wet sieving methods, respectively. Each aggregate fraction was calculated as a percentage of the total soils used. For the dry sieving method, about 100 g of soil sample was placed on a set of sieves with diameters of 2000, 1000, 250, and 53 μm. After this, aggregate fractions retained on each sieve were collected. Soil samples were separated by wet sieving according to the proportion of aggregates in the dry sieving method, through a series of five sieves in succession. The retained fractions were rinsed with water until the percolating water was clear, and then soil aggregates retained on the sieves were recovered by rinsing them into beakers. All soil aggregates of the five size fractions were freeze-dried for further experimentation.
2.3. Inorganic Chloride Analysis
Soil samples of each particle size (accurate to 0.01 g) were accurately weighed into a 100 mL centrifuge tube with carbon dioxide free distilled water, at a soil to liquid ratio of 1:5. After oscillating in the oscillator for 5 min, the filtrate was immediately withdrawn. The clarified filtrate (25 mL) was placed in a conical flask, and the pH was adjusted to 6.5–10.5. At the same time, 8 drops of potassium chromate indicator solution was added to the sample solution. Under continuous agitation, the sample solution was titrated with a silver nitrate standard solution until brick red precipitate appeared and did not disappear for 30 s []. Blanks and parallel samples were also performed for quality assurance and quality control. The relative standard deviation (RSD) between replicate samples was within 10%.
2.4. Heavy Metals Content Analysis
For heavy metals (Cr, Mn, Co, Ni, Cu, Zn, Cd, As, and Pb) analysis, 150 mg of each of the dried samples were digested with mixed acids of HNO3, HF, and HCl in airtight Teflon vessels. The concentrations of Cr, Mn, Co, Ni, Cu, Zn, Cd, As, and Pb in the soil were analyzed by inductively coupled plasma mass spectrometry (ICP-MS, Thermo-X7, Thermo Fisher, Waltham, Massachusetts, USA). Standard reference materials, GBW-08302 obtained from the National Institute of Metrology in China, were also analyzed for quality assurance and quality control. The results fit well with certified values and recoveries were in the range of 85–115%. Three parallel samples were analyzed for all samples, and the standard deviation was within 5%.
2.5. Ecological Risk Assessment of Soil Heavy Metals
To standardize the heavy metal distribution in aggregate classes, the distribution factors (DF) between the aggregate and the bulk soil heavy metal contents were calculated to represent changes in heavy metal distribution of soil aggregates []:
where and are concentrations (mg/kg dry weight) of heavy metal in each aggregate and bulk sample, respectively. If DF > 1, it means that the heavy metal is enriched in the soil aggregate.
The metal mass loading method (GSF) was used to evaluate the contribution of heavy metals in the soil aggregates at each particle size, by using the following expression []:
where is the concentration of heavy metal elements in the soil aggregates at each particle size; and is the mass fraction of the corresponding particle size, ranging from 1 to 100%.
This ecological risk model was proposed by researchers [] to evaluate the pollution level in soil, based on the toxicity of heavy metals and subsequent environmental responses. In the current study, soil pollution has been assessed based on the total metal content of selected heavy metals [,]:
RI is defined as “the summation of all risk values of heavy metals in sediments/soils,” where the sum of . is the contamination factor, is the background value of the study area, and is the toxic/lethal response value (or factor). It calculates the potential threat of heavy metal pollution by representing the lethality of a particular metal and the sensitivity of the environment to the pollutant. The values of Cr, Ni, Cu, Zn, Cd, Pb, Mn, Co, and As are 2, 5, 5, 1, 30, 5, 1, 5, and 10, respectively [,]. Five pollution levels were classified by : < 40 (low ecological risk), 40 ≤ < 80 (moderate ecological risk), 80 ≤ < 160 (considerable ecological risk), 160 ≤ < 320 (high ecological risk), and > 320 (very serious ecological risk). Similarly, RI was graded as RI < 150 (low ecological risk), 150 < RI < 300 (moderate ecological risk), 300 < RI < 600 (considerable ecological risk) and RI > 600 (very high ecological risk) [].
3. Results and Discussion
3.1. Aggregate Distribution Analysis
As shown in Figure 1, the mechanically stable aggregates obtained by the dry sieving method in both urban road soil and agricultural soil were mainly large aggregates (>250 μm), and the proportion of >2000 μm aggregates in the agricultural soil was about 3.4 times higher than that of the urban road soil. The distribution of water-stable aggregates by the wet sieving method was basically the same for both soils, i.e., the highest percentage was in the 53–250 μm aggregate particle group (both above 41%). Previous studies [,] have shown that the proportion of large macroaggregates (>250 μm) was reduced in the wet sieving method. This was caused by the fact that large aggregates were broken down into smaller ones under the highly destructive force of water. The dry sieving method, on the contrary, produced friction only on the outside of the aggregate. Soil organic carbon in agricultural fields may have a stronger cohesive effect, and soil aggregates are more likely to clump together during air drying. Dry sieving methods could separate more large aggregates than wet sieving methods, and water stable aggregates may be more able to reflect the actual state of the field.

Figure 1.
Distribution patterns of soil aggregates separated by different sieving methods: (a) urban road soil; (b) agricultural soil.
3.2. Inorganic Chlorine Analysis in Soil Aggregates
As illustrated in Figure 2, the inorganic chloride content in urban road soils and agricultural soils showed a trend of decreasing and then increasing as the particle size of the aggregates decreased. The maximum value was observed in the smallest particle size fraction (<53 μm) in both dry and wet sieving methods. This may be caused by the larger specific surface area of more micro-aggregate adsorption sites, which increases the contact area and adsorption probability of target elements. The inorganic chlorine content of each size of soil aggregate prepared by the wet screening method was lower than those prepared by the dry sieving method, especially for the agricultural soils with a significance level (p < 0.05). Previous studies have found that chloride ions are not conserved in soils with certain retention and release constants []. The results indicated that the effect of sieving methods on inorganic chlorine content within aggregates was obviously dependent on soil fraction. Inorganic chlorine is a typical water-soluble ion with good fluidity in soils [], and the dry sieving method could give a better reflection of its concentration and occurrence in soil aggregates.

Figure 2.
Concentrations of inorganic chlorine in soil aggregates separated by different sieving methods: (a) urban road soil; (b) agricultural soil.
3.3. Heavy Metals Analysis in Soil Aggregates
As shown in Table 2 and Table 3, except for Mn and As, the other seven heavy metals (Cr, Co, Ni, Cu, Zn, Cd, and Pb) had similar distribution patterns. Regardless of the dry or wet sieving method, most heavy metals were enriched as the size of the aggregate decreased. The distribution factor in soil aggregates with size <53 μm was the highest. Using the dry sieving method, the maximum distribution factors of Mn and As in agricultural soils were found in the particle size of 1000–2000 μm and 250–1000 μm, respectively. Using the wet sieving method, both were found in <53 μm fractions. The contaminant concentration under dry sieving may be overestimated in the coarser sieve fractions due to the unnecessary attachment of heavily polluted fine particles. Under wet sieving, there was a shift of metal concentration to the microaggregates. To enrich study of Mn and As in different particle size aggregates of agricultural soils, understanding the aggregate separation method is important.

Table 2.
Concentration of heavy metals in soil aggregates separated by different sieving methods.

Table 3.
Distribution factors of heavy metals in soil aggregates separated by different sieving methods.
In order to evaluate the metal contribution of soil aggregates within different particle sizes, we calculated the heavy metal mass loading of each particle size fraction. As shown in Table 4, the maximum contributions of heavy metals in the urban road soil aggregates were all within the particle size of 250–1000 μm when we used the dry sieving method. Except for Mn and As, the maximum contributions of all seven remaining heavy metals found in the agricultural soil aggregates, were in >2000 μm fractions. Mn and As had the maximum contributions in particle sizes ranging from 1000–2000 μm. Under the wet screening conditions, the maximum contributions of heavy metals in urban road and agricultural soils were found in particles sized 53–250 μm, accounting for 37.26–50.24%. Previous studies have shown that Ag, Bi, Cu, Zn, Cd, As, Hg and Mo in urban road soils are preferentially enriched in soil aggregates with particle sizes <45 μm. However, the mass loading of heavy metals in this particle fraction only accounted for 2.37–18.3%, which was caused by the small mass of <45 μm fractions found by the dry sieving method []. Therefore, the method of aggregate separation was an important influencing factor in the evaluation of the metal mass loading distribution.

Table 4.
Heavy metal mass loading in soil aggregates separated by different sieving methods.
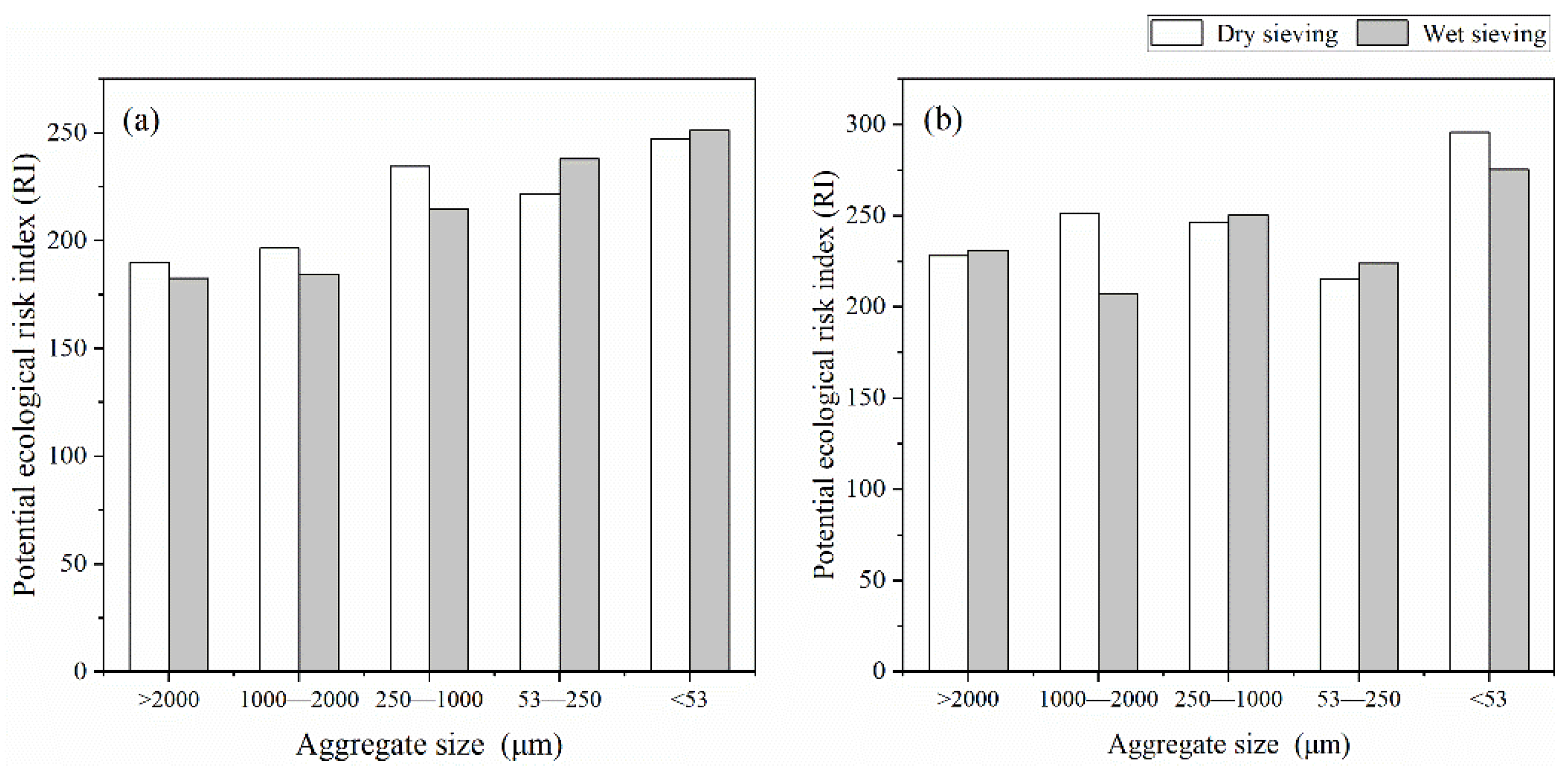
In both sieving methods, Cd was the main source of potential ecological risk index (RI) in urban road and agricultural soil aggregates with different particle sizes showing high ecological risk (Table 5). There was variability in the potential ecological risk of each metal found in the aggregates prepared by the dry and wet sieving methods, with the value of Cd reaching the level of significant difference (p < 0.05). The spatial distribution of the potential ecological risk index is shown in Figure 3. For both land use types of soils, the RI values in <53 μm aggregates were the largest using both sieving methods and both had moderate levels of ecological risk. However, there were some differences found in the RI values of aggregates with different particle sizes across the two sieving methods. The wet sieving method may affect surface soil heavy metal concentrations and ecological risk assessment by changing the structure of soil aggregates.

Table 5.
Ecological risk of heavy metals in soil aggregates separated by different sieving methods.

Figure 3.
Potential ecological risk index (RI) in soil aggregates separated by different sieving methods: (a) urban road soil; (b) agricultural soil.
4. Conclusions
Sieving methods clearly influence the distribution patterns of inorganic chlorine content and heavy metal concentration in soil aggregates, and the results of this study indicate the importance of selecting an ensemble separation method. The particle-size distribution changed to a finer fraction under the wet sieving method, and the soil aggregates under the dry sieving method were dominated by >250 μm macroaggregates. The dry sieving method could have a better reflection on the actual content of contaminants in soil aggregates when studying the distribution of water-soluble ions such as inorganic chloride. Results show that the wet sieving method could affect the heavy metal concentrations and ecological risk assessment of surface soils by altering the soil aggregate structure. Under wet sieving conditions, the mass loading (GSF) was relatively higher in the fine fractions and lower in the macroaggregates. Results of potential ecological risk analysis show that the ecological risk () value of Cd in aggregates found by the different sieving methods was significantly different (p < 0.05). These findings are helpful to enrich inorganic chlorine and heavy metal soil occurrence theories, and to establish strategies that mitigate health risks in the environment.
Author Contributions
Conceptualization, N.Z. and L.M.; methodology, L.M. and M.L.; validation, N.Z. and Y.S.; formal analysis, N.Z., M.L. and D.M.; investigation, N.Z. and D.M.; data curation, N.Z.; writing—original draft paper, N.Z.; writing—review and editing, D.X., Y.S. and L.M.; visualization Z.L. and L.M.; and funding acquisition L.M. All authors have read and agreed to the published version of the manuscript.
Funding
This research was funded by the National Natural Science Foundation of China, (Grant/Award Number: 11875266, U1932103).
Institutional Review Board Statement
Not applicable.
Informed Consent Statement
Not applicable.
Data Availability Statement
Not applicable.
Conflicts of Interest
The authors declare no conflict of interest.
References
- Li, J.; Yuan, X.L.; Ge, L.; Li, Q.; Li, Z.G.; Wang, L.; Liu, Y. Rhizosphere effects promote soil aggregate stability and associated organic carbon sequestration in rocky areas of desertification. Agr. Ecosyst. Environ. 2020, 304, 107126. [Google Scholar] [CrossRef]
- Luo, X.S.; Yu, S.; Li, X.D. Distribution, availability, and sources of trace metals in different particle size fractions of urban soils in Hong Kong: Implications for assessing the risk to human health. Environ. Pollut. 2011, 159, 1317–1326. [Google Scholar] [CrossRef] [PubMed]
- Shen, Q.; Demisie, W.; Zhang, S.; Zhang, M. The association of heavy metals with iron oxides in the aggregates of naturally Enriched Soil. Bull. Environ. Contam. Toxicol. 2020, 104, 144–148. [Google Scholar] [CrossRef] [PubMed]
- Huang, B.; Li, Z.; Huang, J.; Guo, L.; Nie, X.; Wang, Y.; Zhang, Y.; Zeng, G. Adsorption characteristics of Cu and Zn onto various size fractions of aggregates from red paddy soil. J. Hazard. Mater. 2014, 264, 176–183. [Google Scholar] [CrossRef] [PubMed]
- Park, H.J.; Park, H.J.; Yang, H.I.; Park, S.I.; Lim, S.S.; Kwak, J.H.; Lee, G.T.; Lee, S.M.; Park, M.; Choi, W.J. Sorption of Pb in chemical and particle-size fractions of soils with different physico-chemical properties. J. Soil Sediment 2018, 19, 310–321. [Google Scholar] [CrossRef]
- Zhong, P.; Zhang, J.Q.; Xu, D.M.; Tian, Q.; Hu, T.P.; Gong, X.Y.; Zhan, C.L.; Liu, S.; Xing, X.L.; Qi, S.H. Contamination characteristics of heavy metals in particle size fractions from street dust from an industrial city, Central China. Air Qual. Atmos. HLTH 2020, 13, 871–883. [Google Scholar] [CrossRef]
- Sainju, U.M. Carbon and nitrogen pools in soil aggregates separated by dry and wet sieving methods. Soil Sci. 2006, 171, 937–949. [Google Scholar] [CrossRef] [Green Version]
- Nahidan, S.; Nourbakhsh, F. Distribution pattern of amidohydrolase activities among soil aggregates: Effect of soil aggregates isolation methods. Appl. Soil Ecol. 2018, 125, 250–256. [Google Scholar] [CrossRef]
- Acosta, J.A.; Faz Cano, A.; Arocena, J.M.; Debela, F.; Martínez-Martínez, S. Distribution of metals in soil particle size fractions and its implication to risk assessment of playgrounds in Murcia City (Spain). Geoderma 2009, 149, 101–109. [Google Scholar] [CrossRef]
- Ajmone-Marsan, F.; Biasioli, M.; Kralj, T.; Grcman, H.; Davidson, C.M.; Hursthouse, A.S.; Madrid, L.; Rodrigues, S. Metals in particle-size fractions of the soils of five European cities. Environ. Pollut. 2008, 152, 73–81. [Google Scholar] [CrossRef]
- Chen, J.; He, F.; Zhang, X.; Sun, X.; Zheng, J.; Zheng, J. Heavy metal pollution decreases microbial abundance, diversity and activity within particle-size fractions of a paddy soil. FEMS Microbiol. Ecol. 2014, 87, 164–181. [Google Scholar] [CrossRef] [PubMed]
- Wang, Q.Y.; Hu, B.; Yu, H.W. Adsorption behaviors of fungicide-derived copper onto various size fractions of aggregates from orchard soil. Environ. Sci. Pollut. Res. Int. 2016, 23, 24983–24990. [Google Scholar] [CrossRef]
- Redon, P.O.; Abdelouas, A.; Bastviken, D.; Cecchini, S.; Nicolas, M.; Thiry, Y. Chloride and organic chlorine in forest soils: Storage, residence times, and influence of ecological conditions. Environ. Sci. Technol. 2011, 45, 7202–7208. [Google Scholar] [CrossRef]
- Svensson, T.; Montelius, M.; Andersson, M.; Lindberg, C.; Reyier, H.; Rietz, K.; Danielsson, A.; Bastviken, D. Influence of multiple environmental factors on organic matter chlorination in podsol soil. Environ. Sci. Technol. 2017, 51, 14114–14123. [Google Scholar] [CrossRef] [Green Version]
- Liu, L.H.; Mu, S.L.; Leng, P.; Dong, Y.L.; Xu, Q.C.; Sun, A. Extraction and analysis of hydrosoluble chlorine and its stable isotopic composition in soil using thermal ionization mass spectrometry. Chem. Geol. 2020, 558, 119993. [Google Scholar] [CrossRef]
- Visconti, F.; Intrigliolo, D.S.; Quiñones, A.; Tudela, L.; Bonet, L.; de Paz, J.M. Differences in specific chloride toxicity to Diospyros kaki cv. “Rojo Brillante” grafted on D. lotus and D. virginiana. Sci. Hortic-Amst. 2017, 214, 83–90. [Google Scholar] [CrossRef]
- Rasiah, V.; Armour, J.D.; Menzies, N.W. Chloride as a signature indicator of soil textural and hydrologic stratigraphies in variable charge deep profiles. Hydrol. Process. 2005, 19, 2007–2022. [Google Scholar] [CrossRef]
- Dong, J.; Yang, Q.W.; Sun, L.N.; Zeng, Q.; Liu, S.J.; Pan, J.; Liu, X.L. Assessing the concentration and potential dietary risk of heavy metals in vegetables at a Pb/Zn mine site, China. Environ. Earth Sci. 2011, 64, 1317–1321. [Google Scholar] [CrossRef]
- Bradl, H.B. Adsorption of heavy metal ions on soils and soils constituents. J. Colloid Interf. Sci. 2004, 277, 1–18. [Google Scholar] [CrossRef]
- Tang, L.; Tang, X.Y.; Zhu, Y.G.; Zheng, M.H.; Miao, Q.L. Contamination of polycyclic aromatic hydrocarbons (PAHs) in urban soils in Beijing, China. Environ. Int. 2005, 31, 822–828. [Google Scholar] [CrossRef]
- Determination of Chloride Ion Content in Soil; NY/T 1378-2007; China’s Ministry of Agriculture: Beijing, China, 2007. (In Chinese)
- Sutherland, R.A. Lead in grain size fractions of road-deposited sediment. Environ. Pollut. 2003, 121, 229–237. [Google Scholar] [CrossRef]
- Hakanson, L. An ecological risk index for aquatic pollution control.a sedimentological approach. Water Res. 1980, 14, 975–1001. [Google Scholar] [CrossRef]
- Huang, Y.; Chen, Q.; Deng, M.; Japenga, J.; Li, T.; Yang, X.; He, Z. Heavy metal pollution and health risk assessment of agricultural soils in a typical peri-urban area in southeast China. J. Environ. Manage. 2018, 207, 159–168. [Google Scholar] [CrossRef]
- Rehman, I.U.; Ishaq, M.; Ali, L.; Khan, S.; Ahmad, T.; Din, I.U.; Ullah, H. Enrichment, spatial distribution of potential ecological and human health risk assessment via toxic metals in soil and surface water ingestion in the vicinity of Sewakht mines, district Chitral, Northern Pakistan. Ecotoxicol. Environ. Saf. 2018, 154, 127–136. [Google Scholar] [CrossRef] [PubMed]
- Lin, Y.; Han, P.; Huang, Y.; Yuan, G.L.; Guo, J.X.; Li, J. Source identification of potentially hazardous elements and their relationships with soil properties in agricultural soil of the Pinggu district of Beijing, China: Multivariate statistical analysis and redundancy analysis. J. Geochem. Explor. 2017, 173, 110–118. [Google Scholar] [CrossRef]
- Bach, E.M.; Hofmockel, K.S. Soil aggregate isolation method affects measures of intra-aggregate extracellular enzyme activity. Soil Biol. Biochem. 2014, 69, 54–62. [Google Scholar] [CrossRef]
- Gelhardt, L.; Huber, M.; Welker, A. Development of a laboratory method for the comparison of settling processes of road-deposited sediments with artificial test material. Water Air Soil Pollut. 2017, 228, 467. [Google Scholar] [CrossRef]
- Bastviken, D.; Sandén, P.; Svensson, T.; Ståhlberg, C.; Magounakis, M.; Öberg, G. Chloride retention and release in a boreal forest soil: Effects of soil water residence time and nitrogen and chloride loads. Environ. Sci. Technol. 2006, 40, 2977–2982. [Google Scholar] [CrossRef] [PubMed]
- White, P.J.; Broadley, M.R. Chloride in soils and its uptake and movement within the plant: A review. Ann. Bot. 2001, 88, 967–988. [Google Scholar] [CrossRef] [Green Version]
- Wang, X.S.; Qin, Y.; Chen, Y.K. Heavy meals in urban roadside soils, part 1: Effect of particle size fractions on heavy metals partitioning. Environ. Geol. 2006, 50, 1061–1066. [Google Scholar] [CrossRef]
Publisher’s Note: MDPI stays neutral with regard to jurisdictional claims in published maps and institutional affiliations. |
© 2022 by the authors. Licensee MDPI, Basel, Switzerland. This article is an open access article distributed under the terms and conditions of the Creative Commons Attribution (CC BY) license (https://creativecommons.org/licenses/by/4.0/).