Analysis of Rainfall Infiltration and Improvement of the Analytical Solution of Safety Factors on Unsaturated Inner Dump Slopes: A Case Study
Abstract
1. Introduction
2. Model of Rainfall Infiltration and Solution of the Safety Factor
2.1. Model Establishment and Derivation of the Rainfall Infiltration Equation
2.2. Analytical Solution of the Safety Factor
- i.
- The slope material is uniform and isotropic;
- ii.
- The main rainfall saturated layer and wetting front are parallel to the slope surface;
- iii.
- The moisture content changes with the rainfall infiltration depth by an elliptical function.
2.2.1. Calculating the Safety Factors in the Saturation Layer
2.2.2. Calculating the Safety Factors in the Transition Layer
3. Parameter Analysis and Discussion
4. Case Study
5. Conclusions
- (1)
- The function of the wetting front was established considering the elliptical variation of the water content. The results of the parameter analysis indicated that the wetting front depth increased by a linear function with increasing rainfall time and that the increasing rate was constant during the noncompressive infiltration stage. However, the wetting front depth increased with increasing rainfall time and the increasing rate gradually decreased during the compressive infiltration stage.
- (2)
- The relationship between the safety factor and the depth of rainfall infiltration were quantified, and improved analytic solutions of the safety factor were obtained considering the strength reduction with water content during the rainfall process. The form of the analytical solution is simple, easy to apply, and efficient. The main application values are as follows. Aimed at the existing geometry of open-pit mine slopes, the change results of the safety factor can be calculated quantitatively with the rainfall changing based on the improved analytic solutions of F.S and the stability of open-pit slopes can be evaluated.
- (3)
- The change law of the slope safety factor under rainfall conditions was clarified using the improved analytic solutions of the safety factor. The results showed that the safety factor in the saturation layer decreased with increasing saturation layer depth, and the safety factor in the transition zone decreased at first and then increased with the increasing depth in the transition layer. Meanwhile, the safety factor considering strength reduction in the transition zone was larger than that of the saturated strength but less than that of the natural strength. By considering the water migration in the inner dump slope, the calculation result of F.S by the analytical solution in the paper can be more precisely represent the in situ conditions.
- (4)
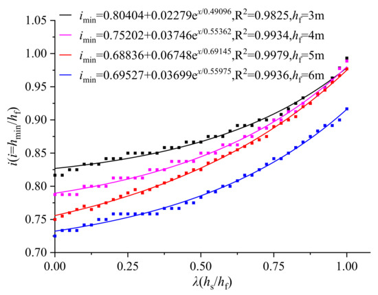
- The depth of the potential slip surface existed not in the wetting front but rather in a position close to the wetting front. The depth (hmin) of the potential slip surface increased by a linear function with the increase in the wetting front (hf) and increased with λ. The ratio (i) increased in an exponential manner with λ.
- (5)
- The critical failure depth and the potential sliding surface can be conversely solved by the improved analytic solutions of F.S when Fst = 1. The improved analytic solutions of the safety factor were used in a case study of the Shengli #1 open-pit coalmine and the field application results showed that the method provides guidance for the stability evaluation of field dumps in later years and has good field application value.
Author Contributions
Funding
Institutional Review Board Statement
Informed Consent Statement
Data Availability Statement
Conflicts of Interest
Abbreviations
| i | Infiltration rate | 1 | q | Rainfall intensity | m/h |
| Sf | Matrix suction head at the wetting front | m | ks | Saturated permeability coefficient of the slope | m/h |
| hvs | Rainfall saturation depth vertical to the slope surface | m | hvf | Wetting front depth vertical to the slope surface | m |
| θ0 | Initial water content | 1 | θs | Saturated water content | 1 |
| hvt | Transitional layer depth vertical to the slope surface | m | t0 | Critical time of non-compressive infiltration into compressive infiltration | h |
| t | Rainfall time | h | γd | Natural weight | kN/m3 |
| Is | Cumulative rainfall infiltration in the saturation layer | m | It | Cumulative rainfall infiltration in the transition layer | m |
| I | Total cumulative rainfall infiltration | m | h0 | Wetting front depth at t0 time | m |
| l | Tilt length of the slider | m | hs | Saturation layer depth | ° |
| hf | Wetting front depth | m | ht | Rainfall transition layer depth | m |
| Ws | Slider gravities above rainfall saturated layer | kN | Wf | Slider gravities above the wetting front | kN |
| Ns | Slider normal force above the rainfall saturated layer | kN | Nf | Slider normal force above the wetting front | kN |
| σnt | Normal stress in the transition layer | kPa | τmt | Shear stress in the transition layer | kPa |
| Js | Seepage force of the rainfall saturated layer | kN | ua | Air stress of the soil | kPa |
| uw | Water stress of the soil | kPa | θ | Water content | 1 |
| c | Cohesion | kPa | φ | Internal friction angle | ° |
| γ’ | Buoyant weight | kN/m3 | γw | Weight of water | kN/m3 |
References
- Wu, J.H.; Lin, W.K.; Hu, H.T. Post-failure simulations of a large slope failure using 3DEC: The Hsien-du-shan slope. Eng. Geol. 2018, 242, 92–107. [Google Scholar] [CrossRef]
- Zhou, X.P.; Liu, L.J.; Xu, C. A modified inverse-velocity method for predicting the failure time of landslides. Eng. Geol. 2020, 268, 105521. [Google Scholar] [CrossRef]
- Kumar, A.; Asthana, A.; Priyanka, R.S.; Jayangondaperumal, R.; Gupta, A.K.; Bhakuni, S.S. Assessment of landslide hazards induced by extreme rainfall event in Jammu and Kashmir Himalaya, northwest India. Geomorphology 2017, 284, 72–87. [Google Scholar] [CrossRef]
- Xu, J.S.; Zhao, X.; Li, P.F.; Zhang, M.J. Stability of a 3D unsaturated vertical cut slope subjected to variable rainfall infiltration. Comput. Geotech. 2021, 134, 104110. [Google Scholar] [CrossRef]
- Cho, S.E. Probabilistic stability analysis of rainfall-induced landslides considering spatial variability of permeability. Eng. Geol. 2014, 171, 11–20. [Google Scholar] [CrossRef]
- Ering, P.; Babu, G.L.S. Probabilistic back analysis of rainfall induced landslide—A case study of Malin landslide. India. Eng. Geol. 2016, 208, 154–164. [Google Scholar] [CrossRef]
- Kim, J.; Jeong, S.; Regueiro, R.A. Instability of partially saturated soil slopes due to alteration of rainfall pattern. Eng. Geol. 2012, 147, 28–36. [Google Scholar] [CrossRef]
- Li, W.C.; Lee, L.M.; Cai, H.; Li, H.J.; Dai, F.C.; Wang, M.L. Combined roles of saturated permeability and rainfall characteristics on surficial failure of homogeneous soil slope. Eng. Geol. 2013, 153, 105–113. [Google Scholar] [CrossRef]
- Peres, D.J.; Cancelliere, A. Estimating return period of landslide triggering by Monte Carlo simulation. J. Hydrol. 2016, 541, 256–271. [Google Scholar] [CrossRef]
- Rahardjo, H.; Ong, T.H.; Rezaur, R.B.; Leong, E.C. Factors controlling instability of homogeneous soil slopes under rainfall. J. Geotech. Geoenviron. 2007, 133, 1532–1543. [Google Scholar] [CrossRef]
- Tsai, T.L.; Wang, J.K. Examination of influences of rainfall patterns on shallow landslides due to dissipation of matric suction. Environ. Earth Sci. 2010, 63, 65–75. [Google Scholar] [CrossRef]
- Wu, L.; Xu, Q.; Zhu, J. Incorporating hydro-mechanical coupling in an analysis of the effects of rainfall patterns on unsaturated soil slope stability. Arab. J. Geosci. 2017, 10, 386. [Google Scholar] [CrossRef]
- Conte, E.; Troncone, A. Soil layer response to pore pressure variations at the boundary. Géotechnique 2008, 58, 37–44. [Google Scholar] [CrossRef]
- Conte, E.; Troncone, A. Stability analysis of infinite clayey slopes subjected to pore pressure changes. Géotechnique 2012, 62, 87–91. [Google Scholar] [CrossRef]
- Li, J.; Xu, Q.; Wang, S.; Liu, H.X. Research on rainfall infiltration models of slopes and formation mechanism of rock landslides in red stratum in the east of Sichuan Province. Chin. J. Rock Mech. Eng. 2016, 35, 4053–4062. [Google Scholar]
- Li, L.Q.; Luo, S.X.; Wei, W.K.; Wang, Y.C.; Xu, H.; Xu, J. Model tests of rainfall infiltration effect on bedding rock slope with weak interlayer. Chin. J. Rock Mech. Eng. 2013, 32, 1772–1778. [Google Scholar]
- Cascini, L.; Calvello, M. Grimaldi, G.M. Groundwater modelling for the analysis of active slow-moving landslides. J. Geotech. Geoenviron. Eng. (ASCE) 2010, 136, 1220–1230. [Google Scholar] [CrossRef]
- Laloui, L.; Ferrari, A.; Bonnard, C. Geomechanical modeling of the Steinernase landslide (Switzerland). In Proceedings of the 1st Italian Workshop on Landslides, Naples, Italy, 8–10 June 2009; pp. 186–195. [Google Scholar]
- Ledesma, A.; Corominas, J.; González, A.; Ferrari, A. Modelling slow moving landslides controlled by rainfall. In Proceedings of the 1st Italian Workshop on Landslides, Naples, Italy, 8–10 June 2009; pp. 196–205. [Google Scholar]
- Hong, Y.; Hiura, H.; Shino, K.; Sassa, K.; Fukuoka, H. Quantitative assessment on the influence of heavy rainfall on the crystalline schist landslide by monitoring system case study on Zentoku landslide, Japan. Landslides 2005, 2, 31–41. [Google Scholar] [CrossRef]
- Maugeri, M.; Motta, E.; Raciti, E. Mathematical modelling of the landslide occurred at Gagliano Castelfranco (Italy). Nat. Hazards Earth Syst. Sci. 2006, 6, 133–143. [Google Scholar] [CrossRef]
- Chen, X.A.; Yang, J.; Tang, C.J.; Zheng, T.; Li, L. Effects of rainfall intensity and slope on surface and subsurface runoff in red soil slope farmland. Trans. Chin. Soc. Agric. Eng. (Trans. CSAE) 2017, 33, 141–146. [Google Scholar]
- Wei, X.; Li, Z.B.; Li, X.G. Research progress on soil erosion of slope-gully systems in the Loess Plateau. Sci. Soil Water Conserv. 2012, 10, 108–113. [Google Scholar]
- Ouyang, W.; Gao, X.; Wei, P.; Gao, B.; Lin, C.; Hao, F. A review of diffuse pollution modeling and associated implications for watershed management in China. J. Soils Sediments 2017, 17, 1527. [Google Scholar] [CrossRef]
- Zhang, J.; Wang, J.; Hua, P.; Krebs, P. The qualitative and quantitative source apportionments of polycyclic aromatic hydrocarbons in size dependent road deposited sediment. Sci. Total Environ. 2015, 505, 90–101. [Google Scholar] [CrossRef] [PubMed]
- Qin, X.H.; Liu, D.S.; Song, Q.H.; Wu, Y.; Zhang, Y.; Ye, Y. Reliability analysis of bedrock laminar slope stability considering variability of saturated hydraulic conductivity of soil under heavy rainfall. Chin. J. Geotech. Eng. 2016, 39, 1065–1073. (In Chinese) [Google Scholar]
- Chen, L.; Young, M.H. Green-Ampt infiltration model for sloping surfaces. Water Resour. Res. 2006, 42, 887–896. [Google Scholar] [CrossRef]
- Sperling, O.; Lazarovitch, N. Characterization of Water Infiltration and Redistribution for Two-Dimensional Soil Profiles by Moment Analyses. Vadose Zone J. 2010, 9, 438–444. [Google Scholar] [CrossRef]
- Peng, Z.Y.; Huang, J.S.; Wu, J.W.; Guo, H. Modification of green-ampt model based on the stratification hypothesis. Adv. Water Sci. 2012, 23, 59–66. (In Chinese) [Google Scholar]
- Gavin, K.; Xue, J.F. A simple method to analyze infiltration into unsaturated soil slopes. Comput. Geotech. 2008, 35, 223–230. [Google Scholar] [CrossRef]
- Sungkar, M.; Munirwansyah, M.; Munirwan, R.P.; Safrina, D. Slope stability analysis using Bishop and Finite Element Methods. IOP Conf. Ser. Mater. Sci. Eng. 2020, 933, 012035. [Google Scholar] [CrossRef]
- Alejano, L.R.; Ferrero, A.M.; Ramı rez-Oyanguren, P.; Fernández, M.Á. Comparison of limit-equilibrium, numerical and physical models of wall slope stability. Int. J. Rock Mech. Min. Sci. 2011, 48, 16–26. [Google Scholar] [CrossRef]
- Das, A.; Jayashree, C.; Viswanadham, B. Effect of randomly distributed geo-fibers on the piping behaviours of embankment constructed with fly ash as a fill material. Geotext Geomembr. 2009, 27, 341–349. [Google Scholar] [CrossRef]
- Wang, Z.L.; Liu, B.; Han, Y.H.; Wang, J.; Yao, B.; Zhang, P. Stability of Inner Dump Slope and Analytical Solution Based on Circular Failure: Illustrated with a case study. Comput. Geotech. 2020, 117, 103241. [Google Scholar] [CrossRef]
- Sun, H.; Zhong, J.; Zhao, Y.; Shen, S.; Shang, Y. The influence of localized slumping on groundwater seepage and slope stability. J. Earth Sci. 2013, 24, 104–110. [Google Scholar] [CrossRef]
- Yao, W.; Li, C.; Zhan, H.; Zeng, J. Time-dependent slope stability during intense rainfall with stratified soil water content. Bull. Eng. Geol. Environ. 2019, 78, 4805–4819. [Google Scholar] [CrossRef]
- Su, Y.H.; Li, C.C. Stability analysis of slope based on Green-Ampt model under heavy rainfall. Rock Soil Mech. 2019, 41, 1–10. (In Chinese) [Google Scholar]
- Lu, N.; Godt, J. Infinite slope stability under steady unsaturated seepage conditions. Water Resour. Res. 2008, 44, 11404. [Google Scholar] [CrossRef]
- Lu, N.; Godt, J.W.; Wu, D.T. A closed-form equation for effective stress in unsaturated soil. Water Resour. Res. 2010, 46, 05515. [Google Scholar] [CrossRef]
- Rossi, G.; Catani, F.; Leoni, L.; Segoni, S.; Tofani, V. HIRESSS: A physically based slope stability simulator for, HPC applications. Nat. Hazards Earth Syst. Sci. 2013, 13, 151–166. [Google Scholar] [CrossRef]
- Pham, K.; Lee, H.; Kim, D.; Lee, I.M.; Choi, H. Influence of hydraulic characteristics on stability of unsaturated slope under transient seepage conditions. Landslides 2018, 15, 1787–1799. [Google Scholar] [CrossRef]
- Li, W.S.; Ding, X.L.; Wu, A.Q. Shear strength degeneration of soil and rock mixture in Three Gorges Reservoir bank slopes under influence of impounding. Rock Soil Mech. 2007, 28, 1338–1342. (In Chinese) [Google Scholar]
- Liu, W.P.; Shi, W.M.; Kong, W.X.; Zhang, Y.R. Weakening effect of water on gravel-soil in Three Gorges Reservoir area. Rock Soil Mech. 2005, 11, 1857–1861. (In Chinese) [Google Scholar]
- Zhang, J.; Han, T.C.; Dou, H.Q.; Ma, S. Analysis slope safety based on infiltration model based on stratified assumption. J. Cent. South Univ. 2014, 45, 3211–3218. (in Chinese). [Google Scholar]















Publisher’s Note: MDPI stays neutral with regard to jurisdictional claims in published maps and institutional affiliations. |
© 2022 by the authors. Licensee MDPI, Basel, Switzerland. This article is an open access article distributed under the terms and conditions of the Creative Commons Attribution (CC BY) license (https://creativecommons.org/licenses/by/4.0/).
Share and Cite
Wang, Z.; Li, X.; Yin, S.; Du, X. Analysis of Rainfall Infiltration and Improvement of the Analytical Solution of Safety Factors on Unsaturated Inner Dump Slopes: A Case Study. Processes 2022, 10, 2407. https://doi.org/10.3390/pr10112407
Wang Z, Li X, Yin S, Du X. Analysis of Rainfall Infiltration and Improvement of the Analytical Solution of Safety Factors on Unsaturated Inner Dump Slopes: A Case Study. Processes. 2022; 10(11):2407. https://doi.org/10.3390/pr10112407
Chicago/Turabian StyleWang, Zhiliu, Xinming Li, Song Yin, and Xidong Du. 2022. "Analysis of Rainfall Infiltration and Improvement of the Analytical Solution of Safety Factors on Unsaturated Inner Dump Slopes: A Case Study" Processes 10, no. 11: 2407. https://doi.org/10.3390/pr10112407
APA StyleWang, Z., Li, X., Yin, S., & Du, X. (2022). Analysis of Rainfall Infiltration and Improvement of the Analytical Solution of Safety Factors on Unsaturated Inner Dump Slopes: A Case Study. Processes, 10(11), 2407. https://doi.org/10.3390/pr10112407

