Abstract
The negative environmental impact of the construction sector has garnered global attention, and as the “primary force” in achieving the “double carbon” target, green development is urgent, and social responsibility practices cannot be postponed. An evolutionary game model was constructed by combining the rank-dependent expected utility (RDEU) theory and the evolutionary game theory to understand the interaction mechanism between participants’ emotions and decisions, taking into account the characteristics of construction enterprises and the public regarding irrational decisions under heterogeneous emotional combinations. The study demonstrates that: (1) there is probability in the choice of rational strategies, and emotion is an irrational factor that can affect strategy choice. (2) The evolutionary trend of the strategy choice of the game subjects is altered by emotional intensity and emotional propensity. The optimism of construction enterprises inhibits their socially responsible practice, and the pessimism of the public promotes the probability of their negative strategy choice. Furthermore, moderate optimism is a safety valve for the public’s positive strategy choice. (3) The interaction of emotional states leads to a heterogeneity of strategy choices exhibited under different combinations of emotions, with the emotions of construction companies having a more dominant influence on strategy. Finally, we make some feasible recommendations for improving social responsibility practices and preventing mass incidents by boosting emotional monitoring and guidance for construction businesses and the general public. Overall, this study provides important information about how to be socially responsible, maintain good relationships with the public, and protect the environment.
1. Introduction
Global warming and pollution have long been a source of concern. The frequency and intensity of extreme climate events caused by warming are increasing [], and rising CO2 emissions are regarded as the primary cause of these phenomena [,]. As the world’s largest producer of carbon emissions, in 2020, China formally committed to strive for peak carbon emissions by 2030 and to become carbon neutral by 2060 [].
As one of China’s national pillar sectors, the construction sector has a considerable impact on the country’s economic growth []. However, it is also the sector that uses the most energy and accounts for one-third of all global greenhouse gas (GHG) emissions [,,]. The massive urbanization process in China will lead to a further increase in energy demand and carbon emissions []. In the foreseeable future, the construction industry will be the “last mile” in the shift to carbon neutrality [,]. Although some resource and pollution challenges have been overcome through current technological advancements [], which show great potential for carbon emission reduction [], the low-carbon transition is moving slowly. Corporate social responsibility (CSR) ought to be put into practice as an additional step to hasten the accomplishment of the “double carbon” goal.
CSR is defined as context-specific organizational actions and policies that take into account stakeholder expectations and the triple bottom line of economic, social, and environmental performance []. It restricts decision makers’ single-minded pursuit of maximizing profits and aids in the creation and adoption of agendas and regulations for sustainable development []. With the awakening of environmental consciousness, an increasing number of businesses are shifting their CSR focus from charitable donations to environmental actions in order to “go green” []. Scholars have paid increased attention to CSR and environmental corporate social responsibility in accordance with the increase in environmental awareness in today’s environmental evolution (e.g., climate change) [,,,]. Environmental CSR has emerged as a significant and distinct element of CSR [,]. It is defined as accepting responsibility for a company’s operations, products, and facilities’ environmental impact. It includes eliminating waste and pollution, increasing the efficiency and productivity of its resources, and minimizing practices that may affect future generations’ enjoyment of national resources []. According to studies, implementing CSR initiatives in the construction industry helps to lessen or even eliminate the environmental impact that these activities have on the environment [], as well as promote the sustainability of themselves and society as a whole [].Additionally, companies’ proactivity towards environmental protection can boost resource productivity and preserve their competitiveness [], and customers are more inclined to purchase environmentally friendly products exhibiting socially responsible attributes [,,,]. In the case of construction companies, socially responsible practices not only contribute to improving the environment and promoting social development, but also bring competitive advantages and economic benefits to themselves, which is a win-win outcome [].
Even so, construction enterprises are often accused of acting irresponsibly [,,]. This is because its business practices consume large amounts of natural resources, are a source of pollutants and wastes (dust, harmful gases, and noise [,]), impose a heavy burden on the environment [], and interfere with the daily lives of residents while posing health risks to humans []. The industry lags far behind other industries in terms of awareness and implementation of CSR [,], with its decision makers placing a greater emphasis on financial costs than on environmental habitat issues []. The acceleration of the construction industry due to economic growth further triggers adverse effects on environmental degradation [], and environmental violations, as well as increased public social awareness and expectations, often lead to intensifying conflicts between construction companies and the public, thus increasing the probability of protest initiation and adverse consequences of project cancellation or postponement. Based on the above description of the necessity and utility of CSR and the negative image of construction enterprises regarding the issue of social responsibility fulfillment, it makes sense to analyze their social responsibility decisions and to consider this specific aspect of environmental CSR.
Researchers have used game theory to examine the problem of social responsibility fulfillment. Ma constructed a three-party evolutionary game model of government regulators, organic food producers, and e-commerce retailers to analyze the lack of social responsibility in the organic food supply chain []. Zhao provided policy recommendations for enterprises to consciously fulfill their social responsibility based on a game model involving government departments, private enterprises, and the public []. Liu effectively encouraged enterprises to take more social responsibility based on the analysis of a game model consisting of government, retailers, and suppliers []. The analysis used in the examples above assumes that decision makers are entirely or partially rational []. It excludes the perspective of emotions, an irrational component, which can be used to analyze the micro-influence process underlying decision making.
Emotions are often elicited by specific events [] and play a key role in decision making by influencing the way we perceive, process, and present information [,]. Decision makers have diverse emotions due to differences in various factors such as their values and interests []. Regarding CSR implementation, the emotional state of relevant stakeholders can have a significant impact on the final degree of social responsibility practiced. It is necessary to include emotions, an irrational factor, in the analysis of the socially responsible behavior of construction enterprises. As a utility theory that focuses on players’ emotional dimensions, rank-dependent expected utility (RDEU) theory overcomes the limitation exhibited by traditional game analysis approaches in that they cannot effectively explain the varied emotional states of decision makers []. Therefore, this paper will combine rank-dependent expected utility (RDEU) theory and evolutionary game theory to construct an emotion model with construction enterprises and the public as participants, analyze the internal logic of the role of emotions (pessimism, optimism, and rational emotions) in CSR practices, explore the micro-mechanisms of their evolution, and then enrich the existing conclusions on the influence of emotions on CSR behaviors. The main contributions of this paper are as follows:
- (1)
- This paper extends the research boundaries of previous studies on CSR fulfillment issues in terms of content [,,] to consider the influence of decision makers’ environmental emotions on the choice of social responsibility practice strategies.
- (2)
- This paper constructs an emotion model that combines evolutionary game theory and RDEU theory, with construction companies and the public as the main subjects, in order to enrich the application scenarios of evolutionary game theory and RDEU theory [,].
- (3)
- This paper discusses the mechanisms of heterogeneous emotions and their emotional combinations regarding decision making, and relevant suggestions are made which are expected to provide effective technical and theoretical support to promote the level of social responsibility practiced by construction enterprises.
The remainder of the paper is organized as follows. Section 2 introduces the basic theory of RDEU and constructs a mathematical model to portray the mathematical performance of different game players. Section 3 analyzes the stability of strategies and the stability of strategy combinations for each game participant. Section 4 presents and discusses the results of the simulation analysis. Section 5 presents the conclusions, management implications, and directions for future research.
2. Game Model Construction
2.1. Problem Description
The fulfillment of social responsibility by construction enterprises is an inevitable choice to promote the realization of the “double carbon” goal and maintain sustainable development. Under the double pressure of maintaining growth and promoting emission reduction, it requires the efforts of multiple stakeholders, such as construction enterprises, the government, and the public, and is a process of mutual interaction and participation in the game. On the one hand, construction enterprises are the main source of energy consumption and social responsibility fulfillment, and they are also economic organizations, with natural profit-seeking motives. In the absence of certain constraints and supervision, they are inclined to save corporate costs and possess insufficient intrinsic motivation to fulfill their social responsibility. On the other hand, the relevant departments, represented by the government, have an inherent advantage in the effective management of social responsibility fulfillment. However, even a strong regulator can be opportunistic []. Regarding the issue of social responsibility fulfillment, the public not only assumes the role of consumers, but also the role of informal regulators, which can compensate for shortcomings in government regulation and play a significant role in promoting a virtuous cycle of social responsibility fulfillment in construction enterprises, whose environmental consumption philosophy also plays an important role in low-carbon development [,]. In addition, public participation has recently become an emerging theme in the issue of environmental protection []. Therefore, this paper chooses to include the public in the research framework of the social responsibility fulfillment of construction enterprises and constructs an evolutionary game model with construction enterprises and the public as the main subjects.
Construction enterprises have two strategic choices: active fulfillment of social responsibility and negative fulfillment of social responsibility. Active fulfillment of social responsibility shows that enterprises create profits while respecting human values, emphasizing their responsibilities to the environment, consumers, and society, and achieving a win-win situation for both enterprises and society []. Negative fulfillment of social responsibility means that companies continue to choose to maximize their profits and engage in a series of unethical business practices (e.g., unreasonable disposal of waste, resource waste, poor construction quality, unfair treatment of employees, etc.) [].
The public has two strategic choices: compromise acceptance and resolute protest. Among them, “resolute protest” refers to the public voluntarily organizing themselves to disrupt the normal operation of the company by taking actions such as demonstrating and blocking traffic and causing the cancellation or postponement of the construction project [], which has an impact on social stability. Compromising acceptance, on the other hand, refers to the public accepting the status quo and not taking additional actions.
In the issue of social responsibility fulfillment, construction enterprises are primarily responsible for the strategic deployment and practice of socially responsible behavior. The public is the victim of construction enterprises’ negative fulfillment of social responsibility and will play a supervisory role in the fulfillment of CSR. When their rights and interests are infringed, they will also take action to defend their rights. Participants in the game process make their own strategic choices based on the principle of maximizing their own interests and alter their strategies based on the performance of the other side. Emotional factors can affect how construction enterprises reacts and how the public responds during this time. For example, the public, in different emotional states, holds heterogeneous beliefs and judgments about the same level of social responsibility practices. Under the effect of different emotions, construction companies and the public constantly adjust their strategies according to their own judgments, leading to diverse results in the subsequent stages of decision making. To visually describe the impact of heterogeneous emotions on the evolution of social responsibility fulfillment in construction enterprises, the conceptual diagram of the game model is shown in Figure 1.

Figure 1.
Conceptual diagram of the game model. Source: Created by the authors.
2.2. Model Assumptions
Hypothesis 1.
The issue of socially responsible behavior in construction firms primarily involves two game subjects: construction enterprises and the general public. In the game process, each subject is finitely rational and continuously adapts its own strategy. The game subjects have certain emotional preferences, and the emotional preferences of each game subject will affect the determination of behavioral decisions.
Hypothesis 2.
The strategy choice of construction enterprises can be divided into the active fulfillment of social responsibility, and the negative fulfillment of social responsibility. The strategy choice of the public can be divided into compromise acceptance, and resolute protest. Construction enterprises’ positive fulfillment of social responsibility will generate certain positive externalities, and construction enterprises’ negative fulfillment of social responsibility will generate certain negative externalities.
Hypothesis 3.
Construction companies incur certain costs when they actively fulfill their social responsibility. Construction enterprises will also generate certain positive externalities to benefit the public when they actively fulfill their social responsibilities. Similarly, negative fulfillment of social responsibility by construction enterprises generates certain negative externalities that harm the public. The public can choose to compromise and accept the different social responsibility behaviors of construction enterprises, and then the enterprises will give the public certain compensation; the public can also choose to resolutely protest, and the public’s resolute protest will incur certain costs, and at the same time, will cause economic losses and reputation losses for construction enterprises.
2.3. Model Construction
2.3.1. Traditional Game Model
Based on the assumptions above, the revenue perception matrix is shown in Table 1.

Table 1.
Revenue perception matrix.
The specific parameters of the revenue perception matrix are set, as shown in Table 2.

Table 2.
Parameter symbols and their meanings.
The dynamic game process is shown in Figure 2:

Figure 2.
A dynamic game model for CSR implementation. Source: Created by the authors.
2.3.2. Rank-Dependent Expected Utility Model
The rank-dependent expected utility (RDEU) theory was first proposed by Quiggin as an extension of the expected utility function theory []. The utility function itself does not contain elements that reflect uncertainty, and it suffers from some shortcomings (e.g., Allais paradox, Ellsberg paradox) [,]. On the contrary, the rank-dependent expected utility (RDEU) theory is able to overcome the limitations of the EU theory by introducing a nonlinear function into the theory and defining decision weights using the cumulative probability of combination (inverse) rather than simple probability, which can describe the emotional attitude of decision makers as “economic agents” and their degree under uncertainty []. The theory has been successfully applied to analyze the influence and change process of emotions on the decision-making behavior of participants, such as insiders and the nuclear security sector [], emitters and stakeholders [], and expropriated farmers and local governments [].
The core is a real-valued function defined by a utility function and a decision weight function to represent the decision maker’s preferences for different strategy choices [], i.e., , where, for the set of strategies , obeys a probability distribution which satisfies Assuming that strategy is ranked according to the magnitude of the utility function and assigned , the utility level of strategy is defined as , then the probability distribution function of the strategy is . Therefore, the higher the utility rank of the benefit, the greater the probability of cumulative occurrence. At this point, the decision weight function is , where denotes the participant’s sentiment function, denoted by , and satisfies .
The function works in three cases, as follows.
- (1)
- When , is a concave function, for any , narrows the possibility of , indicating the pessimism of the participants;
- (2)
- When , is a convex function, for any , widens the possibility of , indicating the optimistic mood of the participant;
- (3)
- When , the possible is unchanged. there is no emotion affecting the participant’s strategy, that is, the rational emotions among the participants.
Specifically, is the objective probability of the decision occurring, and the subjective probability function becomes under the influence of emotions. When , the subjective probability value is the same as the objective probability value, and the game subject is in a rational state; when , the subjective probability value is higher than the objective probability value, and the game subject overestimates the probability of choice, showing optimism, and when , the subjective probability value is lower than the objective probability value, the game subject underestimates the probability of choice, showing pessimism.
Based on the above model assumptions and RDEU theory, we construct a hierarchy-dependent expected utility model for construction enterprises and the public under different strategies.
- (1)
- strategy stability analysis of construction enterprises
For construction enterprises, the base revenue obtained when operating normally is . If construction enterprises actively fulfill their social responsibility, they need to pay a series of costs , including those associated with manpower, material resources, and time, but they receive additional rewards for their contribution to maintaining social stability. If construction enterprises negatively fulfill their social responsibility and the public chooses a compromise acceptance strategy, the enterprises can still receive additional rewards for not triggering group conflicts, but the enterprise must give the public certain compensation . If the public chooses a resolute protest strategy, the enterprise not only faces economic losses , such as compensation to the public and project delays, but also faces reputation damage caused after establishing an irresponsible image, so . According to the above analysis and reality, the public’s resolute protest will result in large economic losses for the construction enterprises that negatively fulfill their social responsibility. When a company actively fulfills its social responsibility, public protest is ineffective; however, the public’s action brings more attention to the company and increases its benefits. According to the above analysis and reality, the public’s resolute protest will cause large economic losses to construction enterprises that negatively fulfill their social responsibility. On the contrary, public resolute protest will increase the attention of enterprises that actively fulfill social responsibility and bring benefits. Therefore, assuming that the benefit of construction enterprises is , we can get (actively fulfill social responsibility, compromise acceptance) (actively fulfill social responsibility, resolute protest) (negatively fulfill social responsibility, compromise acceptance) (negatively fulfill social responsibility, resolute protest), that is .
This results in the utility, probability, rank, and decision weights corresponding to each strategy of the construction enterprises are listed in Table 3.

Table 3.
RDEU of construction enterprises considering emotions.
The expected benefits for construction companies choosing “active fulfillment of social responsibility” and “negative fulfillment of social responsibility” are:
The average expected return on the strategy choice for a construction enterprise is:
The dynamic equation for construction enterprise replication is
Letting the dynamic equation , we can get , or . At this time, construction companies can achieve local stability by choosing an active fulfillment of social responsibility strategy.
- (2)
- public strategy stability analysis
For the public, the basic benefit that can be obtained from the environment is . When construction companies are actively fulfilling their social responsibilities, the public can obtain benefits from a good residence and living environment. When construction companies are negative fulfilling their social responsibilities, the residence and living experience become worse and can even lead to health loss . If the public chooses to compromise acceptance, the enterprises will provide compensation to them. If the public selects a resolute protest strategy, it must pay certain time and economic costs to get benefits for itself. However, as compared to construction firms, the public is in a disadvantaged position, and the benefits fought for are limited, so can also yield . According to the above analysis and reality, the loss of negative fulfillment of social responsibility and the cost of resolute protest are both larger, and the rights and interests fought for by compromise acceptance are less than the benefits of resolute protest. Therefore, assuming that the public’s gain is , we can get (active fulfillment of social responsibility, compromise acceptance) (active fulfillment of social responsibility, resolute protest) (negative fulfillment of social responsibility, resolute protest) (negative fulfillment of social responsibility, compromise acceptance), that is .
This results of the utility, probability, rank, and decision weights corresponding to each strategy of the public are listed in Table 4.

Table 4.
RDEU of the public considering emotions.
The expected benefits of “compromise acceptance” and “resolute protest” for the public are and , respectively.
The average expected return on strategy choice for the public is:
The dynamic equation of construction enterprise replication is
Letting the dynamic equation , we can get , or . At this time, the public can achieve local stability by choosing a compromise acceptance strategy.
3. Game Analysis
From the analysis in Section 2.3.2, it can be seen that by creating the dynamic equation , the five local equilibrium points of the above game model can be obtained, which are , , , , and . According to the evolutionary game stability analysis, the stability of each game subject’s strategy combination can be judged according to the Lyapunov indirect method; that is, the equilibrium point has local stability when the value of the determinant corresponding to the Jacobian matrix () is greater than zero, and the trace of the matrix () is less than zero []. The Jacobian matrix of the game model is obtained from Equations (4) and (8):
where the matrix corresponds to the value of the determinant , and the trace of the matrix .
Since the values of the Jacobian matrix are related to the values of model variables, the values of the Jacobian matrix are different under different emotional states of the game subjects, and thus, the equilibrium points obtained are different. Therefore, based on the different emotional states of the game subjects, this paper analyzes the stability of the strategy combinations of the public and the construction enterprises in four situations: (rational, rational), (emotional, emotional), (rational, emotional), and (emotional, rational), respectively.
3.1. Scenario 1: The Construction Enterprise Is Rational, and the Public Is Rational
When the construction enterprise is rational and the public is rational, the sentiment parameter at this time is . Bringing the sentiment parameter into the dynamic equation of each replication, the stability analysis of the strategy portfolio at this time is shown in Table 5.

Table 5.
Stability analysis in the strategy portfolio in the construction enterprise is rational and the public is rational scenario.
Among which,
As can be seen from Table 5, when both sides of the game are in a fully rational state, the values () and traces () of the matrix determinant can be judged ; is the evolutionary stable state, that is, construction enterprises actively fulfill their social responsibility, and the public chooses to protest resolutely or compromise to accept. In reality, the Pareto optimum is achieved when construction enterprises actively fulfill their social responsibilities and the public chooses the compromise acceptance strategy. However, the above situation is a pure strategy choice when both sides of the game are emotionless. Objectively speaking, the heterogeneous combination of emotions will lead the game participants to adjust their own strategies according to the situation.
3.2. Scenario 2: The Construction Enterprise Is Emotional, and the Public Is Emotional
When the construction enterprise is emotional and the public is emotional, the sentiment parameter at this time is . Bringing the sentiment parameter into the dynamic equation of each replication, the stability analysis of the strategy portfolio at this time is shown in Table 6.

Table 6.
Stability analysis of the strategy portfolio in the construction enterprise is emotional, and the public is emotional scenario.
As can be seen from Table 6, when both the construction enterprise and the public have emotions, as can be judged by the values and traces of the matrix determinant, there is a saddle point , and the rest are unstable points. In the current situation, there is an interaction between the construction enterprise and the public holding emotions, and both have difficulty estimating each other’s behavior and making their own choices. Currently, the stability of the Nash equilibrium point of the mixed strategy is difficult to judge under the joint influence of the emotion parameters and and the uncertainty of returns.
3.3. Scenario 3: The Construction Enterprise Is Rational, and the Public Is Emotional
When the construction enterprise is rational and the public is emotional, the sentiment parameter at this time is . Bringing the sentiment parameter into the dynamic equation of each replication, the stability analysis of the strategy portfolio at this time is shown in Table 7.

Table 7.
Stability analysis of the strategy portfolio in the construction enterprise is rational, and the public is emotional scenario.
As can be seen from Table 7, when the construction enterprise is in a rational state and the public is in a pessimistic or optimistic mood, a saddle point exists as judged by the values and traces of the matrix determinant, and the rest are unstable points. The stability of the Nash equilibrium point of the hybrid strategy is difficult to judge because its sentiment index and returns are uncertain, and the results produced by different values of the variables will be different.
3.4. Scenario 4: The Construction Enterprises Is Emotional, and the Public Is Rational
When the construction enterprises is emotional and the public is emotional, the sentiment parameter at this time is . Bringing the sentiment parameter into the dynamic equation of each replication, the stability analysis of the strategy portfolio at this time is shown in Table 8

Table 8.
Stability analysis of the strategy portfolio in the construction enterprises emotion, the public rationality scenario.
As can be seen from Table 8, in such a case, the values and traces of the determinants show that there are two saddle points,,, and the rest are unstable points. For the Nash equilibrium point of the mixed strategy, its stability is difficult to judge due to the influence of the sentiment parameter , as well as the uncertainty of benefits, and different values of variables will produce different results.
4. Simulation Analysis
The preceding analysis demonstrates that the various emotions of the participants have a significant impact on the evolution of the choice of socially responsible behavior practices in construction enterprises, and the evolutionary trend of each point, as well as the evolutionary stability of the Nash equilibrium, are also affected by the size of the cost-benefit trade-off and the strength of the emotions. In this paper, numerical simulations were conducted using Matlab software to investigate evolutionary paths under various emotional combinations and emotional parameters. The specific parameters are provided in Table 9 and were determined using the gain relationship and the work of references [,,].

Table 9.
Parameter settings.
Section 3 of the article analyzes the stability of the strategy combinations in four contexts—(rational, rational), (emotional, emotional), (rational, emotional), and (emotional, rational)—based on the different emotional states of the construction companies and the public. Specifically, the emotional state of the game subjects can be further divided into optimistic and pessimistic emotions, and different emotional states have different effects on the mechanism of strategy choice. Based on the above parameter settings, the evolutionary stability of the system will be analyzed further under the nine specific scenarios—(rational, rational), (optimistic, optimistic), (pessimistic, pessimistic), (optimistic, pessimistic), (pessimistic, optimistic), (optimistic, rational), (pessimistic, rational), (rational, optimistic), (rational, optimistic), and (rational, pessimistic)—on the basis of the four aforementioned scenarios.
4.1. (Rational, Rational) State Analysis, That Is
From the evolutionary trend diagram shown in Figure 3, when construction enterprises and the public are rational, construction enterprises tend to choose the negative fulfillment of social responsibility, and the public tends to choose a compromise acceptance strategy. Both have weak awareness regarding the issue of social responsibility fulfillment. Construction enterprises tend not to fulfill it, and the public also tends not to monitor the fulfilment, doing nothing, which coincides with the current phenomenon of social responsibility deficiency in the construction industry. In this game system, construction enterprises, as a powerful group, choose the most favorable strategy based on the principle of maximizing their own interests, and the public chooses to accept the status quo after a rational analysis of the gains and losses. However, the public, as a vulnerable group, will consider all the subjective and objective factors more carefully and judge things with emotions, which makes it difficult to be completely rational.

Figure 3.
Evolution of game strategy in the (rational, rational) state.
4.2. (Optimistic, Rational) State Analysis, That Is
According to the evolution trend diagram in Figure 4, when construction enterprises and the public are optimistic, the probability of the negative social responsibility fulfillment of construction enterprises increases with the depth of optimism, and the public obviously prefers the compromise acceptance strategy. Under the effect of optimism, construction enterprises have a fluke mentality, thus magnifying the effectiveness of the compensation mechanism to appease the public and neglecting the reputation loss and group conflict events caused by the negative fulfillment of social responsibility expectations. As shown in the graph, optimism contributes to a relatively harmonious situation between both enterprises and the public, while collective protests create more uncertainties, and the subsequent discontent of some groups may cause a chain reaction and bring adverse effects to society. As a result, construction enterprises must pay close attention to citizens’ collective sentiments and improve their social responsibility practices.

Figure 4.
Evolution of game strategy in the (optimistic, optimistic) state.
4.3. (Pessimistic, Pessimistic) State Analysis, That Is
From the evolutionary trend graph shown in Figure 5, we see that when both construction enterprises and the public are pessimistic, the probability of the public choosing a compromise acceptance strategy and the construction enterprises adopting an active social responsibility strategy is stable at 0.5. As the pessimism of both sides deepens, the lack of security under pessimism leads to a set time iteration for both sides of the game to determine their options. Unlike the situation where both construction enterprises and the public are optimistic, under the effect of pessimism, construction enterprises perceive the cost of actively fulfilling social responsibility, and the lag and uncertainty of social responsibility returns. Construction firms will maintain their present decision when all advantages and losses are considered. The public will be nervous and anxious during this time due to the effectiveness of collective protest and the time cost, further molding their pessimistic psychology, and hence their willingness to accept.

Figure 5.
Evolution of game strategy in the (pessimistic, pessimistic) state.
4.4. (Optimistic, Pessimistic) State Analysis, That Is
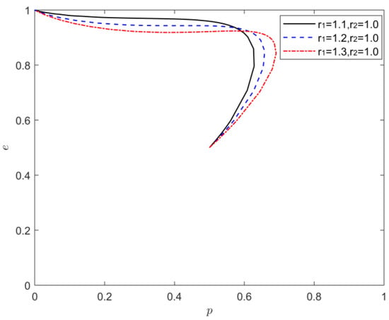
Figure 6 depicts the graph of the evolving trend of construction enterprise optimism and public pessimism. Figure 6 shows that when construction firms’ optimism is guaranteed, the probability of the strategy choice of both the active social responsibility of construction enterprises and the public compromise acceptance reduces as public pessimism deepens. By comparing the changing trends of Figure 6a–c, it can be found that when the intensity of public pessimism is constant, with the deepening degree of optimism of construction enterprises, the trajectory of the strategy evolution of both sides of the game moves from the upper left corner to the lower left corner of the coordinate area. At this point, the probability of both the construction enterprises actively fulfilling their social responsibility and the public compromise acceptance decreases. Under the impact of growing optimism, construction enterprises, with the information advantage of their group strength, believe that they can avoid the risk of project delay, suspension, and cancellation by virtue of their brand or existing reputation, thus ignoring the negative spillover effects of social responsibility deficiency. Consistent with the behavioral strategies of construction enterprises and the public, both of which are in a state of optimism, as illustrated in Figure 4, the optimism of the construction firms inhibits them from actively fulfilling their social responsibilities.


Figure 6.
Evolution of game strategy in the (optimistic, pessimistic) state. (a) Scenario 1, (b) Scenario 2, (c) Scenario 3.
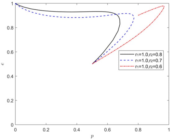
4.5. (Pessimistic, Optimistic) State Analysis, That Is
Figure 7 reflects the evolutionary trend graph of the construction enterprises’ pessimism and the public optimism. As can be seen from the figure, when public optimism is certain and as the pessimism of construction enterprises deepens, the probability of both the construction enterprises actively fulfilling their social responsibility and public compromise acceptance increases, and the system evolves toward the combined condition of (actively fulfilling social responsibility, compromise acceptance). When comparing the change trends in Figure 7a–c, it can be found that when the intensity of construction enterprises’ pessimism remains constant, the mixed strategy Nash equilibrium point moves to the upper right corner of the coordinate region and then to the lower right corner of the coordinate region as public optimism grows. This suggests that the degree of public optimism in the process of influencing the evolutionary strategy has a threshold value . When , i.e., the public is excessively optimistic, the probability of public compromise acceptance drops, and the system evolves steadily away from the optimal strategy combination of (actively fulfilling social responsibility, compromise acceptance).

Figure 7.
Evolution of game strategy in the (pessimistic, optimistic) state. (a) Scenario 1, (b) Scenario 2, (c) Scenario 3.
4.6. (Optimistic, Rational) State Analysis, That Is
Figure 8 reflects the graph of the evolutionary trend of construction enterprise optimism and public rationality. Figure 8 shows that while construction enterprises’ optimism grows, the probability of the active social responsibility of construction enterprises reduces slightly, while the rate of convergence of the evolution of construction enterprises and public strategies continues to accelerate. Construction enterprises’ optimism can hinder CSR practice activities, which is consistent with the findings in Figure 4 and Figure 6.

Figure 8.
Evolution of game strategy in the (optimistic, rational) state.
4.7. (Pessimistic, Rational) State Analysis, That Is
Figure 9 depicts the graph of the evolving trend of construction enterprise pessimism and public rationality. As shown in Figure 9, under current conditions, the probability of construction enterprises actively fulfilling their social responsibility rises and subsequently falls, and the probability of public compromise acceptance tends to almost 1. The rate of evolution of this system decreases as construction enterprises’ pessimism grows. This indicates that construction enterprises tend to fulfill their social responsibility strategy positively at the initial stage, but will eventually embrace a negative social responsibility strategy after witnessing the public strategy selection of a rational compromise acceptance attitude. Construction enterprises are currently less active in fulfilling social responsibility, and public awareness of social responsibility is not sufficient. We should increase the publicity of the importance of social responsibility, raise public awareness of social responsibility, and create a pessimistic atmosphere for enterprises, so as not to fall into the predicament of “no supervision, no action”.

Figure 9.
Evolution of game strategy in the (pessimistic, rational) state.
4.8. (Rational, Optimistic) State Analysis, That Is
Figure 10 shows the evolution of the game when the construction enterprises are completely rational, and the public is optimistic. As can be seen from Figure 10, the game does not currently form an evolutionary stable strategy, but as public optimism deepens, the probability of construction enterprises actively fulfilling their social responsibility and the probability of public compromise acceptance both continue to increase, and the evolutionary trajectory develops in the direction of Pareto optimality. When enterprises take more social responsibility and provide green products that meet public demand, they will attract more people to choose to buy them, which will also cause enterprises to see improvement in their corporate images, while simultaneously earning profits, forming a virtuous circle. The relative optimal state of the game is also reached when the social responsibility of construction enterprises is improved.

Figure 10.
Evolution of game strategy in the (rational, optimistic) state.
4.9. (Rational, Pessimistic) State Analysis, That Is
Figure 11 depicts the evolution of construction enterprises when they are rational while the public is pessimistic. As displayed in Figure 11, as public pessimism grows, the probability of public compromise acceptance rises and the rate of strategy evolution accelerates, while the probability of construction enterprises actively fulfilling their social responsibility remains at a certain level. This implies that the enterprises in the rational state have more comprehensive information, the change in emotional intensity does not cause the public to act against the interests of construction enterprises, and the enterprises do not change their strategy choices due to the public’s pessimism. It is evident that there is a dominant influence of sentiment from construction enterprises on the evolutionary trend of the gaming system.

Figure 11.
Evolution of game strategy in the (rational, pessimistic) state.
5. Conclusions
Based on the RDEU theory and evolutionary game theory, this paper incorporates the change in emotion into the consideration of the behavior strategy choice of construction enterprises and the public and discusses the behavior evolution law relating to construction enterprises adopting an active social responsibility strategy and the public adopting a compromise acceptance strategy under the influence of emotion by establishing the emotion model. There is a certain chance that both sides of the game, as finite rational persons, make rational equilibrium strategy choices, and the true equilibrium strategy choice will be deviated when sentiments change. The construction industry is one of the largest industries in the world, and its business activities have an impact on economic, environmental, and social spheres. While construction companies play an active role in economic development, they are often criticized and protested against for their irresponsible behaviors, such as neglecting the environment. Therefore, it is necessary to understand the intrinsic reasons for the lack of social responsibility in construction companies. This study chooses to start from emotional intensity, and through simulation analysis of the evolution process of nine emotional combination states, it explores the micro-influence mechanism of emotions on strategy choice, providing guidance for benign development in terms of social responsibility practice level improvement.
5.1. Research Findings
- (1)
- There is probability in the choice of a rational strategy, and strategy choice is influenced by the irrational factor of emotion. When emotional fluctuations are considered during investigating the strategy selection of game subjects, rational equilibrium strategies become probabilistic events. Perceptual bias, as well as psychological fallout, are extremely likely to cause players to misjudge the status quo and their opponent’s expected behavior, thus influencing the ultimate choice outcome.
- (2)
- Emotional intensity and emotional tendency will change the evolutionary trend of game subject strategy selection. For construction enterprises, optimism will always amplify the public’s understanding and tolerance of malpractices and generate perception bias, thus ignoring the possible negative impact of the current state of social responsibility fulfillment and restricting their social responsibility practice behavior. This finding differs from those in previous research, showing that “optimism leads to excellent outcomes” is conditional [], and optimism can moderately increase the probability of decision makers choosing positive strategies []. This further demonstrates the uniqueness of the construction industry and the deeper reasons for the lack of social responsibility in this industry. For the public, pessimism promotes the probability of choosing their negative strategies, whereas rational and optimistic states avoid contradictory and aggravated behaviors and show a positive tendency to choose response strategies. In addition, variations in the strength of emotions can trigger changes in the behavior patterns of decision makers. For example, the public in an optimistic state possesses a sensible decision-making interval, and excessive optimism will increase the probability of their participation in protests.
- (3)
- The interaction of emotional states leads to different emotional combinations that exhibit heterogeneity in strategy choice, and the emotional influence of construction enterprises on strategy tends to be more dominant. When both sides are in an emotional state, both sides of the game tend to choose the negative strategic combination (negative fulfillment of social responsibility, resolute protest). Whether it is an emotional combination of the constant optimism of construction enterprises and the deepening optimism of the public, or the constant pessimism of the public and the deepening optimism of construction enterprises, the strategy choices of the game subjects all evolve in a positive direction. When one side is rational and the other is emotional, it can change the rate of strategy evolution and the overall trend of the system. For example, when the construction enterprises are rational and the public pessimism is deepening, the evolution speed of the equilibrium strategy is accelerated, and the pessimism is no longer the endogenous motivation for public resolute protest. Therefore, the emotions of construction enterprises have a stronger influence on the strategy choice of each subject. Enterprises should also be stricter with themselves and focus on their own emotional changes while strengthening the public’s emotional supervision and diversion, which is the key to the sustainable development of enterprises and social stability.
5.2. Management Insights
According to the results of the evolutionary game model analysis, the following suggestions are made for the governance of the current social responsibility deficit of construction enterprises:
- (1)
- Construction enterprises should increase the intensity and quality of social responsibility information disclosure. The establishment of a poor image regarding construction enterprises’ inadequate social responsibility is mostly related to the lack of social responsibility disclosure. The improvement in the intensity and quality of information disclosure is beneficial for changing the situation regarding information asymmetry, increasing the public’s emotional recognition of the behavior of construction enterprises, and establishing a bridge of trust between construction enterprises and the public. This bridge encourages the public to be optimistic about enterprise building projects and to make more scientific and rational strategic choices.
- (2)
- There should be an increasing focus on guiding the public’s awareness of social supervision and increasing the sense of responsibility of the main body by publicizing the importance of social responsibility fulfillment in a scientific manner. This strategy can mobilize public interest in CSR practices, raise public understanding of the importance of participating in CSR construction, help decision makers make rational or optimistic decisions, and avoid falling into the trap of inaction that fuels deficient social responsibility behavior. The increase in the number of supervisory subjects creates a pessimistic emotional atmosphere for construction enterprises, strengthens their perception of pressure and anxiety, and increases their awareness of the necessity and non-shrinking nature of social responsibility. When pursuing their own economic interests, more concern should be given to the green growth of the environment and the healthy and stable development of society to promote the formation of a symbiotic and co-prosperous situation among construction enterprises, the public, and society.
- (3)
- Government departments play a vital role in improving the restraint and incentive mechanisms. Along with the establishment of SA8000, ISO26000, and other social responsibility related standards, the fulfillment of social responsibility has achieved specific results, but from an overall perspective, there is still a certain lack of social responsibility. At this time, relevant government departments are a desirable means of releasing social pressure and hostility, and they should play the role of a social safety valve. To encourage the fulfillment of social responsibility, both reward guidance and disciplinary restraint are required. The state can provide financial subsidies, tax reductions, and other preferential policies to enterprises who actively engage in social responsibility. Furthermore, for enterprises that perform poorly in regards to social responsibility, it is necessary for the government to breakdown institutional barriers by enacting special legislation and strengthening law enforcement. The expected increase in costs and losses will effectively reduce the emergence of construction enterprise behavior that is harmful to society’s interests.
- (4)
- It is necessary to set up a solid framework for the expression of interests and demands and to guarantee efficient routes for the transmission of public demands. The public in general lacks institutionalized avenues to participate and communicate their concerns concerning environmental governance policy formulation and execution, which frequently leads to the escalation of unhappiness []. An efficient and smooth information transmission channel can eliminate misunderstandings caused by delayed feedback of public interest demands, and it can also monitor and assess all parties’ emotional reactions and changes in real time, allowing the public’s negative emotions to be channeled in a timely manner, avoiding the breeding and spreading of pessimistic emotions such as suspicion, anxiety, and nervousness. The reasonable venting of negative emotions can better ensure participants’ rational tendency to solve problems and seek breakthroughs through other means rather than starting large protests.
5.3. Shortcomings and Prospects
This paper constructs an evolutionary model involving construction enterprises and the public and quantifies and integrates emotions, an irrational factor, into this game system, investigating the dynamic effects of changes in emotional intensity on the strategy choices of game participants. In fact, the stakeholders involved in the problem of social responsibility fulfillment are not only construction enterprises and the public. Future research will consider the government or specific regulatory departments as game subjects and explore their interactive behaviors with construction enterprises. Furthermore, based on the existing game system, a three-party game model can be further developed to investigate in depth the influence of emotions on the behavioral decisions of subjects related to social responsibility practices.
Author Contributions
All authors contributed to the study’s conception and design. Material preparation, review, and editing were performed by S.W., X.D. (Xiaopeng Deng), Z.Z., N.Z. and H.M. The first draft of the manuscript was written by X.D. (Xiaoxu Dang); all authors commented on previous versions of the manuscript. All authors have read and agreed to the published version of the manuscript.
Funding
This research is funded by the National Natural Science Foundation of China (NSFC-72171048, NSFC-71771052, and NSFC-72101053) and the Shaanxi Provincial Department of Transportation Scientific Research Project (Grant No. 20–07R).
Conflicts of Interest
The authors declare no conflict of interest.
References
- Seneviratne, S.I.; Donat, M.G.; Pitman, A.J.; Knutti, R.; Wilby, R.L. Allowable CO2 emissions based on regional and impact-related climate targets. Nature 2016, 529, 477–483. [Google Scholar] [CrossRef] [PubMed]
- Zhou, N.; Khanna, N.; Feng, W.; Ke, J.; Levine, M. Scenarios of energy efficiency and CO2 emissions reduction potential in the buildings sector in China to year 2050. Nat. Energy 2018, 3, 978–984. [Google Scholar] [CrossRef]
- Wang, K.; Pan, H.Y.; Zhang, T.J.; Wang, H.T. Experimental study on the radial vibration characteristics of a coal briquette in each stage of its life cycle under the action of CO2 gas explosion. Fuel 2022, 320, 123922. [Google Scholar] [CrossRef]
- Mallapaty, S. How china could be carbon neutral by mid-century. Nature 2020, 586, 482–483. [Google Scholar] [CrossRef] [PubMed]
- Xu, Y.; Xu, Z.; Zhou, Y.; Su, C.; Guo, L. Interactions between carbon prices and the construction industry in China: Evidence based on Network-SVAR. Build. Environ. 2022, 215, 108936. [Google Scholar] [CrossRef]
- Lin, B.; Liu, H. CO2 mitigation potential in China’s building construction industry: A comparison of energy performance. Build. Environ. 2015, 94, 239–251. [Google Scholar] [CrossRef]
- Shi, Q.; Chen, J.; Shen, L. Driving factors of the changes in the carbon emissions in the Chinese construction industry. J. Clean. Prod. 2017, 166, 615–627. [Google Scholar] [CrossRef]
- Huo, T.; Ren, H.; Zhang, X.; Cai, W.; Feng, W.; Zhou, N.; Wang, X. China’s energy consumption in the building sector: A Statistical Yearbook-Energy Balance Sheet based splitting method. J. Clean. Prod. 2018, 185, 665–679. [Google Scholar] [CrossRef]
- Huo, T.; Ma, Y.; Cai, W.; Liu, B.; Mu, L. Will the urbanization process influence the peak of carbon emissions in the building sector? A dynamic scenario simulation. Energy Build. 2021, 232, 110590. [Google Scholar] [CrossRef]
- Zhang, S.; Xiang, X.; Ma, Z.; Ma, M.; Zou, C. Carbon Neutral Roadmap of Commercial Building Operations by Mid-Century: Lessons from China. Buildings 2021, 11, 510. [Google Scholar] [CrossRef]
- Chen, M.; Ma, M.; Lin, Y.; Ma, Z.; Li, K. Carbon Kuznets curve in China’s building operations: Retrospective and prospective trajectories. Sci. Total Environ. 2022, 803, 150104. [Google Scholar] [CrossRef]
- Jiang, W.; Wong, J.K.W. Key activity areas of corporate social responsibility (CSR) in the construction industry: A study of China. J. Clean. Prod. 2016, 113, 850–860. [Google Scholar] [CrossRef]
- Ante, A.H.G. What we know and don’t know about corporate social responsibility: A review and research agenda. J. Manag. 2012, 38, 932–968. [Google Scholar] [CrossRef]
- Cruz, J.M. Modeling the relationship of globalized supply chains and corporate social responsibility. J. Clean. Prod. 2013, 56, 73–85. [Google Scholar] [CrossRef]
- Peng, W.; Xin, B.; Kwon, Y. Optimal Strategies of Product Price, Quality, and Corporate Environmental Responsibility. Int. J. Environ. Res. Public Health 2019, 16, 4704. [Google Scholar] [CrossRef]
- Lee, S.-H.; Park, C.-H. Eco-Firms and the Sequential Adoption of Environmental Corporate Social Responsibility in the Managerial Delegation. BE J. Theor. Econ. 2017, 19, 20170043. [Google Scholar] [CrossRef]
- Han, H.; Yu, J.; Kim, W. Environmental corporate social responsibility and the strategy to boost the airline’s image and customer loyalty intentions. J. Travel Tour. Mark. 2019, 36, 371–383. [Google Scholar] [CrossRef]
- Wang, L.W.X. State-enterprise relation, local economic priority, and corporate environmental responsibility. Appl. Econ. 2019, 51, 995–1009. [Google Scholar] [CrossRef]
- Ruan, R.B.; Chen, W.; Zhu, Z.P. Research on the relationship between environmental corporate social responsibility and green innovative behavior: The moderating effect of moral identity. Environ. Sci. Pollut. Res. 2022, 29, 52189–52203. [Google Scholar] [CrossRef]
- Jamali, D. A Stakeholder Approach to Corporate Social Responsibility: A Fresh Perspective into Theory and Practice. J. Bus. Ethics 2008, 82, 213–231. [Google Scholar] [CrossRef]
- Rahman, N.; Post, C. Measurement Issues in Environmental Corporate Social Responsibility (ECSR): Toward a Transparent, Reliable, and Construct Valid Instrument. J. Bus. Ethics 2012, 105, 307–319. [Google Scholar] [CrossRef]
- Xia, B.; Olanipekun, A.; Chen, Q.; Xie, L.; Liu, Y. Conceptualising the state of the art of corporate social responsibility (CSR) in the construction industry and its nexus to sustainable development. J. Clean. Prod. 2018, 195, 340–353. [Google Scholar] [CrossRef]
- Shu, T.; Liu, Q.; Chen, S.; Wang, S.; Lai, K.K. Pricing Decisions of CSR Closed-Loop Supply Chains with Carbon Emission Constraints. Sustainability 2018, 10, 4430. [Google Scholar] [CrossRef]
- Koseoglu, M.A.; Yick, M.Y.Y.; Parnell, J.A. The dissemination of corporate social responsibility into the intellectual structure of strategic management. J. Clean. Prod. 2021, 311, 127505. [Google Scholar] [CrossRef]
- Auger, P.; Burke, P.; Devinney, T.M.; Louviere, J.J. What will consumers pay for social product features? J. Bus. Ethics 2003, 42, 281–304. [Google Scholar] [CrossRef]
- Bolton, L.E.; Mattila, A.S. How Does Corporate Social Responsibility Affect Consumer Response to Service Failure in Buyer–Seller Relationships? J. Retail. 2015, 91, 140–153. [Google Scholar] [CrossRef]
- Liu, Z.; Anderson, T.D.; Cruz, J.M. Consumer environmental awareness and competition in two-stage supply chains. Eur. J. Oper. Res. 2011, 218, 602–613. [Google Scholar] [CrossRef]
- Bai, Q.; Chen, M.; Nikolaidis, Y.; Xu, J. Improving sustainability and social responsibility of a two-tier supply chain investing in emission reduction technology. Appl. Math. Model. 2021, 95, 688–714. [Google Scholar] [CrossRef]
- Shen, L.-Y.; Tam, V.W.Y.; Tam, L.; Ji, Y.-B. Project feasibility study: The key to successful implementation of sustainable and socially responsible construction management practice. J. Clean. Prod. 2009, 18, 254–259. [Google Scholar] [CrossRef]
- Xiong, B.; Lu, W.; Skitmore, M.; Chau, K.W.; Ye, M. Virtuous nexus between corporate social performance and financial performance: A study of construction enterprises in China. J. Clean. Prod. 2016, 129, 223–233. [Google Scholar] [CrossRef]
- Lu, W.; Ye, M.; Chau, K.W.; Flanagan, R. The paradoxical nexus between corporate social responsibility and sustainable financial performance: Evidence from the international construction business. Corp. Soc. Responsib. Environ. Manag. 2018, 25, 844–852. [Google Scholar] [CrossRef]
- Somachandra, W.; Sylva, K.K.K.; Bandara, C.S.; Dissanayake, P.B.R. Corporate social responsibility (CSR) practices in the construction industry of Sri Lanka. Int. J. Constr. Manag. 2022, 1–9. [Google Scholar] [CrossRef]
- Lien, C.-F.H.H.-C. An empirical analysis of the influences of corporate social responsibility on organizational performance of Taiwan’s construction industry: Using corporate image as a mediator. Constr. Manag. Econ. 2012, 30, 263–275. [Google Scholar] [CrossRef]
- Zhao, Z.-Y.; Zhao, X.-J.; Davidson, K.; Zuo, J. A corporate social responsibility indicator system for construction enterprises. J. Clean. Prod. 2012, 29–30, 277–289. [Google Scholar] [CrossRef]
- Zou, P.X.W.; Couani, P. Managing risks in green building supply chain. Archit. Eng. Des. Manag. 2012, 8, 143–158. [Google Scholar] [CrossRef]
- Bernaciak, A.; Halaburda, M.; Bernaciak, A. The Construction Industry as the Subject of Implementing Corporate Social Responsibility (the Case of Poland). Sustainability 2021, 13, 9728. [Google Scholar] [CrossRef]
- Huang, C.F.; Lu, W.H.; Lin, T.T.; Wu, E.J. The current conditions of csr implementation in construction industry: A lesson from taiwan. Appl. Ecol. Environ. Res. 2017, 15, 67–80. [Google Scholar] [CrossRef]
- Wang, X.P.; Zhang, C.; Deng, J.; Su, C.; Gao, Z.Z. Analysis of Factors Influencing Miners’ Unsafe Behaviors in Intelligent Mines using a Novel Hybrid MCDM Model. Int. J. Environ. Res. Public Health 2022, 19, 7368. [Google Scholar] [CrossRef]
- Chou, J.-S.; Yeh, K.-C. Life cycle carbon dioxide emissions simulation and environmental cost analysis for building construction. J. Clean. Prod. 2015, 101, 137–147. [Google Scholar] [CrossRef]
- Spence, R.; Mulligan, H. Sustainable development and the construction industry. Habitat Int. 1995, 19, 279–292. [Google Scholar] [CrossRef]
- Ma, Z.; Chen, J.; Tian, G.; Gong, Y.; Guo, B.; Cheng, F. Regulations on the corporate social irresponsibility in the supply chain under the multiparty game: Taking China’s organic food supply chain as an example. J. Clean. Prod. 2021, 317, 128459. [Google Scholar] [CrossRef]
- Zhao, X.; Zhao, H. Dynamic game analysis of hybrid strategy of enterprise fulfilling social responsibility. Int. J. Electr. Eng. Educ. 2020, 1–9. [Google Scholar] [CrossRef]
- Liu, Y.; Quan, B.-T.; Xu, Q.; Forrest, J.Y.-L. Corporate social responsibility and decision analysis in a supply chain through government subsidy. J. Clean. Prod. 2019, 208, 436–447. [Google Scholar] [CrossRef]
- Zhang, Z.; Wang, X.; Su, C.; Sun, L. Evolutionary Game Analysis of Shared Manufacturing Quality Synergy under Dynamic Reward and Punishment Mechanism. Appl. Sci. 2022, 12, 6792. [Google Scholar] [CrossRef]
- Gross, J.J. Emotion Regulation: Current Status and Future Prospects. Psychol. Inq. 2015, 26, 1–26. [Google Scholar] [CrossRef]
- Elster, J. Emotions and Economic Theory. J. Econ. Lit. 1998, 36, 47–74. [Google Scholar] [CrossRef]
- Bandyopadhyay, D.; Pammi, V.S.C.; Srinivasan, N. Role of affect in decision making. Prog. Brain Res. 2013, 202, 37–53. [Google Scholar] [CrossRef] [PubMed]
- Chateauneuf, A.; Cohen, M.; Meilijson, I. More Pessimism than Greediness: A Characterization of Monotone Risk Aversion in the Rank-Dependent Expected Utility Model. Econ. Theory 2005, 25, 649–667. [Google Scholar] [CrossRef]
- Quiggin, J. Comparative Statics for Rank-Dependent Expected Utility Theory. J. Risk Uncertain. 1991, 4, 339–350. [Google Scholar] [CrossRef]
- Hong, K.; Zou, Y.; Zhang, Y.; Duan, K. The Weapon of the Weak: An Analysis of RDEU Game in the Conflict of Farmland Expropriation under the Influence of Emotion. Sustainability 2020, 12, 3367. [Google Scholar] [CrossRef]
- Ni, S.; Zou, S.; Chen, J. Evolutionary Game Model of Internal Threats to Nuclear Security in Spent Fuel Reprocessing Plants Based on RDEU Theory. Sustainability 2022, 14, 2163. [Google Scholar] [CrossRef]
- Xiaole, W.; Shuwen, X.; Qianqian, L.; Yuanwei, D. Evolutionary policy of trading of blue carbon produced by marine ranching with media participation and government supervision. Mar. Policy 2020, 124, 104302. [Google Scholar] [CrossRef]
- Fu, J.; Geng, Y. Public participation, regulatory compliance and green development in China based on provincial panel data. J. Clean. Prod. 2019, 230, 1344–1353. [Google Scholar] [CrossRef]
- Wu, L.; Ma, T.; Bian, Y.; Li, S.; Yi, Z. Improvement of regional environmental quality: Government environmental governance and public participation. Sci. Total Environ. 2020, 717, 137265. [Google Scholar] [CrossRef]
- Koo, J.E.; Ki, E.S. Corporate Social Responsibility and Employee Safety: Evidence from Korea. Sustainability 2020, 12, 2649. [Google Scholar] [CrossRef]
- Nunes, M.F.; Park, C.L.; Shin, H. Corporate social and environmental irresponsibilities in supply chains, contamination, and damage of intangible resources: A behavioural approach. Int. J. Prod. Econ. 2021, 241, 108275. [Google Scholar] [CrossRef]
- He, G.; Mol, A.P.J.; Lu, Y. Public protests against the Beijing-Shenyang high-speed railway in China. Transp. Res. Part D-Transp. Environ. 2016, 43, 1–16. [Google Scholar] [CrossRef]
- John, Q. A theory of anticipated utility. J. Econ. Behav. Organ. 1982, 3, 323–343. [Google Scholar] [CrossRef]
- Machina, M.J. Choice Under Uncertainty: Problems Solved and Unsolved. J. Econ. Perspect. 1987, 1, 121–154. [Google Scholar] [CrossRef]
- Diecidue, E.; Wakker, P.P. On the Intuition of Rank-Dependent Utility. J. Risk Uncertain. 2001, 23, 281–298. [Google Scholar] [CrossRef]
- Guo, D.; Chen, H.; Long, R. How to involve individuals in personal carbon trading? A game model taking into account the heterogeneous emotions of government and individuals. Nat. Hazards 2019, 95, 419–435. [Google Scholar] [CrossRef]
- Liu, J.; Lyu, Y.; Zhao, H.; Chen, J. Game analysis of nuclear wastewater discharge under different attitudes: Seeking a potential equilibrium solution. Sci. Total Environ. 2021, 801, 149762. [Google Scholar] [CrossRef] [PubMed]
- Starmer, C. Developments in Non-Expected Utility Theory: The Hunt for a Descriptive Theory of Choice under Risk. J. Econ. Lit. 2000, 38, 332–382. [Google Scholar] [CrossRef]
- Lyapunov, A.M. The general problem of the stability of motion. Int. J. Control. 1992, 55, 531–534. [Google Scholar] [CrossRef]
- Hartl, B.; Sabitzer, T.; Hofmann, E.; Penz, E. Sustainability is a nice bonus the role of sustainability in carsharing from a consumer perspective. J. Clean. Prod. 2018, 202, 88–100. [Google Scholar] [CrossRef]
- Zhang, Z.; Wang, X.; Su, C.; Sun, L. Evolutionary Game Analysis of Shared Manufacturing Quality Innovation Synergetic Behavior Considering a Subject’s Heterogeneous Emotions. Processes 2022, 10, 1233. [Google Scholar] [CrossRef]
Publisher’s Note: MDPI stays neutral with regard to jurisdictional claims in published maps and institutional affiliations. |
© 2022 by the authors. Licensee MDPI, Basel, Switzerland. This article is an open access article distributed under the terms and conditions of the Creative Commons Attribution (CC BY) license (https://creativecommons.org/licenses/by/4.0/).