Numerical Simulation of Hydraulic Fracturing and Penetration Law in Continental Shale Reservoirs
Abstract
1. Preface
2. Mathematical Model
2.1. Fluid-Structure Interaction Governing Equation
2.2. Criteria for Crack Initiation and Propagation
2.3. Fluid Flow Equation in Fractures
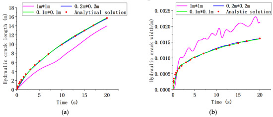
3. Model Validation
4. Analysis of Influencing Factors of Hydraulic Fractures through Layer Propagation
4.1. Model Establishment and Parameters
4.2. Influence of Formation Parameters
4.2.1. Bonding Strength of Interlayer Interface
4.2.2. Vertical Stress Difference
4.2.3. Interlayer Stress Difference
4.2.4. Poor Tensile Strength
4.2.5. Elastic Modulus Difference
4.3. Influence of Construction Parameters
4.3.1. Fracturing Fluid Viscosity
4.3.2. Injection Displacement
4.4. Primary and Secondary Relationship of Key Influencing Factors
5. Engineering Applications
6. Conclusions
- (1)
- Based on the finite element and cohesive element method, a fluid-solid coupling model of continental shale hydraulic fractures spreading through layers was established, and the accuracy of the model was verified by comparing it with analytical solutions and experimental laboratory results. Based on this model, single-factor and orthogonal test analysis methods are used to reveal the control mechanism and law of various geological and engineering parameters on the propagation behavior of hydraulic fractures;
- (2)
- The hindered mechanism of hydraulic fracture propagation through layers is: (1) The shear slip at the interlayer interface changes the vertical expansion path of hydraulic fractures, limiting the growth of fracture height; (2) The width of hydraulic fractures is large, which weakens the ability of fracture height to expand. The larger the interlayer interface strength, the larger the vertical stress difference, the smaller the interlayer stress difference, the smaller the tensile strength difference, the larger the elastic modulus difference, and the larger the fracturing fluid viscosity. The larger the injection displacement, the more favorable it is for the hydraulic fracture to achieve through-layer expansion. The primary and secondary order of the influence degree of each factor is: shear strength of interlayer interface > interlayer stress difference/tensile strength difference > fracturing fluid viscosity > vertical stress difference > injection displacement > elastic modulus;
- (3)
- Based on this model, engineering application research has been carried out to guide the construction parameter design of the example well. It is recommended that the injection displacement during the early construction should not be less than 3 m3/min, and the fracturing viscosity should not be less than 45 mPa·s. The field application effect is good, realizing the purpose of cross-layer fracturing transformation, which shows that the model in this paper has high engineering application value.
Author Contributions
Funding
Acknowledgments
Conflicts of Interest
References
- Hammes, U.; Frébourg, G. Haynesville and Bossier mudrocks: A facies and sequence stratigraphic investigation, East Texas and Louisiana, USA. Mar. Pet. Geol. 2012, 31, 8–26. [Google Scholar] [CrossRef]
- Loucks, R.G.; Ruppel, S.C. Mississippian Barnett Shale: Lithofacies and depositional setting of a deep-water shale-gas succession in the Fort Worth Basin, Texas. AAPG Bull. 2007, 91, 579–601. [Google Scholar] [CrossRef]
- Wang, G.; Cheng, G.; Carr, T.R. The application of improved NeuroEvolution of Augmenting Topologies neural network in Marcellus Shale lithofacies prediction. Comput. Geosci. 2013, 54, 50–65. [Google Scholar] [CrossRef]
- Dong, D.; Zou, C.; Yang, H.; Wang, Y.; Li, X.; Chen, G.; Wang, S.; Lv, Z.; Huang, Y. Shale gas resource potential and exploration and development prospect. Geol. Bull. 2011, 30, 324–336. [Google Scholar]
- Li, S.; Qiao, D.; Feng, Z.; Liu, L.; Wang, Q.; Nie, H. The current situation of shale gas exploration and development in the world and its enlightenment to China. Geol. Bull. 2010, 29, 918–924. [Google Scholar]
- Yassine, K. The US shale gas revolution: An opportunity for the US manufacturing sector? Int. Econ. 2021, 167, 59–77. [Google Scholar]
- Zhao, J.; Xu, W.; Li, Y.; Hu, J.; Li, J. A new method for the evaluation of compressibility of shale gas reservoirs. Nat. Gas Geosci. 2015, 26, 1165–1172. [Google Scholar]
- Zhao, J.; Ren, L.; Jiang, T.; Hu, D.; Wu, L.; Wu, J.; Yin, C.; Li, Y.; Hu, Y.; Lin, R.; et al. Ten Years of Shale Gas Fracturing in China: A Review and Outlook. Nat. Gas Ind. 2021, 41, 121–142. [Google Scholar]
- Wang, R.; Hu, Z.; Liu, J.; Wang, X.; Gong, D.; Yang, T. Comparison of fracture development characteristics and main controlling factors of marine and continental shale in southern China: A case study of lower Cambrian in the Cengong region of northern Qianbei. Oil Gas Geol. 2018, 39, 631–640. [Google Scholar]
- Jabbary, A.; Arnesa, S.R.; Samanipour, H.; Ahmadi, N. Numerical investigation of 3D rhombus designed PEMFC on the cell performance. Int. J. Green Energy 2021, 18, 425–442. [Google Scholar] [CrossRef]
- Yaghmourali, Y.V.; Ahmadi, N.; Abbaspour-Sani, E. A thermal-calorimetric gas flow meter with improved isolating feature. Microsyst. Technol. 2017, 23, 1927–1936. [Google Scholar] [CrossRef]
- Khormali, A.; Sharifov, A.R.; Torba, D.I. The control of asphaltene precipitation in oil wells. Pet. Sci. Technol. 2018, 36, 443–449. [Google Scholar] [CrossRef]
- Khormali, A.; Sharifov, A.R.; Torba, D. Experimental and modeling analysis of asphaltene precipitation in the near wellbore region of oil wells. Pet. Sci. Technol. 2018, 36, 1030–1036. [Google Scholar] [CrossRef]
- Zhang, Y.; Zhang, S.; Liu, Y.; Lu, L.; Liu, B.; Song, G.; Ma, X. Experimental study on the expansion law of hydraulic cracks in coal rock. J. China Coal Soc. 2012, 37, 73–77. [Google Scholar]
- Meng, S.; Li, Y.; Wang, J.; Gu, G.; Wang, Z.; Xu, X. Experimental study on fracturing fracture expansion mold of coal “three gas” co-production layer group. J. China Coal Soc. 2016, 41, 221–227. [Google Scholar]
- Gao, J.; Hou, B.; Tan, P.; Guo, X.; Chang, Z. Propagation mechanism of hydrocrack penetration between sand and coal interlayers. J. China Coal Soc. 2017, 42, 428–433. [Google Scholar]
- Fu, H.; Wang, Z.; Xu, Y.; Liu, Y.; Xiu, N.; Yan, Y.; Guan, B. Simulation study of vertical extension of full three-dimensional hydraulic fractures. In Proceedings of the 2018 National Natural Gas Academic Annual Conference (04 Engineering Technology), Fu Zhou, China, 14 November 2018. [Google Scholar]
- Jiang, Z.; Li, Z.; Fang, L.; Fan, Z. Propagation mechanism of segmented through-lamination fracture fractures in horizontal wells with roof plates adjacent to crushed soft coal seams. J. China Coal Soc. 2020, 45, 922–931. [Google Scholar]
- Fu, S.; Hou, B.; Xia, Y.; Chen, M.; Tan, P.; Luo, R. Experimental study on fracture propagation of integrated fracturing in multi-rocky combined layered reservoirs. J. China Coal Soc. 2021, 46, 377–384. [Google Scholar]
- Ma, K.; Wang, L.; Xu, W.; Zhao, Y.; Yuan, Y.; Chen, X.; Zhang, F. Physical simulation of lacustral hydraulic fracturing fracture penetration propagation law of lacustrine shale. China Sciencepaper 2021, 1, 1–7. Available online: http://kns.cnki.net/kcms/detail/10.1033.N.20210926.1041.002.html (accessed on 26 September 2021).
- Zhang, X.; Jeffrey, R.G. Fluid-driven multiple fracture growth from a permeable bedding plane intersected by an ascending hydraulic fracture. J. Geophys. Res. Solid Earth 2012, 117, B12402. [Google Scholar] [CrossRef]
- Xie, J.; Tang, J.; Yong, R.; Fan, Y.; Zuo, L.; Chen, X.; Li, Y. A 3D hydraulic fracture propagation model applied for shale gas reservoirs with multiple bedding planes. Eng. Fract. Mech. 2020, 228, 106872. [Google Scholar] [CrossRef]
- Li, Y.; Deng, J.; Wei, B.; Liu, W.; Chen, J. The influence of reservoir/compartment rock and interlayer interface properties on high pressure fractures. Pet. Drill. Tech. 2014, 42, 80–86. [Google Scholar]
- Tan, P. Study on the Mechanical Behavior of Vertical Propagation of Hydraulic Fractures in Multi-Rocky Combined Strata Reservoirs; China University of Petroleum: Beijing, China, 2019. [Google Scholar]
- Sun, C.; Zheng, H.; Liu, W.D.; Lu, W. Numerical simulation analysis of vertical propagation of hydraulic fracture in bedding plane. Eng. Fract. Mech. 2020, 232, 107056. [Google Scholar] [CrossRef]
- Abbas, S.; Gordeliy, E.; Peirce, A.; Lecampion, B.; Chuprakov, D.; Prioul, R. Limited height growth and reduced opening of hydraulic fractures due to fracture offsets: An XFEM application. In Proceedings of the SPE Hydraulic Fracturing Technology Conference, The Woodlands, TX, USA, 4–6 February 2014. [Google Scholar]
- Fu, H.; Cai, B.; Geng, M.; Jia, A.; Weng, D.; Liang, T.; Zhang, F.; Wen, X.; Xiu, N. Three-dimensional simulation of hydraulic fracture propagation based on vertical reservoir heterogeneity. Nat. Gas Ind. 2022, 42, 56–68. [Google Scholar]
- Zhang, F.; Wu, J.; Huang, H.; Wang, X.; Luo, H.; Yue, W.; Hou, B. Optimization of process parameters to increase the complexity of deep shale fracture propagation. Nat. Gas Ind. 2021, 41, 125–135. [Google Scholar]
- Wang, H.; Liu, H.; Zhang, J.; Wu, H.; Wang, X. Numerical simulation study on the influence of joint height control parameters of hydraulic cracks. J. Univ. Sci. Technol. China 2011, 41, 820–825. [Google Scholar]
- Detournay, E. Propagation regimes of fluid-driven fractures in impermeable rocks. Int. J. Geomech. 2004, 4, 35–45. [Google Scholar] [CrossRef]
- Renshaw, C.E.; Pollard, D.D. An experimentally verified criterion for propagation across unbounded frictional interfaces in brittle, linear elastic materials. Int. J. Rock Mech. Min. Sci. 1995, 32, 237–249. [Google Scholar] [CrossRef]
- Gu, H.; Siebrits, E. Effect of formation modulus contrast on hydraulic fracture height containment. SPE Prod. Oper. 2008, 23, 170–176. [Google Scholar] [CrossRef]
- Yao, Y.; Wang, W.; Keer, L.M. An energy based analytical method to predict the influence of natural fractures on hydraulic fracture propagation. Eng. Fract. Mech. 2018, 189, 232–245. [Google Scholar] [CrossRef]
- Chen, Z.; Jeffrey, R.G.; Zhang, X.; Kear, J. Finite-element simulation of a hydraulic fracture interacting with a natural fracture. SPE J. 2017, 22, 219–234. [Google Scholar] [CrossRef]
- Liu, R.; Zhang, Y.; Wen, C.; Tang, J. Orthogonal experiment design and analytical method research. Exp. Technol. Manag. 2010, 27, 52–55. [Google Scholar]








| Elastic Modulus/ GPa | Poisson’s Ratio | Viscosity/ (mPa·s) | Fracture Toughness/(MPa∙m1/2) | Displacement/ (m2/s) |
|---|---|---|---|---|
| 15 | 0.2 | 1 | 4 | 0.001 |
| Specimen Number | σh/σH/σv/ (MPa) | Displacement/ (mL/min) | Viscosity/ (mPa·s) | Elastic Modulus/ Gpa | Fracture Toughness/(Mpa·m1/2) |
|---|---|---|---|---|---|
| RG-1 | 8/20/20 | 60 | 5 | 7.1/13.2/7.1/ | 0149/0.225/0.149/ |
| RG-2 | 8/20/20 | 60 | 50 | 16/7.1 | 0.376/0.149 |
| Parameter Type | Specific Parameters | Reservoir/Interlayer | Interlayer Program |
|---|---|---|---|
| formation rock | Elastic Modulus/GPa | 20 | / |
| Poisson’s ratio | 0.2 | / | |
| Permeability/mD | 5 | / | |
| Minimum horizontal crustal stress/Mpa | 35 | / | |
| Maximum horizontal crustal stress/Mpa | 45 | / | |
| Vertical geostress/Mpa | 39 | / | |
| pore pressure/Mpa | 27 | / | |
| Fluid density/(N/m3) | 9800 | / | |
| Cohesive elements | Rigidity/(Gpa/m) | 20,000 | 20,000 |
| Tensile strength/Mpa | 4 | 2 | |
| Shear strength/Mpa | 40 | 3.6 | |
| Filtration coefficient/(m3·Pa−1·s−1) | 10−14 | ||
| Damage displacement/mm | 0.03 | 0.03 | |
| Construction parameters | Displacement/(m3/s) | 3 | |
| Viscosity/(mPa·s) | 50 | ||
| Program | Vertical Stress Difference/MPa | Shear Strength of Interlayer Interface/MPa | Extension Resistance Difference/MPa | Viscosity/(mPa·s) | Half Seam Height/m |
|---|---|---|---|---|---|
| 1 | 2 | 2 | 0 | 10 | 20 |
| 2 | 2 | 4 | 4 | 30 | |
| 3 | 2 | 6 | 2 | 50 | 27.8 |
| 4 | 4 | 2 | 4 | 50 | 20 |
| 5 | 4 | 4 | 2 | 10 | 20 |
| 6 | 4 | 6 | 0 | 30 | 32.2 |
| 7 | 6 | 2 | 2 | 30 | 20 |
| 8 | 6 | 4 | 0 | 50 | 31.4 |
| 9 | 6 | 6 | 4 | 10 | 26.4 |
| Factor Level | Average Value of Hydraulic Fracture Height under Different Influence Factors/m | |||
|---|---|---|---|---|
| Vertical Stress Difference | Shear Strength of Interlayer Interface | Extension Resistance Difference | Viscosity | |
| I | IIA = 22.6 | IIB = 20 | IIC = 27.87 | IID = 22.13 |
| II | IIIA = 24.07 | IIIB = 23.8 | IIIC = 22.6 | IIID = 24.07 |
| III | IIIIA = 25.93 | IIIIB = 28.8 | IIIIC = 22.13 | IIIID = 26.4 |
| Very poor crack height | TA = 3.33 | TB = 8.8 | TC = 5.74 | TD = 4.27 |
| Strata Serial Number | Formation Thickness/m | Elastic Modulus/GPa | Poisson’s Ratio | Tensile Strength/Mpa | Crustal Stress/Mpa | ||
|---|---|---|---|---|---|---|---|
| Minimum Horizontal Crustal Stress | Vertical Crustal Stress | Maximum Horizontal Crustal Stress | |||||
| ⑦ | 19 | 15 | 0.25 | 5 | 63 | 69 | 71 |
| ⑥ | 8 | 15 | 0.25 | 4 | 62 | 69.2 | 71.5 |
| ⑤ | 6.5 | 28 | 0.1 | 8 | 66 | 69.4 | 72 |
| ④ | 6.5 | 18 | 0.2 | 2 | 60 | 69.8 | 72 |
| ③ up | 3 | 25 | 0.12 | 6 | 64 | 70 | 73 |
| ③ down | 3.5 | 23 | 0.13 | 4 | 62 | 70.2 | 73 |
| ② | 8.5 | 20 | 0.14 | 4.5 | 63 | 70.4 | 74 |
| ① | 6.5 | 22 | 0.13 | 5 | 64 | 70.8 | 74.5 |
Publisher’s Note: MDPI stays neutral with regard to jurisdictional claims in published maps and institutional affiliations. |
© 2022 by the authors. Licensee MDPI, Basel, Switzerland. This article is an open access article distributed under the terms and conditions of the Creative Commons Attribution (CC BY) license (https://creativecommons.org/licenses/by/4.0/).
Share and Cite
Zhao, Y.; Wang, L.; Ma, K.; Zhang, F. Numerical Simulation of Hydraulic Fracturing and Penetration Law in Continental Shale Reservoirs. Processes 2022, 10, 2364. https://doi.org/10.3390/pr10112364
Zhao Y, Wang L, Ma K, Zhang F. Numerical Simulation of Hydraulic Fracturing and Penetration Law in Continental Shale Reservoirs. Processes. 2022; 10(11):2364. https://doi.org/10.3390/pr10112364
Chicago/Turabian StyleZhao, Yanxin, Lei Wang, Kuo Ma, and Feng Zhang. 2022. "Numerical Simulation of Hydraulic Fracturing and Penetration Law in Continental Shale Reservoirs" Processes 10, no. 11: 2364. https://doi.org/10.3390/pr10112364
APA StyleZhao, Y., Wang, L., Ma, K., & Zhang, F. (2022). Numerical Simulation of Hydraulic Fracturing and Penetration Law in Continental Shale Reservoirs. Processes, 10(11), 2364. https://doi.org/10.3390/pr10112364
