Effects of Hydration during Drilling on Fracability of Shale Oil Formations: A Case Study of Da’anzhai Section Reservoir in Sichuan Basin, China
Abstract
:Highlights
- The compressive strength of dry rock samples and soaked rock samples were tested by triaxial mechanical experiments.
- According to the stress-strain curves, the changes of compressive strength, elastic modulus and Poisson’s ratio before and after hydration were analyzed.
- Fracability index is proportional to brittleness index and horizontal differential stress, and inversely proportional to fracture toughness.
- Young ’s modulus, Poisson’s ratio and tensile strength in fracability index model are related to rock water saturation, so the fracturing index is also related to rock hydration.
- As the water saturation rate of the rock gradually decreases, the FI of the formation rock de-creases
- Combined with the variation law of water saturation rate, it shows that after the shale around the well is hydrated, the fracture pressure of the formation decreases
Abstract
1. Introduction
2. Shale Mechanics Experiment
2.1. Sample Preparation
2.2. Methodology
2.3. Test Results and Analysis
3. Fracability Evaluation Method Considering Hydration
3.1. Fracability Index Model
3.2. Analysis of the Law of Water Phase Intrusion into Shale Oil Reservoirs
- Shale oil reservoirs are hydrophilic and isotropic;
- During drilling fluid intrusion into shale oil layer, the fluid viscosity and volume coefficient remain unchanged;
- During the whole two-phase flow process, the gravity effect is not considered, and the oil and water are immiscible when in contact with each other.
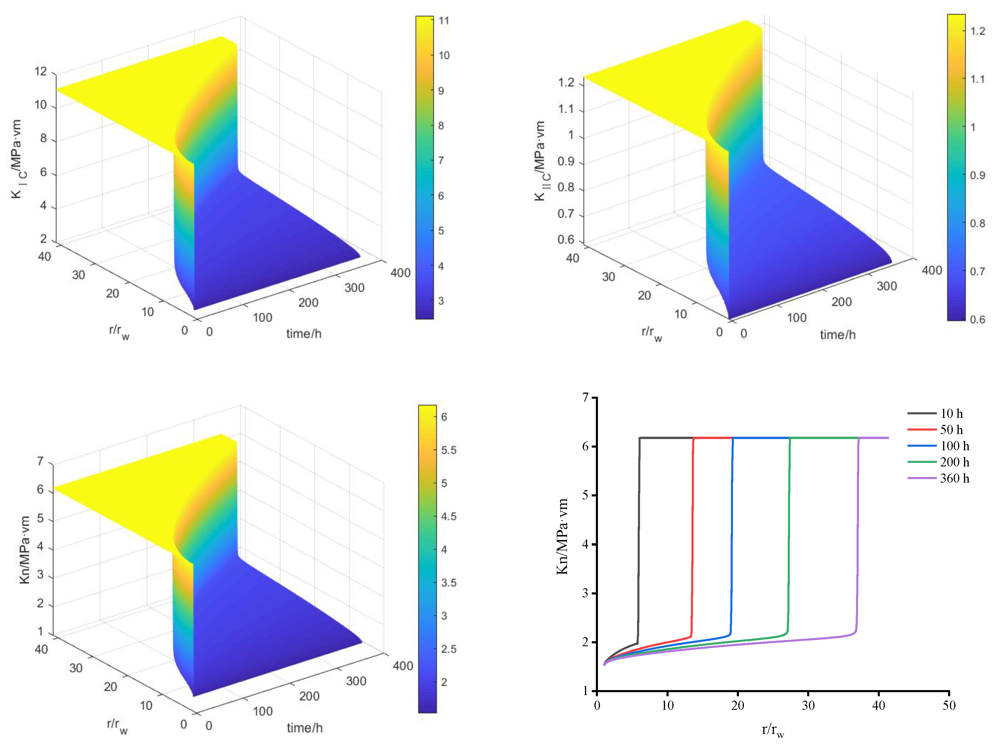
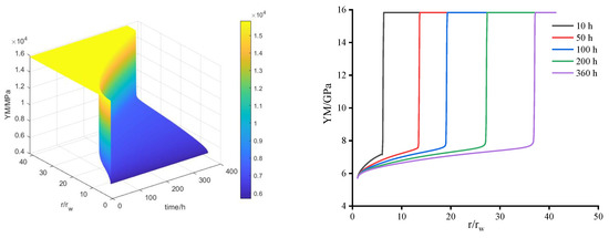
3.3. Variation of Rock Parameters and Fracability after Hydration
4. Case Study
5. Conclusions
- Through the triaxial mechanical test, we found that the average compressive strength of the immersed rock samples decreased by 37.99%, the average elastic modulus decreased by 53.36%, and the average Poisson’s ratio increased by 68.75%. These results show that the mechanical strength and elastic parameters of the shale rock in the Da’anzhai Section are obviously affected by the immersion in the drilling fluid, which further indicates that the change in the water saturation rate of the shale will also change its formation fracability.
- A fracability evaluation model that comprehensively considers the brittleness index, in situ stress, and fracture toughness was established, and the law of water phase intrusion into shale oil reservoirs was analyzed. The changes in the Young’s modulus, Poisson’s ratio, fracture toughness, and FI with time and dimensionless distance under hydration were discussed. The results show that the change in the formation FI is closely related to the change in the water saturation rate. The rock at the wellbore is mostly affected by hydration, while the FI is the highest.
- Taking Well NC2H as an example, the distribution law of the FI of the Da’anzhai section of the well with the well depth, dimensionless distance, and time was calculated and analyzed. The results show that the well is most prone to fracture near H = 2600 m. Second, the variation law of fracture initiation pressure before and after hydration was compared and analyzed, and it was found that the formation fracture initiation pressure decreased after hydration, thus making it easier to conduct fracturing operations.
- The evaluation method of fracability considering hydration established in this paper cannot only be used to calculate the hydration caused by drilling fluid invading formation during drilling but also the hydration caused by the change in water saturation rate caused by other factors.
Author Contributions
Funding
Acknowledgments
Conflicts of Interest
References
- Fathy, D.; Wagreich, M.; Ntaflos, T.; Sami, M. Provenance Characterization of Campanian Lacustrine Organic-Rich Mudstones on the Southern Tethyan Margin, Egypt. ACS Earth Space Chem. 2021, 5, 197–209. [Google Scholar] [CrossRef]
- Du, J.; Hu, S.; Pang, Z.; Lin, S.; Hou, L.; Zhu, R. Types, potential and prospects of continental shale oil in China. China Pet. Explor. 2019, 24, 560–568. [Google Scholar]
- Zou, C.; Yang, Z.; Zhu, R.; Wu, S.; Fu, J.; Lei, D.; Hou, L.; Lin, S.; Pana, S. Geologic significance and optimization technique of sweet spots in unconventional shale systems. J. Asian Earth Sci. 2019, 178, 3–19. [Google Scholar] [CrossRef]
- Zhou, D.; Sun, C.; Liu, Z.; Nie, H. Geological characteristics of continental shale gas reservoirs in Da’anzhai Section, Northeast Sichuan Basin. China Pet. Explor. 2020, 25, 32–42. [Google Scholar]
- Muniz, E.S.; da Fontoura, S.A.B.; Duarte, R.G.; Lomba, R.T.F. Evaluation of the Shale-Drilling Fluid Interaction for Studies of Wellbore Stability. In Proceedings of the Alaska Rocks 2005, The 40th U.S. Symposium on Rock Mechanics (USRMS), Anchorage, AK, USA, 25–29 June 2005. [Google Scholar]
- van Oort, E.; Hale, A.H.; Mody, F.K.; Roy, S. Transport in shales and the design of improved water based shale drilling fluids. SPE Drill. Complet. 1996, 11, 137–146. [Google Scholar] [CrossRef]
- Wang, J.; Yan, J.; Su, S. A new method for wellbore stability evaluation of hard and brittle shale. Pet. Drill. Prod. Technol. 2006, 28, 34–35. [Google Scholar]
- Yew, C.H.; Chenevert, M.E.; Wang, C.L. Wellbore Stress Distribution Produced by Moisture Adsorption. SPE Drill. Eng. 1990, 5, 311–316. [Google Scholar] [CrossRef]
- Hale, A.H.; Mody, F.K. The Influence of Chemical Potential on Wellbore Stability. SPE Drill. Complet. 1993, 8, 207–216. [Google Scholar] [CrossRef]
- Zhang, Y.; Sun, J.; Wang, Q. Chemical kinetic analysis of wellbore stability. Fault Block Oil Gas Fields 2011, 18, 794–798. [Google Scholar]
- Deng, Y.; He, S.; Deng, X.; Peng, Y.; He, S.; Tang, M. Study on wellbore instability of bedded shale gas horizontal wells under the action of mechanical-chemical coupling. Pet. Drill. Technol. 2020, 48, 26–33. [Google Scholar]
- Deng, H.; Meng, Y. A review of chemical and mechanical coupling research on mud shale stability. Pet. Explor. Dev. 2003, 30, 109–111. [Google Scholar]
- Rickman, R.; Mullen, M.J.; Petre, J.E.; Grieser, B.; Kundert, D. A practical use of shale petrophysics for stimulation design optimization: All shale plays are not clones of the barnett shale. In Proceedings of the SPE Annual Technical Conference and Exhibition, Denver, CO, USA, 21–24 September 2008. [Google Scholar]
- Tang, Y.; Xing, Y.; Li, L.; Zhang, B.H.; Jiang, S.X. Influence factors andevaluation methods of the gas shale fracability. Earth Sci. Front. 2012, 19, 356–363. [Google Scholar]
- Enderlin, M.; Alsleben, H.; Beyer, J.A. Predicting fracability in Shale Reservoirs. In Proceedings of the AAPG Annual Convention and Exhibition, Houston, TX, USA, 10–13 April 2011. [Google Scholar]
- Mullen, M.; Enderlin, M. Fracability Index—More Than Just Calculating Rock Properties. In Proceedings of the SPE Annual Technical Conference and Exhibition, San Antonio, TX, USA, 8–10 October 2012. [Google Scholar]
- Yuan, J.; Deng, J.; Zhang, D.; Li, D.; Yan, W.; Chen, C.; Cheng, L.; Chen, Z. Evaluation technology for fracability of shale gas reservoirs. Chin. J. Pet. 2013, 34, 523–527. [Google Scholar]
- Zhang, B.; Roegiers, J.C.; Jin, X.; Shah, S.N. Fracability Evaluation in Shale Reservoirs—An Integrated Petrophysics and Geomechanics Approach. In Proceedings of the SPE Hydraulic Fracturing Technology Conference, The Woodlands, TX, USA, 4–6 February 2014. [Google Scholar] [CrossRef]
- Guo, T.; Zhang, S.; Ge, H. A new method for evaluating the ability of shale fracturing to form fracture network. Rock Soil Mech. 2013, 34, 947–954. [Google Scholar]
- Li, N.; Zou, Y.S.; Zhang, S.C.; Ma, X.F.; Zhu, X.W.; Li, S.H.; Cao, T. Rock brittleness evaluation based on energy dissipation under triaxial compression. J. Pet. Sci. Eng. 2019, 183, 106349. [Google Scholar] [CrossRef]
- Mullen, M.J.; Enderlin, M.N. Fracability index-more than rock properties. In Proceedings of the SPE Annual Technical Conference and Exhibition, San Antonio, TX, USA, 9 January 2012. [Google Scholar]
- Jin, Y.; Chen, M.; Zhang, X. Prediction of rock fracture toughness in deep formations using logging data. Chin. J. Rock Mech. Eng. 2001, 20, 454–456. [Google Scholar]
- Zhao, J.; Xu, W.; Li, Y.; Hu, J.Y.; Li, J.Q. A new method for fracability evaluation of shale-gas reservoirs. Nat. Gas Geosci. 2015, 26, 1165–1172. [Google Scholar]
- Sui, L.; Ju, Y.; Yang, Y.; Hu, J.Y. A quantification method for shale fracability based on analytic hierarchy process. Energy 2016, 115, 637–645. [Google Scholar] [CrossRef]
- Yue, Y. The Evaluation Method of Tight Reservoir Fracability and the Experimental Investigation of Its Evaluation EFFECT; Chongqing University: Chongqing, China, 2019. [Google Scholar]
- Ma, C.; Dong, C.; Lin, C.; Elsworth, D.; Liu, X. Influencing factors and fracability of lacustrine shale oil reservoirs. Mar. Pet. Geol. 2019, 110, 463–471. [Google Scholar] [CrossRef]
- Jia, Y.; Tang, J.; Lu, Y.; Lu, Z. Laboratory geomechanical and petrophysical characterization of longmaxi shale properties in lower silurian formation, china. Mar. Pet. Geol. 2020, 124, 104800. [Google Scholar] [CrossRef]
- Wu, J.W.; Zhang, S.Z.; Cao, H.C.; Zhao, M.Z.; Sun, P.; Xun, L. Fracability evaluation of shale gas reservoir-a case study in the lower cambrian niutitang formation, northwestern hunan, china—Sciencedirect. J. Pet. Sci. Eng. 2018, 164, 675–684. [Google Scholar] [CrossRef]
- Iyare, U.C.; Blake, O.O.; Ramsook, R. Fracability evaluation of the upper Cretaceous Naparima Hill Formation, Trinidad. J. Pet. Sci. Eng. 2022, 208, 109599. [Google Scholar] [CrossRef]
- Chen, Z.; Li, S.; Chen, Z. Hydraulic Fracture initiation and Extending Tests in Deep Shale Gas Formations and Fracturing Design Optimization. Pet. Drill. Tech. 2020, 48, 70–76. [Google Scholar]
- Lian, G.; Wang, X.; Qin, M. Comprehensive Evaluation Technology of Reservoir Fracability of Mabei Slope in Mahu Area. J. Southwest Pet. Univ. (Sci. Technol. Ed.) 2022, 4, 1–8. [Google Scholar]
- Chen, Z.; Chen, M.; Jin, Y. Experimental study on the relationship between rock fracture toughness and acoustic velocity. Oil Drill. Prod. Technol. 1997, 19, 56–75. [Google Scholar]
- Jin, Y.; Yu, J.; Chen, M. Determination of rock fracture toughness KIIC and its relationship with tensile strength. Rock Mech. Rock Eng. 2011, 44, 621–627. [Google Scholar] [CrossRef]
- Zhao, H.; Chen, M.; Jin, Y.; Ding, Y.; Wang, Y. Rock fracture kinetics of the fracture mesh system in shale gas reservoirs. Pet. Explor. Dev. 2012, 39, 464–470. [Google Scholar] [CrossRef]
- Jin, Y.; Chen, M. Mechanics of Wellbore Stability; Science Press: Beijing, China, 2012; pp. 12–20. [Google Scholar]
- Buckley, S.E.; Leverette, M.C. Mechanism of fluid displacement in sands. Trans. AIME 1942, 146, 107–116. [Google Scholar] [CrossRef]
- Jiang, Y. Research on Three-Dimensional Three-Phase Seepage Numerical Simulation of J-Function Average Capillary Force [D]; Southwest Petroleum University: Chengdu, China, 2014. [Google Scholar]
- Naseri, M.; Caglar, S. Numerical Modeling of Counter-Current Spontaneous Imbibition during Underbalanced Drilling. In Proceedings of the North Africa Technical Conference and Exhibition, Cairo, Egypt, 20–22 February 2012. [Google Scholar] [CrossRef]
- Huang, R. Coupling study of mechanics and chemistry of shale wellbore stability. Drill. Complet. Fluids 1995, 12, 15–25. [Google Scholar]
- Huang, Z.R.; Zhuang, J.J. A new method for predicting formation fracture pressure. Oil Drill. Prod. Technol. 1986, 8, 1–14. [Google Scholar]











| Parameter | H/m | pe/g·cm−3 | φ | K/mD | Swi | Sor | pb/g·cm−3 | rw/m | |
|---|---|---|---|---|---|---|---|---|---|
| value | 3100 | 1.2 | 0.25 | 1.0 | 0.20 | 0.25 | 5 | 1.2 | 0.12 |
Publisher’s Note: MDPI stays neutral with regard to jurisdictional claims in published maps and institutional affiliations. |
© 2022 by the authors. Licensee MDPI, Basel, Switzerland. This article is an open access article distributed under the terms and conditions of the Creative Commons Attribution (CC BY) license (https://creativecommons.org/licenses/by/4.0/).
Share and Cite
Zhang, G.; Wang, H.; Li, F.; Wang, D.; Li, N.; He, S. Effects of Hydration during Drilling on Fracability of Shale Oil Formations: A Case Study of Da’anzhai Section Reservoir in Sichuan Basin, China. Processes 2022, 10, 2313. https://doi.org/10.3390/pr10112313
Zhang G, Wang H, Li F, Wang D, Li N, He S. Effects of Hydration during Drilling on Fracability of Shale Oil Formations: A Case Study of Da’anzhai Section Reservoir in Sichuan Basin, China. Processes. 2022; 10(11):2313. https://doi.org/10.3390/pr10112313
Chicago/Turabian StyleZhang, Guangfu, Haibo Wang, Fengxia Li, Di Wang, Ning Li, and Shiming He. 2022. "Effects of Hydration during Drilling on Fracability of Shale Oil Formations: A Case Study of Da’anzhai Section Reservoir in Sichuan Basin, China" Processes 10, no. 11: 2313. https://doi.org/10.3390/pr10112313
APA StyleZhang, G., Wang, H., Li, F., Wang, D., Li, N., & He, S. (2022). Effects of Hydration during Drilling on Fracability of Shale Oil Formations: A Case Study of Da’anzhai Section Reservoir in Sichuan Basin, China. Processes, 10(11), 2313. https://doi.org/10.3390/pr10112313
