Decision-Making Model of Mechanical Components in a Lean–Green Manufacturing System Based on Carbon Benefit and Its Application
Abstract
1. Introduction
- (1)
- To analyze the functional characteristics of three types of carbon emissions in the typical mechanical manufacturing process, such as material carbon, energy carbon, and process carbon, establish the carbon emission characteristic function of manufacturing system, quickly estimate and quantify the carbon emissions of products, and illustrate the application of this function in the selection of processing methods and processing sequences in process planning through a case study.
- (2)
- To research low-carbon manufacturing process decision-making problems combined with a green ideas lean transformation product manufacturing system, explore the ability of different process route selections for low-carbon manufacturing of components, put forward the key decision-making indicators and quantitative analysis method (a process decision-making model based on low carbon efficiency), and improve the product line layout and the overall carbon efficiency improvement.
- (3)
- To demonstrate that environmental innovation and the transformation of production systems to lean systems can improve revenues, reduce costs, fulfill better social responsibility, and achieve corporate sustainability.
2. Background
2.1. Lean Manufacturing
2.2. Green Manufacturing
2.3. The Integrated Relationship between Lean–Green Paradigms
3. Methodology
3.1. Mathematical Models
3.1.1. Definition of Carbon Benefit and Carbon Efficiency
3.1.2. Calculation of Carbon Emissions
3.1.3. Calculation of Carbon Emissions Generated by the Seven Wastes
4. Case Study
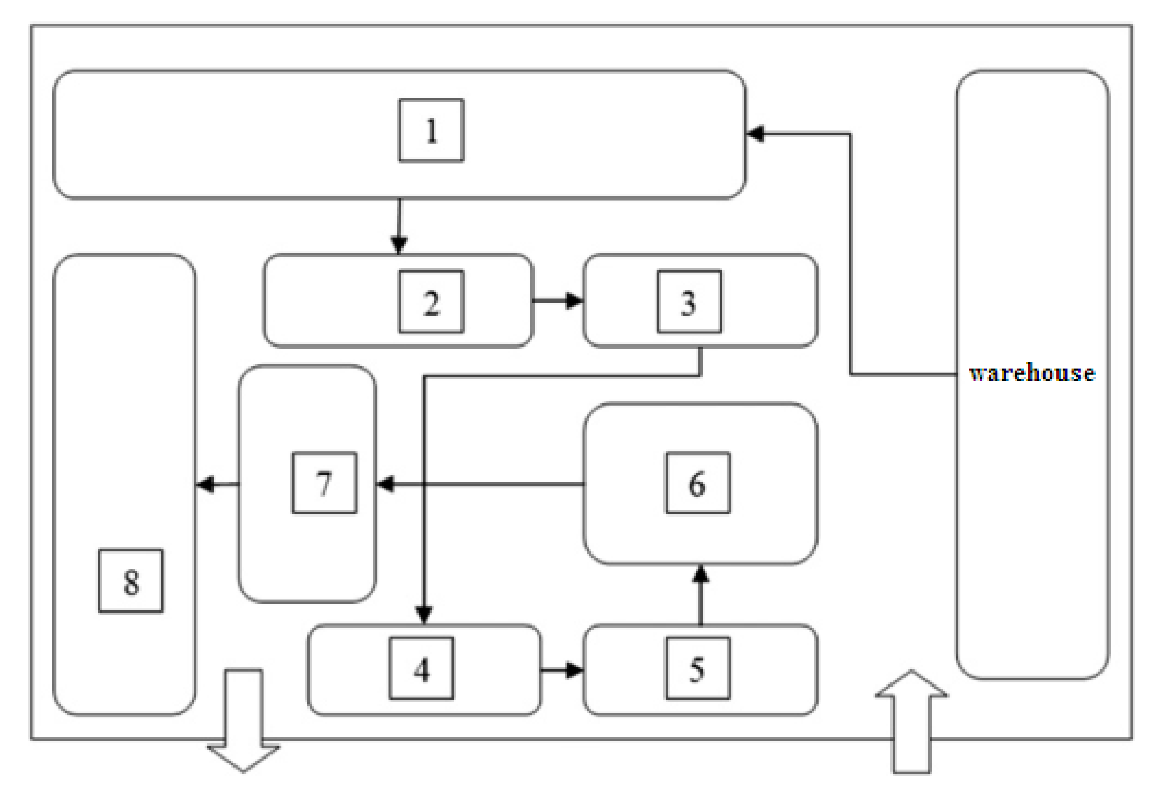
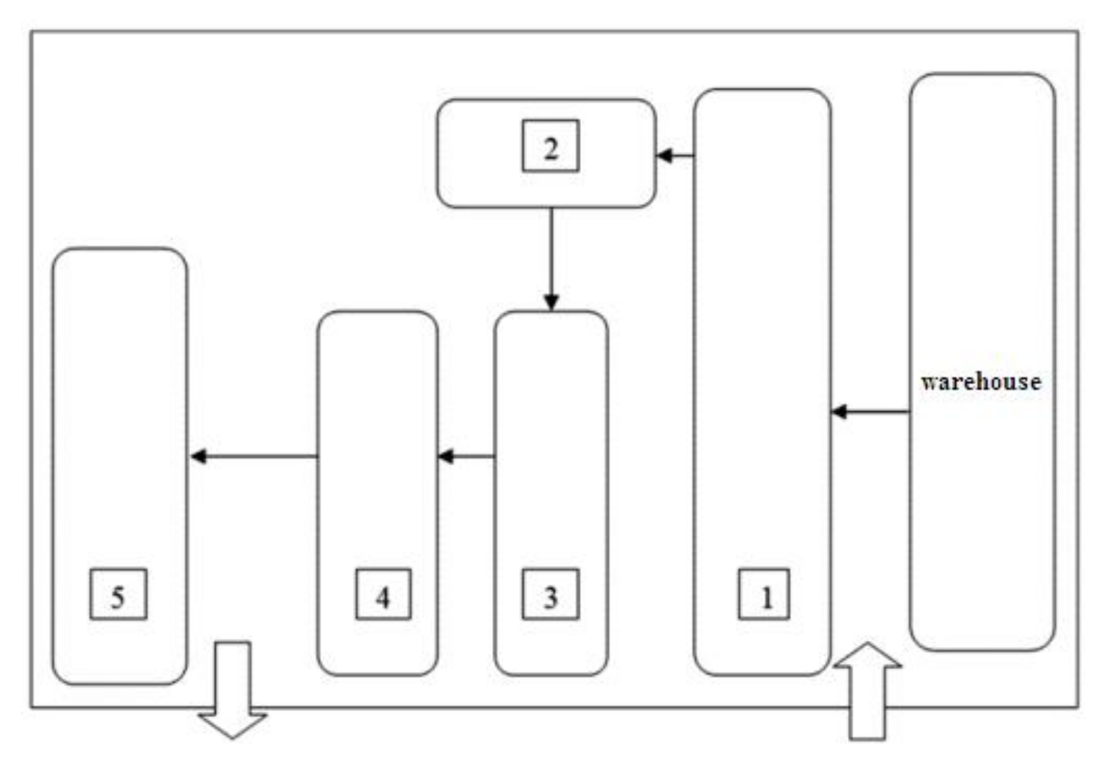
4.1. Problem Description and Data Collection
4.2. Future State Analysis and Improvement
- (1)
- The production process was analyzed using the lean–green practice improvement tool, and its efficiency and sustainability were identified and quantified using the parameters of the sustainable value stream map (SVSM). Through SVSM combined with the five core values of lean manufacturing theory, the criteria of environment, society, economic development, and cost should be analyzed and considered separately in the improvement process of each production stage. For the analysis of each process, the number of workers, working space, process time, lead time, working time, shift, breaks, stop, product type, batch size, scrap, rework, first-pass rate, ideal cycle time, preparation time, scheduled time, and environmental impact involved in each processing process were analyzed first. Lean is an improvement from the original batch-push production type to the single-piece flow-pull method. In the new product manufacturing mode, the cycle production time of products in the production process was based on the actual needs of customers determined by customer value, including its beat time or the cycle time of the manufacturing process, and was produced according to the rhythm of the actual needs of the market. Combine adjacent operations based on the takt time of the process, where the takt time for each satellite dish kit is 54 s.
- (2)
- The improved production process implements a single-piece flow-pull methodology. Pull production is the technical carrier of “just in time”, one of the two pillars of Toyota’s production mode. Compared with the past push production, the former job “pushes” the parts to the latter job for processing. In pull production, the latter job requires the former job to manufacture the parts needed according to the number of products it needs to process. The production layout was improved according to the continuous flow processing and implementation of cellular manufacturing.
- (3)
- Through direct observation of the processing site, the space for each process is scattered, and the scope of the operation space is large. Simultaneously, a large number of tools were replaced in the operation process, resulting in the loss of productivity and accumulation of inventory materials. Some processes were produced according to their capacity, resulting in excessive production. Through an analysis of the ECRS work improvement principle, we determined the improvement direction of the process flow and conceived a new working method to replace the current working method based on 5W1H analysis. Applying the four principles of ECRS work improvement, namely cancellation, merger, reorganization, and simplification, can help enterprises find better efficiency and better working methods. The production line was balanced based on the calculation of takt time to identify and improve bottlenecks by comparison with the actual cycle time.
- (4)
- To reduce wait time waste and large inventories, improvements were achieved by building Kanban systems and using supermarket pull systems. The production process uses the pull method to implement the new production mode. The system has an advantage in that it cancels the intermediate warehouse. For the intermediate inventory existing between the original processes, excess inventory was accumulated between the workspaces of each process to ensure material flow and prevent material shortages in the process of mass production. Concurrently, in terms of transportation, there is much internal mobile transportation, and frequent transportation will damage the normal production of each process. Identify and remove or significantly reduce waste in a quantitative manner through lean–green approach tools supplemented by the environmental impact of innovation. Each process is currently being optimized to reduce overproduction, and the other processes are not considered. Each process should be performed in strict accordance with the order or shortage of goods in the previous process.
- (5)
- 5S and TPM management systems were established in the workshop and production equipment maintenance, respectively, which have positive lean–green improvement environmental impacts.
5. Conclusions
Author Contributions
Funding
Institutional Review Board Statement
Informed Consent Statement
Data Availability Statement
Conflicts of Interest
References
- IEA. The Way Forward: Five Key Action to Achieve a Low Carbon Energy Sector [EB/OL]. 2014. Available online: http://www.iea.org/publications/freepublications/publication/The_Way_forward.pdf (accessed on 10 September 2021).
- Galeazzo, A.; Furlan, A.; Vinelli, A. Lean and green in action: Interdependencies and performance of pollution prevention projects. J. Clean. Prod. 2014, 85, 191–200. [Google Scholar] [CrossRef]
- Fercoq, A.; Lamouri, S.; Carbone, V. Lean/Green integration focused on waste reduction techniques. J. Clean. Prod. 2016, 137, 567–578. [Google Scholar] [CrossRef]
- Digalwar, A.K.; Tagalpallewar, A.R.; Sunnapwar, V.K. Green Manufacturing Performance Measures: An Empirical Investigation from Indian Manufacturing Industries. Meas. Bus. Excell. 2013, 17, 59–75. [Google Scholar] [CrossRef]
- Garza-Reyes, J.A. Green lean and the need for six sigma. Int. J. Lean Six Sigma 2015, 6, 226–248. [Google Scholar] [CrossRef]
- Cherrafi, A.; ElFezazi, S.; Govindan, K.; Garza-Reyes, J.A.; Benhida, K.; Mokhlis, A. A Framework for the Integration of Green and Lean Six Sigma for Superior Sustainability Performance. Int. J. Prod. Res. 2017, 55, 4481–4515. [Google Scholar] [CrossRef]
- Garza-Reyes, J.A. Lean and green—A systematic review of the state-of-the-art literature. J. Clean. Prod. 2015, 102, 18–29. [Google Scholar] [CrossRef]
- Green, K.W.; Zelbst, P.J.; Meacham, J.; Bhadauria, V.S. Green Supply Chain Management Practices: Impact on Performance. Supply Chain Manag. Int. J. 2012, 17, 290–305. [Google Scholar] [CrossRef]
- Sartal, A.; Carou, D.; Dorado-Vicente, R.; Mandayo, L. Facing the challenges of the food industry: Might additive manufacturing be the answer? Proc. Inst. Mech. Eng. Part B J. Eng. Manuf. 2019, 233, 1902–1906. [Google Scholar] [CrossRef]
- Baumers, M.; Wildman, R.; Wallace, M.; Yoo, J.; Blackwell, B.; Farr, P.; Roberts, C.J. Using total specific cost indices to compare the cost performance of additive manufacturing for the medical device’s domain. Proc. Inst. Mech. Eng. Part B J. Eng. Manuf. 2019, 233, 1235–1249. [Google Scholar] [CrossRef]
- Zhu, X.-Y.; Zhang, H. Construction of Lean-green coordinated development model from the perspective of personnel integration in manufacturing companies. Proc. Inst. Mech. Eng. Part B J. Eng. Manuf. 2020, 234, 1460–1470. [Google Scholar] [CrossRef]
- Mccarty, T.; Jordan, M.; Probst, D. Six Sigma for Sustainability—How Organizations Design and Deploy Winning Environmental Programs; McGraw-Hill: New York, NY, USA, 2011. [Google Scholar]
- Wong, W.P.; Wong, K.Y. Synergizing an Ecosphere of Lean for Sustainable Operations. J. Clean. Prod. 2014, 85, 51–66. [Google Scholar] [CrossRef]
- Garza-Reyes, J.A.; Villarreal, B.; Kumar, V.; Molina Ruiz, P. Lean and green in the transport and logistics sector—A case study of simultaneous deployment. Prod. Plan. Control 2016, 27, 1221–1232. [Google Scholar] [CrossRef]
- Shah, R.; Ward, P.T. Defining and Developing Measures of Lean Production. J. Oper. Manag. 2007, 25, 785–805. [Google Scholar] [CrossRef]
- Zhu, X.-Y.; Zhang, H. A lean green implementation evaluation method based on fuzzy analytic net process and fuzzy complex proportional assessment. Int. J. Circuits Syst. Signal Process. 2020, 14, 646–655. [Google Scholar]
- Chauhan, G.; Singh, T.P. Measuring Parameters of Lean Manufacturing Realization. Meas. Bus. Excell. 2012, 16, 57–71. [Google Scholar] [CrossRef]
- King, A.; Lenox, M. Lean and Green: An Empirical Examination of the Relationship between Lean Production and Environmental Performance. Prod. Oper. Manag. 2001, 10, 244–256. [Google Scholar] [CrossRef]
- Sergio, A.; Alvarez, R.; Domingo, R. Model of efficient and sustainable improvements in a lean production system through processes of environmental innovation. J. Clean. Prod. 2013, 47, 141–148. [Google Scholar]
- Thanki, S.J.; Govindan, K.; Thakkar, J. An Investigation on Lean-Green Implementation Practices in Indian SMEs Using Analytical Hierarchy Process (AHP) Approach. J. Clean. Prod. 2016, 135, 284–298. [Google Scholar] [CrossRef]
- Carvalho, H.; Govindan, K.; Azevedo, S.; Cruz-Machado, V. Modelling Green and Lean Supply Chain: An Eco-Efficiency Perspective. Resour. Conserv. Recycl. 2017, 120, 75–78. [Google Scholar] [CrossRef]
- EPA. The Lean and Environment Toolkit; Environmental Protection Agency: Washington, DC, USA, 2007. [Google Scholar]
- Womack, J.P.; Jones, D.T.; Roos, D. The Machine that Changed the World; Harper-Collins: New York, NY, USA, 1991. [Google Scholar]
- Womack, J.P.; Jones, D.T. Beyond Toyota: How to root out waste and pursue perfection. Harv. Bus. Rev. 1996, 74, 140–151. [Google Scholar]
- Womack, J.P.; Jones, D.T. Lean Thinking: Banish Waste and Create Wealth in Your Corporation; Free Press: New York, NY, USA, 2003. [Google Scholar]
- Shah, R.; Ward, P.T. Lean manufacturing: Context, practice bundles, and performance. J. Oper. Manag. 2004, 21, 129–149. [Google Scholar] [CrossRef]
- Abdulmalek, F.A.; Rojgopal, J. Analyzing the benefits of lean manufacturing and value stream mapping via simulation: A process sector case study. Int. J. Prod. Econ. 2007, 107, 223–236. [Google Scholar] [CrossRef]
- Dora, M.; Kumar, M.; Gellynck, X. Determinants and barriers to lean implementation in food processing SMEs-a multiple case analysis. Prod. Plan. Control. 2016, 27, 1–23. [Google Scholar] [CrossRef]
- Singh, B.J.; Khanduja, D. SMED: For quick changeovers in foundry SMEs. Int. J. Product. Perform. Manag. 2010, 59, 98–116. [Google Scholar] [CrossRef]
- Wong, W.P.; Ignatius, J.; Soh, K.L. What is the leanness level of your organisation in lean transformation implementation? An integrated lean index using ANP approach. Prod. Plan. Control. 2014, 25, 273–287. [Google Scholar] [CrossRef]
- Wu, L.; Subramanian, N.; Abdulrahman, M.D.; Liu, C.; Lai, K.-H.; Pawar, K.S. The Impact of Integrated Practices of Lean, Green, and Social Management Systems on Firm Sustainability Performance—Evidence from Chinese Fashion Auto-Parts Suppliers. Sustainability 2015, 7, 3838. [Google Scholar] [CrossRef]
- Dües, C.M.; Tan, K.H.; Lim, M. Green as the new lean: How to use lean practices as a catalyst to greening your supply chain. J. Clean. Prod. 2013, 40, 93–100. [Google Scholar] [CrossRef]
- Martinez-Jurado, P.J.; Moyano-Fuentes, J. Lean management, supply chain management and sustainability: A literature review. J. Clean. Prod. 2014, 8, 134–150. [Google Scholar] [CrossRef]
- Piercy, N.; Rich, N. The relationship between lean operations and sustainable operations. Int. J. Oper. Prod. Manag. 2015, 35, 282–315. [Google Scholar] [CrossRef]
- Colicchia, C.; Creazza, A.; Dallari, F. Lean and green supply chain management through intermodal transport: Insights from the fast-moving consumer goods industry. Prod. Plan. Control 2017, 28, 1221–1232. [Google Scholar] [CrossRef]
- Negrao, L.L.L.; Filho, M.G.; Marodin, G. Lean practices and their effect on performance: A literature review. Prod. Plan. Control 2017, 28, 33–56. [Google Scholar] [CrossRef]
- Cherrafi, A.; Elfezazi, S.; Chiarini, A.; Mokhlis, A.; Benhida, K. The Integration of Lean Manufacturing, Six Sigma and Sustainability: A Literature Review and Future Research Directions for Developing a Specific Model. J. Clean. Prod. 2016, 139, 828–846. [Google Scholar] [CrossRef]
- Gandhi, N.S.; Thanki, S.J.; Thakkar, J.J. Ranking of drivers for integrated lean-green manufacturing for Indian manufacturing SMEs. J. Clean. Prod. 2018, 171, 675–689. [Google Scholar] [CrossRef]
- Gandhi, N.S.; Thanki, S.J.; Thakkar, J.J. A model for Lean and Green integration and monitoring for the coffee sector. Comput. Electron. Agric. 2018, 150, 62–73. [Google Scholar]
- Bhattacharya, A.; Nand, A.; Castka, P. Lean-green integration and its impact on sustainability performance: A critical review. J. Clean. Prod. 2019, 236, 117697.1–117697.16. [Google Scholar] [CrossRef]
- Bhattacharya, A.; Nand, A.; Castka, P. Enhancing the Adaptability: Lean and Green Strategy towards the Industry Revolution 4.0. J. Clean. Prod. 2020, 273, 122870. [Google Scholar]
- Leong, W.D.; Teng, S.Y.; How, B.S.; Ngan, S.L.; Rahman, A.A.; Tan, C.P.; Ponnambalam, S.; Lam, H.L. Simulation-based analysis of catalysers and trade-offs in Lean & Green manufacturing—Science Direct. J. Clean. Prod. 2020, 242, 118411–118436. [Google Scholar]
- Kuo, S.Y.; Lin, C.P. Determinants of green performance in container terminal operations: A lean management. J. Clean. Prod. 2020, 275, 123105. [Google Scholar] [CrossRef]
- Touriki, F.E.; Benkhati, I.; Kamble, S.S.; Belhadi, A.; Fezazi, S.E. An integrated smart, green, resilient, and lean manufacturing framework: A literature review and future research directions. J. Clean. Prod. 2021, 319, 128691. [Google Scholar] [CrossRef]
- Cherrafi, A.; Garza-Reyes, J.A.; Belhadi, A.; Kamble, S.S.; Elbaz, J. A Readiness Self-Assessment Model for Implementing Green Lean Initiatives. J. Clean. Prod. 2021, 309, 127401. [Google Scholar] [CrossRef]
- Miguel, L.; da Fonseca, C.M. ISO 14001: 2015: An improved tool for sustainability. J. Ind. Eng. Manag. 2015, 8, 37–50. [Google Scholar]
- Mollenkopf, D.; Stolze, H.; Tate, W.; Ueltschy, M. Green, lean and global supply chains. Int. J. Phys. Distrib. Logist. Manag. 2010, 40, 14–41. [Google Scholar] [CrossRef]
- Sheng, M.L.; Chien, I. Rethinking organizational learning orientation on radical and incremental innovation in high-tech firms. J. Bus. Res. 2016, 69, 2302–2308. [Google Scholar] [CrossRef]
- Verrier, B.; Rose, B.; Caillaud, E. Lean and Green strategy: The Lean and Green House and maturity deployment model. J. Clean. Prod. 2016, 116, 150–156. [Google Scholar] [CrossRef]
- Li, Y.; Cao, H.; Li, H.; Tao, G. The Carbon Emissions Dynamic Characteristic and Two Stage Optimization Scheduling Model for Job Shop. Comput. Integr. Manuf. Syst. 2015, 21, 2687–2693. (In Chinese) [Google Scholar]
- Lv, J.; Peng, T.; Tang, R. Energy modeling and a method for reducing energy loss due to cutting load during machining operations. Proc. Inst. Mech. Eng. Part B J. Eng. Manuf. 2019, 233, 699–710. [Google Scholar] [CrossRef]
- Ng, R.; Low, J.S.C.; Song, B. Integrating and implementing Lean and Green practices based on proposition of Carbon-Value Efficiency metric. J. Clean. Prod. 2015, 95, 242–255. [Google Scholar] [CrossRef]
- Zhu, X.-Y.; Zhang, H.; Jiang, Z.-G. Application of green-modified value stream mapping to integrate and implement lean and green practices: A case study. Int. J. Comput. Integr. Manuf. 2020, 33, 716–731. [Google Scholar] [CrossRef]
- Xiao, Y.; Jiang, Z.; Gu, Q.; Wei, Y.; Wang, R. A novel approach to CNC machining centre processing parameters optimization considering energy-saving and low-cost. J. Manuf. Syst. 2021, 59, 535–548. [Google Scholar] [CrossRef]
- Xiao, Y.; Zhang, H.; Jiang, Z.; Gu, Q.; Wei, Y. Multiobjective optimization of machining center process route: Trade-offs between energy and cost. J. Clean. Prod. 2021, 280, 124171. [Google Scholar] [CrossRef]
- Gutowski, T.; Dahmus, L.; Thiriez, A. Electrical Energy Requirements for Manufacturing Processes, [10 March 2010]. Available online: http://Web.Mit.Edu/ebm/www/publications/CIRP_2006.pdf (accessed on 11 September 2021).
- Ashbly, M.F. Materials and the Environment: Eco-Informed Material Choice; Butterworth Heinemann: Brulington, VT, USA, 2009; pp. 112–291. [Google Scholar]
- Li, X.; Xu, H. Life cycle evaluation of steel based on GaBi. Environ. Prot. Circ. Econ. 2009, 6, 15–18. (In Chinese) [Google Scholar]
- China Energy Saving and Investment Company. China Energy Conservation and Emission Reduction Development Report; China Water Power Press: Beijing, China, 2009. (In Chinese) [Google Scholar]
- 2050 China Energy and CO2 Emission Research Group. 2050 China Energy and CO2 Emission Report; Science Press: Beijing, China, 2009. (In Chinese) [Google Scholar]









| Index | Before Improvement | After Improvement | Improvement (%) |
|---|---|---|---|
| Value-added time (/s) | 279 | 263 | 5.73 |
| Moving distance (m) | 95 | 24 | 74.4 |
| Non-value-added time (/day) | 14.58 | 6.08 | 58.30 |
| Value-added carbon emission (/kg CO2e) | 4.73 | 1.29 | 72.73 |
| Non-value-added carbon emission (/kg CO2e) | 16.76 | 7.24 | 56.80 |
| Total carbon emission (/kg CO2e) | 21.49 | 8.53 | 60.31 |
| Carbon benefit (CB) | 1 | 2.94 | 193.92 |
| Carbon efficiency (/s/kg CO2e) | 12.98 | 36.33 | 179.89 |
Publisher’s Note: MDPI stays neutral with regard to jurisdictional claims in published maps and institutional affiliations. |
© 2022 by the authors. Licensee MDPI, Basel, Switzerland. This article is an open access article distributed under the terms and conditions of the Creative Commons Attribution (CC BY) license (https://creativecommons.org/licenses/by/4.0/).
Share and Cite
Zhu, X.; Xiao, Y.; Xiao, G. Decision-Making Model of Mechanical Components in a Lean–Green Manufacturing System Based on Carbon Benefit and Its Application. Processes 2022, 10, 2297. https://doi.org/10.3390/pr10112297
Zhu X, Xiao Y, Xiao G. Decision-Making Model of Mechanical Components in a Lean–Green Manufacturing System Based on Carbon Benefit and Its Application. Processes. 2022; 10(11):2297. https://doi.org/10.3390/pr10112297
Chicago/Turabian StyleZhu, Xiaoyong, Yongmao Xiao, and Gongwei Xiao. 2022. "Decision-Making Model of Mechanical Components in a Lean–Green Manufacturing System Based on Carbon Benefit and Its Application" Processes 10, no. 11: 2297. https://doi.org/10.3390/pr10112297
APA StyleZhu, X., Xiao, Y., & Xiao, G. (2022). Decision-Making Model of Mechanical Components in a Lean–Green Manufacturing System Based on Carbon Benefit and Its Application. Processes, 10(11), 2297. https://doi.org/10.3390/pr10112297

