Waste Derived Biocomposite for Simultaneous Biosorption of Organic Matter and Nutrients from Green Straw Biorefinery Effluent in Continuous Mode Activated Sludge Systems
Abstract
1. Introduction
2. Materials and Methods
2.1. Materials
2.2. Bioreactor Experimental Set-Up
2.3. Activated Sludge Characteristics and Acclimatization Process
2.4. Alum Sludge-Mesocarp Fiber Biocomposite (ASMF-C) Preparation
2.5. ASMF-C Characterizations
2.6. Analytical Methods
2.7. Process Optimization by RSM
2.8. Biokinetic Study
2.8.1. First-Order Kinetic Model
2.8.2. Grau Second-Order Kinetic Model
2.8.3. Modified Stover–Kincannon Model
3. Results and Discussion
3.1. GSBE Characteristics
3.2. FTIR
3.3. Oxide Composition, Physical Properties, and Elemental Analysis of ASMF-C
3.4. FESEM
3.5. Impact of GSBE Concentration and HRT on COD and NH4+−N Removal
3.5.1. COD Removal
3.5.2. NH4+−N Removal
3.6. CMAS and SB-CMAS Optimization Output for COD and NH4+−N Removal
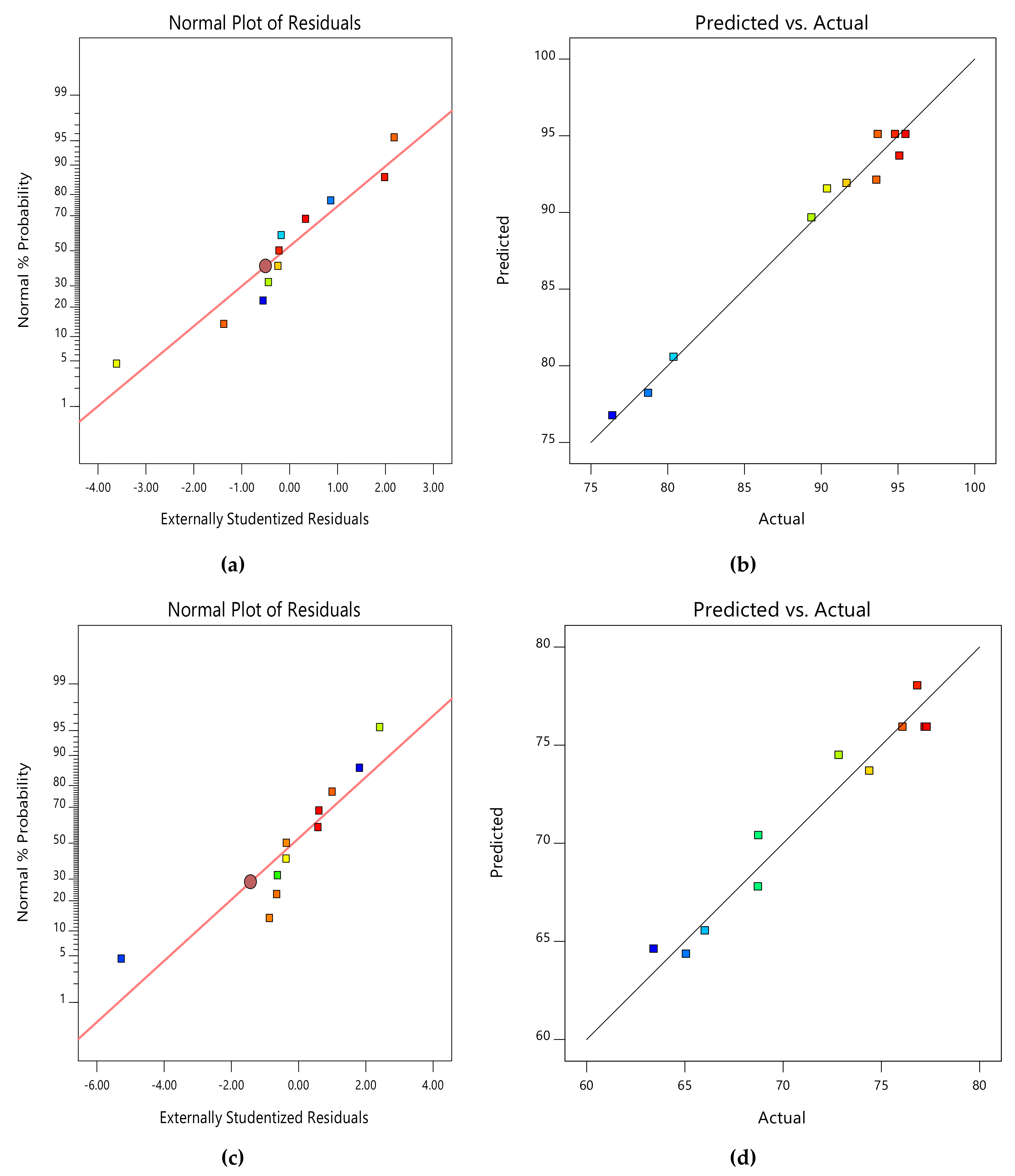
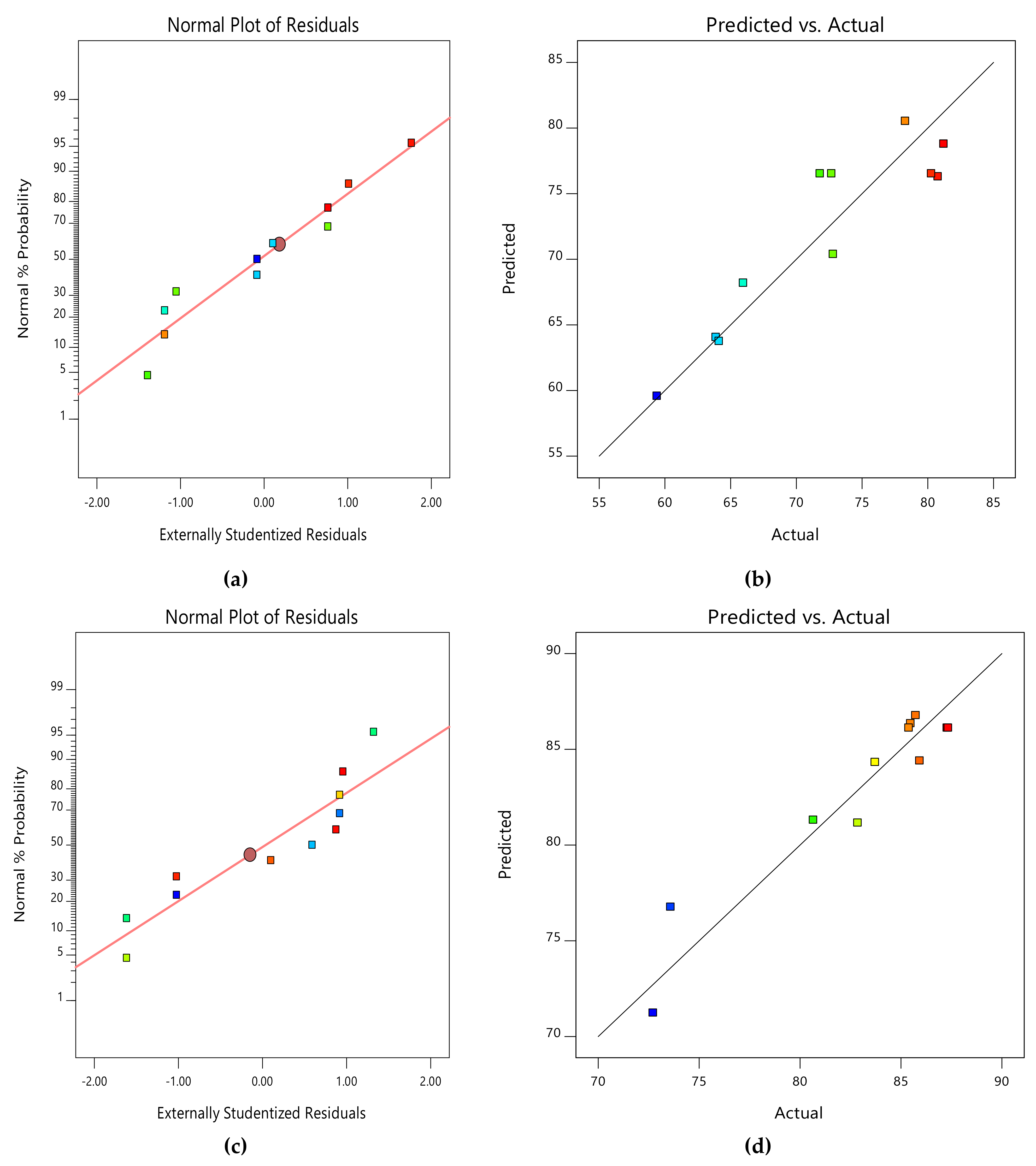
3.6.1. Model Fitting and Statistical Analysis
3.6.2. 3D Response Surface Plots
3.6.3. Analysis of Variance (ANOVA)
3.6.4. Fit Statistics
3.6.5. Effect of HRT on GSBE Treatment in CMAS and SB-CMAS
3.6.6. Optimized GSBE Treatment Process
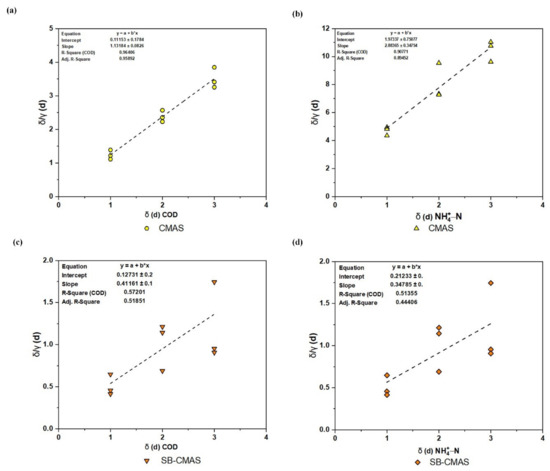
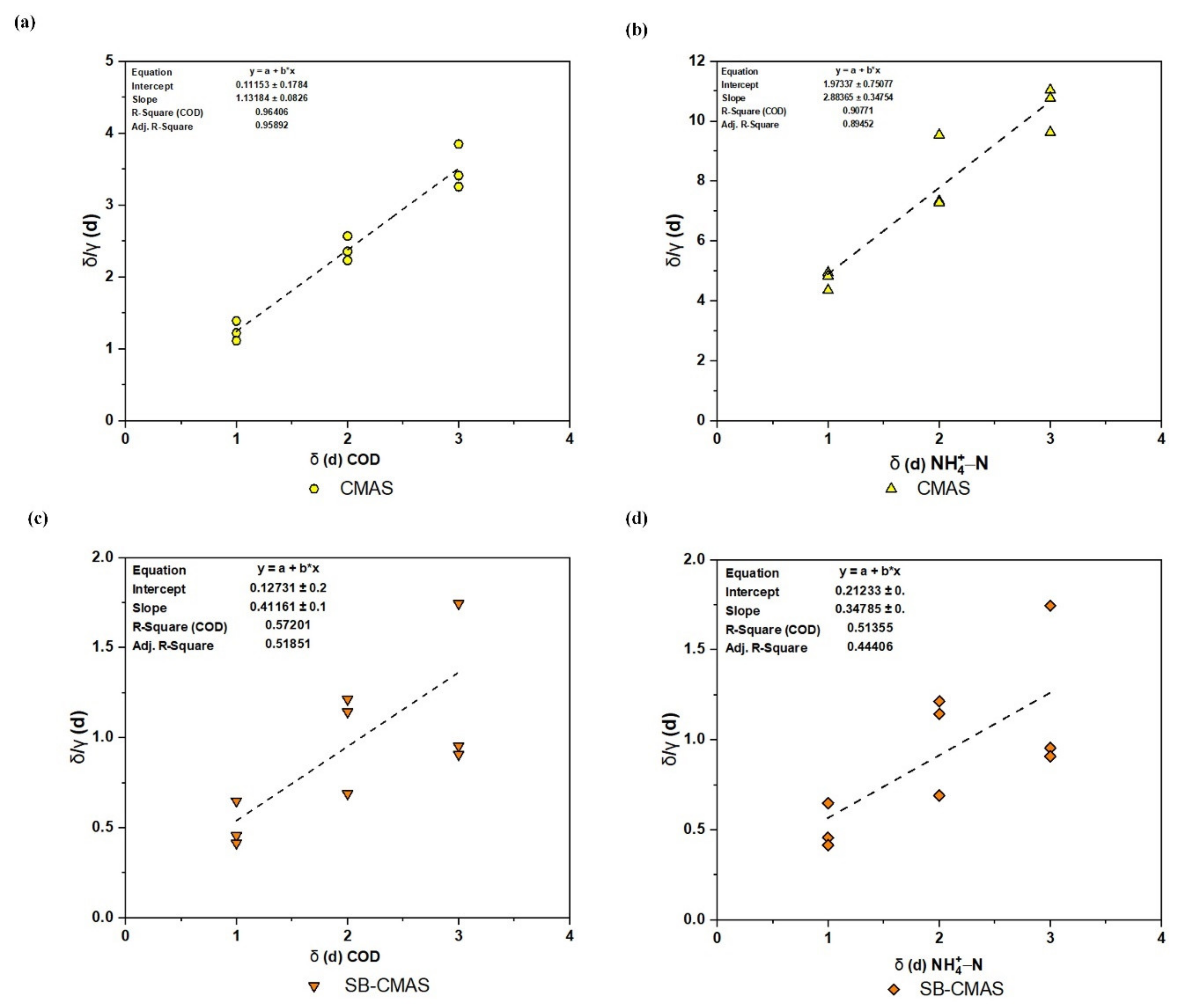
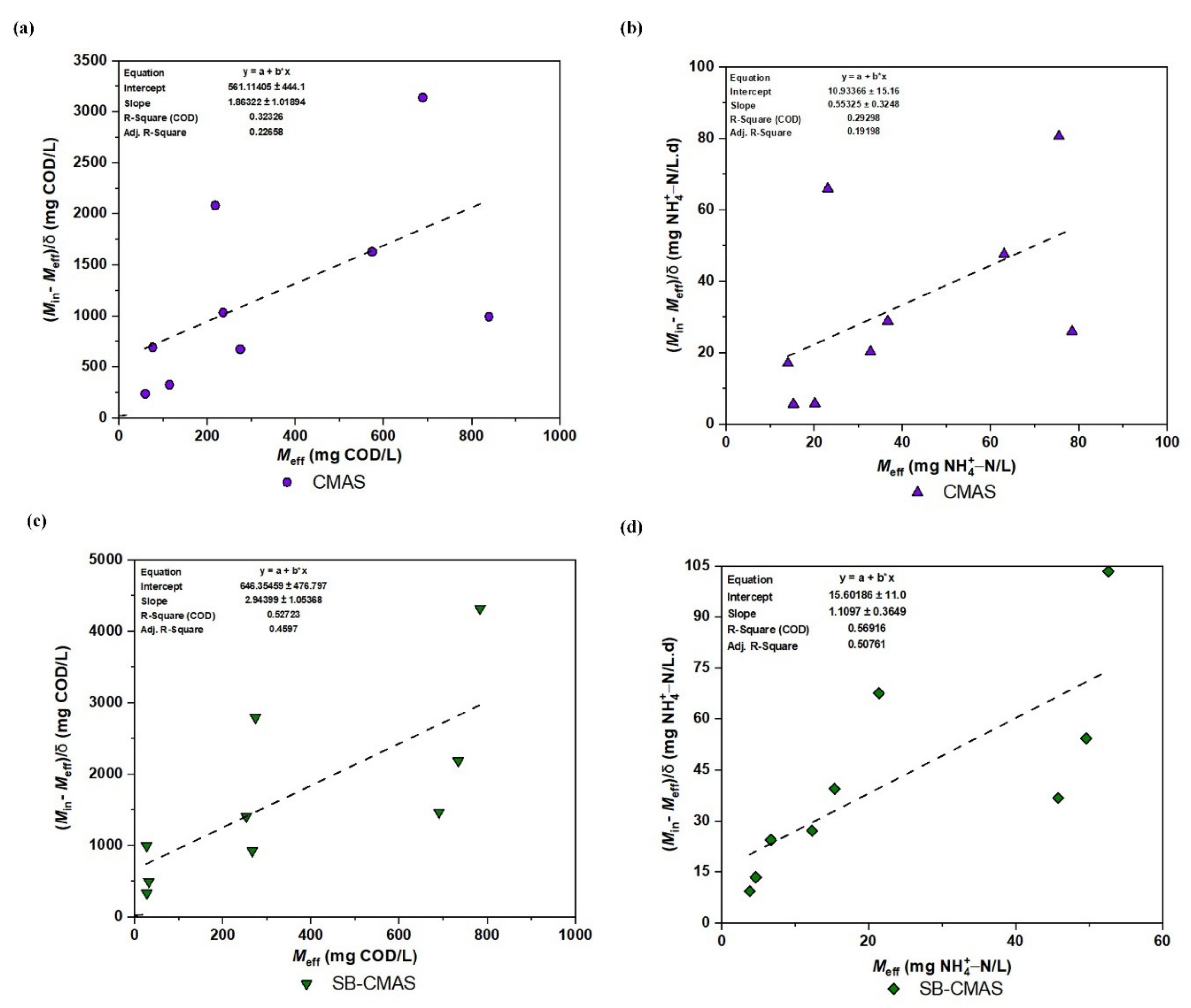
3.7. Biokinetic Models for GSBE Treatment in the CMAS and SB-CMAS Bioreactors
3.7.1. First-order Model
3.7.2. Grau second-order model
3.7.3. Modified Stover–Kincannon Kinetic Models
4. Conclusions
- A high degree of removal rate of COD and NH4+−N can be achieved when the process variables were optimized in CMAS and SB-CMAS systems.
- Modified Stover–Kincannon biokinetic models were a better fit for enhanced substrate removal of organic matter and nutrients.
- A significant contaminant removal efficiency of about 60% can be attained at a 2-day hydraulic retention time in both CMAS and SB-CMAS process systems of GSBE.
- The study was limited to COD and NH4+−N removal; however, further evaluation of other by-products should be studied to prevent the possibility of recontamination, and the viability of the process at field scale for adoption is necessary for sustainable and safe industrial wastewater disposal.
- The utilization of waste materials to create biocomposites and the removal of COD and NH4+−N from GSBE can serve as an inventive way to reduce our solid and liquid waste pollution footprint in the environment sustainably.
Supplementary Materials
Author Contributions
Funding
Institutional Review Board Statement
Informed Consent Statement
Data Availability Statement
Acknowledgments
Conflicts of Interest
References
- Sera, P.R.; Diagboya, P.N.; Akpotu, S.O.; Mtunzi, F.M.; Chokwe, T.B. Potential of valourized Moringa oleifera seed waste modified with activated carbon for toxic metals decontamination in conventional water treatment. Bioresour. Technol. Rep. 2021, 16, 100881. [Google Scholar] [CrossRef]
- Majumdar, S.; Paul, I.; Dey, S.; Dutta, S.; Mandal, T.; Mandal, D.D. Biotransformation of paper mill sludge by Serratia marcescens NITDPER1 for prodigiosin and cellulose nanocrystals: A strategic valorization approach. Biochem. Eng. J. 2020, 164, 107766. [Google Scholar] [CrossRef]
- Al-dhawi, B.N.S.; Kutty, S.R.M.; Baloo, L.; Almahbashi, N.M.Y.; Ghaleb, A.A.S.; Jagaba, A.H.; Kumar, V.; Saeed, A.A.H. Treatment of synthetic wastewater by using submerged attached growth media in continuous activated sludge reactor system. Int. J. Sustain. Build. Technol. Urban Dev. 2022, 2–10. [Google Scholar]
- Bajpai, P. Biological treatment of pulp and paper mill effluents. In Biotechnology for Pulp and Paper Processing; Springer: Singapore, 2018; pp. 313–369. [Google Scholar]
- Brink, A.; Sheridan, C.; Harding, K. A kinetic study of a mesophilic aerobic moving bed biofilm reactor (MBBR) treating paper and pulp mill effluents: The impact of phenols on biodegradation rates. J. Water Process Eng. 2017, 19, 35–41. [Google Scholar] [CrossRef]
- Birniwa, A.H.; Abdullahi, S.S.; Mahmud, H.N.M.E. Study on physico-mechanical behaviour of acacia nilotica (gum tree) and glass fiber blend reinforced epoxy resin composite. ChemSearch J. 2019, 10, 46–53. [Google Scholar]
- Muhamad, M.H.; Abdullah, S.R.S.; Hasan, H.A.; Bakar, S.N.H.A. Multimedia-sequencing batch biofilm reactor in treating recycled paper mill effluent containing high level of pentachlorophenol: Long-term performance, mechanism and kinetic studies. J. Water Process Eng. 2020, 37, 101522. [Google Scholar] [CrossRef]
- Birniwa, A.H.; Abubakar, A.S.; Huq, A.O.; Mahmud, H.N.M.E. Polypyrrole-polyethyleneimine (PPy-PEI) nanocomposite: An effective adsorbent for nickel ion adsorption from aqueous solution. J. Macromol. Sci. Part A Pure Appl. Chem. 2021, 58, 206–217. [Google Scholar] [CrossRef]
- Yang, Y.; Zhao, Y.; Kearney, P. Influence of ageing on the structure and phosphate adsorption capacity of dewatered alum sludge. Chem. Eng. J. 2008, 145, 276–284. [Google Scholar] [CrossRef]
- Jagaba, A.H.; Kutty, S.R.M.; Naushad, M.; Lawal, I.M.; Noor, A.; Affam, A.C.; Birniwa, A.H.; Abubakar, S.; Soja, U.B.; Abioye, K.J. Removal of nutrients from pulp and paper biorefinery effluent: Operation, kinetic modelling and optimization by response surface methodology. Environ. Res. 2022, 214, 114091. [Google Scholar] [CrossRef]
- Zaini, M.A.A.; Zakaria, M.; Setapar, S.M.; Che-Yunus, M. Sludge-adsorbents from palm oil mill effluent for methylene blue removal. J. Environ. Chem. Eng. 2013, 1, 1091–1098. [Google Scholar] [CrossRef]
- Jagaba, A.H.; Kutty, S.R.M.; Noor, A.; Isah, A.S.; Lawal, I.M.; Birniwa, A.H.; Usman, A.K.; Abubakar, S. Kinetics of Pulp and Paper Wastewater Treatment by High Sludge Retention Time Activated Sludge Process. J. Hunan Univ. Nat. Sci. 2022, 49, 242–251. [Google Scholar] [CrossRef]
- Rathnayake, N.; Patel, S.; Halder, P.; Aktar, S.; Pazferreiro, J.; Sharma, A.; Surapaneni, A.; Shah, K. Co-pyrolysis of biosolids with alum sludge: Effect of temperature and mixing ratio on product properties. J. Anal. Appl. Pyrolysis 2022, 163, 105488. [Google Scholar] [CrossRef]
- Jagaba, A.H.; Kutty, S.R.M.; Salih, G.H.A.; Noor, A.; Hafiz, M.; Yaro, N.S.A.; Saeed, A.A.H.; Lawal, I.M.; Birniwa, A.H.; Kilaco, A.U. Palm Oil Clinker as a Waste by-Product: Utilization and Circular Economy Potential; IntechOpen: London, UK, 2021; Volume 1. [Google Scholar]
- Manyatshe, A.; Cele, Z.E.; Balogun, M.O.; Nkambule, T.T.; Msagati, T.A. Chitosan modified sugarcane bagasse biochar for the adsorption of inorganic phosphate ions from aqueous solution. J. Environ. Chem. Eng. 2022, 10, 108243. [Google Scholar] [CrossRef]
- Aghamohammadi, N.; Ain Abdul Aziz, H.; Isa, M.H.; Zinatizadeh, A.A. Powdered activated carbon augmented activated sludge process for treatment of semi-aerobic landfill leachate using response surface methodology. Bioresour. Technol. 2007, 98, 3570–3578. [Google Scholar] [CrossRef] [PubMed]
- Jagaba, A.H.; Kutty, S.R.M.; Isa, M.H.; Ghaleb, A.A.S.; Lawal, I.M.; Usman, A.K.; Birniwa, A.H.; Noor, A.; Abubakar, S.; Umaru, I. Toxic effects of xenobiotic compounds on the microbial community of activated sludge. ChemBioEng Rev. 2022, 9, 497–535. [Google Scholar] [CrossRef]
- Aziz, S.Q.; Aziz, H.A.; Yusoff, M.S.; Bashir, M.J. Landfill leachate treatment using powdered activated carbon augmented sequencing batch reactor (SBR) process: Optimization by response surface methodology. J. Hazard. Mater. 2011, 189, 404–413. [Google Scholar] [CrossRef]
- Yaro, N.S.A.; Sutanto, M.H.; Habib, N.Z.; Napiah, M.; Usman, A.; Muhammad, A. Comparison of Response Surface Methodology and Artificial Neural Network approach in predicting the performance and properties of palm oil clinker fine modified asphalt mixtures. Constr. Build. Mater. 2022, 324, 126618. [Google Scholar] [CrossRef]
- Birjandi, N.; Younesi, H.; Bahramifar, N.; Ghafari, S.; Zinatizadeh, A.A.; Sethupathi, S. Optimization of coagulation-flocculation treatment on paper-recycling wastewater: Application of response surface methodology. J. Environ. Sci. Health Part A 2013, 48, 1573–1582. [Google Scholar] [CrossRef]
- Jagaba, A.H.; Kutty, S.R.M.; Baloo, L.; Noor, A.; Abubakar, S.; Lawal, I.M.; Umaru, I.; Usman, A.K.; Kumar, V.; Birniwa, A.H. Effect of Hydraulic Retention Time on the Treatment of Pulp and Paper Industry Wastewater by Extended Aeration Activated Sludge System. In Proceedings of the 2021 Third International Sustainability and Resilience Conference: Climate Change (IEEE 2021), Sakheer, Bahrain, 15–16 November 2021; pp. 221–224. [Google Scholar]
- Asfaram, A.; Ghaedi, M.; Agarwal, S.; Tyagi, I.; Gupta, V.K. Removal of basic dye Auramine-O by ZnS: Cu nanoparticles loaded on activated carbon: Optimization of parameters using response surface methodology with central composite design. RSC Adv. 2015, 5, 18438–18450. [Google Scholar] [CrossRef]
- Jagaba, A.H.; Kutty, S.R.M.; Noor, A.; Affam, A.C.; Ghfar, A.A.; Usman, A.K.; Lawal, I.M.; Birniwa, A.H.; Kankia, M.U.; Afolabi, H.K. Parametric optimization and kinetic modelling for organic matter removal from agro-waste derived paper packaging biorefinery wastewater. Biomass Convers. Biorefinery 2022, 1–18. [Google Scholar] [CrossRef]
- Bhateria, R.; Dhaka, R. Optimization and statistical modelling of cadmium biosorption process in aqueous medium by Aspergillus niger using response surface methodology and principal component analysis. Ecol. Eng. 2019, 135, 127–138. [Google Scholar] [CrossRef]
- Jagaba, A.H.; Kutty, S.R.M.; Baloo, L.; Birniwa, A.H.; Lawal, I.M.; Aliyu, M.K.; Yaro, N.S.A.; Usman, A.K. Combined treatment of domestic and pulp and paper industry wastewater in a rice straw embedded activated sludge bioreactor to achieve sustainable development goals. Case Stud. Chem. Environ. Eng. 2022, 6, 100261. [Google Scholar] [CrossRef]
- Dhiman, N.; Shukla, S.; Kisku, G. Statistical optimization of process parameters for removal of dyes from wastewater on chitosan cenospheres nanocomposite using response surface methodology. J. Clean. Prod. 2017, 149, 597–606. [Google Scholar]
- Jagaba, A.H.; Kutty, S.R.M.; Lawal, I.M.; Birniwa, A.H.; Affam, A.C.; Yaro, N.S.A.; Usman, A.K.; Umaru, I.; Abubakar, S.; Noor, A. Circular economy potential and contributions of petroleum industry sludge utilization to environmental sustainability through engineered processes—A review. Clean. Circ. Bioeconomy 2022, 3, 100029. [Google Scholar] [CrossRef]
- Sathian, S.; Rajasimman, M.; Radha, G.; Shanmugapriya, V.; Karthikeyan, C. Performance of SBR for the treatment of textile dye wastewater: Optimization and kinetic studies. Alex. Eng. J. 2014, 53, 417–426. [Google Scholar] [CrossRef]
- Birniwa, A.H.; Mohammad, R.E.A.; Ali, M.; Rehman, M.F.; Abdullahi, S.S.; Eldin, S.M.; Mamman, S.; Sadiq, A.C.; Jagaba, A.H. Synthesis of Gum Arabic Magnetic Nanoparticles for Adsorptive Removal of Ciprofloxacin: Equilibrium, Kinetic, Thermodynamics Studies, and Optimization by Response Surface Methodology. Separations 2022, 9, 322. [Google Scholar] [CrossRef]
- Borghei, S.; Sharbatmaleki, M.; Pourrezaie, P.; Borghei, G. Kinetics of organic removal in fixed-bed aerobic biological reactor. Bioresour. Technol. 2008, 99, 1118–1124. [Google Scholar] [CrossRef]
- Faridnasr, M.; Ghanbari, B.; Sassani, A. Optimization of the moving-bed biofilm sequencing batch reactor (MBSBR) to control aeration time by kinetic computational modeling: Simulated sugar-industry wastewater treatment. Bioresour. Technol. 2016, 208, 149–160. [Google Scholar] [CrossRef]
- Faekah, I.N.; Fatihah, S.; Mohamed, Z.S. Kinetic evaluation of a partially packed upflow anaerobic fixed film reactor treating low-strength synthetic rubber wastewater. Heliyon 2020, 6, e03594. [Google Scholar] [CrossRef]
- Usman, A.; Sutanto, M.H.; Napiah, M.; Zoorob, S.E.; Yaro, N.S.A.; Khan, M.I. Comparison of performance properties and prediction of regular and gamma-irradiated granular waste polyethylene terephthalate modified asphalt mixtures. Polymers 2021, 13, 2610. [Google Scholar] [CrossRef]
- Yaro, N.S.A.; Napiah, M.B.; Sutanto, M.H.; Usman, A.; Saeed, S.M. Modeling and optimization of mixing parameters using response surface methodology and characterization of palm oil clinker fine modified bitumen. Constr. Build. Mater. 2021, 298, 123849. [Google Scholar] [CrossRef]
- Usman, A.; Sutanto, M.H.; Napiah, M.B.; Yaro, N.S.A. Response surface methodology optimization in asphalt mixtures: A review. In Response Surface Methodology in Engineering Science; IntechOpen: London, UK, 2021. [Google Scholar]
- Yaro, N.S.A.; Sutanto, M.H.; Habib, N.Z.; Napiah, M.; Usman, A.; Al-Sabaeei, A.M.; Rafiq, W. Mixture Design-Based Performance Optimization via Response Surface Methodology and Moisture Durability Study for Palm Oil Clinker Fine Modified Bitumen Asphalt Mixtures. Int. J. Pavement Res. Technol. 2022, 1–28. [Google Scholar] [CrossRef]
- Jagaba, A.H.; Kutty, S.R.M.; Abubakar, S.; Birniwa, A.H.; Lawal, I.M.; Umaru, I.; Usman, A.K.; Yaro, N.S.A.; Al-Zaqri, N.; Al-Maswari, B.M. Synthesis, Characterization, and Performance Evaluation of Hybrid Waste Sludge Biochar for COD and Color Removal from Agro-Industrial Effluent. Separations 2022, 9, 258. [Google Scholar] [CrossRef]
- Birniwa, A.H.; Mahmud, H.N.M.E.; Abdullahi, S.S.; Habibu, S.; Jagaba, A.H.; Ibrahim, M.N.M.; Ahmad, A.; Alshammari, M.B.; Parveen, T.; Umar, K. Adsorption Behavior of Methylene Blue Cationic Dye in Aqueous Solution Using Polypyrrole-Polyethylenimine Nano-Adsorbent. Polymers 2022, 14, 3362. [Google Scholar] [CrossRef] [PubMed]
- Jagaba, A.H.; Kutty, S.R.M.; Lawal, I.M.; Aminu, N.; Noor, A.; Al-dhawi, B.N.S.; Usman, A.K.; Batari, A.; Abubakar, S.; Birniwa, A.H.; et al. Diverse sustainable materials for the treatment of petroleum sludge and remediation of contaminated sites: A review. Clean. Waste Syst. 2022, 2, 100010. [Google Scholar] [CrossRef]
- Birniwa, A.H.; Abubakar, A.S.; Mahmud, H.N.M.E.; Kutty, S.R.M.; Jagaba, A.H.; Abdullahi, S.S.; Zango, Z.U. Application of Agricultural Wastes for Cationic Dyes Removal from Wastewater. In Textile Wastewater Treatment; Springer: Berlin/Heidelberg, Germany, 2022; pp. 239–274. [Google Scholar]
- Jagaba, A.H.; Kutty, S.R.M.; Hayder, G.; Baloo, L.; Noor, A.; Yaro, N.S.A.; Saeed, A.A.H.; Lawal, I.M.; Birniwa, A.H.; Usman, A.K. A systematic literature review on waste-to-resource potential of palm oil clinker for sustainable engineering and environmental applications. Materials 2021, 14, 4456. [Google Scholar] [CrossRef]
- Abdullahi, S.S.; Musa, H.; Habibu, S.; Birniwa, A.H.; Mohammad, R.E.A. Facile synthesis and dyeing performance of some disperse monomeric and polymeric dyes on nylon and polyester fabrics. Bull. Chem. Soc. Ethiop. 2021, 35, 485–497. [Google Scholar] [CrossRef]
- Abubakar, S.; Lawal, I.; Hassan, I.; Jagaba, A. Quality water analysis of public and private boreholes (a case study of Azare Town, Bauchi, Nigeria). Am. J. Eng. Res. 2016, 5, 204–208. [Google Scholar]
- Birniwa, A.H.; Abdullahi, S.S.; Yakasai, M.Y.; Ismaila, A. Studies on physico-mechanical behaviour of kenaf/glass fiber reinforced epoxy hybrid composites. Bull. Chem. Soc. Ethiop. 2021, 35, 171–184. [Google Scholar] [CrossRef]
- Abdullahi, S.S.; Musa, H.; Habibu, S.; Birniwa, A.H.; Mohammad, R.E.A. Comparative study and dyeing performance of as-synthesized azo heterocyclic monomeric, polymeric, and commercial disperse dyes. Turk. J. Chem 2022, 46, 1–12. [Google Scholar]
- Jagaba, A.H.; Kutty, S.R.M.; Isa, M.H.; Affam, A.C.; Aminu, N.; Abubakar, S.; Noor, A.; Lawal, I.M.; Umaru, I.; Hassan, I. Effect of environmental and operational parameters on sequential batch reactor systems in dye degradation. In Dye Biodegradation, Mechanisms and Techniques; Springer: Berlin/Heidelberg, Germany, 2022; pp. 193–225. [Google Scholar]
- Lawal, I.M.; Bertram, D.; White, C.J.; Jagaba, A.H.; Hassan, I.; Shuaibu, A. Multi-criteria performance evaluation of gridded precipitation and temperature products in data-sparse regions. Atmosphere 2021, 12, 1597. [Google Scholar] [CrossRef]
- Ghaleb, A.; Kutty, S.; Ho, Y.; Jagaba, A.; Noor, A.; Al-Sabaeei, A.; Kumar, V.; Saeed, A. Anaerobic Co-Digestion for Oily-Biological Sludge with Sugarcane Bagasse for Biogas Production under Mesophilic Condition. In IOP Conference Series: Materials Science and Engineering, Proceedings of the 5th International Conference of Chemical Engineering and Industrial Biotechnology (ICCEIB 2020), Kuala Lumpur, Malaysia, 9–11 August 2020; IOP Publishing: Bristol, UK, 2020; p. 012084. [Google Scholar]
- Jagaba, A.H.; Kutty, S.R.M.; Noor, A.; Birniwa, A.H.; Affam, A.C.; Lawal, I.M.; Kankia, M.U.; Kilaco, A.U. A systematic literature review of biocarriers: Central elements for biofilm formation, organic and nutrients removal in sequencing batch biofilm reactor. J. Water Process Eng. 2021, 42, 102178. [Google Scholar] [CrossRef]
- Sayed, K.; Baloo, L.; Kutty, S.R.B.; Al Madhoun, W.; Kankia, M.U.; Jagaba, A.H.; Singa, P.K. Optimization of palm oil mill effluent final discharge as biostimulant for biodegradation of tapis light crude petroleum oil in seawater. J. Sea Res. 2022, 188, 102268. [Google Scholar] [CrossRef]
- Abedinzadeh, N.; Shariat, M.; Monavari, S.M.; Pendashteh, A. Evaluation of color and COD removal by Fenton from biologically (SBR) pre-treated pulp and paper wastewater. Process Saf. Environ. Prot. 2018, 116, 82–91. [Google Scholar] [CrossRef]
- Al-Mahbashi, N.M.Y.; Kutty, S.R.M.; Bilad, M.R.; Huda, N.; Kobun, R.; Noor, A.; Jagaba, A.H.; Al-Nini, A.; Ghaleb, A.A.S.; Al-dhawi, B.N.S. Bench-Scale Fixed-Bed Column Study for the Removal of Dye-Contaminated Effluent Using Sewage-Sludge-Based Biochar. Sustainability 2022, 14, 6484. [Google Scholar] [CrossRef]
- Yaro, S.N.A.; Sutanto, M.H.; Usman, A.; Jagaba, A.H.; Sakadadi, M.Y. The influence of waste rice straw ash as surrogate filler for asphalt concrete mixtures. Construction 2022, 2, 118–125. [Google Scholar] [CrossRef]
- Gomes, S.D.C.; Zhou, J.L.; Zeng, X.; Long, G. Water treatment sludge conversion to biochar as cementitious material in cement composite. J. Environ. Manag. 2022, 306, 114463. [Google Scholar] [CrossRef]
- Jagaba, A.; Kutty, S.; Hayder, G.; Elsadig, E.; Lawal, I.; Sayed, K.; Abubakar, S.; Hassan, I.; Umaru, I.; Zubairu, I. Evaluation of the Physical, Chemical, Bacteriological and Trace Metals Concentrations in Different Brands of Packaged Drinking Water. Eng. Lett. 2021, 29, 9. [Google Scholar]













| Independent Variables | Symbol | Ranges and Codes | ||
|---|---|---|---|---|
| k | Low | Center | High | |
| GSBE conc. (%) | kx | 20 | 60 | 100 |
| HRT (days) | ky | 1 | 2 | 3 |
| Parameter | Mean | Permissible Limit (EPA, 2002) |
|---|---|---|
| pH | 8.31 | 6–9 |
| Temperature (°C) | 26.9 | 40 |
| TSS (mg/L) | 319 | 35 |
| TDS (mg/L) | 1361 | 30 |
| COD (mg/L) | 5893 | 120 |
| BOD5 (mg/L) | 3027 | 40 |
| NH4+− N (mg/L) | 69.25 | 20 |
| Phosphorus (mg/L) | 294 | 200 |
| Total Nitrogen (mg/L) | 182 | 143 |
| EC (μS cm−1) | 1641 | 1000 |
| Elements | Values (%) |
|---|---|
| K | 6.15 |
| C | 18.39 |
| Ca | 0.54 |
| Mn | 0.61 |
| Al | 29.74 |
| Rb | 0.19 |
| Cl | 6.70 |
| Si | 8.19 |
| Fe | 0.27 |
| Zn | 0.15 |
| S | 2.86 |
| P | 2.31 |
| Mg | 0.82 |
| O | 23.08 |
| Run | Independent Variables | Responses | ||||
|---|---|---|---|---|---|---|
| CMAS | SB-CMAS | |||||
| GSBE Conc. (%) | HRT (d) | COD Removal (%) | NH4+−N Removal (%) | COD Removal (%) | NH4+−N Removal (%) | |
| 1 | 20 | 3 | 71.8 | 74.4 | 90.4 | 80.66 |
| 2 | 60 | 1 | 78.29 | 76.84 | 93.61 | 85.73 |
| 3 | 100 | 1 | 65.96 | 66.03 | 76.41 | 82.86 |
| 4 | 60 | 2 | 80.27 | 77.32 | 95.51 | 85.39 |
| 5 | 60 | 3 | 81.21 | 76.09 | 93.7 | 87.34 |
| 6 | 20 | 1 | 72.8 | 68.75 | 95.11 | 85.93 |
| 7 | 60 | 2 | 80.77 | 77.22 | 94.83 | 87.29 |
| 8 | 100 | 3 | 59.4 | 63.42 | 80.4 | 73.59 |
| 9 | 20 | 2 | 63.88 | 68.73 | 89.38 | 85.48 |
| 10 | 60 | 2 | 72.68 | 72.84 | 91.67 | 83.72 |
| 11 | 100 | 2 | 64.12 | 65.07 | 78.74 | 72.72 |
| CMAS | SB-CMAS | |||||||||||
|---|---|---|---|---|---|---|---|---|---|---|---|---|
| Source | COD | COD | ||||||||||
| Sum of Squares | df | Mean Square | F-Value | p-Value | Sum of Squares | df | Mean Square | F-Value | p-Value | |||
| Model | 501.03 | 5 | 100.21 | 5.39 | 0.0441 | significant | 495.65 | 5 | 99.13 | 59.64 | 0.0002 | significant |
| A-GSBE conc. | 235.88 | 1 | 235.88 | 12.68 | 0.0162 | 257.94 | 1 | 257.94 | 155.18 | < 0.0001 | ||
| B-HRT | 106.01 | 1 | 106.01 | 5.70 | 0.0626 | 0.0661 | 1 | 0.0661 | 0.0398 | 0.8497 | ||
| AB | 15.41 | 1 | 15.41 | 0.8281 | 0.4045 | 2.81 | 1 | 2.81 | 1.69 | 0.2506 | ||
| A2 | 106.98 | 1 | 106.98 | 5.75 | 0.0618 | 160.86 | 1 | 160.86 | 96.78 | 0.0002 | ||
| B2 | 9.52 | 1 | 9.52 | 0.5117 | 0.5064 | 24.09 | 1 | 24.09 | 14.49 | 0.0125 | ||
| Residual | 93.01 | 5 | 18.60 | 8.31 | 5 | 1.66 | ||||||
| Lack of Fit | 49.64 | 3 | 16.55 | 0.7629 | 0.6101 | not significant | 6.64 | 3 | 2.21 | 2.65 | 0.2860 | not significant |
| Pure Error | 43.37 | 2 | 21.69 | 1.67 | 2 | 0.8359 | ||||||
| Cor Total | 594.05 | 10 | 503.96 | 10 | ||||||||
| Source | NH4+−N | NH4+−N | ||||||||||
| Sum of Squares | df | Mean Square | F -Value | p-Value | Sum of Squares | df | Mean Square | F-Value | p-Value | |||
| Model | 264.08 | 5 | 52.82 | 18.75 | 0.0030 | significant | 241.35 | 5 | 48.27 | 10.25 | 0.0116 | significant |
| A-GSBE conc. | 50.23 | 1 | 50.23 | 17.83 | 0.0083 | 87.40 | 1 | 87.40 | 18.55 | 0.0077 | ||
| B-HRT | 18.83 | 1 | 18.83 | 6.68 | 0.0491 | 8.95 | 1 | 8.95 | 1.90 | 0.2265 | ||
| AB | 5.55 | 1 | 5.55 | 1.97 | 0.2196 | 55.95 | 1 | 55.95 | 11.88 | 0.0183 | ||
| A2 | 179.54 | 1 | 179.54 | 63.72 | 0.0005 | 77.62 | 1 | 77.62 | 16.47 | 0.0097 | ||
| B2 | 0.2870 | 1 | 0.2870 | 0.1019 | 0.7625 | 0.8238 | 1 | 0.8238 | 0.1749 | 0.6932 | ||
| Residual | 14.09 | 5 | 2.82 | 23.56 | 5 | 4.71 | ||||||
| Lack of Fit | 13.15 | 3 | 4.38 | 9.40 | 0.0977 | not significant | 21.09 | 3 | 7.03 | 5.69 | 0.1532 | not significant |
| Pure Error | 0.9333 | 2 | 0.4666 | 2.47 | 2 | 1.24 | ||||||
| Cor Total | 278.16 | 10 | 264.90 | 10 | ||||||||
| Std. Dev. | Mean | C.V. % | R² | Adjusted R² | Predicted R² | Adeq Precision | |
|---|---|---|---|---|---|---|---|
| CMAS | |||||||
| COD | 4.31 | 71.93 | 6.00 | 0.8434 | 0.6868 | 0.2210 | 6.5758 |
| NH4+−N | 1.68 | 71.52 | 2.35 | 0.9494 | 0.8987 | 0.6716 | 11.0330 |
| SB-CMAS | |||||||
| COD | 1.29 | 89.07 | 1.45 | 0.9835 | 0.9670 | 0.8733 | 19.2623 |
| NH4+−N | 2.17 | 82.79 | 2.62 | 0.9111 | 0.8221 | 0.2021 | 9.6909 |
| CMAS | ||||||||||||
|---|---|---|---|---|---|---|---|---|---|---|---|---|
| Factor | COD | NH4+−N | ||||||||||
| Coefficient Estimate | df | Standard Error | 95% Cl Low | 95% Cl High | VIF | Coefficient Estimate | df | Standard Error | 95% Cl Low | 95% Cl High | VIF | |
| Intercept | 76.53 | 1 | 2.21 | 70.84 | 82.21 | 75.93 | 1 | 0.8611 | 73.71 | 78.14 | ||
| A-GSBE | −6.27 | 1 | 1.76 | −10.80 | −1.74 | 1.0000 | −2.89 | 1 | 0.6853 | −4.65 | −1.13 | 1.0000 |
| B-HRT | −4.20 | 1 | 1.76 | −8.73 | 0.3230 | 1.0000 | −1.77 | 1 | 0.6853 | −3.53 | −0.0101 | 1.0000 |
| AB | 1.96 | 1 | 2.16 | −3.58 | 7.51 | 1.0000 | 1.18 | 1 | 0.8393 | −0.9799 | 3.33 | 1.0000 |
| A2 | −6.50 | 1 | 2.71 | −13.46 | 0.4674 | 1.08 | −8.42 | 1 | 1.05 | −11.13 | −5.71 | 1.08 |
| B2 | −1.94 | 1 | 2.71 | −8.90 | 5.03 | 1.08 | 0.3366 | 1 | 1.05 | −2.37 | 3.05 | 1.08 |
| SB-CMAS | ||||||||||||
| Intercept | 95.10 | 1 | 0.6614 | 93.40 | 96.80 | 86.12 | 1 | 1.11 | 83.26 | 88.98 | ||
| A-GSBE | −6.56 | 1 | 0.5263 | −7.91 | −5.20 | 1.0000 | −3.82 | 1 | 0.8861 | −6.09 | −1.54 | 1.0000 |
| B-HRT | −0.1050 | 1 | 0.5263 | −1.46 | 1.25 | 1.0000 | −1.22 | 1 | 0.8861 | −3.50 | 1.06 | 1.0000 |
| AB | 0.8375 | 1 | 0.6446 | −0.8196 | 2.49 | 1.0000 | −3.74 | 1 | 1.09 | −6.53 | −0.9502 | 1.0000 |
| A2 | −7.97 | 1 | 0.8100 | −10.05 | −5.89 | 1.08 | −5.54 | 1 | 1.36 | −9.04 | −2.03 | 1.08 |
| B2 | −3.08 | 1 | 0.8100 | −5.17 | −1.00 | 1.08 | −0.5703 | 1 | 1.36 | −4.08 | 2.94 | 1.08 |
Publisher’s Note: MDPI stays neutral with regard to jurisdictional claims in published maps and institutional affiliations. |
© 2022 by the authors. Licensee MDPI, Basel, Switzerland. This article is an open access article distributed under the terms and conditions of the Creative Commons Attribution (CC BY) license (https://creativecommons.org/licenses/by/4.0/).
Share and Cite
Jagaba, A.H.; Kutty, S.R.M.; Baloo, L.; Hayder, G.; Birniwa, A.H.; Taha, A.T.B.; Mnzool, M.; Lawal, I.M. Waste Derived Biocomposite for Simultaneous Biosorption of Organic Matter and Nutrients from Green Straw Biorefinery Effluent in Continuous Mode Activated Sludge Systems. Processes 2022, 10, 2262. https://doi.org/10.3390/pr10112262
Jagaba AH, Kutty SRM, Baloo L, Hayder G, Birniwa AH, Taha ATB, Mnzool M, Lawal IM. Waste Derived Biocomposite for Simultaneous Biosorption of Organic Matter and Nutrients from Green Straw Biorefinery Effluent in Continuous Mode Activated Sludge Systems. Processes. 2022; 10(11):2262. https://doi.org/10.3390/pr10112262
Chicago/Turabian StyleJagaba, Ahmad Hussaini, Shamsul Rahman Mohamed Kutty, Lavania Baloo, Gasim Hayder, Abdullahi Haruna Birniwa, Abubakr Taha Bakheit Taha, Mohammed Mnzool, and Ibrahim Mohammed Lawal. 2022. "Waste Derived Biocomposite for Simultaneous Biosorption of Organic Matter and Nutrients from Green Straw Biorefinery Effluent in Continuous Mode Activated Sludge Systems" Processes 10, no. 11: 2262. https://doi.org/10.3390/pr10112262
APA StyleJagaba, A. H., Kutty, S. R. M., Baloo, L., Hayder, G., Birniwa, A. H., Taha, A. T. B., Mnzool, M., & Lawal, I. M. (2022). Waste Derived Biocomposite for Simultaneous Biosorption of Organic Matter and Nutrients from Green Straw Biorefinery Effluent in Continuous Mode Activated Sludge Systems. Processes, 10(11), 2262. https://doi.org/10.3390/pr10112262

