Next Article in Journal
Investigation on the Injection Pattern of Intermittent Natural Gas Flooding in Ultra-Low Permeability Reservoirs
Previous Article in Journal
Flexible Ring Sensor Array and Machine Learning Model for the Early Blood Leakage Detection during Dialysis
Previous Article in Special Issue
Cytochrome P450 3A2 and PGP-MDR1-Mediated Pharmacokinetic Interaction of Sinapic Acid with Ibrutinib in Rats: Potential Food/Herb–Drug Interaction
 
 
Font Type:
Arial Georgia Verdana
Font Size:
Aa Aa Aa
Line Spacing:
Column Width:
Background:
Article

Optimizations of the Conditions for Ceftobiprole Determination in a Complex Matrix

by
Żaneta Binert-Kusztal
1,
Joanna Żandarek
1,2,
Małgorzata Starek
1,* and
Monika Dąbrowska
1,*
1
Department of Inorganic and Analytical Chemistry, Faculty of Pharmacy, Jagiellonian University Medical College, 9 Medyczna St., 30-688 Kraków, Poland
2
Doctoral School of Medical and Health Sciences, Jagiellonian University Medical College, 16 Łazarza St., 31-530 Kraków, Poland
*
Authors to whom correspondence should be addressed.
Processes 2022, 10(11), 2196; https://doi.org/10.3390/pr10112196
Submission received: 7 October 2022 / Revised: 18 October 2022 / Accepted: 22 October 2022 / Published: 26 October 2022
(This article belongs to the Special Issue Applications of Chromatography in Drug Analysis and Development)

Abstract

A quick and accurate chromatographic–densitometric method for the determination of ceftobiprole in biological material (whole blood and urine) was developed. Preparation of the test sample required extraction of the drug from the matrix and was carried out by testing methanol or acetone as extracting agents, which were successfully used to isolate ceftobiprole from biological material. Under optimization of the procedure, various stationary and mobile phases were tested. Lastly, HPTLC cellulose plates and a mixture containing ethanol, 2-propanol, glacial acetic acid, and water in the ratio 4:4:1:3 (v/v/v/v) were chosen. Densitometric detection was made at a maximum absorbance of 316 nm. The developed method was validated; a linear function of the ceftobiprole concentration was obtained in the range of 2.4–72 µg/mL (r > 0.99) for both methanol and acetone solutions. The average accuracy of the devised method was measured at nearly 100%; nevertheless, the limit of the quantification was at 8.92 for methanol and 9.14 µg/mL for acetone solution. Therefore, the above method can be successfully used to ceftobiprole in biological material.

Graphical Abstract

1. Introduction

Cephalosporins are 7-aminocephalosporinic acid derivatives. They constitute a subgroup of β-lactam antibiotics due to the presence in their structure of a four-membered β-lactam ring. Their hydrolysis with β-lactamases inactivates the antibiotic. Cephalosporins have a bactericidal effect by inhibiting bacterial cell-wall peptidoglycan synthesis, which in turn leads to the death of the bacterial cell. They are characterized by low toxicity and are considered as safe drugs; therefore, most of them can be used in pregnant women. Taking them may cause an allergy manifested by redness or hives of the skin, as well as irritation and pain at the injection site and dysbacteriosis. In addition, the use of cephalosporins containing in their structure a methyltiotetrazole ring (e.g., cefotetan, cefamandol, and cefoperazone) may lead to a disulfiram reaction or hypoprothrombinemia. The division of cephalosporins distinguishes the fifth generation with a different spectrum of action, which is associated with different indications for their use, which mainly include respiratory and urinary tract infections and subcutaneous tissue infections for first- and second-generation drugs. In the case of third-, fourth-, and fifth-generation antibiotics, the ability to penetrate the central nervous system is the most commonly used, enabling the treatment of meningitis, sepsis, and severe nosocomial infections caused by susceptible bacteria, which mainly include respiratory- and urinary-tract infections and subcutaneous tissue infections for first- and second-generation drugs [1].
Fifth-generation cephalosporins are active against MRSA (methicillin-resistant Staphylococcus aureus), as well as resistant enterococci, which distinguishes them from previous generations of cephalosporins. A characteristic feature of this group of drugs is the ability to penetrate the central nervous system and the parenteral route of administration; therefore, their use is limited to combating severe nosocomial infections. The fifth-generation antibiotics include ceftobiprole and ceftaroline, as well as ceftazolane which is only used in combination with tazobactam. Ceftobiprole is a bactericidal β-lactam antibiotic with a broad range of antibacterial activity, including MRSA and resistant enterococci [1,2]. It is not active after oral administration; therefore, it is used as a prodrug in the form of intravenous infusions of ceftobiprole medocaril sodium. In addition, it is low-bound to plasma proteins and is minimally metabolized, which limits the possibility of interactions with other drugs. It is mainly excreted unchanged in the urine. Ceftobiprole exhibits linear and time-independent pharmacokinetics after both single and multiple doses. The half-life is approximately 3 h, allowing a steady state within the first day of dosing [3,4]. Ceftobiprole attaches to penicillin-binding proteins, which interferes with cell-wall synthesis, resulting in inhibition of cell growth. Ceftobiprole is approved for community-based treatment and nosocomial pneumonia treatment, except when a respirator is required. Its off-label use is justified in rescue therapy and in the case of ineffectiveness of alternative therapies. It can be used to treat complicated skin and soft-tissue infections, moderate to severe diabetic foot syndrome without bone infection, infections associated with the presence of a vascular catheter, and hospitalized patients with fever without a visible focus.
The use of ceftobiprole may cause mild side-effects, which may include nausea, vomiting, headache, and taste disturbances manifested by a caramel flavor. Due to the lack of clinical trials, the drug should not be used in pregnant and lactating women [5,6]. The most frequently used methods of quantifying drugs and metabolites in biological matrices such as blood, serum, plasma, or urine include high-performance liquid chromatography (HPLC), thin-layer chromatography (TLC), and combined LC mass spectrometric (MS) procedures such as LC–MS or LC–MS/MS.
The analysis of nonsteroidal anti-inflammatory drugs (NSAIDs) and cephalosporins in biological material was carried out using the TLC method with densitometric detection. In both cases, methanolic and acetone solutions of medicinal substances were prepared. Densitograms were recorded at an absorbance maximum of celecoxib at 254 nm, rofecoxib at 301 nm, piroxicam and tenoxicam at 360 nm, cefuroxime axetil at 285 nm, and cefepime at 266 nm [7,8]. TLC with densitometric detection was also used to determine cefazolin in biological material. The preparation of the serum and urine samples consisted of pH adjustment via the addition of hydrochloric acid and extraction with ethyl acetate. The plates were developed with ether and then air-dried prior to loading the solutions [9]. The TLC method with two types of detection was used to determine cefradin, cefaclor, cephalexin, and cefadroxil. Developed plates intended for fluorometric detection with OPA (o-phthaldialdehyde) or fluorescamine were sprayed with the appropriate reagents, and then fluorescence was measured at an excitation wavelength of 365 nm. In turn, all tested antibiotics were measured at 262 nm [10]. The above-described method was used for the determination of norfloxacin, perfloxacin, and ciprofloxacin. In order to avoid complexation of antibiotics with metals and to obtain a proper separation, the plates were impregnated with EDTA. Serum samples were pretreated including protein precipitation with anhydrous ethyl alcohol [11].
The determination of ceftalozane and tazobactam in human plasma was carried out using the liquid chromatography method with UV spectrophotometric detection. The prepared samples were deproteinized with methanol, acetonitrile, 5% zinc sulfate in methanol (1:4, v/v), and 6% perchloric acid. Detection was made with a photodiode array detector at 260 and 220 nm wavelengths for ceftolozane and tazobactam, respectively [12]. In intensive care units, the most commonly used antibiotics are cefepime, meropenem, ciprofloxacin, moxifloxacin, linezolid, and piperacillin; hence, the intention of the study was to develop a method for their simultaneous determination. For this purpose, HPLC–MS/MS was used. The samples were purified by protein precipitation with methanol and tert-butyl methyl ether at a ratio of 90:10, v/v [13]. Wang et al. conducted the determination of ceftizoxime in biological material (serum and urine) using UPLC–MS/MS. After purification of the sample from the protein fraction with acetonitrile, separation was performed. [14]. In 2016, a method to determine the new oxazolidine antibiotic tedizolid was published. The biological material consisted of rat plasma samples that were extracted with ethyl acetate [15]. In another study, the UPLC–MS/MS method was used to determine enmetazobactam and cefepime in human plasma [16]. The same technique was used to perform the determination of fosfomycin in biological material. Depending on the matrix, the samples were prepared by dilution with methanol or by protein precipitation [17]. The simultaneous determination of levofloxacin, ciprofloxacin, moxifloxacin, and rifampicin was developed. The pretreatment of the plasma samples included protein precipitation with zinc sulfate heptahydrate [18]. A validation of an analytical HPLC–MS/MS method for the determination of ciprofloxacin developed for the quantitation of the drug in urine was established [19]. Tandem mass spectrometry in combination with hydrophilic interaction liquid chromatography (HILIC) was used to determine fosfomycin in plasma and urine. The prepared solutions were subjected to ultrafiltration, acetonitrile was added to the filtrate in an automatic sampling vial, and then the biological material was analyzed by LC–MS/MS system [20].
The determination of pure moxifloxacin, pharmaceutical preparations, and biological material using the spectrofluorimetric method was described. The procedure was based on the production of fluorescently active trivalent cerium obtained by reducing the tetravalent form reacted with moxifloxacin in an acidic environment [21]. The analysis of norfloxacin in urine and pharmaceutical preparations was determined. The authors used nanomaterials containing zinc sulfide doped with terbium, obtained by X-ray diffraction and transmission electron microscopy [22]. For the determination of cefixime in pharmaceutical preparations and biological material, the spectrofluorimetric method using the quenching effect of the drug on the intensity of eosin Y fluorescence was used. Samples containing plasma or urine were deproteinized with acetonitrile, and then measured at 300/549 nm [23]. The reaction between fluorescamine as a derivatizing agent and the primary amino group of tobramycin in a borate buffer at pH 8.5 in combination with the spectrofluorimetric technique allowed the determination of tobramycin in human serum and pharmaceutical preparations [24]. Cefdinir and cefepime hydrochloride were determined by spectrophotometric method using silver nanoparticles formed as a result of Ag+ ion reduction by alkaline degradation products of the studied drugs. The absorbance was measured at the wavelengths of 360 and 350 nm for cefdinir and cefepime hydrochloride, respectively [25]. Cephalosporin antibiotics were detected in urine using the surface-enhanced Raman spectroscopy (SERS) method. For analyte purification, an aluminum hydroxide gel was used, which acted as a sorbent, while silver nanoparticles stabilized with hydroxylamine acted as a substrate [26].
Blood levels of ceftobiprole should be monitored, as well as levels of other antibiotics to reduce hospitalization time and increase the safety of treatment. In hospitals, HPLC with spectrophotometric detection (DAD) is often used to monitor active substance levels during therapy. The analysis is carried out in the mobile phase with an acetonitrile/phosphate buffer on a biphenyl column in linear gradient mode, and ceftobiprole is monitored at a wavelength of 320 nm. The method was validated and described by the guidelines of the European Medicines Agency demonstrating appropriate accuracy and precision [27]. A fully automated analytical procedure for quantification of the plasma concentrations of 10 antibiotics, including ceftobiprole, in therapeutic drug monitoring with fully automated sample preparation was developed. A sample preparation consisting of acetonitrile plasma protein precipitation and water dilution was applied. The analysis was performed with an automated sample preparation system directly coupled to an LC–MS/MS system. The method was sensitive (LOQ 0.1–1 mg/L), accurate (intra/inter-assay bias 14.8% to 14.2%), and precise (intra/inter-assay CVs 1.27% to 16.3%) [28]. Currently, searching for new therapeutic solutions (e.g., new antibiotics), especially due to the problem of increasing bacterial resistance is particularly important. Similarly, carrying out tests allows developing procedures, enabling determination of active substance both in pure form and in a complex matrix such as biological material, allowing for quick and continuous monitoring of drug concentration during the antibiotic therapy.
The aim of the study was to develop conditions for the determination of the fifth-generation cephalosporin, ceftobiprole, in a complex matrix of biological material, i.e., blood and urine. The research carried out as part of the presented work focused on three points: (i) development and optimization of a method for the determination of ceftobiprole using the thin-layer chromatography technique with densitometric detection, (ii) validation of the developed analytical procedure in accordance with the ICH guidelines, and (iii) checking the suitability of the developed method for the qualitative and quantitative analysis of the drug included in the research plan in biological material. To our knowledge, no other TLC chromatographic method coupled with densitometric detection has been proposed for ceftobiprole determination in complex matrix such as blood and urine.

2. Materials and Methods

2.1. Standard Substance

Ceftobiprole (BAL009141-000, Batch 08004R25F) was obtained from Basilea Pharmaceutica (Basilea, Switzerland).

2.2. Chemicals and Apparatus

Water, glacial acetic acid, and chloroform were purchased from Witko (Łódź, Poland), acetonitrile and 2-propanol were purchased from POCH (Gliwice, Poland), and ethanol, acetone, and methyl alcohol were purchased from Chempur (Piekary Sląskie, Poland). All chemicals were analytical grade. A densitometer TLC Scanner 3 with Cat4 software (Muttenz, Camag, Switzerland), Linomat V (Muttenz, Camag, Switzerland), analytical balance WPA 120C1 (Radom, Radwag, Poland), micro-syringe (Hamilton, FL, USA), and dryer EcoCell BMT (Brno, Czech Republic) were used. Chromatographic plates, such as TLC silica gel 60F254 (No. 1.05554.0001) and HPTLC cellulose (No. 1.16092.0001), were purchased from Merck (Darmstadt, Germany).

2.3. Samples Solutions

An appropriate amount of ceftobiprole (0.0036 g) was weighed of into a 25 mL flask using an analytical balance, with an accuracy of 0.1 mg, and then made up to the mark with distilled water, before diluting 1:1 (v/v) with the same solvent. Using methanol and acetone, successive 1:1 dilutions were made to obtain solutions with a concentration of 0.0036% ceftobiprole, which were used for further studies. Serial dilutions were made by taking 5 mL of the solution into a 10 mL flask and replenishing with the appropriate solvent.

2.4. Chromatographic Conditions

HPTLC Cellulose and TLC silica gel 60F254 plates were activated with pure methanol, acetone, chloroform, or acetonitrile, and then dried at room temperature or placed in an incubator at 70 °C for 24 h. On the activated 10 × 5 cm plates, a methanolic solution of ceftobiprole was applied with the Linomat V in the form of two spots in the amount of 10 and 30 μL, respectively. The plates were dried at room temperature, and then developed in miscellaneous mobile phases and different division lengths (9, 9.5, 10, 12 cm), in a chromatographic chamber in size 18 × 16 × 8 cm (Sigma-Aldrich, Laramie, WY, USA), previously saturated with mobile phases vapor for 15 min at room temperature. Then, the obtained results were assessed visually (under a UV/Vis lamp, at 254 and 366 nm) and densitometrically (scanning speed 20 mm/s, slit dimensions 4.00 × 0.45 mm, and over the range of 200–400 nm) recording the absorption spectra. In all tested conditions, we did not obtain a well-shaped peak derived from the active substance, or the recorded retardation factor (RF) was below 0.20. During optimization of the procedure, when well-developed peaks were recorded (RF = 0.28), HPTLC cellulose plates were selected as the stationary phase for the further analysis, and the mixture consisting of ethanol, 2-propanol, glacial acetic acid, and water, in the volume ratio 4:4:1:3 (v/v/v/v), was selected as the developing system. The development length was 9.5 cm during 40 min. On the basis of the overlaid absorption spectra, analytical wavelength was chosen for further analyses (316 nm).

2.5. Validation of the Method

The term validation covers a number of processes allowing to prove that the developed analytical method serves the achievement of the intended analytical goals and is scientifically correct. It is used to ensure repeatability and the highest possible reliability of the obtained results. In general, it is a one-time procedure; however, in some situations it is necessary to perform revalidation. It becomes necessary in the case of changes in the synthesis of the active substance, in the composition of the medicinal product, or in the analytical method [29].

2.5.1. Specificity

Specificity is ensured by an unambiguous determination of the analyzed substance, free from the influence of impurities and auxiliary compounds that may be in the sample. In addition, a properly developed analytical method enables the differentiation of compounds with a similar structure by comparing the results of the analysis of the test sample with the reference sample.

2.5.2. Linearity Range

We speak of linearity when, to a certain extent, the values obtained in the course of the analysis are directly proportional to the substance content in the sample. If a linear relationship is received on the basis of the obtained results, the regression line is calculated using the least squares method. The results should be accompanied by a graph and the value of the correlation coefficient, the y-intercept, the slope of the regression line, and the residual sum of squares. Determining the linearity parameter should be based on the analysis of at least five different concentrations of standard solutions.

2.5.3. Limit of Detection (LOD) and Limit of Quantification (LOQ)

The limit of quantification is the smallest amount of a substance that can be determined with reasonable accuracy and precision using a given analytical method.
The LOD is the lowest concentration or the lowest mass of an analyte that can be determined with appropriate accuracy in a sample using a particular analytical technique. It is related to the noise limit of the measurement process. It can be determined by one of the following methods: visual judgment, which consists of estimating the concentration using samples with a known analyte content and referring it to the test sample, signal-to-noise ratio determination, or using a mathematical equation based on the parameters of the calibration curve:
LOD = 3.3 ×   Sb a .
The LOQ is the smallest amount or concentration of a substance that we can determined using a chosen analytical method with sufficient precision and accuracy. This limit can be determined, such as the LOD, via optical estimation or by applying a formula, using the parameters of the calibration curve:
LOQ = 10 ×   Sb a ,
where Sb is the standard deviation of the intercept, and a is the slope of the calibration curve.
Both parameters are necessary when using the method for the determination of the drug substance content in pharmaceutical preparations.

2.5.4. Precision

The precision of the analytical procedure illustrates the level of compliance of the cycle of measurements performed under specified conditions on the same sample. It is usually expressed as the standard deviation, variance, or coefficient of variation. It should be considered at the level of repeatability (analysis performed in a short time using the same working conditions), intermediate precision (taking into account the differences in the equipment of laboratories, analysts performing the determinations, and the different days of their performance), and reproducibility (important for the standardization of the procedure, based on an inter-laboratory test).

2.5.5. Accuracy

The accuracy of an analytical method describes the compliance of the results obtained in the course of the analysis with the actual or assumed true value. Its dimension is the percentage recovery which is estimated by determining a known amount of the analyte in the sample. The accuracy should be assessed over the specified range of the procedure based on at least three concentration levels with three replicates each. The recovery was calculated by comparing the mean analytical results for the drug solutions with the theoretical value of the added weight of appropriate substance. The accuracy of the method was expressed as the percentage of the recovery of added analyte ranging from 80% to 120% of relevant substances compared to the examined preparations. The recovery (R [%]) was computed from the formula R [%] = [(A − Ai)/Ai ] × 100%, where A is the peak area [mm2] obtained for the sample solution after adding a specified amount of analyte, and Ai is the peak area [mm2] obtained prior to the addition of the analyte.

2.5.6. Robustness

The robustness parameter makes it possible to list activities, the modification of which may affect the final result of the analysis. In order for a slight fluctuation in temperature, extraction time, pH, or composition of the mobile phase to not preclude the reliability of the test, the analytical conditions to which the measurements are subject should be controlled.

2.5.7. Stability-Indicating Study

Tests of ceftobiprole stability in water, methanolic, and acetone solutions were conducted by placing previously prepared solutions at three temperatures (5 ± 2 °C, 22 ± 3 °C, and 7 days at −25 ± 5 °C). The analysis was carried out for 24 h at temperatures 5 ± 2 °C and 22 ± 3 °C, and 10 days at −25 ± 5 °C. Then, the solutions were applied to the chromatographic plates in the volume of 10 µL before further analyses under the developed method conditions.

2.6. Determination of Ceftobiprole in Biological Material

2.6.1. Preparation a Series of Samples with a Constant Amount of the Test Substance

In order to study the influence of the amount of biological material added on the quality of the chromatographic separation, 1.0 mL of a standard methanolic or acetone ceftobiprole solution was placed in each test tube, followed by addition of 0.05, 0.1, 0.2, 0.5, 1.0, and 2.0 mL of blood or urine, which was then made up to 3.0 mL with methanol or acetone.

2.6.2. Preparation of a Series of Samples with Various Amounts of the Test Substance

To eight samples containing 0.0, 0.1, 0.2, 0.5, 1.0, 1.5, 2.0, and 2.5 mL of methanolic or acetone standard solution of ceftobiprole, 0.5 mL of blood or urine was added to each, and then made up to 3.0 mL with an appropriate solvent (methanol or acetone).
The samples were mixed for 15 min, and then centrifuged and filtered. For further studies, the filtrate was used, which was applied to the chromatographic plates in the amount of 15 µL per spot, and then the areas of the peaks obtained as a result of the densitometric determination were analyzed.

3. Results and Discussion

A chromatographic–densitometric method for the determination of ceftobiprole in biological material (whole blood and urine) has been developed. Preparation of the test sample required extraction of the drug from the matrix. This procedure was carried out by testing methanol or acetone as extracting agents. These two tested solvents were successfully used to isolate ceftobiprole from biological material. During optimization of the analytical procedure, the solution of ceftobiprole was applied to HPTLC cellulose and TLC silica gel 60F254 plates. In order to select the appropriate mobile phase composition, various solvent in miscellaneous proportions were checked. Finally, the chosen mobile phase was a mixture containing ethanol, 2-propanol, glacial acetic acid, and water in the ratio 4:4:1:3 (v/v/v/v). Detection was performed through densitometric measurements in the UV range, and two absorbance maxima were determined at wavelengths of 232 and 316 nm (Figure 1). The best chromatographic separation was obtained on HPTLC cellulose plates. During the densitometric detection, background signals were recorded, and, in order to eliminate them, the plates were activated by testing various solvents and drying methods. The use of methanol-cleaned plates, dried in an oven, made it possible to obtain densitograms without background noise. The peak area values recorded during analysis were used for further quantitative analysis.
In the next step, the developed chromatographic–densitometric method was validated in order to ensure the highest possible reliability of the obtained test results. The process involved the determination of the following parameters: linearity, accuracy, limit of detection (LOD) and limit of quantification (LOQ), robustness, precision, specificity, and short- and long-term stability tests.
Linearity was determined by applying to the chromatography plates standard methanol or acetone ceftobiprole solution in the amounts of 1, 2, 3, 5, 7, 10, 15, 20, 25, and 30 µL. On the basis of the recorded densitograms, the relationship between the obtained surface areas and the amount of the tested substance in the sample was established. The results are presented in Table 1.
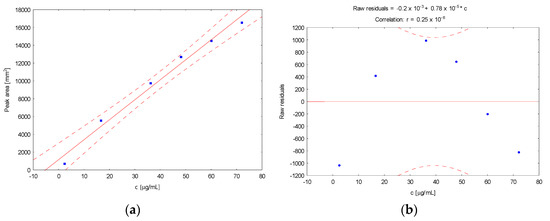
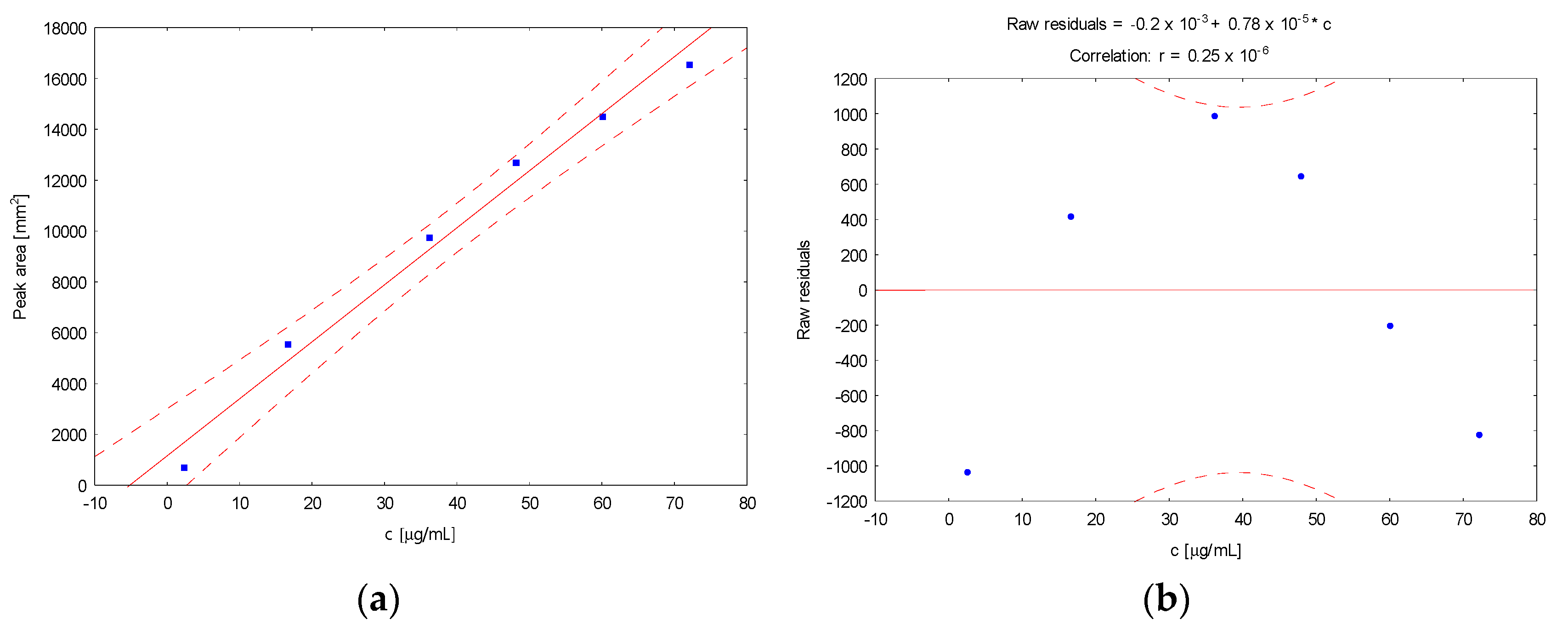
The calibration curves presented in the Figure 2 and Figure 3 show a good linear relationship between the peak areas and the concentration of ceftobiprole for both methanol and acetone solutions, which is confirmed by the high value of the correlation coefficient (>0.9).
In order to check the correctness of the equation of the calibration curve, residuals are plotted, which allow the observation of differences between the actual and predicted value. The analysis of the residual plot allows the detection of outliers that may distort the course of the regression model. They are identified by the high absolute value of the standardized residue (>2). Good correlation is evidenced by the distribution of residuals randomly close to 0. The residuals presented in the above graphs (Figure 2 and Figure 3) are arranged in an irregular manner, which confirms the fulfillment of the assumption of randomness. On the other hand, the obtained absolute values of standard residuals below two indicate no outliers.
Cook’s distance is a parameter used to evaluate the change in regression coefficients after the case is excluded from the calculations. Its determination allows for the possible detection of significant observations that may disturb the regression model. Their presence is evidenced by the value of Cook’s distance greater than 1. On the basis of the obtained results, the mean values of Cook’s distance for methanolic and acetone solutions of ceftobiprole were calculated at 0.332 and 0.471, respectively, allowing the presence of influential observations to be excluded.
On the basis of the value of the standard error of the intercept (Sb) and the slope of the calibration curve (a), the LOD and LOQ values for both methanolic and acetone solutions of ceftobiprole were calculated. The received LOD values were 2.94 and 3.02 µg/mL, and those of LOQ were 8.92 and 9.14 µg/mL for methanolic and acetone ceftobiprole solutions, respectively.
Using the developed method, the percentage recovery was determined by adding a known amount of the analyte to the tested sample. The following solutions were prepared: 1.6 mL of 0.0036% test substance solution + 0.9 mL of solvent (methanol or acetone) + 0.5 mL of biological material (blood or urine); 2.0 mL of 0.0036% test substance solution + 0.5 mL of solvent (methanol or acetone) + 0.5 mL of biological material (blood or urine); 2.4 mL of 0.0036% test substance solution + 0.1 mL of solvent (methanol or acetone) + 0.5 mL of biological material (blood or urine); standard solution (2.0 mL of 0.0036% test substance solution + 1 mL of solvent). All samples were mixed thoroughly, centrifuged, and filtered. The obtained filtrates were applied to chromatography plates. The accuracy of the method, expressed as a percentage of recovery, was determined at three concentration levels (80%, 100%, and 120%) with three trials each. The obtained values were averaged, and the results are presented in the Table 2.
It can be successfully assumed that the developed analytical method is accurate, which is confirmed by the obtained percentages of recovery, which meets the acceptance criterion of 95–105%.
The robustness of the developed procedure was evaluated through the credibility of the test with regard to variations in the experimental conditions, such as chamber saturation time (±5 min), chamber size (27 × 27 × 7 cm, 10 × 11 × 8 cm), length of chromatogram development (±0.5 cm), and small changes in the volume of selected components in the tested mobile phase (±0.1 mL). It was found that the extension of/reduction in the length of chromatographic plate, similarly to the abovementioned tested small changes, did not affect the value of the recorded chromatogram (the recorded absorption spectra and RF values (about 0.28)), which confirmed that the developed method is robust.
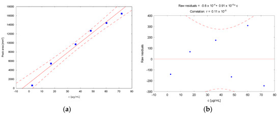
Using the developed method, its suitability for the determination of ceftobiprole after extraction from blood and urine was checked. The use of extracting agents (methanol or acetone) made it possible to isolate the drug from the matrix. Mixtures containing various amounts of drug were analyzed by the above method, in the tested range, and no significant influence of biological material on the assay result was observed (Figure 4).
The analysis of statistic parameters obtained as a result of the determination of ceftobiprole after extraction from blood confirmed the existence of a strong relationship between the peak areas and drug concentration, as illustrated by the high value of the correlation coefficient r (Table 3). The developed method is useful for the determination of ceftobiprole in human blood with the limit of detection 3.48 and 4.16 µg/mL and level of quantification no less than 10.54 and 12.62 µg/mL for methanol and acetone solutions, respectively. The obtained results indicate the possibility of using both solvents for the extraction of the drug from the blood, but greater sensitivity can be obtained with methanol.
The obtained static parameters allow excluding outliers, as confirmed by the absolute values of the mean standard residues, 0.623 for methanolic and 0.681 for acetone solutions, respectively. Additionally, no influential observations were detected, as confirmed by Cook’s mean distance values (Table 3) less than 1.
The values of the correlation coefficients for the urine-extracted ceftobiprole solutions, r = 0.9909 for the methanolic and r = 0.9796 for acetone, confirmed the existence of a relationship between the peak areas and drug concentration. In the range from 12.31 and 18.65 µg/mL for methanol and acetone solutions, respectively, the method can be successfully used to determine the drug in urine. The calculated LOD values were 4.06 and 6.15 µg/mL, and the LOQ values were 12.31 and 18.65 µg/mL for methanolic and acetone solutions, respectively. The residual values obtained from the difference between the observed and estimated results indicated that the regression model for urinary ceftobiprole determination is smooth. This was confirmed by the random distribution of the residues and the absolute values of the mean standard residues equal to 0.695 and 0.709 for the methanol and acetone solutions, respectively. The analysis of the calculated Cook parameter values of Table 3 excluded the presence of an observation with a significant impact on the change in the coefficients of the regression equation.
The usefulness of the developed chromatographic/densitometric method for the determination of ceftobiprole was verified by the analysis of drug stability under short-term and long-term storage in the tested solvents and in the matrix.
The obtained results indicated good stability of ceftobiprole in water, methanolic, or acetone solutions. The concentration of the antibiotic, after 24 h of incubation in all tested solutions decreased by about 3% in comparison to the initial value at room temperature (22 ± 3 °C), while, at a lower temperature (5 ± 2 °C), the concentration of ceftobiprole decreased by about 1%. The conducted experiments showed the high stability of ceftobiprole in tested conditions. Similarly, sample storage was acceptable up to 10 days at −25 ± 5 °C.
In the last stage of the research, a series of samples were prepared that contained the same amount of methanolic or acetone solution of ceftobiprole, but differed in the content of biological material. The analysis of the peak areas recorded on the chromatograms allows the conclusion that it is possible to determine the drug in the presence of each of the tested volumes of biological material. Moreover, in the case of acetone blood and urine solutions, a smaller influence of the matrix on the quality of the chromatographic separation was observed compared to methanol solutions.

4. Conclusions

A TLC chromatographic method with densitometric detection for the quantitative and qualitative analysis of ceftobiprole in biological matrix (e.g., whole blood and urine) was developed. The extraction of the drug from biological materials was successfully carried out using two organic solvents (methanol and acetone). Two stationary phases (HPTLC cellulose and TLC F254) were tested during the optimization of the analytical procedure. The best separation was obtained on HPTLC cellulose plates, while the detection was performed by densitometric measurements in the UV range. The use of methanol-cleaned plates, dried in an oven, made it possible to obtain densitograms without background noise. The chosen mobile phase was a mixture containing ethanol, 2-propanol, glacial acetic acid, and water in the ratio 4:4:1:3 (v/v/v/v). The validation of the established chromatographic/densitometric procedure was executed in accordance with the ICH guidelines, and received results allowed concluding that the presented analytical procedure for the determination of ceftobiprole in biological material can be successfully used for laboratory practice.

Author Contributions

Conceptualization, M.D. and Ż.B.-K.; methodology, M.S.; validation, Ż.B.-K. and J.Ż.; investigation, Ż.B.-K. and J.Ż.; writing—original draft preparation, Ż.B.-K.; writing—review and editing, M.D. and M.S.; supervision M.D. All authors have read and agreed to the published version of the manuscript.

Funding

This research received no external funding.

Institutional Review Board Statement

Not applicable.

Informed Consent Statement

Not applicable.

Data Availability Statement

Not applicable.

Conflicts of Interest

The authors declare no conflict of interest.

References

  1. Korbut, R. Pharmacology; PZWL: Warszawa, Poland, 2019; pp. 233–234, 241–243. [Google Scholar]
  2. Kurzynoga, D.; Głąbski, T.; Rusek, D. Ceftobiprole a new 5th generation cephalosporin. Farm. Pol. 2010, 66, 19–24. [Google Scholar]
  3. Azanza Perea, J.R.; de Rada, B.S.D. Ceftobiprole: Pharmacokinetics and PK/PD profile. Rev. Española Quimioter. 2019, 32 (Suppl. S3), 11–16. [Google Scholar]
  4. Summary of Product Characteristics-Zevtera 500 mg. Available online: https://pdf.hres.ca/dpd_pm/00041903.PDF (accessed on 6 July 2022).
  5. Barberán, J. Possible clinical indications of ceftobiprole. Rev. Española Quimioter. 2019, 32 (Suppl. S3), 29–33. [Google Scholar]
  6. Giacobbe, D.R.; De Rosa, F.G.; Del Bono, V.; Grossi, P.A.; Pea, F.; Petrosillo, N.; Rossolini, G.M.; Tascini, C.; Tumbarello, M.; Viale, P.; et al. Ceftobiprole: Drug evaluation and place in therapy. Expert Rev. Anti-Infect. Ther. 2019, 17, 689–698. [Google Scholar] [CrossRef] [PubMed]
  7. Dąbrowska, M.; Opoka, O.; Starek, M. Determination of cefuroxime axetil and cefepime in biological materials by thin-layer chromatography-densitometry. JPC-J. Planar. Chromatogr. 2017, 30, 291–298. [Google Scholar] [CrossRef][Green Version]
  8. Starek, M.; Krzek, J.; Rotkegel, P. TLC determination of piroxicam, tenoxicam, celecoxib and rofecoxib in biological material. J. Anal. Chem. 2015, 70, 351–359. [Google Scholar] [CrossRef]
  9. Kaye, B.; Wood, P. Analysis of cefazolin in serum or urine. J. Pharm. Sci. 1978, 67, 1170–1171. [Google Scholar] [CrossRef]
  10. Fabre, H.; Blanchin, M.; Lerner, D.; Mandrou, B. Determination of cephalosporins utilising thin-layer chromatography with fluorescamine detection. Analyst 1985, 110, 775–778. [Google Scholar] [CrossRef]
  11. Wang, P.I.; Feng, Y.L.; Chen, L. Simultaneous determination of trace norfloxacin, pefloxacin, and ciprofloxacin by TLC spectrodensitometry. Microchem. J. 1997, 56, 229–235. [Google Scholar] [CrossRef]
  12. Ezquer-Garin, C.; Ferriols-Lisart, R.; Alós-Almiñana, M.; Aguilar-Aguilar, G.; Belda-Nacher, J.F.; Carbonell, J.A. Validated HPLC-UV detection method for the simultaneous determination of ceftolozane and tazobactam in human plasma. Bioanalysis 2018, 10, 461–473. [Google Scholar] [CrossRef] [PubMed]
  13. Paal, M.; Zoller, M.; Schuster, C.; Vogeser, M.; Schütze, G. Simultaneous quantification of cefepime, meropenem, ciprofloxacin, moxifloxacin, linezolid and piperacillin in human serum using an isotope-dilution HPLC–MS/MS method. J. Pharm. Biomed. Anal. 2018, 152, 102–110. [Google Scholar] [CrossRef] [PubMed]
  14. Wang, L.; Zheng, X.; Zhong, W.; Chen, J.; Jiang, J.; Hu, P. Validation and application of an LC-MS-MS method for the determination of ceftizoxime in human serum and urine. J. Chromatogr. Sci. 2016, 54, 713–719. [Google Scholar] [CrossRef][Green Version]
  15. Iqbal, M. A highly sensitive and efficient UPLC-MS/MS assay for rapid analysis of tedizolid (a novel oxazolidinone antibiotic) in plasma sample. Biomed. Chromatogr. 2016, 30, 1750–1756. [Google Scholar] [CrossRef]
  16. Mameli, M.; Vezzeli, A.; Verze, S.; Biondi, S.; Motta, P.; Greco, A.; Michi, M.; Breda, M. Liquid chromatography–tandem mass spectrometry for the simultaneous quantitation of enmetazobactam and cefepime in human plasma. J. Pharm. Biomed. Anal. 2019, 174, 655–662. [Google Scholar] [CrossRef] [PubMed]
  17. El-Najjar, N.; Jantsch, J.; Gessner, A. A rapid liquid chromatography-tandem mass spectrometry for the quantification of fosfomycin in plasma, urine, and aqueous fluids. J. Chromatogr. B Anal. Technol. Biomed. Life Sci. 2017, 1061–1062, 57–64. [Google Scholar] [CrossRef] [PubMed]
  18. LLopis, B.; Funck-Brentano, C.; Tissot, N.; Bleibtreu, A.; Jaureguiberry, S.; Fourniols, E.; Aubry, A.; Zahr, N. Development and validation of a UPLC-MS/MS method for simultaneous quantification of levofloxacin, ciprofloxacin, moxifloxacin and rifampicin in human plasma: Application to the therapeutic drug monitoring in osteoarticular infections. J. Pharm. Biomed. Anal. 2020, 183, 113137. [Google Scholar] [CrossRef] [PubMed]
  19. Sharma, P.; Kumar, D.; Mutnuri, S. UPLC-MS/MS method validation of ciprofloxacin in human urine: Application to biodegradability study in microbial fuel cell. Biomed. Chromatogr. 2019, 33, 43–92. [Google Scholar] [CrossRef] [PubMed]
  20. Wijma, R.A.; Bahmany, S.; Wilms, E.B.; Gelder, T.; Mouton, J.; Koch, B.C.P. A fast and sensitive LC-MS/MS method for the quantification of fosfomycin in human urine and plasma using one sample preparation method and HILIC chromatography. J. Chromatogr. B Anal. Technol. Biomed. Life Sci. 2017, 1061–1062, 263–269. [Google Scholar] [CrossRef]
  21. Khan, M.N.; Ali, W.; Shah, Z.; Idrees, M.; Gulab, H. A validated spectrofluorimetric method for the determination of moxifloxacin in its pure form, pharmaceutical preparations, and biological samples. Anal. Sci. 2020, 36, 361–366. [Google Scholar] [CrossRef]
  22. Kaur, B.; Kumar, R.; Chand, S.; Singh, K.; Kumar-Malik, A. Determination of norfloxacin in urine and pharmaceutical samples using terbium doped zinc sulphide nanomaterials-sensitized fluorescence method. Spectrochim. Acta A Mol. Biomol. Spectrosc. 2019, 214, 261–268. [Google Scholar] [CrossRef] [PubMed]
  23. Khan, M.N.; Mursaleen, I.; Mursaleen, M. Determination of cefixime in pure form, in pharmaceutical products and biological samples through fluorescence quenching of Eosin Y. Luminescence 2020, 36, 515–524. [Google Scholar] [CrossRef] [PubMed]
  24. Tekkeli, S.E.; Önal, A.; Sağırlı, A.O. Spectrofluorimetric determination of tobramycin in human serum and pharmaceutical preparations by derivatization with fluorescamine. Luminescence 2014, 29, 87–91. [Google Scholar] [CrossRef] [PubMed]
  25. El-Alfy, W.; Ismaiel, O.; El-Mammli, M.; Shalaby, A. Application of silver nanoparticles for the spectrophotometric determination of cefdinir and cefepime HCl in pharmaceutical preparations and human urine samples. Nano Biomed. Eng. 2019, 11, 381–390. [Google Scholar] [CrossRef]
  26. Markina, N.E.; Markin, A.V. Application of aluminum hydroxide for improvement of label-free SERS detection of some cephalosporin antibiotics in urine. Biosensors 2019, 9, 91. [Google Scholar] [CrossRef] [PubMed]
  27. Lima, B.; Bodeau, S.; Quinton, M.-C.; Leven, C.; Lemaire-Hurtel, A.-M.; Bennisa, Y. Validation and application of an HPLC-DAD method for routine therapeutic drug monitoring of ceftobiprole. Antimicrob. Agents Chemother. 2019, 63, 1–6. [Google Scholar] [CrossRef] [PubMed]
  28. Magreault, S.; Jaureguy, F.B.; Zahar, J.-R.; Mechaï, F.; Toinon, D.; Cohen, Y.; Carbonnelle, E.; Jullien, V. Automated HPLC-MS/MS assay for the simultaneous determination of ten plasma antibiotic concentrations. J. Chromatogr. B 2022, 1211, 123496. [Google Scholar] [CrossRef] [PubMed]
  29. ICH. Guide Q2 (R1): Validation of Analytical Procedures Text and Methodology; International Conference on Harmonization: Geneva, Switzerland, 2005. [Google Scholar]
Figure 1. Absorption spectrum of ceftobiprole.
Figure 1. Absorption spectrum of ceftobiprole.
Processes 10 02196 g001
Figure 2. Plot of surface area [mm2] vs. concentration of methanolic solution of ceftobiprole [µg/mL] (a,b) graph of residues.
Figure 2. Plot of surface area [mm2] vs. concentration of methanolic solution of ceftobiprole [µg/mL] (a,b) graph of residues.
Processes 10 02196 g002
Figure 3. Plot of surface area [mm2] vs. concentration of acetone solution of ceftobiprole [µg/mL] (a,b) graph of residues.
Figure 3. Plot of surface area [mm2] vs. concentration of acetone solution of ceftobiprole [µg/mL] (a,b) graph of residues.
Processes 10 02196 g003
Figure 4. An example of densitograms recorded for baseline (blood (a) and urine (b)) and ceftobiprole (extracted from blood (c) and urine (d)).
Figure 4. An example of densitograms recorded for baseline (blood (a) and urine (b)) and ceftobiprole (extracted from blood (c) and urine (d)).
Processes 10 02196 g004
Table 1. Linearity range determined for the ceftobiprole solutions.
Table 1. Linearity range determined for the ceftobiprole solutions.
SolutionRegression CurveStatistical Parameters
methanolicP = 325.51 + 121.62 ∙ cr = 0.9989
Se = 165.98Sa = 2.54Sb = 108.43Cd = 0.332
acetoneP = 831.21 + 193.79 ∙ cr = 0.9990
Se = 270.71Sa = 4.25Sb = 177.17Cd = 0.221
P—surface area [mm2]; c—concentration [µg/mL]; r—correlation coefficient; Se—standard estimation error; Sa—standard error of the slope; Sb—standard error of the intercept; Cd—Cook’s distance.
Table 2. Statistical parameters of the LOD, LOD, recovery, and precision of the method.
Table 2. Statistical parameters of the LOD, LOD, recovery, and precision of the method.
ParameterStatistical Evaluation
SolutionMethanolicAcetone
LOD [µg/mL]2.943.02
LOQ [µg/mL]8.929.14
Recovery80% x ¯ = 96.69%
Sx = 0.37
RSD = 0.64
x ¯ = 98.09%
Sx = 0.65
RSD = 0.66
100% x ¯ = 100.86%
Sx = 0.33
RSD = 0.58
x ¯ = 100.97%
Sx = 0.12
RSD = 0.12
120% x ¯ = 102.93%
Sx = 0.36
RSD = 0.62
x ¯ = 102.60%
Sx = 0.53
RSD = 0.52
Precisionintra-day x ¯ = 3496.82
Sx = 12.40
RSD = 0.35
x ¯ = 3630.24
Sx = 49.79
RSD = 1.37
inter-day x ¯ = 3596.96
Sx = 49.69
RSD = 1.38
x ¯ = 3704.62
Sx = 55.61
RSD = 1.50
x ¯ —arithmetic mean; Sx—standard error of the mean; RSD [%]—coefficient of variation.
Table 3. Linearity parameters in the set range of methanol and acetone blood or urine ceftobiprole concentrations.
Table 3. Linearity parameters in the set range of methanol and acetone blood or urine ceftobiprole concentrations.
MatrixSolutionRegression CurveStatistical Parameters
BloodMethanolicP = 378.24 + 66.60 ∙ cr = 0.9907
Se = 112.45Sa = 4.58Sb = 70.18Cd = 0.608
AcetoneP = −259.89 + 134.22 ∙ cr = 0.9940
Se = 162.27Sa = 8.55Sb = 170.16Cd = 0.631
UrineMethanolicP = 450.08 + 90.19 ∙ cr = 0.9909
Se = 149.10Sa = 6.11Sb = 111.06Cd = 0.287
AcetoneP = 532.41 + 116.30 ∙ cr = 0.9796
Se = 291.17Sa = 11.93Sb = 216.88Cd = 0.308
P—surface area [mm2]; c—concentration [µg/mL]; r—correlation coefficient; Se—standard estimation error; Sa—standard error of the slope; Sb—standard error of the intercept; Cd—Cook’s distance.
Publisher’s Note: MDPI stays neutral with regard to jurisdictional claims in published maps and institutional affiliations.

Share and Cite

MDPI and ACS Style

Binert-Kusztal, Ż.; Żandarek, J.; Starek, M.; Dąbrowska, M. Optimizations of the Conditions for Ceftobiprole Determination in a Complex Matrix. Processes 2022, 10, 2196. https://doi.org/10.3390/pr10112196

AMA Style

Binert-Kusztal Ż, Żandarek J, Starek M, Dąbrowska M. Optimizations of the Conditions for Ceftobiprole Determination in a Complex Matrix. Processes. 2022; 10(11):2196. https://doi.org/10.3390/pr10112196

Chicago/Turabian Style

Binert-Kusztal, Żaneta, Joanna Żandarek, Małgorzata Starek, and Monika Dąbrowska. 2022. "Optimizations of the Conditions for Ceftobiprole Determination in a Complex Matrix" Processes 10, no. 11: 2196. https://doi.org/10.3390/pr10112196

APA Style

Binert-Kusztal, Ż., Żandarek, J., Starek, M., & Dąbrowska, M. (2022). Optimizations of the Conditions for Ceftobiprole Determination in a Complex Matrix. Processes, 10(11), 2196. https://doi.org/10.3390/pr10112196

Note that from the first issue of 2016, this journal uses article numbers instead of page numbers. See further details here.

Article Metrics

Back to TopTop