Application of Computational Fluid Dynamics (CFD) in the Deposition Process and Printability Assessment of 3D Printing Using Rice Paste
Abstract
:1. Introduction
2. Materials and Methods
2.1. Preparation of Rice Paste
2.2. Preliminary Experiment
2.3. Rheological Properties of Rice Paste
2.4. Thermal Properties of Rice Paste
2.5. Additive Manufacturing of Rice Paste
2.6. Mathematical Model
2.6.1. FEM Simulation for Viscoelastic Fluid
2.6.2. Establishment of Flow Models and Assumptions
2.6.3. Deposition Process Simulation and Boundary Conditions
Elastic Properties of Rice Paste
2.7. Postextrusion Analysis
3. Result and Discussion
3.1. Rheological Properties of Rice Paste
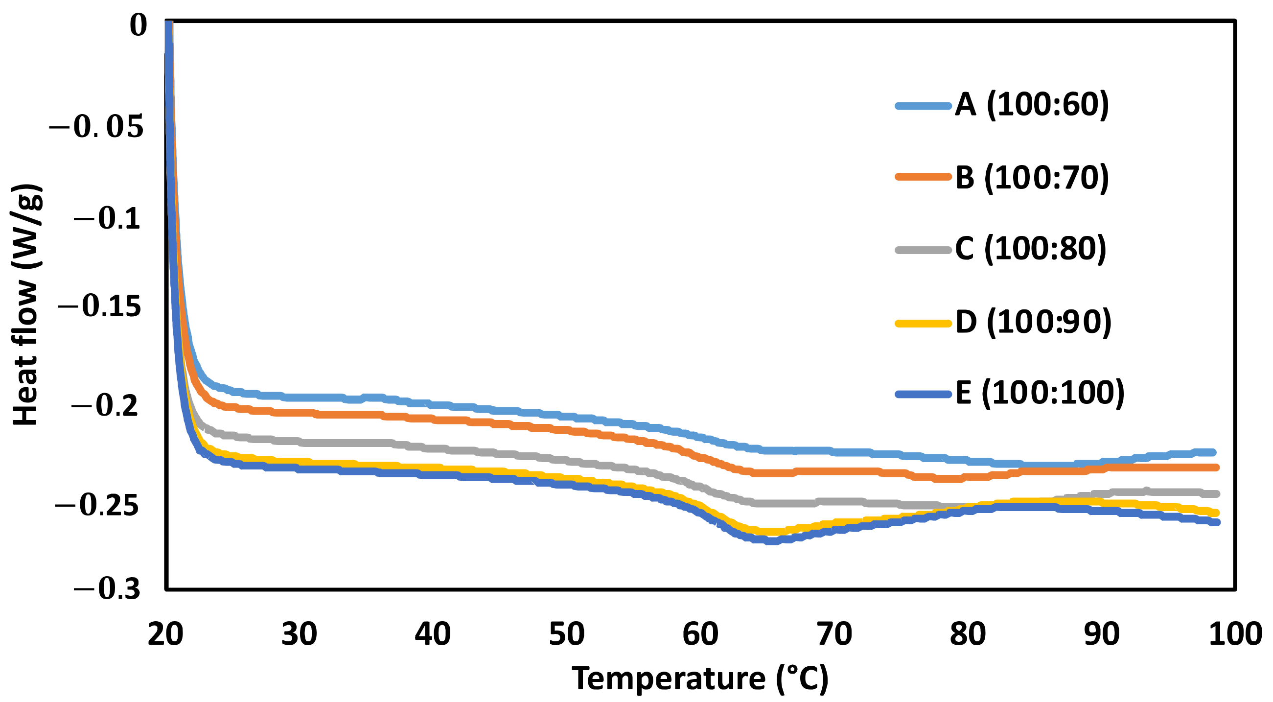
3.2. Thermal Properties of Rice Paste
3.3. Preliminary Experiment to Determine the Optimum Moisture Ratio for Rice Paste
3.4. Structural Stability and Slumping Behavior
3.5. Estimation of Flow Field and Printing Precision
3.5.1. Local Shear-Rate Distribution
3.5.2. Velocity Distribution
3.5.3. Pressure Distribution Field Analysis
3.5.4. Analysis of Die Swell Phenomena of Rice Paste Extrudate
3.5.5. Deposition Process of Rice Paste by Additive Manufacturing (AM) Simulation
3.5.5.1. Thermal and Elastic Properties Used during AM Simulation
3.5.5.2. Printing Process at Preheat Temperature (Simulation)
3.5.5.3. Simulated Result of Thermal Analysis
3.5.5.4. Simulated Stress Distribution during AM Process
3.5.5.5. Deformation Analysis in the Printed Sample
3.6. Validation of Simulation Result by Printing Process and Image Analysis
4. Conclusions
Author Contributions
Funding
Institutional Review Board Statement
Informed Consent Statement
Data Availability Statement
Conflicts of Interest
References
- Oyinloye, T.M.; Yoon, W.B. Stability of 3D printing using a mixture of pea protein and alginate: Precision and application of additive layer manufacturing simulation approach for stress distribution. J. Food Eng. 2021, 288, 110127. [Google Scholar] [CrossRef]
- Oyinloye, T.M.; Yoon, W.B. Application of Computational Fluid Dynamics (CFD) Simulation for the Effective Design of Food 3D Printing (A Review). Processes 2021, 9, 1867. [Google Scholar] [CrossRef]
- Yang, F.; Zhang, M.; Bhandari, B.; Liu, Y. Investigation on lemon juice gel as food material for 3D printing and optimization of printing parameters. LWT 2018, 87, 67–76. [Google Scholar] [CrossRef] [Green Version]
- Zhang, S.; Vijayavenkataraman, S.; Lu, W.F.; Fuh, J.Y. A review on the use of computational methods to characterize, design, and optimize tissue engineering scaffolds, with a potential in 3D printing fabrication. J. Biomed. Mater. Res. Part B Appl. Biomater. 2019, 107, 1329–1351. [Google Scholar] [CrossRef] [PubMed]
- Guo, C.F.; Zhang, M.; Bhandari, B. A comparative study between syringe-based and screw-based 3D food printers by computational simulation. Comput. Electron. Agric. 2019, 162, 397–404. [Google Scholar] [CrossRef]
- Mezi, D.; Ausias, G.; Grohens, Y.; Férec, J. Numerical simulation and modeling of the die swell for fiber suspension flows. J. Non-Newton. Fluid Mech. 2019, 274, 104205. [Google Scholar] [CrossRef]
- Guo, C.; Zhang, M.; Devahastin, S. 3D extrusion-based printability evaluation of selected cereal grains by computational fluid dynamic simulation. J. Food Eng. 2020, 286, 110113. [Google Scholar] [CrossRef]
- Qiu, C.; Li, P.; Li, Z.; Corke, H.; Sui, Z. Combined speed and duration of milling affect the physicochemical properties of rice flour. Food Hydrocoll. 2019, 89, 188–195. [Google Scholar] [CrossRef]
- Kraithong, S.; Lee, S.; Rawdkuen, S. Physicochemical and functional properties of Thai organic rice flour. J. Cereal Sci. 2018, 79, 259–266. [Google Scholar] [CrossRef]
- Liu, Y.; Tang, T.; Duan, S.; Qin, Z.; Zhao, H.; Wang, M.; Li, C.; Zhang, Z.; Liu, A.; Han, G.; et al. Applicability of rice doughs as promising food materials in extrusion-based 3D printing. Food Bioprocess Technol. 2020, 13, 548–563. [Google Scholar] [CrossRef]
- Liu, Y.; Tang, T.; Duan, S.; Qin, Z.; Li, C.; Zhang, Z.; Liu, A.; Wu, D.; Chen, H.; Han, G.; et al. Effects of sodium alginate and rice variety on the physicochemical characteristics and 3D printing feasibility of rice paste. LWT 2020, 127, 109360. [Google Scholar] [CrossRef]
- Chung, H.J.; Liu, Q.; Huang, R.; Yin, Y.; Li, A. Physicochemical properties and in vitro starch digestibility of cooked rice from commercially available cultivars in Canada. Cereal Chem. 2010, 87, 297–304. [Google Scholar] [CrossRef]
- Liu, Q.; Zhang, N.; Wei, W.; Hu, X.; Tan, Y.; Yu, Y.; Deng, Y.; Bi, C.; Zhang, L.; Zhang, H. Assessing the dynamic extrusion-based 3D printing process for power-law fluid using numerical simulation. J. Food Eng. 2020, 275, 109861. [Google Scholar] [CrossRef]
- Turabi, E.; Sumnu, G.; Sahin, S. Rheological properties and quality of rice cakes formulated with different gums and an emulsifier blend. Food Hydrocoll. 2008, 22, 305–312. [Google Scholar] [CrossRef]
- Huang, M.S.; Zhang, M.; Bhandari, B. Assessing the 3D printing precision and texture properties of brown rice induced by infill levels and printing variables. Food Bioprocess Technol. 2019, 12, 1185–1196. [Google Scholar] [CrossRef]
- Shand, P.J.; Ya, H.; Pietrasik, Z.; Wanasundara, P.K.J.P.D. Physicochemical and textural properties of heat-induced pea protein isolate gels. Food Chem. 2007, 102, 1119–1130. [Google Scholar] [CrossRef]
- Albano, K.M.; Franco, C.M.; Telis, V.R. Rheological behavior of Peruvian carrot starch gels as affected by temperature and concentration. Food Hydrocoll. 2014, 40, 30–43. [Google Scholar] [CrossRef]
- Konaganti, V.K.; Ansari, M.; Mitsoulis, E.; Hatzikiriakos, S.G. Extrudate swell of a high-density polyethylene melt: II. Modeling using integral and differential constitutive equations. J. Non-Newton. Fluid Mech. 2015, 225, 94–105. [Google Scholar] [CrossRef]
- Mitsoulis, E.; Hatzikiriakos, S.G. Annular extrudate swell of a fluoropolymer melt. Int. Polym. Process. 2012, 27, 535–546. [Google Scholar] [CrossRef]
- Miri, A.K.; Mongrain, R.; Chen, L.X.; Mongeau, L. Quantitative assessment of the anisotropy of vocal fold tissue using shear rheometry and traction testing. J. Biomech. 2012, 45, 2943–2946. [Google Scholar] [CrossRef] [Green Version]
- Huang, Y.; Tang, J.; Swanson, B.G.; Rasco, B.A. Effect of calcium concentration on textural properties of high and low acyl mixed gellan gels. Carbohydr. Polym. 2003, 54, 517–522. [Google Scholar] [CrossRef]
- Oyinloye, T.M.; Yoon, W.B. Effects of Low-Temperature Drying with Intermittent Gaseous Chlorine Dioxide Treatment on Texture and Shelf-Life of Rice Cakes. Processes 2020, 8, 375. [Google Scholar] [CrossRef] [Green Version]
- Wang, L.; Zhang, M.; Bhandari, B.; Yang, C. Investigation on fish surimi gel as promising food material for 3D printing. J. Food Eng. 2018, 220, 101–108. [Google Scholar] [CrossRef]
- Jane, J.L.; Chen, Y.Y.; Lee, L.F.; McPherson, A.E.; Wong, K.S.; Radosavljevic, M.; Kasemsuwan, T. Effects of amylopectin branch chain length and amylose content on the gelatinization and pasting properties of starch. Cereal Chem. 1999, 76, 629–637. [Google Scholar] [CrossRef]
- Chaisawang, M.; Suphantharika, M. Pasting and rheological properties of native and anionic tapioca starches as modified by guar gum and xanthan gum. Food Hydrocoll. 2006, 20, 641–649. [Google Scholar] [CrossRef]
- Tabilo-Munizaga, G.; Barbosa-Cánovas, G.V. Rheology for the food industry. J. Food Eng. 2005, 67, 147–156. [Google Scholar] [CrossRef]
- Derycke, V.; Vandeputte, G.E.; Vermeylen, R.; De Man, W.; Goderis, B.; Koch, M.H.J.; Delcour, J.A. Starch gelatinization and amylose–lipid interactions during rice parboiling investigated by temperature resolved wide angle X-ray scattering and differential scanning calorimetry. J. Cereal Sci. 2005, 42, 334–343. [Google Scholar] [CrossRef]
- Resio, A.C.; Suarez, C. Gelatinization kinetics of amaranth starch. Int. J. Food Sci. Technol. 2001, 36, 441–448. [Google Scholar] [CrossRef]
- Spigno, G.; De Faveri, D.M. Gelatinization kinetics of rice starch studied by non-isothermal calorimetric technique: Influence of extraction method, water concentration and heating rate. J. Food Eng. 2004, 62, 337–344. [Google Scholar] [CrossRef]
- Meerts, M.; Cardinaels, R.; Oosterlinck, F.; Courtin, C.M.; Moldenaers, P. The impact of water content and mixing time on the linear and non-linear rheology of wheat flour dough. Food Biophys. 2017, 12, 151–163. [Google Scholar] [CrossRef]
- Liu, Z.; Zhang, M.; Bhandari, B.; Wang, Y. 3D printing: Printing precision and application in food sector. Trends Food Sci. Technol. 2017, 69, 83–94. [Google Scholar] [CrossRef] [Green Version]
- Zhang, M.; Vora, A.; Han, W.; Wojtecki, R.J.; Maune, H.; Le, A.B.; Thompson, L.E.; McClelland, G.M.; Ribet, F.; Engler, A.C.; et al. Dual-responsive hydrogels for direct-write 3D printing. Macromolecules 2015, 48, 6482–6488. [Google Scholar] [CrossRef]
- Liu, Z.; Bhandari, B.; Prakash, S.; Mantihal, S.; Zhang, M. Linking rheology and printability of a multicomponent gel system of carrageenan-xanthan-starch in extrusion based additive manufacturing. Food Hydrocoll. 2019, 87, 413–424. [Google Scholar] [CrossRef]
- Yang, F.; Guo, C.; Zhang, M.; Bhandari, B.; Liu, Y. Improving 3D printing process of lemon juice gel based on fluid flow numerical simulation. LWT 2019, 102, 89–99. [Google Scholar] [CrossRef] [Green Version]
- Liu, Y.; Liang, X.; Saeed, A.; Lan, W.; Qin, W. Properties of 3D printed dough and optimization of printing parameters. Innov. Food Sci. Emerg. Technol. 2019, 54, 9–18. [Google Scholar] [CrossRef]
- Sombatsompop, N.; Dangtangee, R. Effects of the actual diameters and diameter ratios of barrels and dies on the elastic swell and entrance pressure drop of natural rubber in capillary die flow. J. Appl. Polym. Sci. 2002, 86, 1762–1772. [Google Scholar] [CrossRef]
- Mahapatra, A.K.; Lan, Y.; Harris, D.L. Influence of moisture content and temperature on thermal conductivity and thermal diffusivity of rice flours. Int. J. Food Prop. 2011, 14, 675–683. [Google Scholar] [CrossRef] [Green Version]
- Horabik, J.; Molenda, M. Parameters and contact models for DEM simulations of agricultural granular materials: A review. Biosyst. Eng. 2016, 147, 206–225. [Google Scholar] [CrossRef]
- Vogeler, F.; Verheecke, W.; Voet, A.; Valkenaers, H. An initial study into Aerosol Jet® printed interconnections on extrusion based 3D printed substrates. Stroj. Vestn. J. Mech. Eng. 2013, 59, 689–696. [Google Scholar] [CrossRef]


















| Sample Ratio (Rice to Water) | Moisture Content (%) |
|---|---|
| 100:60 | |
| 100:70 | |
| 100:80 | |
| 100:90 | |
| 100:100 |
| Sample (Rice: Water) | |||
|---|---|---|---|
| 100:60 | 0.3685 | 0.9310 | |
| 100:70 | 0.4534 | 0.9801 | |
| 100:80 | 0.3395 | 0.9906 | |
| 100:90 | 0.6205 | 0.9419 | |
| 100:100 | 0.7074 | 0.9502 |
| Sample Ratio (Rice: Water) | Peak Gelatinization Temperature (°C) | |
|---|---|---|
| 100:60 | ||
| 100:70 | ||
| 100:80 | ||
| 100:90 | ||
| 100:100 |
| Nozzle Diameter (mm) | |||
|---|---|---|---|
| 0.8 mm | 1.0 mm | 1.2 mm | |
| Image analysis result | |||
| Change in sample size (exp.) | 0.11 | 0.12 | 0.13 |
| Simulation extrudate width | 0.92 | 1.14 | 1.36 |
| Die swell ratio (%) | 15.15 | 14.44 | 13.73 |
| Temperature (°C) | ||||||
|---|---|---|---|---|---|---|
| 25 | 30 | 40 | 50 | 60 | 70 | |
| 0.398 | 0.345 | 0.293 | 0.107 | 0.067 | 0.032 | |
| 4.016 | 4.004 | 3.956 | 3.716 | 3.582 | 3.411 | |
| 667.83 | 653.25 | 646.81 | 652.17 | 682.37 | 704.82 | |
| Temperature (°C) | |||
|---|---|---|---|
| 25 | 40 | 60 | |
| Shear modulus (Pa) | 46.42 | 188.49 | 1688.2 |
| Young’s modulus (Pa) | 201.1533 | 801.0825 | 6752.8 |
| Bulk modulus (Pa) | |||
| Poisson’s ratio | 1.16 | 1.13 | 0.99 |
| Product Dimension (mm) | Nozzle 0.8 mm | Nozzle 1.0 mm | Nozzle 1.2 mm |
|---|---|---|---|
| Height | |||
| Width | |||
| Area |
Publisher’s Note: MDPI stays neutral with regard to jurisdictional claims in published maps and institutional affiliations. |
© 2021 by the authors. Licensee MDPI, Basel, Switzerland. This article is an open access article distributed under the terms and conditions of the Creative Commons Attribution (CC BY) license (https://creativecommons.org/licenses/by/4.0/).
Share and Cite
Oyinloye, T.M.; Yoon, W.B. Application of Computational Fluid Dynamics (CFD) in the Deposition Process and Printability Assessment of 3D Printing Using Rice Paste. Processes 2022, 10, 68. https://doi.org/10.3390/pr10010068
Oyinloye TM, Yoon WB. Application of Computational Fluid Dynamics (CFD) in the Deposition Process and Printability Assessment of 3D Printing Using Rice Paste. Processes. 2022; 10(1):68. https://doi.org/10.3390/pr10010068
Chicago/Turabian StyleOyinloye, Timilehin Martins, and Won Byong Yoon. 2022. "Application of Computational Fluid Dynamics (CFD) in the Deposition Process and Printability Assessment of 3D Printing Using Rice Paste" Processes 10, no. 1: 68. https://doi.org/10.3390/pr10010068
APA StyleOyinloye, T. M., & Yoon, W. B. (2022). Application of Computational Fluid Dynamics (CFD) in the Deposition Process and Printability Assessment of 3D Printing Using Rice Paste. Processes, 10(1), 68. https://doi.org/10.3390/pr10010068

