AI-Based Visual Early Warning System
Abstract
1. Introduction
2. Related Work
3. Methodology
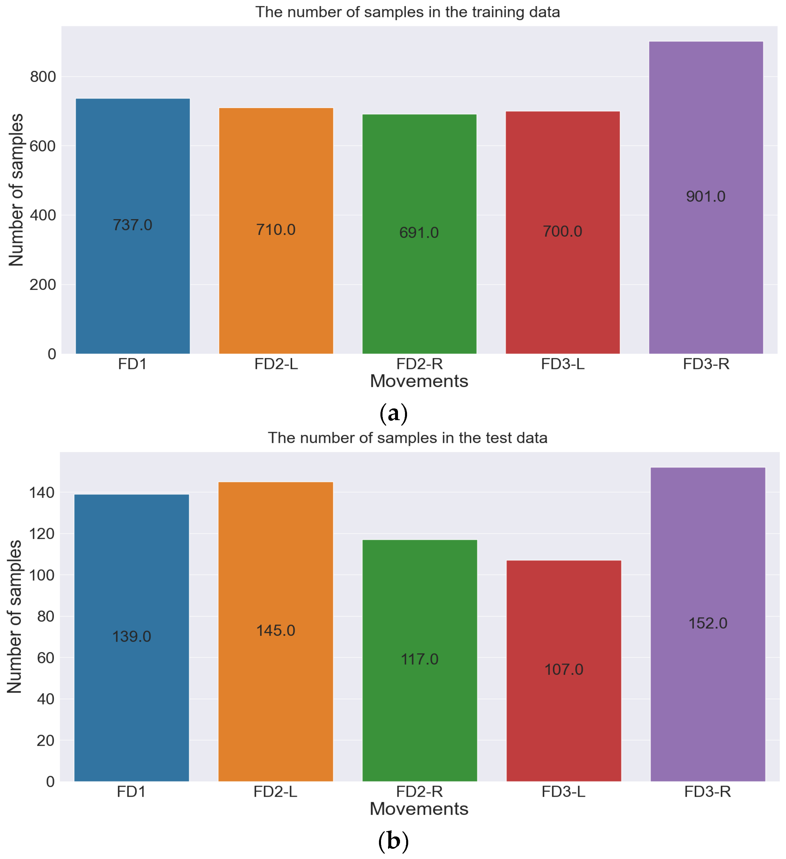
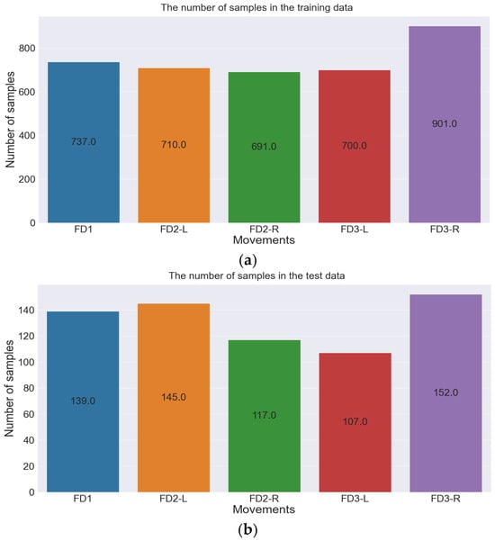
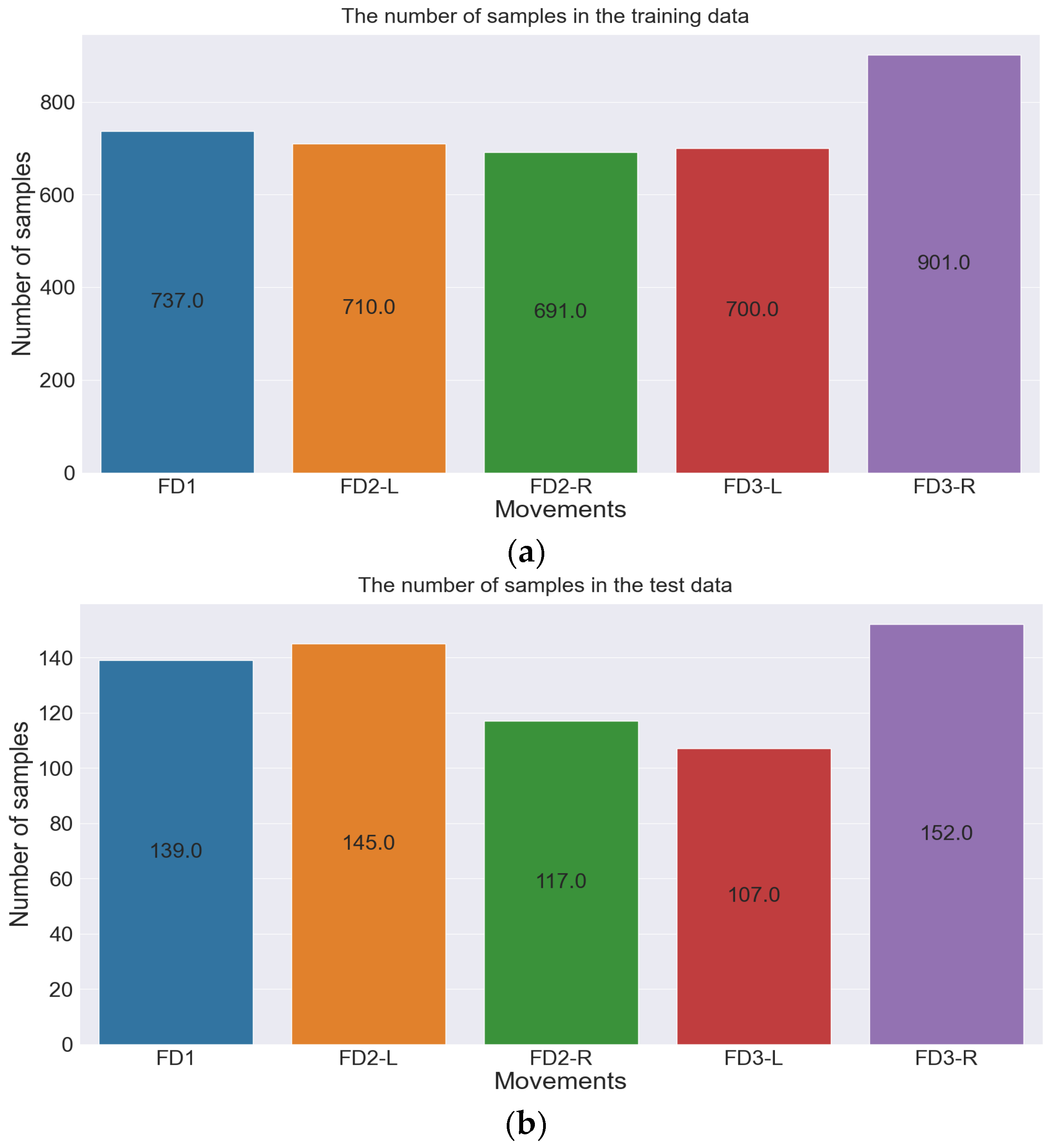
3.1. The Dataset
3.1.1. Generating the Dataset
3.1.2. Transfer Facial Expressions to Static Real Faces Using the First-Order Motion Model (FOMM)
3.2. Pre-Processing Dataset
3.2.1. Face Detection Technique
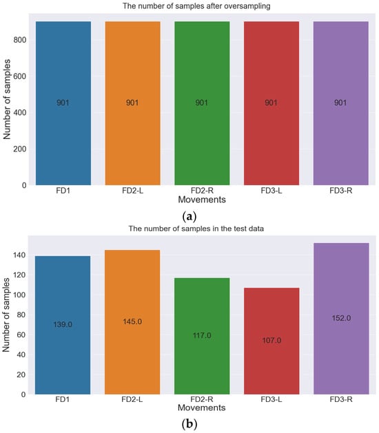
3.2.2. Oversampling
3.3. Proposed Convolution Long Short-Term Memory (ConvLSTM) Model
3.3.1. Convolution Layers
3.3.2. LSTM Cells
4. Results and Limitations
5. Conclusions
Author Contributions
Funding
Institutional Review Board Statement
Informed Consent Statement
Data Availability Statement
Conflicts of Interest
References
- Manalu, H.V.; Rifai, A.P. Detection of human emotions through facial expressions using hybrid convolutional neural network-recurrent neural network algorithm. Intell. Syst. Appl. 2024, 21, 200339. [Google Scholar] [CrossRef]
 - Cuesta, J.M.; Singer, M. The stress response and critical illness: A review. Crit. Care Med. 2012, 40, 3283–3289. [Google Scholar] [CrossRef] [PubMed]
 - Madrigal-Garcia, M.I.; Rodrigues, M.; Shenfield, A.; Singer, M.; Moreno-Cuesta, J. What faces reveal: A novel method to identify patients at risk of deterioration using facial expressions. Crit. Care Med. 2018, 46, 1057–1062. [Google Scholar] [CrossRef] [PubMed]
 - Street, R.L., Jr.; Makoul, G.; Arora, N.K.; Epstein, R.M. How does communication heal? Pathways linking clinician–patient communication to health outcomes. Patient Educ. Couns. 2009, 74, 295–301. [Google Scholar] [CrossRef] [PubMed]
 - Jones, D.; Mitchell, I.; Hillman, K.; Story, D. Defining clinical deterioration. Resuscitation 2013, 84, 1029–1034. [Google Scholar] [CrossRef] [PubMed]
 - Alasad, J.; Ahmad, M. Communication with critically ill patients. J. Adv. Nurs. 2005, 50, 356–362. [Google Scholar] [CrossRef] [PubMed]
 - Ye, C.; Wang, O.; Liu, M.; Zheng, L.; Xia, M.; Hao, S.; Jin, B.; Jin, H.; Zhu, C.; Huang, C.J.; et al. A real-time early warning system for monitoring inpatient mortality risk: Prospective study using electronic medical record data. J. Med. Internet Res. 2019, 21, e13719. [Google Scholar] [CrossRef] [PubMed]
 - Herr, K.; Coyne, P.J.; Ely, E.; Gélinas, C.; Manworren, R.C. Pain assessment in the patient unable to self-report: Clinical practice recommendations in support of the ASPMN 2019 position statement. Pain Manag. Nurs. 2019, 20, 404–417. [Google Scholar] [CrossRef]
 - Odell, M.; Victor, C.; Oliver, D. Nurses’ role in detecting deterioration in ward patients: Systematic literature review. J. Adv. Nurs. 2009, 65, 1992–2006. [Google Scholar] [CrossRef]
 - Guo, X.; Zhang, Y.; Lu, S.; Lu, Z. Facial expression recognition: A review. Multimed. Tools Appl. 2023, 83, 23689–23735. [Google Scholar] [CrossRef]
 - Prakash, M.; Ravichandran, T. An efficient resource selection and binding model for job scheduling in grid. Eur. J. Sci. Res. 2012, 81, 450–458. [Google Scholar]
 - Mehrabian, A. Nonverbal Communication; Routledge: London, UK, 2017. [Google Scholar]
 - Ekman, P.; Friesen, W.V. Facial Action Coding Systems; Consulting Psychologists Press: Palo Alto, CA, USA, 1978. [Google Scholar]
 - Rudovic, O.; Pavlovic, V.; Pantic, M. Context-sensitive dynamic ordinal regression for intensity estimation of facial action units. IEEE Trans. Pattern Anal. Mach. Intell. 2014, 37, 944–958. [Google Scholar] [CrossRef] [PubMed]
 - Cascella, M.; Schiavo, D.; Cuomo, A.; Ottaiano, A.; Perri, F.; Patrone, R.; Migliarelli, S.; Bignami, E.G.; Vittori, A.; Cutugno, F.; et al. Artificial intelligence for automatic pain assessment: Research methods and perspectives. Pain Res. Manag. 2023, 2023, 6018736. [Google Scholar] [CrossRef]
 - Nagireddi, J.N.; Vyas, A.K.; Sanapati, M.R.; Soin, A.; Manchikanti, L. The analysis of pain research through the lens of artificial intelligence and machine learning. Pain Physician 2022, 25, E211. [Google Scholar]
 - Hardas, B.M.; Pokle, S.B. Optimization of peak to average power reduction in OFDM. J. Commun. Technol. Electron. 2017, 62, 1388–1395. [Google Scholar] [CrossRef]
 - Rodriguez, P.; Cucurull, G.; Gonzàlez, J.; Gonfaus, J.M.; Nasrollahi, K.; Moeslund, T.B.; Roca, F.X. Deep pain: Exploiting long short-term memory networks for facial expression classification. IEEE Trans. Cybern. 2017, 52, 3314–3324. [Google Scholar] [CrossRef]
 - Jaswanth, K.; David, D.S. A novel based 3D facial expression detection using recurrent neural network. In Proceedings of the 2020 International Conference on System, Computation, Automation and Networking (ICSCAN), Pondicherry, India, 3–4 July 2020; pp. 1–6. [Google Scholar]
 - Sato, W.; Hyniewska, S.; Minemoto, K.; Yoshikawa, S. Facial expressions of basic emotions in Japanese laypeople. Front. Psychol. 2019, 10, 259. [Google Scholar] [CrossRef] [PubMed]
 - Ekman, P.; Friesen, W.V. Constants across cultures in the face and emotion. J. Personal. Soc. Psychol. 1971, 17, 124. [Google Scholar] [CrossRef] [PubMed]
 - Gosselin, P.; Kirouac, G.; Doré, F.Y. Components and recognition of facial expression in the communication of emotion by actors. J. Personal. Soc. Psychol. 1995, 68, 83. [Google Scholar] [CrossRef]
 - Scherer, K.R.; Ellgring, H. Are facial expressions of emotion produced by categorical affect programs or dynamically driven by appraisal? Emotion 2007, 7, 113. [Google Scholar] [CrossRef]
 - Lucey, P.; Cohn, J.F.; Prkachin, K.M.; Solomon, P.E.; Matthews, I. Painful data: The UNBC-McMaster shoulder pain expression archive database. In Proceedings of the 2011 IEEE International Conference on Automatic Face & Gesture Recognition (FG), Santa Barbara, CA, USA, 21–25 March 2011; pp. 57–64. [Google Scholar]
 - Prkachin, K.M.; Solomon, P.E. The structure, reliability and validity of pain expression: Evidence from patients with shoulder pain. Pain 2008, 139, 267–274. [Google Scholar] [CrossRef] [PubMed]
 - Ekman, P.; Friesen, W.v.; Hager, J. Facial action coding system: Research Nexus. In Network Research Information; Research Nexus: Salt Lake City, UT, USA, 2002. [Google Scholar]
 - Gross, J.; Cuesta, J.; Crawford, S.; Devaney, M.; Madrigal-Garcia, M. The face of illness: Analysing facial expressions in critical illness in conjunction with the facial action coding system (FACS). In Proceedings of the Intensive Care Medicine; Springer: New York, NY, USA, 2013; Volume 39, p. S265. [Google Scholar]
 - Chen, J.; Lv, Y.; Xu, R.; Xu, C. Automatic social signal analysis: Facial expression recognition using difference convolution neural network. J. Parallel Distrib. Comput. 2019, 131, 97–102. [Google Scholar] [CrossRef]
 - Gunes, H.; Hung, H. Is automatic facial expression recognition of emotions coming to a dead end? The rise of the new kids on the block. Image Vis. Comput. 2016, 55, 6–8. [Google Scholar] [CrossRef]
 - Jaiswal, S.; Valstar, M. Deep learning the dynamic appearance and shape of facial action units. In Proceedings of the 2016 IEEE Winter Conference on Applications of Computer Vision (WACV), Lake Placid, NY, USA, 7–10 March 2016; pp. 1–8. [Google Scholar]
 - Sang, D.V.; Van Dat, N. Facial expression recognition using deep convolutional neural networks. In Proceedings of the 2017 9th International Conference on Knowledge and Systems Engineering (KSE), Hue, Vietnam, 19–21 October 2017; pp. 130–135. [Google Scholar]
 - Chen, X.; Yang, X.; Wang, M.; Zou, J. Convolution neural network for automatic facial expression recognition. In Proceedings of the 2017 International Conference on Applied System Innovation (ICASI), Sapporo, Japan, 13–17 May 2017; pp. 814–817. [Google Scholar]
 - Al Taee, E.J.; Jasim, Q.M. Blurred Facial Expression Recognition System by Using Convolution Neural Network. Webology 2020, 17, 804–816. [Google Scholar] [CrossRef]
 - Mohan, K.; Seal, A.; Krejcar, O.; Yazidi, A. Facial expression recognition using local gravitational force descriptor-based deep convolution neural networks. IEEE Trans. Instrum. Meas. 2020, 70, 5003512. [Google Scholar] [CrossRef]
 - Siarohin, A.; Lathuilière, S.; Tulyakov, S.; Ricci, E.; Sebe, N. First order motion model for image animation. Adv. Neural Inf. Process. Syst. 2019, 32, 7137–7147. [Google Scholar]
 - Malik, Y.S.; Sabahat, N.; Moazzam, M.O. Image animations on driving videos with DeepFakes and detecting DeepFakes generated animations. In Proceedings of the 2020 IEEE 23rd International Multitopic Conference (INMIC), Bahawalpur, Pakistan, 5–7 November 2020; pp. 1–6. [Google Scholar]
 - Shi, X.; Chen, Z.; Wang, H.; Yeung, D.Y.; Wong, W.K.; Woo, W.C. Convolutional LSTM network: A machine learning approach for precipitation nowcasting. Adv. Neural Inf. Process. Syst. 2015, 28, 802–810. [Google Scholar]
 - Singh, R.; Saurav, S.; Kumar, T.; Saini, R.; Vohra, A.; Singh, S. Facial expression recognition in videos using hybrid CNN & ConvLSTM. Int. J. Inf. Technol. 2023, 15, 1819–1830. [Google Scholar] [PubMed]
 - Tian, Y.; Zhang, K.; Li, J.; Lin, X.; Yang, B. LSTM-based traffic flow prediction with missing data. Neurocomputing 2018, 318, 297–305. [Google Scholar] [CrossRef]
 - Zhang, L.; Zhu, G.; Mei, L.; Shen, P.; Shah, S.A.A.; Bennamoun, M. Attention in convolutional LSTM for gesture recognition. Adv. Neural Inf. Process. Syst. 2018, 31, 1953–1962. [Google Scholar]
 - Ikram, S.T.; Cherukuri, A.K. Improving accuracy of intrusion detection model using PCA and optimized SVM. J. Comput. Inf. Technol. 2016, 24, 133–148. [Google Scholar] [CrossRef]
 - Thaseen, I.S.; Kumar, C.A. Intrusion detection model using fusion of chi-square feature selection and multi class SVM. J. King Saud Univ.-Comput. Inf. Sci. 2017, 29, 462–472. [Google Scholar]
 - Abo-Tabik, M.A. Using Deep Learning Predictions of Smokers’ Behaviour to Develop a Smart Smoking-Cessation App. Ph.D. Thesis, Manchester Metropolitan University, Manchester, UK, 2021. [Google Scholar]
 - Chakravarthi, B.R.; Priyadharshini, R.; Muralidaran, V.; Suryawanshi, S.; Jose, N.; Sherly, E.; McCrae, J.P. Overview of the track on sentiment analysis for dravidian languages in code-mixed text. In Proceedings of the 12th Annual Meeting of the Forum for Information Retrieval Evaluation, Hyderabad, India, 16–20 December 2020; pp. 21–24. [Google Scholar]
 - Lachgar, M.; Hrimech, H.; Kartit, A. Optimization techniques in deep convolutional neuronal networks applied to olive diseases classification. Artif. Intell. Agric. 2022, 6, 77–89. [Google Scholar]
 - Arul Vinayakam Rajasimman, M.; Manoharan, R.K.; Subramani, N.; Aridoss, M.; Galety, M.G. Robust facial expression recognition using an evolutionary algorithm with a deep learning model. Appl. Sci. 2022, 13, 468. [Google Scholar] [CrossRef]
 



















| Action Unit | FACS Name | Facial Muscle | Example Image | 
|---|---|---|---|
| 15 | Lip Corner Depressor | Depressor anguli oris (Tri-angularis) | ![]()  | 
| 25 | Lips part | Depressor Labii, Relax ation of Mentalis (AU17), Orbicularis Oris | ![]()  | 
| 43 | Eyes Closed | Relaxation of Levator Palpebrae Superioris | ![]()  | 
| 55 | Head Tilt Left | ![]()  | |
| 56 | Head Tilt Right | ![]()  | 
| Expressions | Involved Action Units | Description | Samples of Video Clips | 
|---|---|---|---|
| FD1 | AU (15 + 25 + 43) | Lip Corner Depressor, Lips part, Eyes Closed  | 25 | 
| FD2-L | AU (15 + 43 + 55) | Lip Corner Depressor, Eyes Closed, Head Tilt Left  | 25 | 
| FD2-R | AU (15 + 43 + 56) | Lip Corner Depressor, Eyes Closed, Head Tilt Right  | 25 | 
| FD3-L | AU (15 + 25 + 43 + 55) | Lip Corner Depressor, Lips part, Eyes Closed, Head Tilt Left  | 25 | 
| FD3-R | AU (15 + 25 + 43 + 56) | Lip Corner Depressor, Lips part, Eyes Closed, Head Tilt Right  | 25 | 
| Class Name | Facial Expression | Precision | Recall | F1 Score | Accuracy | 
|---|---|---|---|---|---|
| FD1 | AU (15 + 25 + 43) | 100% | 100% | 100% | 100% | 
| FD2-R | AU (15 + 43 + 55) | 100% | 100% | 100% | 100% | 
| FD2-L | AU (15 + 43 + 56) | 99% | 100% | 100% | 99% | 
| FD3-R | AU (15 + 25 + 43 + 55) | 100% | 100% | 100% | 100% | 
| FD3-L | AU (15 + 25 + 43 + 56) | 100% | 99% | 100% | 100% | 
| Mean | 99.8% | 99.8% | 100% | 99.8% | 
Disclaimer/Publisher’s Note: The statements, opinions and data contained in all publications are solely those of the individual author(s) and contributor(s) and not of MDPI and/or the editor(s). MDPI and/or the editor(s) disclaim responsibility for any injury to people or property resulting from any ideas, methods, instructions or products referred to in the content.  | 
© 2024 by the authors. Licensee MDPI, Basel, Switzerland. This article is an open access article distributed under the terms and conditions of the Creative Commons Attribution (CC BY) license (https://creativecommons.org/licenses/by/4.0/).
Share and Cite
Al-Tekreeti, Z.; Moreno-Cuesta, J.; Madrigal Garcia, M.I.; Rodrigues, M.A. AI-Based Visual Early Warning System. Informatics 2024, 11, 59. https://doi.org/10.3390/informatics11030059
Al-Tekreeti Z, Moreno-Cuesta J, Madrigal Garcia MI, Rodrigues MA. AI-Based Visual Early Warning System. Informatics. 2024; 11(3):59. https://doi.org/10.3390/informatics11030059
Chicago/Turabian StyleAl-Tekreeti, Zeena, Jeronimo Moreno-Cuesta, Maria Isabel Madrigal Garcia, and Marcos A. Rodrigues. 2024. "AI-Based Visual Early Warning System" Informatics 11, no. 3: 59. https://doi.org/10.3390/informatics11030059
APA StyleAl-Tekreeti, Z., Moreno-Cuesta, J., Madrigal Garcia, M. I., & Rodrigues, M. A. (2024). AI-Based Visual Early Warning System. Informatics, 11(3), 59. https://doi.org/10.3390/informatics11030059
        

                        
       



