On Return Probabilities of Adverse Events Under Dependence and Lessons to Learn for Decision-Making
Abstract
1. Introduction
2. Univariate Case
2.1. The Independent and Identically Distributed Setup
2.2. The Independent but Not Necessarily Identically Distributed Setup
- (1)
- Consider the decreasing sequence , . A telescoping argument leads toWe thus have if and only if and thus if and only ifAs the left-hand side goes to 0, there thus exists, for each , an sufficiently large such that for all ; as the left-hand side is maximal for with value ; this inequality even holds for all for . Therefore, eventually, the probability of at least one failure decreases in comparison to that in the iid case considered in Section 2.1.
- (2)
- Consider the increasing sequence , , for . Thenwhich is if and only if . Using , , we thus obtain that the probability of failure to achieve all goals is larger than that in Section 2.1 if , so eventually for sufficiently large integer n.
- (3)
- Another increasing sequence is the geometric sequence , , with and geometrically. ThenClearly, if for p being the probability of failure in the iid case in Section 2.1, then we obtain that the probability of at least one failure is larger than that in the iid case. However, this still holds eventually even if , so even for the first so-many time periods i, the failure probability is smaller than p. Moreover, we can determine the number of time periods it takes for this result to hold eventually, namely, by finding the n values for which , which are precisely those integers that satisfy .
2.3. The Dependent but Not Necessarily Identically Distributed Setup
- (1)
- If , is the independence copula, we obtain just as in Section 2.2.
- (2)
- If and is the countermonotone copula, then , which is 1 if and thus reaches failure for sure within two consecutive time periods. The independence setup, however, only leads to for all . As such, independence is advantageous over countermonotonicity. For decision-making, we observe that under countermonotonicity, not failing in the first period increases our chances of failing in the second.
- (3)
- If , , is the comonotone copula, we obtain , which means that, if , , for some , then . In the independence setup, even though does not necessarily converge to 1 (see Example 2), it does so if converges to 0 at an acceptable speed. As all scenarios in Example 1 show, a bound such as is typically not guaranteed. As such, comonotonicity is advantageous over independence. For decision-making, we observe that under comonotonicity, not failing in the first period limits our chances of failing in the second, which is advantageous.
- (1)
- If are copulas such that , that is, , , thenIn particular, , , implies .
- (2)
- If denotes the diagonal of the n-dimensional copula C, then
- (1)
- By (5), implies that . Letting one of or be C and the other one be implies the remaining part of the statement.
- (2)
- Copulas are componentwise increasing, so , and thusBy the Fréchet–Hoeffding bounds theorem (see Nelsen 2006, Section 2.5), , , for and , . Therefore,Combining the two bounds leads to the result as stated. □
- (1)
- If or if , then .
- (2)
- If or if , then .
2.4. The Dependent and Identically Distributed Setup
- (1)
- Clearly, the diagonals of W, Π and M are , and , respectively.
- (2)
- The n-dimensional mixture copula has diagonalwhere are the diagonals of , respectively. In particular, the diagonal of the mixture between M and Π is , , which converges to for and any as already mentioned before.
- (3)
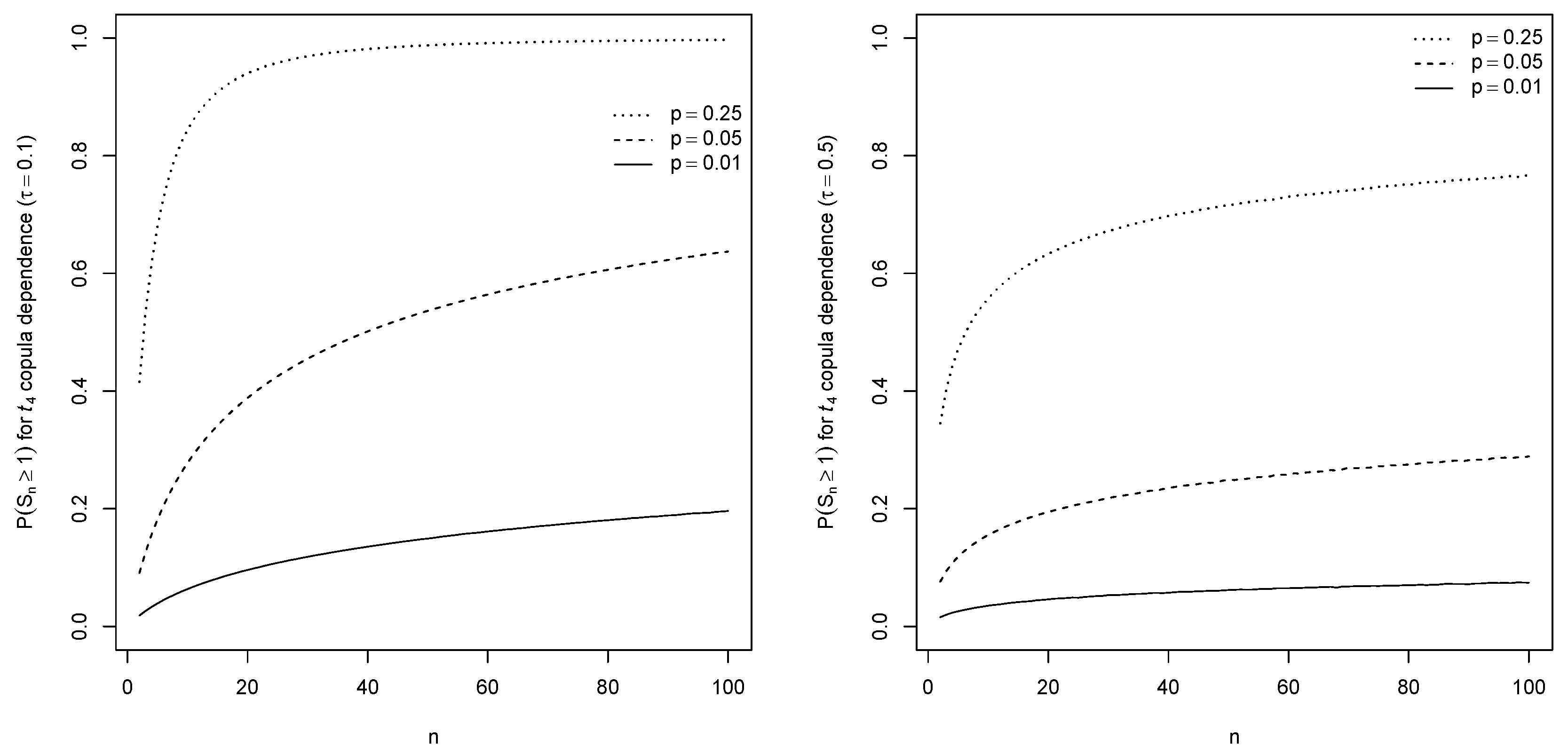
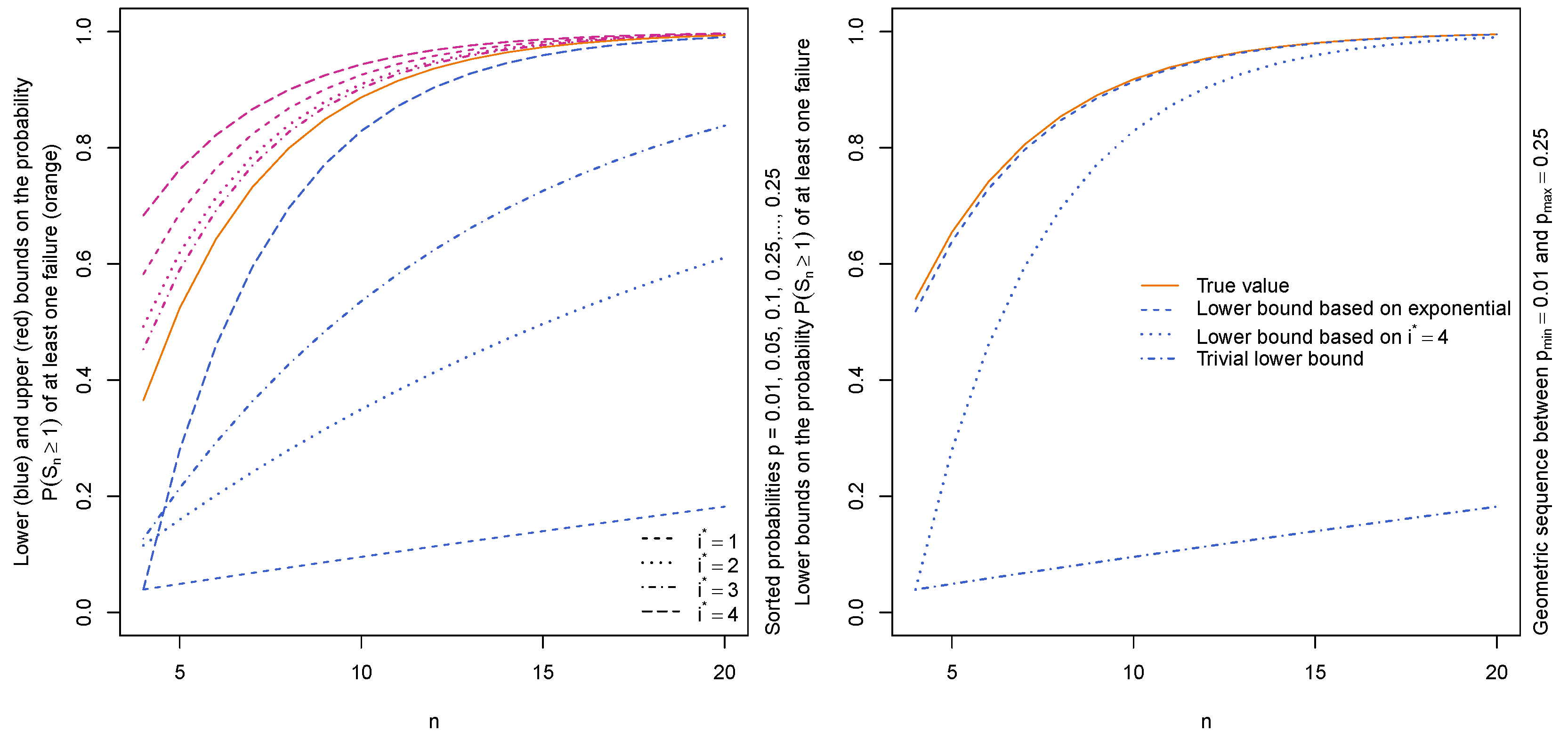
- Archimax copulas are copulas of the form , , where ψ is an Archimedean generator (that is is continuous, decreasing, satisfies , , and is strictly decreasing on ) and where is a stable tail dependence function, that is, is homogeneous of degree 1 (that is , , ), for each standard base vector , , and is fully n-max-decreasing (that is for all , is -max decreasing for any j variables fixed, a property not further discussed here); see Charpentier et al. (2014) and Ressel (2013) for more details. According to the latter reference, a convenient characterization of stable tail dependence functions is viaD-norms as functions , , where the D-norm generator is a vector of nonnegative, unit mean random variables.Archimedean copulas result as special case of Archimax copulas for and if ψ is n-monotone (see McNeil and Nešlehová 2009). And extreme value copulas result as a special case for , . The diagonal of Archimax copulas iswhich converges to 0 for and any as long as converges to a value at least as large as . In particular, if C is Archimedean with completely monotone generator ψ (see, for example, McNeil 2008), then for , , which implies, by (7), that . In contrast, if C is extreme value with for (such can be constructed via D-norms by considering , for some ), then for , , which implies, by (7), thatnote that for , this is the probability of at least one failure in the iid setup over η time periods. So the long-run return probability is as small as that in the iid setup over (only) η time periods. We also see (8) that this example provides one in the spirit of Example 2 but now under dependence. The probability not converging to 1 for may not be expected, but the positive influence the dependence has on in comparison to the independence case is (by Proposition 3 (1)), since extreme value copulas are PLOD.
3. Multivariate Case
- (M1)
- , , ;
- (M2)
- , , ;
- (M3)
- , , .
- (D1)
- , ;
- (D2)
- ;
- (D3)
- C is a copula for those considered.
3.1. Comonotone Blocks
3.2. Independence Between Blocks
3.3. Nested Copulas
4. Conclusions
or“When you’re playing a point, it is the most important thing in the world. But when it’s behind you, it’s behind you…This mindset is really crucial, because it frees you to fully commit to the next point…[…].”
which both support the idea of not letting dependence negatively impact a player when moving from one point (one time period) to the next (“it’s behind you”, “You move on”). In short, independence is advantageous over negative dependence. Moreover, our results support one more important lesson to learn: we saw that positive dependence is advantageous over independence, so we should also keep in mind to learn from our past mistakes moving forward.“You want to become a master at overcoming hard moments. That to me is the sign of a champion. The best in the world are not the best because they win every point…It’s because they know they’ll lose…again and again…and have learned how to deal with it. […] You move on.”
Funding
Data Availability Statement
Conflicts of Interest
References
- Borovcnik, Manfred. 2015. Risk and decision making: The “logic” of probability. The Mathematics Enthusiast 12: 113–39. [Google Scholar] [CrossRef]
- Camerer, Colin F., and Howard Kunreuther. 1989. Decision processes for low probability events: Policy implications. Journal of Policy Analysis and Management 8: 565–92. [Google Scholar] [CrossRef]
- Charpentier, Arthur, Anne-Laure Fougères, Christian Genest, and Johanna G. Nešlehová. 2014. Multivariate Archimax copulas. Journal of Multivariate Analysis 126: 118–36. [Google Scholar] [CrossRef]
- Clemen, Robert T., Gregory W. Fischer, and Robert L. Winkler. 2000. Assessing dependence: Some experimental results. Management Science 46: 1100–15. [Google Scholar] [CrossRef]
- Federer, Roger. 2024. 2024 Commencement Address by Roger Federer. Available online: https://home.dartmouth.edu/news/2024/06/2024-commencement-address-roger-federer (accessed on 12 July 2025).
- Frees, Edward W., and Emiliano A. Valdez. 1998. Understanding relationships using copulas. North American Actuarial Journal 2: 1–25. [Google Scholar] [CrossRef]
- McNeil, Alexander J. 2008. Sampling nested Archimedean copulas. Journal of Statistical Computation and Simulation 78: 567–81. [Google Scholar] [CrossRef]
- McNeil, Alexander J., and Johanna Nešlehová. 2009. Multivariate Archimedean copulas, d-monotone functions and ℓ1-norm symmetric distributions. Annals of Statistics 37: 3059–97. [Google Scholar] [CrossRef] [PubMed]
- Nelsen, Roger B. 2006. An Introduction to Copulas. Berlin/Heidelberg: Springer. [Google Scholar]
- Patton, Andrew. 2012. A review of copula models for economic time series. Journal of Multivariate Analysis 110: 4–18. [Google Scholar] [CrossRef]
- Ressel, Paul. 2013. Homogeneous distributions—And a spectral representation of classical mean values and stable tail dependence functions. Journal of Multivariate Analysis 117: 246–56. [Google Scholar] [CrossRef]
- Shao, Huijuan, Xinwei Deng, Chi Zhang, Shuai Zheng, Hamed Khorasgani, Ahmed Farahat, and Chetan Gupta. 2019. Multivariate bernoulli logit-normal model for failure prediction. Annual Conference of the PHM Society 11: 1–8. [Google Scholar] [CrossRef]
- Tinsley, Catherine H., Robin L. Dillon, and Matthew A. Cronin. 2012. How near-miss events amplify or attenuate risky decision making. Management Science 58: 1596–613. [Google Scholar] [CrossRef]
- Wakker, Peter P. 2010. Prospect Theory: For Risk and Ambiguity. Cambridge: Cambridge University Press. [Google Scholar]



Disclaimer/Publisher’s Note: The statements, opinions and data contained in all publications are solely those of the individual author(s) and contributor(s) and not of MDPI and/or the editor(s). MDPI and/or the editor(s) disclaim responsibility for any injury to people or property resulting from any ideas, methods, instructions or products referred to in the content. |
© 2026 by the author. Licensee MDPI, Basel, Switzerland. This article is an open access article distributed under the terms and conditions of the Creative Commons Attribution (CC BY) license.
Share and Cite
Hofert, M. On Return Probabilities of Adverse Events Under Dependence and Lessons to Learn for Decision-Making. Risks 2026, 14, 58. https://doi.org/10.3390/risks14030058
Hofert M. On Return Probabilities of Adverse Events Under Dependence and Lessons to Learn for Decision-Making. Risks. 2026; 14(3):58. https://doi.org/10.3390/risks14030058
Chicago/Turabian StyleHofert, Marius. 2026. "On Return Probabilities of Adverse Events Under Dependence and Lessons to Learn for Decision-Making" Risks 14, no. 3: 58. https://doi.org/10.3390/risks14030058
APA StyleHofert, M. (2026). On Return Probabilities of Adverse Events Under Dependence and Lessons to Learn for Decision-Making. Risks, 14(3), 58. https://doi.org/10.3390/risks14030058

