News Sentiment and Liquidity Risk Forecasting: Insights from Iranian Banks
Abstract
1. Introduction
2. Literature Review
2.1. Liquidity Risk Measurement
2.2. Liquidity Coverage Ratio (LCR)
2.3. Prediction and Assessment of Liquidity Risk Using Machine Learning Methods
2.4. Studies on Sentiment Analysis in Risk Management
3. Research Method
- Data Collection: Quantitative and qualitative data were sourced from a bank for liquidity data and a Fars digital news agency for textual news data, primarily focusing on economic and political spheres.
- Text Data Preparation: For qualitative data, the HAZM NLP library was employed for the Persian language. Textual data underwent initial processing, which included normalizing and refining formats and word forms, clearing texts, classifying texts, extracting and validating, removing duplicate words, polarity detection, labeling, sentiment analysis, result validation, and presentation and comparison of findings. The quantitative data obtained over time for the LCR from a sample bank required quantification to integrate it into the sentiment prediction model. For instance, if the LCR of the current month was 90% and the LCR of the previous month was 80%, there was a 10% increase in LCR, thus determining the label for that month as influential (1).
- Qualitative Feature Extraction: Features were extracted from processed news texts to establish correlations with liquidity risk.
- Sentiment Analysis Model Construction: Conventional machine learning and deep learning methods were utilized to construct a sentiment analysis model, with various algorithms tested and the optimal one selected. Validation criteria including accuracy, precision, and recall were employed to assess and compare outcomes.
- Prediction and Model Evaluation: Liquidity risk was predicted and evaluated using the chosen method, with validation criteria such as accuracy and visualizations employed for comparison with actual values.
3.1. Research Variables
3.2. Data Collection
3.2.1. Collecting Quantitative Data
3.2.2. Collection of Qualitative Data
3.3. Pre-Processing of Collected Data
| Algorithm 1. Preprocessing | |
| 1: | Notation: Input: Text File (Persian News Dataset) |
| 2: | Output: Sentiment (Positive, Neutral, Negative) |
| 3: | Begin |
| 4: | Read text data from Persian news dataset (combine summary, body, and lead for each news item) |
| 5: | Remove URL, numbers, punctuation |
| 6: | Standardization and tokenization of sentences into words |
| 7: | Words -> remove stop words |
| 8: | Add words from each sentence into preprocessed library |
| 9: | Stemming and lemmatizing words into their root forms |
| 10: | Add stemmed words from each sentence into processed library to be labeled |
3.4. Feature (Keyword) Engineering
| Algorithm 2. Feature engineering | |
| 1: | Features <- extract features (keywords) using TF-IDF and N-gram algorithms. |
| 2: | Matrix of weighted words <- Create a matrix of features, with each row representing a weighted keyword of a sentence. |
| 3: | For each month in LCR time series data |
| 4: | = |
| 5: | For each row (keywords of a news) in Matrix |
| 6: | Label each row with LCR changes of corresponding month |
| 7: | |
| 8: | |
| 9: | |
| 10: | The news matrix is divided into n groups, with each group consisting of m news items. |
| 11: | For each m items (news) in Matrix in same month |
| 12: | |
| 13: | |
| 14: | Hyper tune m as an important hyperparameter for best classification |
3.5. Model Implementation of Sentiment Analysis
| Algorithm 3. Sentiment model and prediction algorithm. | |
| 1: | samples <- Using Matrix of features with labels |
| 2: | |
| 3: | |
| 4: | |
| 5: | A. logistic regression classifier |
| 6: | Train with |
| 7: | Hyperparameter tuning with |
| 8: | Evaluate the result with |
| 9: | B. SVM classifier |
| 10: | Train with |
| 11: | Hyperparameter tuning with |
| 12: | Evaluate the result with |
| 13: | C. DNN classifier |
| 14: | Train with |
| 15: | Hyperparameter tuning (neural network architecture) with |
| 16: | Evaluate the result with |
| 17: | B. CNN classifier |
| 18: | Train with |
| 19: | Hyperparameter tuning (neural network architecture) with |
| 20: | Evaluate the result with |
| 21: | Compare the results of different algorithms and select the best method. |
| 22: | Assess the best result in a real-case scenario to evaluate the applicability of the method. |
3.6. Evaluation Criteria for Prediction
4. Experimental Results
4.1. Data Visualization
4.2. Adjustment of Hyperparameters
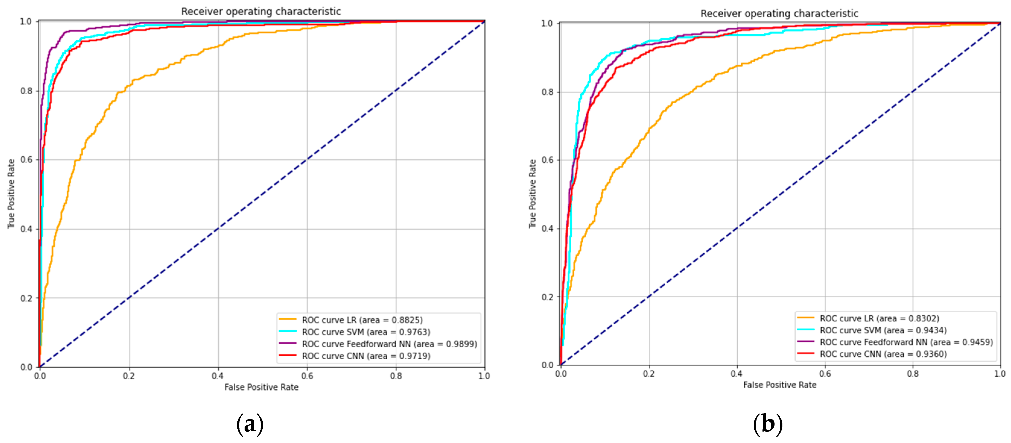
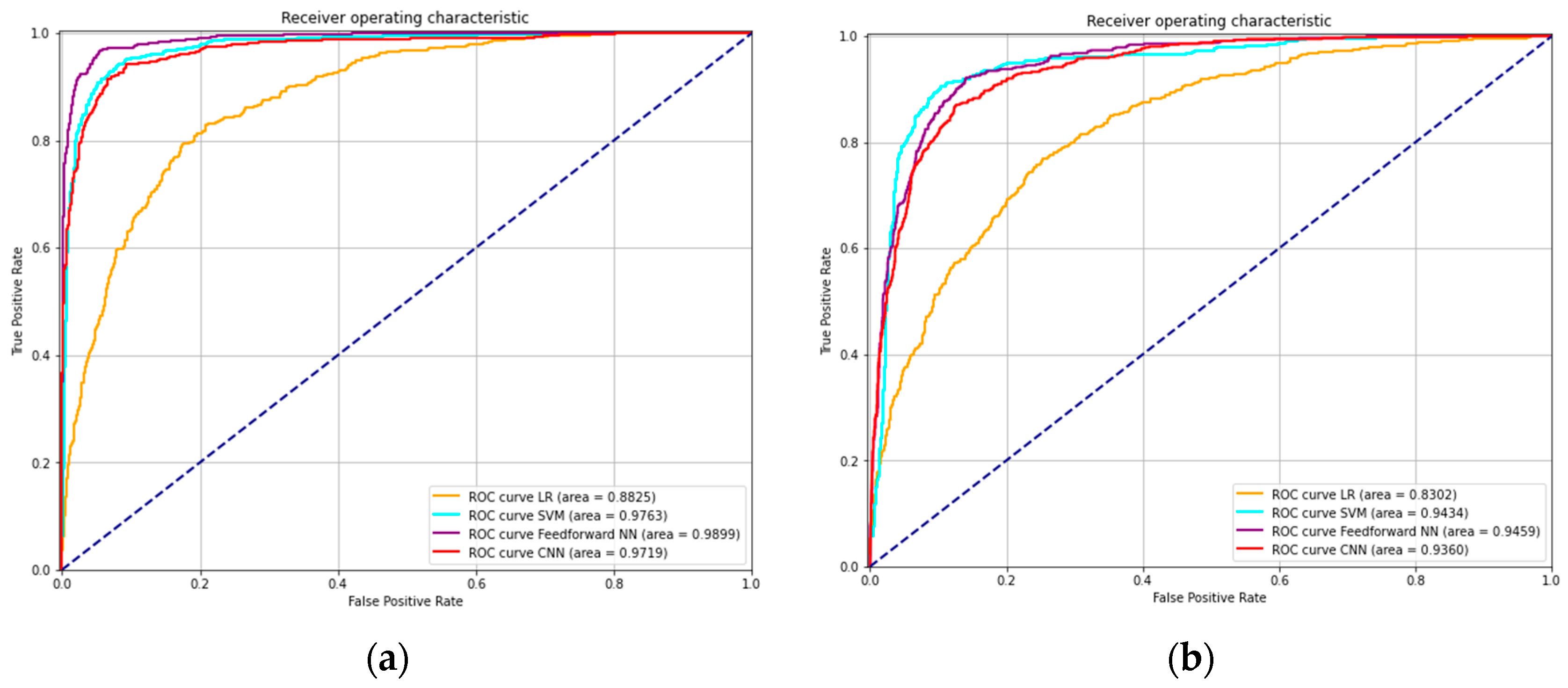
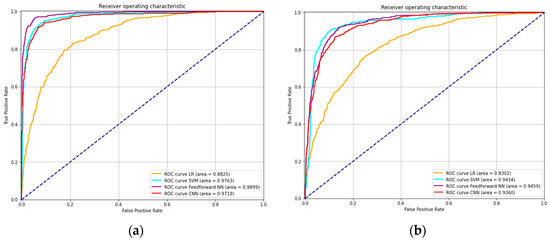
4.3. Evaluation of the Results
5. Discussion
6. Conclusions and Future Works
Author Contributions
Funding
Data Availability Statement
Acknowledgments
Conflicts of Interest
Appendix A. The Hyperparameter Tuning of Algorithms
| Classifier | Logistic Regression | ||||||||
|---|---|---|---|---|---|---|---|---|---|
| Hyperparameters | Bin Length | L = Triple | L = Quintuple | ||||||
| C | Solver | Max_Iter | Val_acc | C | Solver | Max_Iter | Val_acc | ||
| Values | M = 300 | 1 | lbfgs | 1000 | 66.82 | 1 | lbfgs | 1000 | 57.98 |
| 5 | lbfgs | 1000 | 71.51 | 10 | lbfgs | 1000 | 61.79 | ||
| 10 | lbfgs | 1000 | 71.58 | 15 | lbfgs | 1000 | 62.35 | ||
| 15 | lbfgs | 1000 | 71.04 | 17 | lbfgs | 1000 | 62.4 | ||
| 20 | lbfgs | 1000 | 70.41 | 19 | lbfgs | 1000 | 62.45 | ||
| M = 500 | 1 | lbfgs | 1000 | 66.82 | 1 | lbfgs | 1000 | 57.77 | |
| 5 | lbfgs | 1000 | 71.51 | 5 | lbfgs | 1000 | 65.11 | ||
| 10 | lbfgs | 1000 | 71.58 | 10 | lbfgs | 1000 | 66.82 | ||
| 15 | lbfgs | 1000 | 71.04 | 15 | lbfgs | 1000 | 67.29 | ||
| 20 | lbfgs | 1000 | 70.41 | 20 | lbfgs | 1000 | 68.31 | ||
| 40 | lbfgs | 1000 | 70.88 | 40 | lbfgs | 1000 | 68.07 | ||
| 70 | lbfgs | 1000 | 70.02 | 70 | lbfgs | 1000 | 68.31 | ||
| Classifier | SVM | ||||||||
|---|---|---|---|---|---|---|---|---|---|
| Hyperparameters | Bin Length | L = Triple | L = Quintuple | ||||||
| C | Solver | Max_Iter | Val_acc | C | Kernel | Max_Iter | Val_acc | ||
| Values | M = 300 | 10 | rbf | 2000 | 86.18 | 10 | rbf | 2000 | 82.64 |
| 15 | rbf | 2000 | 83.29 | 15 | rbf | 2000 | 82.78 | ||
| 12 | rbf | 2000 | 82.92 | 20 | rbf | 2000 | 82.73 | ||
| M = 500 | 1 | rbf | 2000 | 77.52 | 1 | rbf | 2000 | 79.39 | |
| 5 | rbf | 2000 | 86.42 | 5 | rbf | 2000 | 86.1 | ||
| 10 | rbf | 2000 | 86.18 | 10 | rbf | 2000 | 85.64 | ||
| 15 | rbf | 2000 | 85.79 | 15 | rbf | 2000 | 85.25 | ||
| 20 | rbf | 2000 | 86.03 | 20 | rbf | 2000 | 85.25 | ||
| 30 | rbf | 2000 | 86.1 | 30 | rbf | 2000 | 85.25 | ||
| Feed-Forward Neural Network | |||||||||||||
|---|---|---|---|---|---|---|---|---|---|---|---|---|---|
| Hyperparameters | Bin Length | L = Triple | L = Quintuple | ||||||||||
| Dense Units | Activation | Optimizer | Batch Size | Epochs | Val_acc | Dense Units | Activation | Optimizer | Batch Size | Epochs | Val_acc | ||
| Values | 300 | 1024-512-256-128 | relu | rms | 8 | 32 | 81.69 | 1024-512-256-128 | relu | rms | 16 | 17 | 82.73 |
| 512-256-128-64 | relu | adam | 8 | 29 | 83.11 | 1024-512-512-256 | relu | adam | 16 | 42 | 80.14 | ||
| 512-256-128-64 | relu | adam | 16 | 45 | 82.92 | 512-256-64 | relu | rms | 16 | 19 | 81.08 | ||
| 1024-512-256-128 | relu | rms | 64 | 19 | 84.85 | ||||||||
| 1024-512-256-128 | relu | rms | 128 | 21 | 84.8 | ||||||||
| 1024-512-256-128 | relu | rms | 32 | 15 | 84.33 | ||||||||
| 500 | 512-256-128-64 | relu | adam | 8 | 14 | 82.12 | 512-256-128-64 | relu | rms | 64 | 42 | 87.2 | |
| 512-256-64 | relu | rms | 8 | 24 | 84 | 256-128-64 | relu | rms | 32 | 18 | 81.03 | ||
| 1024-512-128 | relu | rms | 8 | 17 | 83.22 | 1024-512-256-128 | relu | rms | 64 | 25 | 86.42 | ||
| 512-256-128 | relu | rms | 16 | 24 | 85.25 | 512-256-128-64 | relu | adam | 32 | 61 | 82.9 | ||
| 512-256-256 | relu | rms | 32 | 20 | 86.18 | 512-256-128 | relu | rms | 64 | 42 | 87.35 | ||
| 512-256-256 | relu | rms | 64 | 23 | 86.96 | ||||||||
| 512-256-256 | relu | rms | 128 | 57 | 89. 31 | ||||||||
| 512-256-256 | relu | rms | 256 | 69 | 89.7 | ||||||||
| 512-256-256 | relu | rms | 512 | 68 | 88.29 | ||||||||
| CNN | ||||||||||||||||||
|---|---|---|---|---|---|---|---|---|---|---|---|---|---|---|---|---|---|---|
| Bin Length | Triple | Quintuple | ||||||||||||||||
| Filters | Kernel Size | Pool Size | Dense Units | Activation | Optimizer | Batch Size | Epochs | Val _acc | Filters | Kernel Size | Pool Size | Dense Units | Activation | Optimizer | Batch Size | Epochs | Val _acc | |
| 300 | 32- 64-128 | 3 | 2 | 128 | Relu | adam | 8 | 29 | 79 | 128- 256-512 | 3 | 2 | 512 | relu | rms | 16 | 16 | 80 |
| 64-128-256 | 3 | 2 | 256 | Relu | adam | 8 | 25 | 82 | 64-128-256 | 3 | 2 | 256 | relu | rms | 8 | 26 | 77 | |
| 16- 32- 64-128 | 3 | 2 | 128 | Relu | adam | 8 | 27 | 77 | 64- 64-128 | 3 | 2 | 128 | relu | rms | 16 | 20 | 77 | |
| 32- 64-128 | 3 | 2 | 128 | relu | rms | 64 | 15 | 77 | ||||||||||
| 500 | 32- 64-128 | 3 | 2 | 128 | Relu | ad am | 64 | 29 | 81 | 64- 128 | 3 | 2 | 128 | relu | adam | 32 | 20 | 77 |
| 32- 32-64 | 3 | 2 | 64 | Relu | ad am | 12 8 | 33 | 79 | 32- 64-128 | 3 | 2 | 128 | relu | adam | 64 | 19 | 75 | |
| 32- 64 | 3 | 2 | 64 | Relu | ad am | 32 | 43 | 82 | 16- 32-64 | 3 | 2 | 64 | relu | adam | 32 | 28 | 73 | |
| 64- 128 | 3 | 2 | 128 | Relu | ad am | 32 | 21 | 84 | 64-128-256 | 3 | 2 | 256 | relu | adam | 64 | 30 | 80 | |
| 128- 256 | 3 | 2 | 256 | Relu | ad am | 32 | 35 | 83 | 64-128-128 | 3 | 2 | 128 | relu | adam | 64 | 23 | 77 | |
Appendix B. Confusion Matrices of the Tuned Algorithms




| 1 | Natural language processing. |
| 2 | Term frequency inverse document frequency. |
References
- Adhikari, Surabhi, Surendrabikram Thapa, Usman Naseem, Hai Ya Lu, Gnana Bharathy, and Mukesh Prasad. 2023. Explainable Hybrid Word Representations for Sentiment Analysis of Financial News. Neural Networks 164: 115–23. [Google Scholar] [CrossRef] [PubMed]
- Ahmad, Farooq, and Nasir Rasool. 2017. Determinants of Bank Liquidity: Empirical Evidence from Listed Commercial Banks with SBP. Journal of Economics and Sustainable Development 8: 47–55. [Google Scholar]
- Alharbi, Ahmad. 2017. Determinants of Banks Liquidity: Evidence from OIC Countries. Journal of Economic and Administrative Sciences 33: 164–77. [Google Scholar] [CrossRef]
- An, Chang-Ho. 2017. A Study on Estimation of Financial Liquidity Risk Prediction Model Using Financial Analysis. Available online: https://api.semanticscholar.org/CorpusID:173987578 (accessed on 1 January 2018).
- Antweiler, Werner, and Murray Frank. 2004. Is All That Talk Just Noise? The Information Content of Internet Stock Message Boards. Journal of Finance 59: 1259–94. [Google Scholar] [CrossRef]
- Araci, Dogu. 2019. FinBERT: Financial Sentiment Analysis with Pre-Trained Language Models. arXiv arXiv:1908.10063. Available online: https://api.semanticscholar.org/CorpusID:201646244 (accessed on 1 January 2020).
- Arif, Ahmed, and Ahmed Nauman Anees. 2012. Liquidity Risk and Performance of Banking System. Journal of Financial Regulation and Compliance 20: 182–95. [Google Scholar] [CrossRef]
- Athanasoglou, Panayiotis, Sophocles Brissimis, and Matthaios Delis. 2008. Bank-Specific, Industry-Specific and Macroeconomic Determinants of Bank Profitability. Journal of International Financial Markets, Institutions and Money 18: 121–36. [Google Scholar] [CrossRef]
- Basel Committee on Banking Supervision. 2008. Principles for Sound Liquidity Risk Management and Supervision. Basel: BIS.org, September. [Google Scholar]
- Basel Committee on Banking Supervision. 2010. Basel III: International Framework for Liquidity Risk Measurement Standards and Monitoring. Basel: BIS.org. [Google Scholar]
- Bissoondoyal-Bheenick, Emawtee, and Sirimon Treepongkaruna. 2011. An Analysis of the Determinants of Bank Ratings: Comparison across Ratings Agencies. Australian Journal of Management 36: 405–24. [Google Scholar] [CrossRef]
- Boguth, Oliver, Murray Carlson, Adlai Fisher, and Mikhail Simutin. 2016. Horizon Effects in Average Returns: The Role of Slow Information Diffusion. Review of Financial Studies 29: 2241–81. [Google Scholar] [CrossRef]
- Butler, Matthew, and Vlado Kešelj. 2009. Financial Forecasting Using Character N-Gram Analysis and Readability Scores of Annual Reports. In Advances in Artificial Intelligence. Edited by Yong Gao and Nathalie Japkowicz. Berlin/Heidelberg: Springer, pp. 39–51. [Google Scholar] [CrossRef]
- Calabrese, Raffaella, and Paolo Giudici. 2015. Estimating bank default with generalised extreme value regression models. Journal of the Operational Research Society 66: 1783–92. [Google Scholar] [CrossRef]
- Campbell, John, and Robert Shiller. 1986. Cointegration and Tests of Present Value Models. Working Paper Series, Working Paper No. 1885. Cambridge: National Bureau of Economic Research, April. [Google Scholar] [CrossRef]
- Chen, Chien Chin, and You-De Tseng. 2011. Quality Evaluation of Product Reviews Using an Information Quality Framework. Decision Support Systems 50: 755–68. [Google Scholar] [CrossRef]
- Das, Sanjiv, and Mike Chen. 2007. Yahoo! for Amazon: Sentiment Extraction from Small Talk on the Web. Management Science 53: 1375–88. [Google Scholar] [CrossRef]
- Diamond, Douglas, and Philip Dybvig. 1983. Bank Runs, Deposit Insurance, and Liquidity. Journal of Political Economy 91: 401–19. Available online: http://www.jstor.org/stable/1837095 (accessed on 12 October 2024). [CrossRef]
- Do, Hai Ha, PWC Prasad, Angelika Maag, and Abeer Alsadoon. 2019. Deep Learning for Aspect-Based Sentiment Analysis: A Comparative Review. Expert Systems with Applications 118: 272–99. [Google Scholar] [CrossRef]
- Dogra, Varun, Aman Singh, Kavita Verma, Noor Jhanjhi, and Maria Talib. 2021. Analyzing DistilBERT for Sentiment Classification of Banking Financial News. Paper presented at 2021 International Conference on Advances in Computing, Communications and Informatics, Kochi, India, October 21–23; Singapore: Springer, pp. 501–10. [Google Scholar] [CrossRef]
- Doumpos, Michael, Chrysovalantis Gaganis, and Fotios Pasiouras. 2016. Bank Diversification and Overall Financial Strength: International Evidence. Financial Markets, Institutions & Instruments 25: 169–213. [Google Scholar] [CrossRef]
- Drehmann, Mathias, and Kleopatra Nikolaou. 2013. Funding Liquidity Risk: Definition and Measurement. Journal of Banking & Finance 37: 2173–82. Available online: https://www.sciencedirect.com/science/article/pii/S0378426612000039 (accessed on 1 January 2021). [CrossRef]
- Elsas, Ralf, Andreas Hackethal, and Markus Holzhäuser. 2010. The anatomy of bank diversification. Journal of Banking & Finance 34: 1274–87. [Google Scholar] [CrossRef]
- Erlwein-Sayer, Christina. 2018. Macroeconomic News Sentiment: Enhanced Risk Assessment for Sovereign Bonds. Risks 6: 141. [Google Scholar] [CrossRef]
- Erlwein-Sayer, Christina, and Xiang Yu. 2020. Sentiment Analysis for Credit Risk and Portfolio Construction. Available online: https://bigdatafinance.eu/wp/wp-content/uploads/2017/07/Sentiment-Analysis-for-Credit-Risk-and-Portfolio-Construction.pdf (accessed on 1 January 2021).
- Estahbanati, Somayye, and Reza Javidan. 2011. A New Stemmer for Farsi Language. Paper presented at 2011 CSI International Symposium on Computer Science and Software Engineering (CSSE), Tehran, Iran, June 15–16; pp. 25–29. [Google Scholar] [CrossRef]
- Feki, Asma, Anis Ben Ishak, and Saber Feki. 2012. Feature Selection Using Bayesian and Multiclass Support Vector Machines Approaches: Application to Bank Risk Prediction. Expert Systems with Applications 39: 3087–99. [Google Scholar] [CrossRef]
- Fritz, David, and Eugen Tőws. 2018. Text Mining and Reporting Quality in German Banks—A Cooccurrence and Sentiment Analysis. Universal Journal of Accounting and Finance 6: 54–81. [Google Scholar] [CrossRef]
- Gandhi, Priyank, Tim Loughran, and Bill McDonald. 2019. Using Annual Report Sentiment as a Proxy for Financial Distress in U.S. Banks. Journal of Behavioral Finance 20: 424–36. [Google Scholar] [CrossRef]
- Gouvêa, Maria, and Eric Bacconi. 2021. Credit Risk Analysis Applying Logistic Regression, Neural Networks and Genetic Algorithms Models. International Journal of Advanced Engineering Research and Science 8: 198–209. [Google Scholar] [CrossRef]
- Groth, Sven, and Jan Muntermann. 2011. An Intraday Market Risk Management Approach Based on Textual Analysis. Decision Support Systems 50: 680–91. [Google Scholar] [CrossRef]
- Guijarro, Francisco, Ismael Moya-Clemente, and Jawad Saleemi. 2021. Market Liquidity and Its Dimensions: Linking the Liquidity Dimensions to Sentiment Analysis through Microblogging Data. Journal of Risk and Financial Management 14: 394. [Google Scholar] [CrossRef]
- Hagenau, Michael, Michael Liebmann, and Dirk Neumann. 2013. Automated News Reading: Stock Price Prediction Based on Financial News Using Context-Capturing Features. Decision Support Systems 55: 685–97. [Google Scholar] [CrossRef]
- Hanley, James, and Barbara Mcneil. 1982. The Meaning and Use of the Area Under a Receiver Operating Characteristic (ROC) Curve. Radiology 143: 29–36. [Google Scholar] [CrossRef] [PubMed]
- Hassan, Kabir, Ashraf Khan, and Andrea Paltrinieri. 2018. Liquidity Risk, Credit Risk and Stability in Islamic and Conventional Banks. Research in International Business and Finance 48: 17–31. [Google Scholar] [CrossRef]
- Hájek, Petr, and Vladimír Olej. 2013. Evaluating Sentiment in Annual Reports for Financial Distress Prediction Using Neural Networks and Support Vector Machines. Communications in Computer and Information Science 384: 1–10. [Google Scholar] [CrossRef]
- Huang, Jiexiang, Helen Roberts, and Eric Tan. 2018. The Impact of Media Sentiment on Firm Risk, Corporate Investment and Financial Policies. DecisionSciRN: Leadership & Decision-Making (Topic). Available online: https://api.semanticscholar.org/CorpusID:169821512 (accessed on 1 January 2018).
- Jarrow, Robert, and Donald van Deventer. 1998. The Arbitrage-Free Valuation and Hedging of Demand Deposits and Credit Card Loans. Journal of Banking & Finance 22: 249–72. [Google Scholar] [CrossRef]
- Jiang, Kai, and Xi Lu. 2020. Natural Language Processing and Its Applications in Machine Translation: A Diachronic Review. Paper presented at 2020 IEEE 3rd International Conference of Safe Production and Informatization (IICSPI), Chongqing, China, November 28–30; pp. 210–14. [Google Scholar] [CrossRef]
- Jobst, Andreas. 2014. Measuring Systemic Risk-Adjusted Liquidity (SRL)—A Model Approach. Journal of Banking & Finance 45: 270–87. [Google Scholar] [CrossRef]
- Juba, Brendan, and Hai Le. 2019. Precision-Recall versus Accuracy and the Role of Large Data Sets. Proceedings of the AAAI Conference on Artificial Intelligence 33: 4039–48. [Google Scholar] [CrossRef]
- Khan, Md, Md Sumon Ali, Md Naiem Hossain, and Mithun Bairagi. 2023. Determinants of Non-performing Loans in Conventional and Islamic Banks: Emerging Market Evidence. Modern Finance 1: 56–69. [Google Scholar] [CrossRef]
- Khurana, Diksha, Aditya Koli, Kiran Khatter, and Sukhdev Singh. 2023. Natural Language Processing: State of the Art, Current Trends, and Challenges. Multimedia Tools and Applications 82: 3713–44. [Google Scholar] [CrossRef]
- Khyani, Divya, and Siddhartha. 2021. An Interpretation of Lemmatization and Stemming in Natural Language Processing. Shanghai Ligong Daxue Xuebao/Journal of University of Shanghai for Science and Technology 22: 350–57. [Google Scholar]
- Kim, Hannah, and Young-Seob Jeong. 2019. Sentiment Classification Using Convolutional Neural Networks. Applied Sciences 9: 2347. [Google Scholar] [CrossRef]
- Kogan, Shimon, Dimitry Levin, Bryan Routledge, Jacob Sagi, and Noah Smith. 2009. Predicting Risk from Financial Reports with Regression. Paper presented at Conference on Empirical Methods in Natural Language Processing (EMNLP), Singapore, August 6–7; pp. 272–80. [Google Scholar] [CrossRef][Green Version]
- Köhler, Matthias. 2015. Which banks are more risky? The impact of business models on bank stability. Journal of Financial Stability 16: 195–212. [Google Scholar] [CrossRef]
- Kraus, Mathias, and Stefan Feuerriegel. 2017. Decision Support from Financial Disclosures with Deep Neural Networks and Transfer Learning. Decision Support Systems 104: 38–48. [Google Scholar] [CrossRef]
- Kumar, Manish, and Ghanshyam Chand Yadav. 2013. Liquidity Risk Management in Bank: A Conceptual Framework. Global Journal of Engineering Science and Research Management 7: 3. [Google Scholar]
- Lanine, Gleb, and Rudi Vander Vennet. 2006. Failure Prediction in the Russian Bank Sector with Logit and Trait Recognition Models. Expert Systems with Applications 30: 463–78. [Google Scholar] [CrossRef]
- Lasko, Thomas, Jui Bhagwat, Kelly Zou, and Lucila Ohno-Machado. 2005. The Use of Receiver Operating Characteristic Curves in Biomedical Informatics. Journal of Biomedical Informatics 38: 404–15. [Google Scholar] [CrossRef]
- LeCun, Yann, Bengio, and Geoffrey Hinton. 2015. Deep Learning. Nature 521: 436–44. [Google Scholar] [CrossRef]
- Li, Feng. 2008. The Determinants and Information Content of the Forward-Looking Statements in Corporate Filings—A Naïve Bayesian Machine Learning Approach. Journal of Accounting Research 48: 1049–102. [Google Scholar] [CrossRef]
- Liu, Ning, and Jianhua Zhao. 2022. A BERT-Based Aspect-Level Sentiment Analysis Algorithm for Cross-Domain Text. Computational Intelligence and Neuroscience 2022: 8726621. [Google Scholar] [CrossRef]
- MacKinlay, Craig. 1997. Event Studies in Economics and Finance. Journal of Economic Literature 35: 13–39. [Google Scholar]
- Manthoulis, Georgios, Michalis Doumpos, Constantin Zopounidis, and Emilios Galariotis. 2020. An ordinal classification framework for bank failure prediction: Methodology and empirical evidence for US banks. European Journal of Operational Research 282: 786–801. [Google Scholar] [CrossRef]
- Manzira, Francis, and Felix Bankole. 2018. Application of Social Media Analytics in the Banking Sector to Drive Growth and Sustainability: A Proposed Integrated Framework. Paper presented at 2018 Open Innovations Conference (OI), Johannesburg, South Africa, October 3–5; pp. 223–33. [Google Scholar] [CrossRef]
- Matz, Leonard. 2006. Scenario Analysis and Stress Testing. In Liquidity Risk Measurement and Management. Hoboken: John Wiley & Sons, Ltd., pp. 37–63. [Google Scholar] [CrossRef]
- Mirashk, Hamed, Amir Albadvi, and Mohammad Ali Rastegar. 2023. Liquidity Risk Prediction Using News Sentiment Analysis. Journal of Information and Communication Technology 55: 258–73. [Google Scholar]
- Mittermayer, Marc-Anton. 2004. Forecasting intraday stock price trends with text mining techniques. Paper presented at 37th Annual Hawaii International Conference on System Sciences, Big Island, HI, USA, January 5–8. [Google Scholar] [CrossRef]
- Mohammad, Sabri, Mehmet Asutay, Rob Dixon, and Elena Platonova. 2020. Liquidity Risk Exposure and Its Determinants in the Banking Sector: A Comparative Analysis between Islamic, Conventional and Hybrid Banks. Journal of International Financial Markets, Institutions and Money 66: 101196. [Google Scholar] [CrossRef]
- Mohanty, Aniruddha, and Ravindranath Cherukuri. 2023. Sentiment Analysis on Banking Feedback and News Data Using Synonyms and Antonyms. International Journal of Advanced Computer Science and Applications 14: 934–44. [Google Scholar] [CrossRef]
- Molyneux, Philip, and John Thornton. 1992. Determinants of European Bank Profitability: A Note. Journal of Banking & Finance 16: 1173–78. [Google Scholar] [CrossRef]
- Musakwa, Fidelis. 2013. Measuring Bank Funding Liquidity Risk. University of the Witwatersrand, April 30. Available online: https://www.actuaries.org/lyon2013/papers/AFIR_Musakwa.pdf (accessed on 30 April 2023).
- Nam, KiHwan, and NohYoon Seong. 2019. Financial News-Based Stock Movement Prediction Using Causality Analysis of Influence in the Korean Stock Market. Decision Support Systems 117: 100–12. [Google Scholar] [CrossRef]
- Nguyen, Thien Hai, Kiyoaki Shirai, and Julien Velcin. 2015. Sentiment Analysis on Social Media for Stock Movement Prediction. Expert Systems with Applications 42: 9603–11. [Google Scholar] [CrossRef]
- Nopp, Clemens, and Allan Hanbury. 2015. Detecting Risks in the Banking System by Sentiment Analysis. Paper presented at 2015 Conference on Empirical Methods in Natural Language Processing (EMNLP), Lisbon, Portugal, September 17–21; pp. 591–600. [Google Scholar] [CrossRef]
- Ormerod, Paul, Rickard Nyman, and David Tuckett. 2015. Measuring Financial Sentiment to Predict Financial Instability: A New Approach Based on Text Analysis. arXiv arXiv:1508.05357. [Google Scholar]
- Paraboni, Ana, Marcelo Righi, Kelmara Vieira, and Vinícius Silveira. 2018. The Relationship between Sentiment and Risk in Financial Markets. BAR—Brazilian Administration Review 15: e170055. [Google Scholar] [CrossRef]
- Pham, Hai Nam, and Thi Hong Nhung Pham. 2022. Determinants of bank liquidity: Evidence from Vietnam. In Prediction and Causality in Econometrics and Related Topics. Edited by Nguyen Ngoc Thach, Doan Thanh Ha, Nguyen Duc Trung and Vladik Kreinovich. Cham: Springer International Publishing, pp. 185–96. [Google Scholar] [CrossRef]
- Pham, Xuan, and Tin Ho. 2021. Using Boosting Algorithms to Predict Bank Failure: An Untold Story. International Review of Economics & Finance 76: 40–54. [Google Scholar] [CrossRef]
- Porter, Martin. 1997. An Algorithm for Suffix Stripping. Program 40: 211–18. [Google Scholar] [CrossRef]
- Radovanov, Boris, Nada Milenković, Branimir Kalaš, and Aleksandra Marcikić Horvat. 2023. Do the same determinants affect banks’ profitability and liquidity? Evidence from West Balkan countries using a panel data regression analysis. Mathematics 11: 4072. [Google Scholar] [CrossRef]
- Read, Jonathon. 2005. Using Emoticons to Reduce Dependency in Machine Learning Techniques for Sentiment Classification. In Annual Meeting of the Association for Computational Linguistics. Available online: https://api.semanticscholar.org/CorpusID:12596803 (accessed on 1 July 2005).
- Roeder, Jan, Matthias Palmer, and Jan Muntermann. 2022. Data-Driven Decision-Making in Credit Risk Management: The Information Value of Analyst Reports. Decision Support Systems 158: 113770. [Google Scholar] [CrossRef]
- Rostami, Malihe. 2015. CAMELS’ Analysis in Banking Industry. Global Journal of Engineering Science and Research Management 2: 10–26. [Google Scholar]
- Schlueter, Tobias, Thomas Hartmann-Wendels, Tim Weber, and MSc Zander. 2014. Die Risikoberichterstattung Deutscher Banken: Erhebung des Branchenstandards. Schmalenbachs Zeitschrift für Betriebswirtschaftliche Forschung 66: 386–427. [Google Scholar] [CrossRef]
- Schumaker, Robert, and Hsinchun Chen. 2009. Textual Analysis of Stock Market Prediction Using Breaking Financial News: The AZFin Text System. ACM Transactions on Information Systems 27: 12. [Google Scholar] [CrossRef]
- Shao, Chen, and Xiaochen Chen. 2022. Deep-Learning-Based Financial Message Sentiment Classification in Business Management. Computational Intelligence and Neuroscience 2022: 3888675. [Google Scholar] [CrossRef]
- Singh, Anamika, and Anil Kumar Sharma. 2016. An Empirical Analysis of Macroeconomic and Bank-Specific Factors Affecting Liquidity of Indian Banks. Future Business Journal 2: 40–53. [Google Scholar] [CrossRef]
- Sokolova, Marina, Nathalie Japkowicz, and Stan Szpakowicz. 2006. Beyond Accuracy, F-Score and ROC: A Family of Discriminant Measures for Performance Evaluation. In AI 2006: Advances in Artificial Intelligence, Lecture Notes in Computer Science. Berlin: Springer, vol. 4304, pp. 1015–21. [Google Scholar] [CrossRef]
- Solangi, Yasir Ali, Zulfiqar Ali Solangi, Samreen Aarain, Amna Abro, Ghulam Ali Mallah, and Asadullah Shah. 2018. Review on Natural Language Processing (NLP) and Its Toolkits for Opinion Mining and Sentiment Analysis. Paper presented at 2018 IEEE 5th International Conference on Engineering Technologies and Applied Sciences (ICETAS), Bangkok, Thailand, November 22–23; pp. 1–4. [Google Scholar] [CrossRef]
- Taghva, Kazem, Russell Beckley, and Mohammad Sadeh. 2005. A Stemming Algorithm for the Farsi Language. Paper presented at International Conference on Information Technology: Coding and Computing (ITCC’05)—Volume II, Las Vegas, NV, USA, April 4–6, vol. 1, pp. 158–62. [Google Scholar] [CrossRef]
- Tasca, Paolo, Stefano Battiston, and Andrea Deghi. 2017. Portfolio diversification and systemic risk in interbank networks. Journal of Economic Dynamics and Control 82: 96–124. [Google Scholar] [CrossRef]
- Tasnova, Nishat. 2022. Impact of bank-specific and macroeconomic determinants on banks’ liquidity: An empirical study on listed commercial banks in Bangladesh. Finance & Economics Review 4: 11–24. [Google Scholar] [CrossRef]
- Tavana, Madjid, Amir-Reza Abtahi, Debora Di Caprio, and Maryam Poortarigh. 2018. An Artificial Neural Network and Bayesian Network model for liquidity risk assessment in banking. Neurocomputing 275: 2525–54. [Google Scholar] [CrossRef]
- Tetlock, Paul. 2007. Giving Content to Investor Sentiment: The Role of Media in the Stock Market. Journal of Finance 62: 1139–68. [Google Scholar] [CrossRef]
- Thakkar, Ankit, and Kinjal Chaudhari. 2021. A Comprehensive Survey on Deep Neural Networks for Stock Market: The Need, Challenges, and Future Directions. Expert Systems with Applications 177: 114800. [Google Scholar] [CrossRef]
- Vapnik, Vladimir. 1995. The Nature of Statistical Learning Theory. New York: Springer. [Google Scholar]
- Wei, Lu, Guowen Li, Xiaoqian Zhu, and Jianping Li. 2019. Discovering Bank Risk Factors from Financial Statements Based on a New Semi-Supervised Text Mining Algorithm. Accounting & Finance 59: 1519–52. [Google Scholar] [CrossRef]
- Wiebe, Janyce, Theresa Wilson, and Matthew Bell. 2001. Identifying Collocations for Recognizing Opinions. Paper presented at ACL-01 Workshop on Collocation: Computational Extraction, Analysis, and Exploitation, Toulouse, France, July 7; pp. 24–31. [Google Scholar]
- Wójcik-Mazur, Agnieszka, and Marek Szajt. 2015. Determinants of Liquidity Risk in Commercial Banks in the European Union. Argumenta Oeconomica 35: 25–47. [Google Scholar] [CrossRef]
- Wüthrich, Beat, Vincent Cho, Steven Leung, D. Permunetilleke, Kavitha Sankaran, and Jian Zhang. 1998. Daily Stock Market Forecast from Textual Web Data. Paper presented at SMC’98 Conference Proceedings. 1998 IEEE International Conference on Systems, Man, and Cybernetics, San Diego, CA, USA, August 6, vol. 3, pp. 2720–25. [Google Scholar]
- Yuan, Zhigang, Sixing Wu, Fangzhao Wu, Junxin Liu, and Yongfeng Huang. 2018. Domain Attention Model for Multi-Domain Sentiment Classification. Knowledge-Based Systems 155: 1–10. [Google Scholar] [CrossRef]
- Zarei, Ajmad. 2016. Measurement of credit risk portfolio of bank by method of coefficient variation bound. Sains Malaysiana 11: 3908–13. [Google Scholar]
- Zhang, Xiang, Junbo Zhao, and Yann LeCun. 2015. Character-Level Convolutional Networks for Text Classification. In Advances in Neural Information Processing Systems. vol. 28, Conference on Neural Information Processing Systems (NeurIPS), Montreal, QC, Canada. Available online: https://proceedings.neurips.cc/paper_files/paper/2015/file/250cf8b51c773f3f8dc8b4be867a9a02-Paper.pdf (accessed on 1 March 2015).
- Zhang, Yihao, and Xiaoyang Liu. 2021. Learning Attention Embeddings Based on Memory Networks for Neural Collaborative Recommendation. Expert Systems with Applications 183: 115439. [Google Scholar] [CrossRef]
- Zweig, Mark H., and Gregory Campbell. 1993. Receiver-operating characteristic (ROC) plots: A fundamental evaluation tool in clinical medicine. Clinical Chemistry 39: 561–77. [Google Scholar] [CrossRef]










| Year | Area | Article Title | Method |
|---|---|---|---|
| 2023 | Risk Management | Liquidity Risk Prediction Using News Sentiment Analysis | Using DSR and Machine Learining Approach for Liquidity Risk Prediction (Mirashk et al. 2023) |
| 2015 | Risk management | Detecting Risks in the Banking System by Sentiment Analysis | Using the sentiment analysis approach to identify risk in the bank (Solangi et al. 2018) |
| 2019 | Risk management | Discovering bank risk factors from financial statements | Identifying risk factors from financial statements using text mining (Wei et al. 2019) |
| 2014 | Risk management | Risk reporting by German banks | Review of financial reports by financial banks: using standard methods (Schlueter et al. 2014) |
| 2018 | Risk management | Text Mining and Reporting Quality in German Banks | Checking the quality of financial reports using sentiment analysis in German banks (Fritz and Tőws 2018) |
| 2018 | Social banking | Application of Social Media Analytics in the Banking Sector | Social network and trend analysis are used to investigate the consumer’s view in the payment industries (Manzira and Bankole 2018) |
| 2018 | Investment | The impact of Media Sentiment on Firm Risk | Analyzes the positive relationship between media sentiment and a company’s future stock returns (Huang et al. 2018) |
| 2021 | Market risk | The Liquidity Dimensions to Sentiment Analysis through Microblogging Data | Finding pessimistic content (blog) increases trading costs, illiquidity, and price dispersion (Guijarro et al. 2021) |
| 2018 | Market risk | The relationship between Sentiment and Risk in Financial Markets | Investigating the effects of financial markets on risk with the sentiment analysis approach (Paraboni et al. 2018) |
| 2019 | Bank health | Using Annual Report Sentiment as a Proxy for Financial Distress in U.S. Banks | Using annual analytical reports as a proxy to detect financial crises in American banks (Gandhi et al. 2019) |
| 2018 | Bank health | Text Mining and Reporting Quality in German Banks | Investigating the quality of financial reports using sentiment analysis (Fritz and Tőws 2018) |
| 2019 | Bank health | Discovering bank risk factors from financial statements based on a new text mining algorithm | Comprehensively reveals a bank’s risk factors from the textual risk disclosures reported in the financial statements (Wei et al. 2019) |
| 2019 | Financial sentiment analysis | Financial Sentiment Analysis with Pre-trained Language Models | The FinBERT language model, designed based on BERT, addresses financial sentiment analysis challenges (Araci 2019) |
| 2023 | Financial sentiment analysis | Sentiment Analysis on Banking Feedback and News Data using Synonyms and Antonyms | Evaluates sentiment scores of words, rephrases using synonyms/antonyms, and uses the ELECTRA model for SA (Mohanty and Cherukuri 2023) |
| 2022 | Financial sentiment analysis | Aspect-Level Sentiment Analysis Algorithm based on BERT for Multi-Domain Texts | BERT-based algorithm for aspect-level sentiment analysis across domains, leveraging source domain data to enhance target domain analysis (Liu and Zhao 2022) |
| 2022 | Financial sentiment analysis | Deep Learning-based Sentiment Analysis of Financial Statements | A sentiment analysis method for financial statements using deep learning and domain adaptation (Shao and Chen 2022) |
| 2023 | Financial sentiment analysis | Explainable hybrid word representations for sentiment analysis of financial news | Improve SA with explainable hybrid word representation, addressing class imbalance and integrating embeddings (Adhikari et al. 2023) |
| 2021 | Financial sentiment analysis | Analyzing DistilBERT for Sentiment Classification of Banking Financial News | Compares fine-tuned DistilBERT and TF-IDF with supervised machine learning classifiers for sentiment classification (Dogra et al. 2021) |
| Variable Name | Variable Type | Type of Data | Data Time | Source of Data |
|---|---|---|---|---|
| Liquidity coverage ratio | Quantitative variable | Bank liquidity risk data | April 2004–November 2020 | A semi-private sector bank in Iran |
| News quality index | Qualitative variable | News | April 2004–November 2020 | Fars News Agency |
| Actual/True Class | 0–Positive | 1–Negative | |
|---|---|---|---|
| Predicted class | 0–True | True Positive (TP) | False Positive (FP) |
| 1–False | False Negative (FN) | True Negative (TN) | |
| Number of Classes | Type of Augmentation | Number of Samples | Train Samples | Test Samples | Validation |
|---|---|---|---|---|---|
| l = 3 | m = 300 | 14,169 | 9918 | 2125 | 2126 |
| l = 5 | m = 300 | 14,169 | 9918 | 2125 | 2126 |
| l = 3 | m = 500 | 8540 | 5978 | 1281 | 1281 |
| l = 5 | m = 500 | 8540 | 5978 | 1281 | 1281 |
| Logistic Regression | ||||||||||
|---|---|---|---|---|---|---|---|---|---|---|
| Triple | ||||||||||
| Bin Size | C | Solver | Max_Iter | Val_acc | Test_acc | Precision | Recall | F1 Score | Cohens Kappa | ROC AUC |
| 300 | 10 | lbfgs | 1000 | 71.58 | 68.81 | 68.61 | 68.61 | 68.65 | 52.55 | 86.02 |
| 500 | 10 | lbfgs | 1000 | 71.58 | 70.73 | 70.68 | 70.73 | 70.56 | 55.51 | 87.89 |
| Quintuple | ||||||||||
| 300 | 17 | lbfgs | 1000 | 62.45 | 64.02 | 64.03 | 64.02 | 63.98 | 54.79 | 89.38 |
| 500 | 20 | lbfgs | 1000 | 68.31 | 67.06 | 67.06 | 67.06 | 67.02 | 58.69 | 91.06 |
| SVM | ||||||||||
|---|---|---|---|---|---|---|---|---|---|---|
| Triple | ||||||||||
| Bin Size | C | Solver | Max_Iter | Val_acc | Test_acc | Precision | Recall | F1 Score | Cohens Kappa | ROC AUC |
| 300 | 5 | rbf | 2000 | 86.42 | 86.74 | 86.75 | 86.74 | 86.73 | 79.91 | 95.17 |
| 500 | 5 | rbf | 2000 | 86.42 | 87.04 | 87.01 | 87.04 | 87.01 | 80.38 | 95.37 |
| Quintuple | ||||||||||
| 300 | 15 | rbf | 2000 | 82.78 | 85.23 | 85.4 | 85.23 | 85.28 | 81.48 | 96.02 |
| 500 | 5 | rbf | 2000 | 86.1 | 86.1 | 86.1 | 86.1 | 86.09 | 82.57 | 96.41 |
| Feed-Forward Neural Network | |||||||||||||
|---|---|---|---|---|---|---|---|---|---|---|---|---|---|
| Triple | |||||||||||||
| Bin Size | Dense Units | Activation | Optimizer | Batch Size | Epochs | Val_acc | Test_acc | Precision | Recall | F1 Score | Balance Accuracy | Cohens Kappa | ROC AUC |
| 300 | 512- 256- 128- 64 | relu | adam | 8 | 29 | 83.11 | 84.1 | 83.56 | 84.07 | 84.1 | 84.07 | 75.88 | 95.44 |
| 500 | 512- 256-256 | relu | rms | 64 | 43 | 88.91 | 88.6 | 88.5 | 88.63 | 88.6 | 88.56 | 82.75 | 97.56 |
| Quintuple | |||||||||||||
| 300 | 1024- 512- 256-128 | relu | rms | 64 | 19 | 84.85 | 88.29 | 88.23 | 88.5 | 88.29 | 88.31 | 85.31 | 98.53 |
| 500 | 512- 256-128 | relu | rms | 64 | 42 | 87.35 | 82.51 | 82.19 | 83.42 | 82.51 | 82.3 | 78.04 | 97.22 |
| CNN | |||||||||||||||
|---|---|---|---|---|---|---|---|---|---|---|---|---|---|---|---|
| Triple | |||||||||||||||
| Bin Size | Filter s | Kernel Size | Pool Size | Dense Units | Activation | Optimizer | Batch Size | Epochs | Balance Accuracy | Test_acc | Precision | Recall | F1 Score | Cohens Kappa | ROC AUC |
| 300 | 64-128-256 | 3 | 2 | 256 | relu | adam | 8 | 25 | 82.0 | 81.7 | 81.7 | 82.0 | 81.7 | 81.7 | 72.3 |
| 500 | 64-128 | 3 | 2 | 128 | relu | adam | 32 | 21 | 84.0 | 83.2 | 82.7 | 83.3 | 83.2 | 83.2 | 74.6 |
| Quintuple | |||||||||||||||
| 300 | 128- 256-512 | 3 | 2 | 512 | relu | rms | 16 | 16 | 80.2 | 81.1 | 80.9 | 81.4 | 81.1 | 81.2 | 76.3 |
| 500 | 64-128-256 | 3 | 2 | 256 | relu | adam | 64 | 30 | 80.9 | 82.2 | 82.1 | 82.3 | 82.2 | 82.2 | 77.7 |
| No. | Author | Dataset | Effect | Feature Type | Methods | Accuracy |
|---|---|---|---|---|---|---|
| 1 | Schumaker and Chen 2009 | US financial news | Stock prices (intraday) | Noun phrases | SVM | 58.2% |
| 2 | Schumaker and Chen 2009 | US financial news | Stock prices (intraday) | Noun phrases | SVR | 59.0% |
| 3 | Groth and Muntermann 2011 | German adhoc announcements | Stock prices (daily) | Bag-of-words | SVM | 56.5% |
| 4 | Mittermayer 2004 | US financial news | Stock prices (daily) | Bag-of-words | SVM | - |
| 5 | Wüthrich et al. 1998 | Worldwide general news | Stock prices (daily) | Bag-of-words | K-NN, ANNs, naïve Bayes | Not comparable |
| 6 | Li 2008 | US corporate filings | Stock prices (daily) | Bag-of-words | Naïve Bayes | Not available |
| 7 | Antweiler and Frank 2004 | US message postings | Stock prices (intraday) and volatility | Bag-of-words | Bayes, SVM | Not available |
| 8 | Das and Chen 2007 | US message postings | Stock and index prices (daily) | Bag-of-words | Combinations | Not comparable |
| 9 | Tetlock 2007 | US financial news | Stock prices (daily) | Bag-of-words | Ratio of negative words | Not available |
| 10 | Groth and Muntermann 2011 | German adhoc announcements | Intraday market risk | Bag-of-words | SVM | Not comparable |
| 11 | Butler and Kešelj 2009 | US annual reports | 1-year market drift | N-Gram | Proprietary distance measure | Not comparable |
| No. | Author | Dataset | Effect | Feature Type | Methods | Accuracy |
|---|---|---|---|---|---|---|
| 1 | Mirashk et al. | Iran Fars News (daily) | LCR monthly | N-Gram -TFIDF | Feed-forward neural network | 88.6% |
| 2 | Mirashk et al. | Iran Fars News (daily) | LCR monthly | N-Gram -TFIDF | SVM | 87.04% |
| 3 | Mirashk et al. | Iran Fars News (daily) | LCR monthly | N-Gram -TFIDF | Convolutional neural network | 83.29% |
| 4 | Mirashk et al. | Iran Fars News (daily) | LCR monthly | N-Gram -TFIDF | Logistic regression | 70.73% |
Disclaimer/Publisher’s Note: The statements, opinions and data contained in all publications are solely those of the individual author(s) and contributor(s) and not of MDPI and/or the editor(s). MDPI and/or the editor(s) disclaim responsibility for any injury to people or property resulting from any ideas, methods, instructions or products referred to in the content. |
© 2024 by the authors. Licensee MDPI, Basel, Switzerland. This article is an open access article distributed under the terms and conditions of the Creative Commons Attribution (CC BY) license (https://creativecommons.org/licenses/by/4.0/).
Share and Cite
Mirashk, H.; Albadvi, A.; Kargari, M.; Rastegar, M.A. News Sentiment and Liquidity Risk Forecasting: Insights from Iranian Banks. Risks 2024, 12, 171. https://doi.org/10.3390/risks12110171
Mirashk H, Albadvi A, Kargari M, Rastegar MA. News Sentiment and Liquidity Risk Forecasting: Insights from Iranian Banks. Risks. 2024; 12(11):171. https://doi.org/10.3390/risks12110171
Chicago/Turabian StyleMirashk, Hamed, Amir Albadvi, Mehrdad Kargari, and Mohammad Ali Rastegar. 2024. "News Sentiment and Liquidity Risk Forecasting: Insights from Iranian Banks" Risks 12, no. 11: 171. https://doi.org/10.3390/risks12110171
APA StyleMirashk, H., Albadvi, A., Kargari, M., & Rastegar, M. A. (2024). News Sentiment and Liquidity Risk Forecasting: Insights from Iranian Banks. Risks, 12(11), 171. https://doi.org/10.3390/risks12110171

